Analyzing Transverse Momentum Spectra by a New Method in High-Energy Collisions
Abstract
:1. Introduction
2. Formalism and Method
3. Results and Discussion
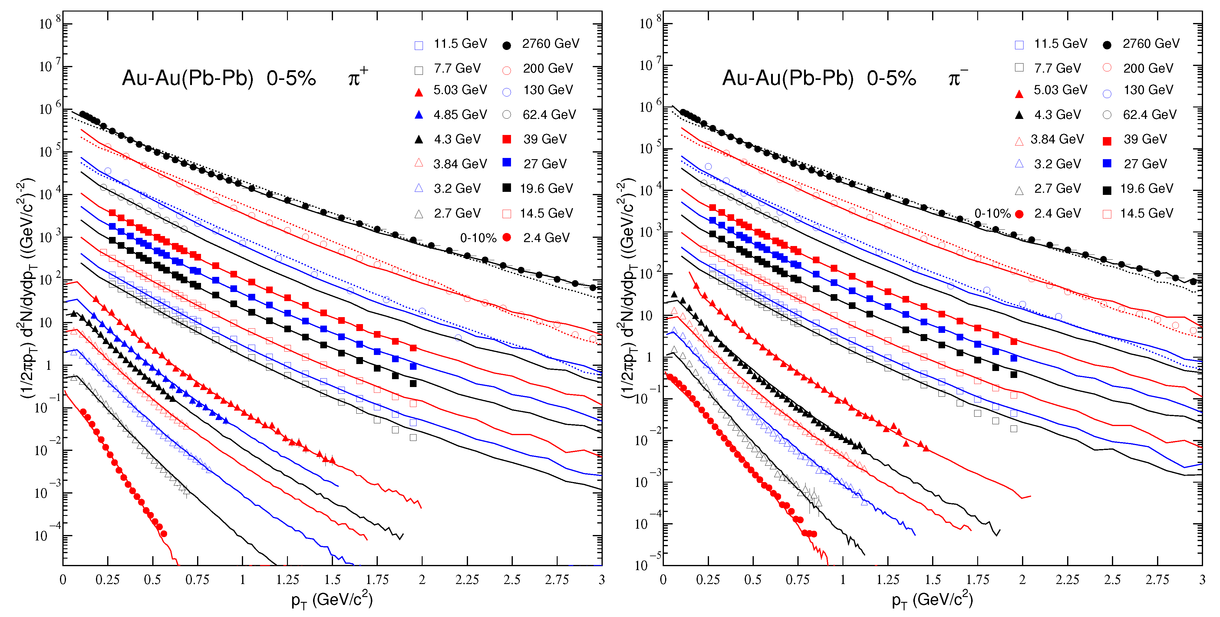
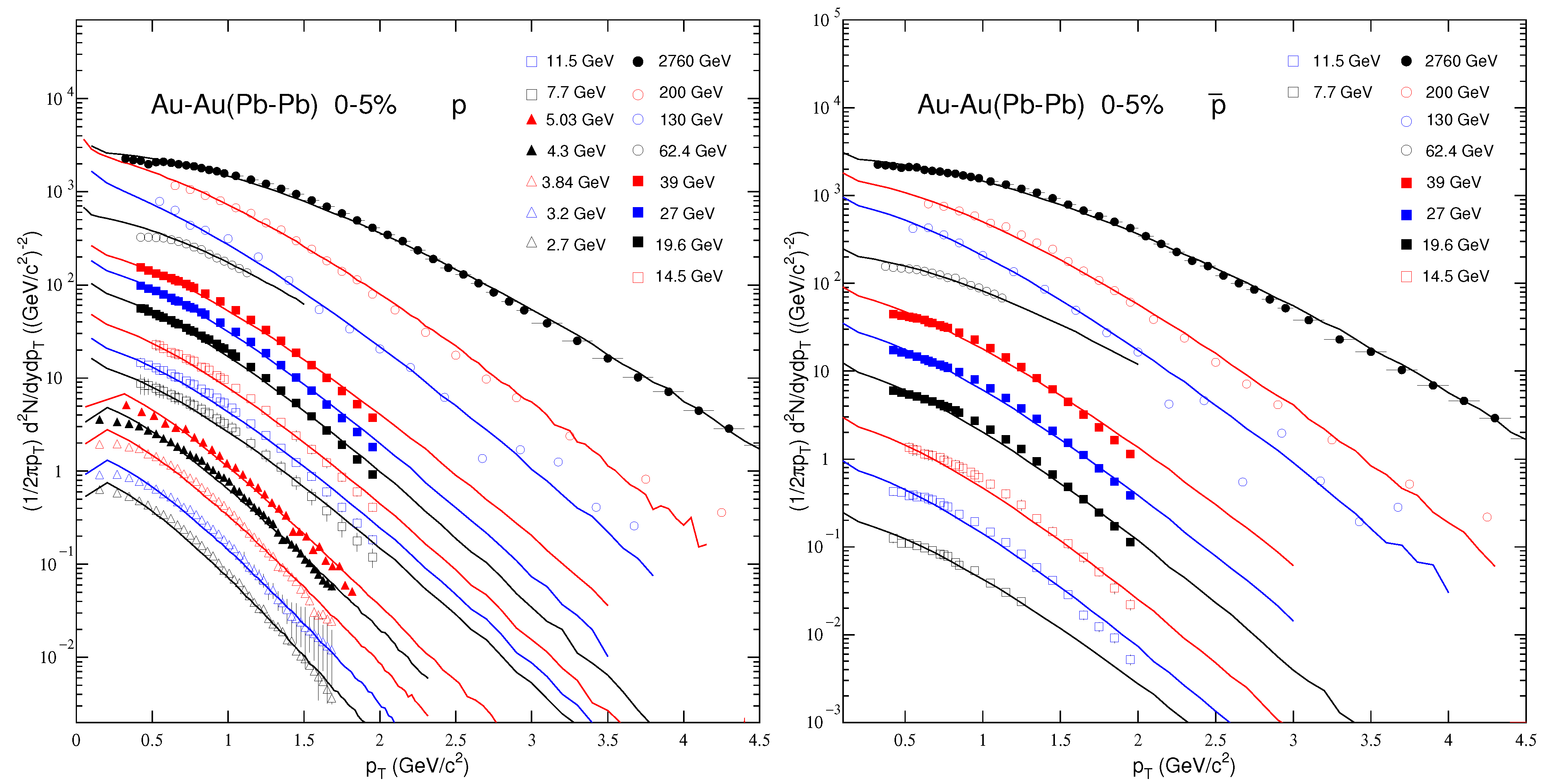
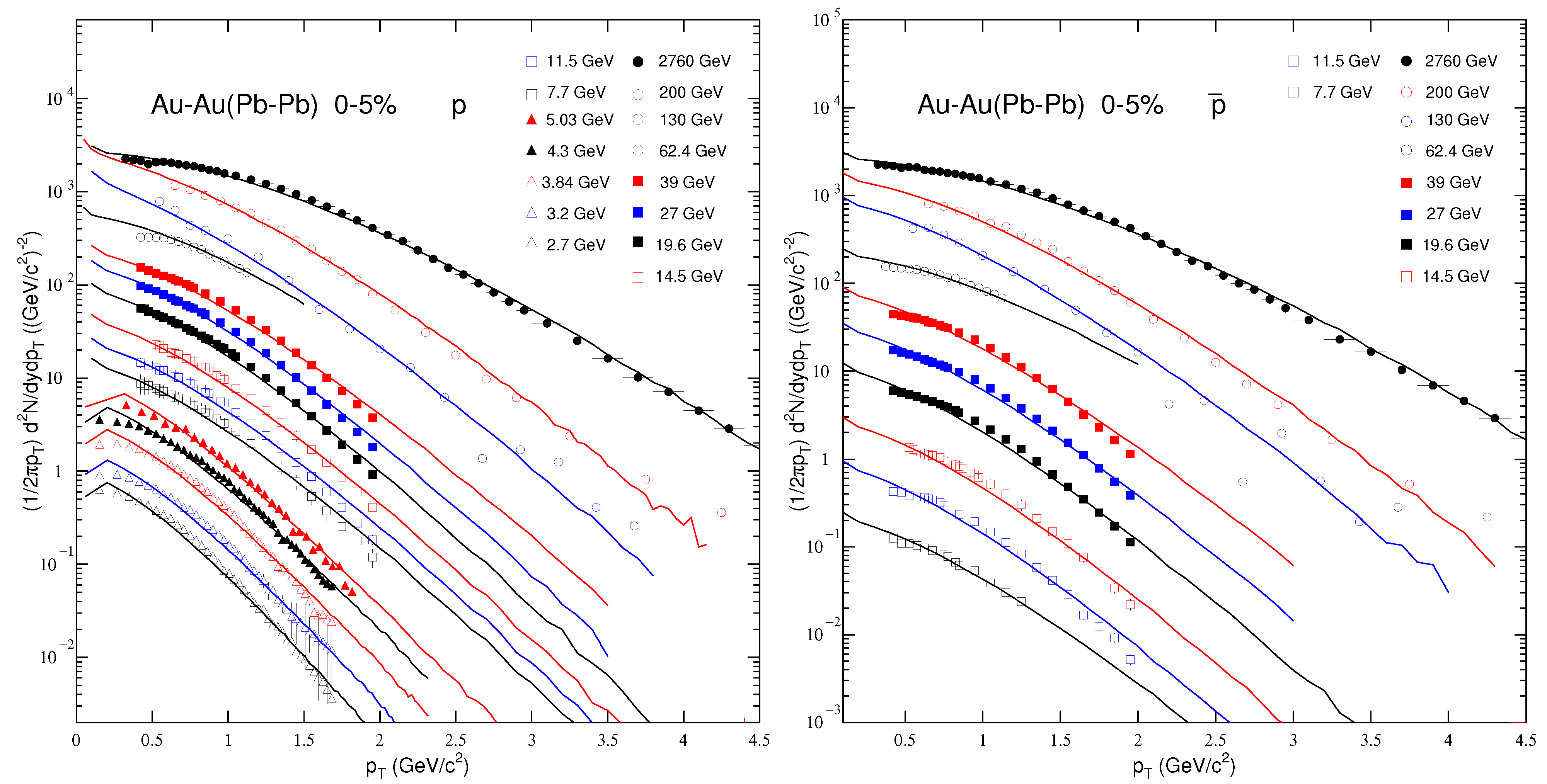
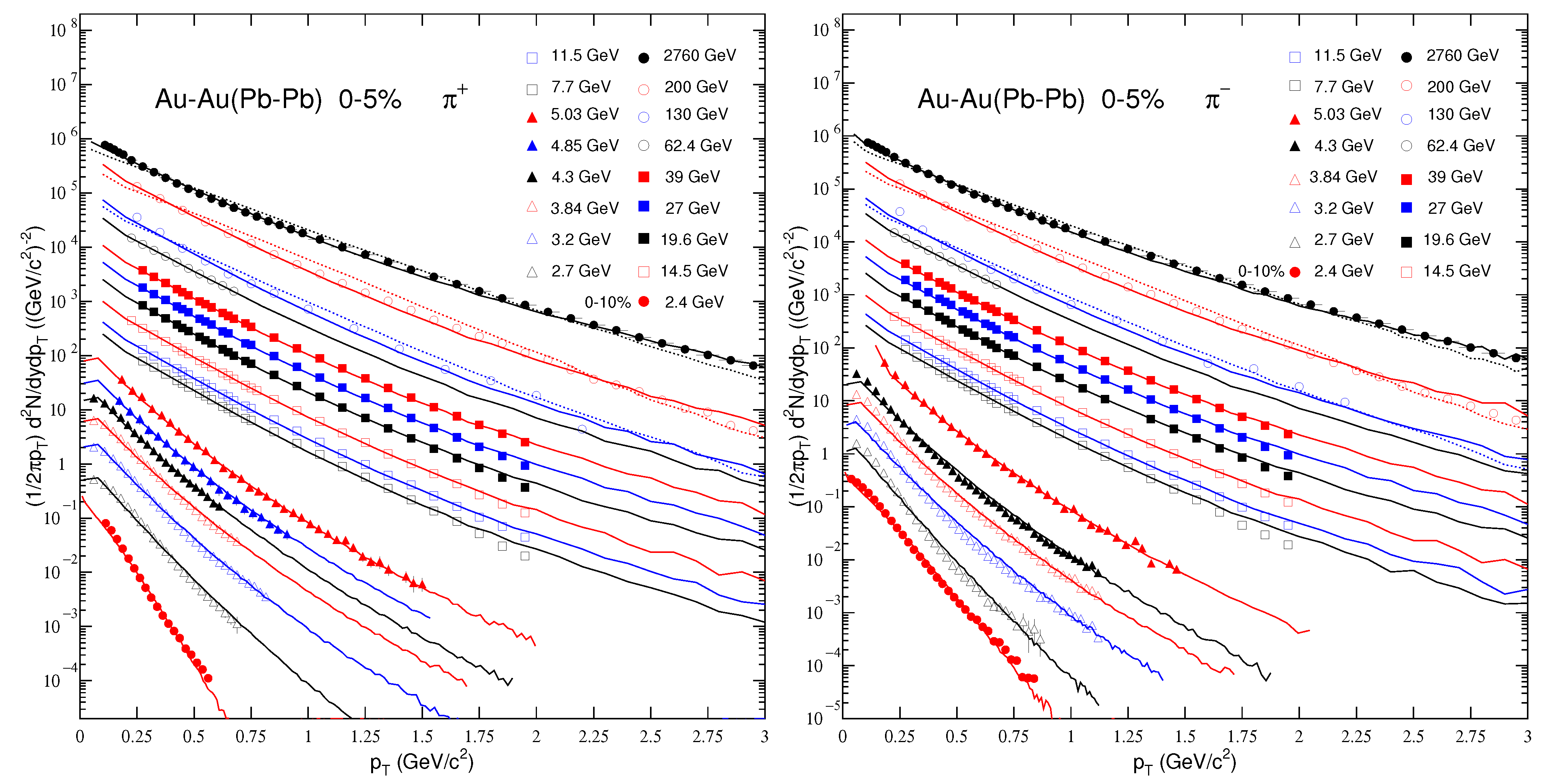
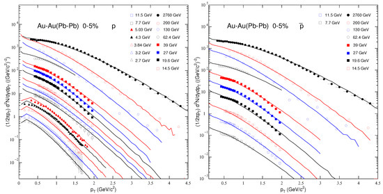
3.1. Comparison with the Data
3.2. Tendency of Parameters and Discussion
4. Summary and Conclusions
- (a)
- We have used a new method to analyze the spectra of identified particles produced in central AA collisions. The particle’s is regarded as the joint contribution of two participant partons which obey the modified Tsallis-like transverse momentum distribution and have random azimuths in superposition. The Monte Carlo method is performed to calculate and fit the experimental spectra of , , , and produced in central Au-Au and Pb-Pb collisions over an energy range from 2.16 to 2760 GeV measured by international collaborations. Three free parameters, the effective temperature T, entropy index q, and revised index are obtained.
- (b)
- Our results show that, with the increase of , T increases quickly and then slowly in the results from and spectra. The boundary is around 5 GeV. This energy is possibly the critical energy of a possible de-confined phase transition from hadron matter to QGP. The values of q are close to 1 and have a slight increase with increasing . This result shows that the system is in approximate equilibrium in the considered energy range and closer to the equilibrium at lower energy. Generally, the values of are mass dependent and not energy dependent. The resonance generation of and the constraints of other particles in a low- region are reflected by the values of .
Author Contributions
Funding
Institutional Review Board Statement
Informed Consent Statement
Data Availability Statement
Conflicts of Interest
References
- Flor, F.A.; Olinger, G.; Bellwied, R. System size and flavour dependence of chemical freeze-out temperatures in ALICE pp, pPb and PbPb collisions at LHC energies. arXiv 2021, arXiv:2109.09843. [Google Scholar]
- Lu, Y.; Chen, M.Y.; Bai, Z.; Gao, F.; Liu, Y.-X. Chemical freeze-out parameters via a non-perturbative QCD approach. arXiv 2019, arXiv:2109.09912. [Google Scholar]
- Motornenko, A.; Steinheimer, J.; Vovchenko, V.; Stock, R.; Stoecker, H. Ambiguities in the hadro-chemical freeze-out of Au+Au collisions at SIS18 energies and how to resolve them. Phys. Lett. B 2021, 822, 136703. [Google Scholar] [CrossRef]
- Tang, Z.B.; Xu, Y.C.; Ruan, L.J.; van Buren, G.; Wang, F.Q.; Xu, Z.B. Spectra and radial flow at RHIC with Tsallis statistics in a blast-wave description. Phys. Rev. C 2009, 79, 051901. [Google Scholar] [CrossRef] [Green Version]
- Chatterjee, S.; Das, S.; Kumar, L.; Mishra, D.; Mohanty, B.; Sahoo, R.; Sharma, N. Freeze-out parameters in heavy-ion collisions at AGS, SPS, RHIC, and LHC energies. Adv. High Energy Phys. 2015, 2015, 349013. [Google Scholar] [CrossRef]
- Chatterjee, S.; Mohanty, B.; Singh, R. Freezeout hypersurface at energies available at the CERN Large Hadron Collider from particle spectra: Flavor and centrality dependence. Phys. Rev. C 2015, 92, 024917. [Google Scholar] [CrossRef]
- Waqas, M.; Peng, G.X.; Liu, F.-H. An evidence of triple kinetic freezeout scenario observed in all centrality intervals in Cu–Cu, Au–Au and Pb–Pb collisions at high energies. J. Phys. G 2021, 48, 075108. [Google Scholar] [CrossRef]
- Waqas, M.; Liu, F.-H.; Wang, R.-Q.; Siddique, I. Energy scan/dependence of kinetic freeze-out scenarios of multi-strange and other identified particles in central nucleus–nucleus collisions. Eur. Phys. J. A 2020, 56, 188. [Google Scholar] [CrossRef]
- Thakur, D.; Tripathy, S.; Garg, P.; Sahoo, R.; Cleymans, J. Indication of a differential freeze-out in proton-proton and heavy-ion collisions at RHIC and LHC energies. Adv. High Energy Phys. 2016, 2016, 4149352. [Google Scholar] [CrossRef]
- Chatterjee, S.; Mohanty, B. Production of light nuclei in heavy ion collisions within multiple freezeout scenario. Phys. Rev. C 2014, 90, 034908. [Google Scholar] [CrossRef] [Green Version]
- Waqas, M.; Peng, G.X.; Wazir, Z.; Lao, H.L. Analysis of kinetic freeze out temperature and transverse flow velocity in nucleus–nucleus and proton-proton collisions at same center of mass energy. Int. J. Mod. Phys. E 2021, 30, 2150061. [Google Scholar] [CrossRef]
- Lao, H.-L.; Liu, F.-H.; Ma, B.-Q. Analyzing transverse momentum spectra of pions, kaons and protons in p-p, p-A and A-A Collisions via the blast-wave model with fluctuations. Entropy 2021, 23, 803. [Google Scholar] [CrossRef]
- Waqas, M.; Peng, G.X.; Liu, F.-H.; Wazir, Z. Effects of coalescence and isospin symmetry on the freezeout of light nuclei and their anti-particles. Sci. Rep. 2021, 11, 20252. [Google Scholar] [CrossRef] [PubMed]
- Kumar, L. Systematics of kinetic freeze-out properties in high energy collisions from STAR. Nucl. Phys. A 2014, 931, 1114–1119. [Google Scholar] [CrossRef] [Green Version]
- Förster, A.; Uhlig, F.; Böttcher, I.; Brill, D.; De bowski, M.; Dohrmann, F.; Grosse, E.; Koczoń, P.; Kohlmeyer, B.; Lang, S.; et al. Production of K+ and of K− mesons in heavy-ion collisions from 0.6 to 2.0 A GeV incident energy. Phys. Rev. C 2007, 75, 024906. [Google Scholar] [CrossRef] [Green Version]
- Adamczewski-Musch, J. Charged-pion production in Au+Au collisions at =2.4 GeV. Eur. Phys. J. A 2020, 56, 259. [Google Scholar]
- Adamczewski-Musch, J. Deep sub-threshold ϕ production in Au+Au collisions. Phys. Lett. B 2018, 778, 403–407. [Google Scholar] [CrossRef]
- Ahle, L.; Akiba, Y.; Ashktorab, K.; Baker, M.D.; Beavis, D.; Budick, B.; Chang, J.; Chasman, C.; Chen, Z.; Chu, Y.Y.; et al. Excitation function of K+ and π+ production in Au+Au reactions at 2–10A GeV. Phys. Lett. B 2000, 476, 1–8. [Google Scholar] [CrossRef] [Green Version]
- Klay, J.L.; Ajitanand, N.N.; Alexander, J.M.; Anderson, M.G.; Best, D.; Brady, F.P.; Case, T.; Caskey, W.; Cebra, D.; Chance, J.L.; et al. Longitudinal flow from 2–8A GeV Au+Au collisions at the Brookhaven AGS. Phys. Rev. Lett. 2002, 88, 102301. [Google Scholar] [CrossRef] [Green Version]
- Klay, J.L.; Ajitanand, N.N.; Alexander, J.M.; Anderson, M.G.; Best, D.; Brady, F.P.; Case, T.; Caskey, W.; Cebra, D.; Chance, J.L.; et al. Charged pion production in 2–8A GeV central Au+Au Collisions. Phys. Rev. C 2003, 68, 054905. [Google Scholar] [CrossRef] [Green Version]
- Ahle, L.; Akiba, Y.; Ashktorab, K.; Baker, M.D.; Beavis, D.; Britt, H.C.; Chang, J.; Chasman, C.; Chen, Z.; Chi, C.-Y.; et al. Kaon production in Au+Au collisions at 11.6A GeV/c. Phys. Rev. C 1998, 58, 3523–3538. [Google Scholar] [CrossRef]
- Ahle, L.; Akiba, Y.; Ashktorab, K.; Baker, M.D.; Beavis, D.; Britt, H.C.; Chang, J.; Chasman, C.; Chen, Z.; Chi, C.Y.; et al. Particle production at high baryon density in central Au+Au reactions at 11.6A GeV/c. Phys. Rev. C 1998, 57, R466–R470. [Google Scholar] [CrossRef]
- Aamczyk, L.; Adkins, J.K.; Agakishiev, G.; Aggarwa, M.M.; Ahammed, Z.; Ajitanand, N.N.; Alekseev, I.; Anderson, D.M.; Aoyama, R.; Aparin, A.; et al. Bulk properties of the medium produced in relativistic heavy-ion collisions from the beam energy scan program. Phys. Rev. C 2017, 96, 044904. [Google Scholar] [CrossRef] [Green Version]
- Bairathi, V. Study of the bulk properties of the system formed in Au+Au collisions at = 14.5 GeV using the STAR detector at RHIC. Nucl. Phys. A 2018, 956, 292–295. [Google Scholar] [CrossRef] [Green Version]
- Abelev, B.I.; Aggarwal, M.M.; Ahammed, Z.; Anderson, B.D.; Arkhipkin, D.; Averichev, G.S.; Bai, Y.; Balewski, J.; Barannikova, O.; Barnby, L.S.; et al. Systematic measurements of identified particle spectra in pp, d+Au, and Au+Au collisions at the STAR detector. Phys. Rev. C 2009, 79, 034909. [Google Scholar] [CrossRef]
- Adamczyk, L.; Adkins, J.K.; Agakishiev, G.; Aggarwal, M.M.; Ahammed, Z.; Alekseev, I.; Aparin, A.; Arkhipkin, D.; Aschenauer, E.C.; Attri, A.; et al. Probing parton dynamics of QCD matter with ω and ϕ production. Phys. Rev. C 2016, 93, 021903. [Google Scholar] [CrossRef]
- Abelev, B.; Aggarwal, M.M.; Ahammed, Z.; Anderson, B.D.; Arkhipkin, D.; Averichev, G.S.; Bai, Y.; Balewski, J.; Barannikova, O.; Barnby, L.S.; et al. Measurements of ϕ meson production in relativistic heavy-ion collisions at the BNL Relativistic Heavy Ion Collider (RHIC). Phys. Rev. C 2009, 79, 064903. [Google Scholar] [CrossRef] [Green Version]
- Adcox, K.; Adler, S.S.; Ajitanand, N.N.; Akiba, Y.; Alexander, J.; Aphecetche, L.; Arai1, Y.; Aronson, S.H.; Averbeck, R.; Awes, T.C.; et al. Centrality dependence of π+/π−, K+/K−, p and production from = 13 GeV Au+Au collisions at RHIC. Phys. Rev. Lett. 2002, 88, 242301. [Google Scholar] [CrossRef] [PubMed] [Green Version]
- Adler, S.S.; Afanasiev, S.; Aidala, C.; Ajitanand, N.N.; Akiba, Y.; Alexander, J.; Amirikas, R.; Aphecetche, L.; Aronson, S.H.; Averbeck, R.; et al. Identified charged particle spectra and yields in Au+Au collisions at = 200 GeV. Phys. Rev. C 2004, 69, 034909. [Google Scholar] [CrossRef] [Green Version]
- Abelev, B.; Adam, J.; Adamová, D.; Adare, A.M.; Aggarwa, M.M.; Aglieri Rinella, G.; Agnello, M.; Agocs, A.G.; Agostinelli, A.; Ahammed, Z.; et al. Centrality dependence of π, K, and p production in Pb-Pb collisions at = 2.76 TeV. Phys. Rev. C 2013, 88, 044910. [Google Scholar] [CrossRef] [Green Version]
- Abelev, B.; Adam, J.; Adamová, D.; Adare, A.M.; Aggarwal, M.M.; Aglieri Rinella, G.; Agocs, A.G.; Agostinelli, A.; Aguilar Salazar, S.; Ahammed, Z.; et al. Centrality dependence of charged particle production at large transverse momentum in Pb-Pb collisions at = 2.76 TeV. Phys. Lett. B 2013, 720, 52–62. [Google Scholar] [CrossRef]
- Abelev, B.B.; Adam, J.; Adamová, D.; Aggarwal, M.M.; Agnello, M.; Agostinelli, A.; Agrawal, N.; Ahammed, Z.; Ahmad, N.; Ahmad Masoodi, A.; et al. K*(892)0 and ϕ(1020) production in Pb-Pb collisions at = 2.76 TeV. Phys. Rev. C 2015, 91, 024609. [Google Scholar]
- Tsallis, C. Possible generalization of Boltzmann-Gibbs statistics. J. Stat. Phys. 1988, 52, 479–487. [Google Scholar] [CrossRef]
- Biró, T.S.; Purcsel, G.; Ürmössy, K. Non-extensive approach to quark matter. Eur. Phys. J. A 2009, 40, 325–340. [Google Scholar] [CrossRef]
- Cleymans, J.; Worku, D. Relativistic thermodynamics: Transverse momentum distributions in high-energy physics. Eur. Phys. J. A 2012, 48, 160. [Google Scholar] [CrossRef]
- Li, L.-L.; Liu, F.-H.; Olimov, K.K. Excitation functions of Tsallis-like parameters in high-energy nucleus–nucleus collisions. Entropy 2021, 23, 478. [Google Scholar] [CrossRef]
- Liu, F.-H.; Gao, Y.-Q.; Tian, T.; Li, B.-C. Unified description of transverse momentum spectrums contributed by soft and hard processes in high-energy nuclear collisions. Eur. Phys. J. A 2014, 50, 94. [Google Scholar] [CrossRef]
- Xiao, Z.-J.; Lü, C.-D. Introduction to Particle Physics; Science Press: Beijing, China, 2016. [Google Scholar]
- Yang, P.-P.; Liu, F.-H.; Sahoo, R. A new description of transverse momentum spectra of identified particles produced in proton-proton collisions at high energies. Adv. High Energy Phys. 2020, 2020, 6742578. [Google Scholar] [CrossRef]
- Tai, Y.-M.; Yang, P.-P.; Liu, F.-H. An analysis of transverse momentum spectra of various jets produced in high energy collisions. Adv. High Energy Phys. 2021, 2021, 8832892. [Google Scholar] [CrossRef]
- Yang, P.-P.; Duan, M.-Y.; Liu, F.-H. Dependence of related parameters on centrality and mass in a new treatment for transverse momentum spectra in high energy collisions. Eur. Phys. J. A 2021, 57, 63. [Google Scholar] [CrossRef]
- Braun-Munzinger, P.; Wambach, J. The phase diagram of strongly-interacting matter. Rev. Mod. Phys. 2009, 81, 1031–1050. [Google Scholar] [CrossRef]
- Cleymans, J.; Oeschler, H.; Redlich, K.; Wheaton, S. Comparison of chemical freeze-out criteria in heavy-ion collisions. Phys. Rev. C 2006, 73, 034905. [Google Scholar] [CrossRef]
- Andronic, A.; Braun-Munzinger, P. Ultrarelativistic nucleusn-nucleus collisions and the quark-gluon plasma. In The Hispalensis Lectures on Nuclear Physics Volume 2, Proceedings of the 8th Hispalensis International Summer School on Exotic Nuclear Physics, Seville, Spain, 9–21 June 2003; Springer: Berlin/Heidelberg, Germany, 2004; Volume 652, pp. 35–67. [Google Scholar]
- Rozynek, J.; Wilk, G. Nonextensive effects in the Nambu-Jona-Lasinio model of QCD. J. Phys. G 2009, 36, 125108. [Google Scholar] [CrossRef] [Green Version]
- Rozynek, J.; Wilk, G. Nonextensive Nambu-Jona-Lasinio model of QCD matter. Eur. Phys. J. A 2016, 52, 13, Erratum in Eur. Phys. J. A 2016, 52, 204. [Google Scholar] [CrossRef] [Green Version]
- Shen, K.-M.; Zhang, H.; Hou, D.-F.; Zhang, B.-W.; Wang, E.-K. Chiral phase transition in linear sigma model with nonextensive statistical mechanics. Adv. High Energy Phys. 2017, 2017, 4135329. [Google Scholar] [CrossRef] [Green Version]
- Zhao, Y.-P. Thermodynamic properties and transport coefficients of QCD matter within the nonextensive Polyakov-Nambu-Jona-Lasinio model. Phys. Rev. D 2020, 101, 096006. [Google Scholar] [CrossRef]
- Andronic, A.; Braun-Munzinger, P.; Stachel, J. Thermal hadron production in relativistic nuclear collisions. Acta Phys. Pol. B 2009, 40, 1005–1012. [Google Scholar]
- Andronic, A.; Braun-Munzinger, P.; Stachel, J. The horn, the hadron mass spectrum and the QCD phase diagram: The statistical model of hadron production in central nucleus–nucleus collisions. Nucl. Phys. A 2010, 834, 237c–240c. [Google Scholar] [CrossRef] [Green Version]
- Andronic, A.; Braun-Munzinger, P.; Stachel, J. Hadron production in central nucleus–nucleus collisions at chemical freeze-out. Nucl. Phys. A 2006, 772, 167–199. [Google Scholar] [CrossRef] [Green Version]
- Andronic, A.; Braun-Munzinger, P.; Redlich, K.; Stachel, J. Decoding the phase structure of QCD via particle production at high energy. Nature 2018, 561, 321–330. [Google Scholar] [CrossRef] [Green Version]
- Zhang, H.X.; Shan, P.J. Statistical simulation method for determinating the errors of fit parameters. In Proceedings of the 8th National Conference on Nuclear Physics (Volume II), Xi’an, China, 21–25 December 1991. [Google Scholar]
- Avdyushev, V.A. A new method for the statistical simulation of the virtual values of parameters in inverse orbital dynamics problems. Sol. Syst. Res. 2009, 43, 543–551. [Google Scholar] [CrossRef]
- Giacalone, G. A Matter of Shape: Seeing the Deformation of Atomic Nuclei at High-Energy Colliders. Ph.D. Thesis, Université Paris-Saclay, Paris, France, 2021. [Google Scholar]
- Biro, T.S.; Urmossy, K. Pions and kaons from stringy quark matter. J. Phys. G 2009, 36, 064044. [Google Scholar] [CrossRef] [Green Version]
- Cleymans, J.; Paradza, M.W. Tsallis statistics in high energy physics: Chemical and thermal freeze-outs. Physics 2020, 2, 654–664. [Google Scholar] [CrossRef]





| Collab. | (GeV) | Rapidity | Factor | T (GeV) | q | /ndof | ||
|---|---|---|---|---|---|---|---|---|
| HADES | 2.4 | 5000 | ||||||
| E866 | 2.7 | 0.01 | ||||||
| E866 | 3.32 | 0.02 | ||||||
| E866 | 3.84 | 0.05 | ||||||
| E866 | 4.3 | 0.1 | ||||||
| E866 | 4.85 | 0.2 | ||||||
| E802 | 5.03 | 0.5 | ||||||
| STAR | 7.7 | 0.8 | ||||||
| STAR | 11.5 | 1 | ||||||
| STAR | 14.5 | 2 | ||||||
| STAR | 19.6 | 5 | ||||||
| STAR | 27 | 10 | ||||||
| STAR | 39 | 20 | ||||||
| STAR | 62.4 | 50 | ||||||
| PHENIX | 130 | 100 | ||||||
| PHENIX | 200 | 400 | ||||||
| ALICE | 2760 | 500 | ||||||
| HADES | 2.4 | 3000 | ||||||
| E895 | 2.7 | 0.01 | ||||||
| E895 | 3.32 | 0.02 | ||||||
| E895 | 3.84 | 0.05 | ||||||
| E895 | 4.3 | 0.1 | ||||||
| E802 | 5.03 | 0.5 | ||||||
| STAR | 7.7 | 0.8 | ||||||
| STAR | 11.5 | 1 | ||||||
| STAR | 14.5 | 2 | ||||||
| STAR | 19.6 | 5 | ||||||
| STAR | 27 | 10 | ||||||
| STAR | 39 | 20 | ||||||
| STAR | 62.4 | 50 | ||||||
| PHENIX | 130 | 100 | ||||||
| PHENIX | 200 | 400 | ||||||
| ALICE | 2760 | 500 | ||||||
| Collab. | (GeV) | Rapidity | Factor | T (GeV) | q | /ndof | ||
|---|---|---|---|---|---|---|---|---|
| KaoS | 2.16 | 0.1 | ||||||
| KaoS | 2.24 | 0.05 | ||||||
| KaoS | 2.32 | 0.1 | ||||||
| HADES | 2.4 | |||||||
| KaoS | 2.52 | 0.3 | ||||||
| E866 | 2.7 | 1 | ||||||
| E866 | 3.32 | 0.5 | ||||||
| E866 | 3.84 | 0.5 | ||||||
| E866 | 4.3 | 1.5 | ||||||
| E866 | 4.85 | 2 | ||||||
| E802 | 5.03 | 4 | ||||||
| STAR | 7.7 | 1 | ||||||
| STAR | 11.5 | 1.5 | ||||||
| STAR | 14.5 | 2 | ||||||
| STAR | 19.6 | 3 | ||||||
| STAR | 27 | 5 | ||||||
| STAR | 39 | 10 | ||||||
| STAR | 62.4 | 20 | ||||||
| PHENIX | 130 | 50 | ||||||
| PHENIX | 200 | 100 | ||||||
| ALICE | 2760 | 100 | ||||||
| HADES | 2.4 | |||||||
| KaoS | 2.52 | 500 | ||||||
| E802 | 5.03 | 4 | ||||||
| STAR | 7.7 | 1 | ||||||
| STAR | 11.5 | 1.5 | ||||||
| STAR | 14.5 | 2 | ||||||
| STAR | 19.6 | 3 | ||||||
| STAR | 27 | 5 | ||||||
| STAR | 39 | 10 | ||||||
| STAR | 62.4 | 20 | ||||||
| PHENIX | 130 | 50 | ||||||
| PHENIX | 200 | 100 | ||||||
| ALICE | 2760 | 100 |
| Collab. | (GeV) | Rapidity | Factor | T (GeV) | q | /ndof | ||
|---|---|---|---|---|---|---|---|---|
| E895 | 2.7 | 0.1 | ||||||
| E895 | 3.32 | 0.2 | ||||||
| E895 | 3.84 | 0.5 | ||||||
| E895 | 4.3 | 1 | ||||||
| E802 | 5.03 | 1.5 | ||||||
| STAR | 7.7 | 0.5 | ||||||
| STAR | 11.5 | 1 | ||||||
| STAR | 14.5 | 2 | ||||||
| STAR | 19.6 | 5 | ||||||
| STAR | 27 | 10 | ||||||
| STAR | 39 | 20 | ||||||
| STAR | 62.4 | 50 | ||||||
| PHENIX | 130 | 100 | ||||||
| PHENIX | 200 | 400 | ||||||
| ALICE | 2760 | 500 | ||||||
| STAR | 7.7 | 1 | ||||||
| STAR | 11.5 | 1 | ||||||
| STAR | 14.5 | 2 | ||||||
| STAR | 19.6 | 5 | ||||||
| STAR | 27 | 10 | ||||||
| STAR | 39 | 20 | ||||||
| STAR | 62.4 | 50 | ||||||
| PHENIX | 130 | 100 | ||||||
| PHENIX | 200 | 400 | ||||||
| ALICE | 2760 | 500 |
| Collab. | (GeV) | Rapidity | Factor | T (GeV) | q | /ndof | ||
|---|---|---|---|---|---|---|---|---|
| HADES | 2.4 | 3/- | ||||||
| STAR | 7.7 | 0.1 | ||||||
| STAR | 11.5 | 0.5 | ||||||
| STAR | 19.6 | 1 | ||||||
| STAR | 27 | 2 | ||||||
| STAR | 39 | 5 | ||||||
| STAR | 62.4 | 100 | ||||||
| STAR | 130 | 200 | ||||||
| STAR | 200 | 1000 | ||||||
| ALICE | 2760 | 500 |
Publisher’s Note: MDPI stays neutral with regard to jurisdictional claims in published maps and institutional affiliations. |
© 2022 by the authors. Licensee MDPI, Basel, Switzerland. This article is an open access article distributed under the terms and conditions of the Creative Commons Attribution (CC BY) license (https://creativecommons.org/licenses/by/4.0/).
Share and Cite
Li, L.-L.; Liu, F.-H.; Waqas, M.; Ajaz, M. Analyzing Transverse Momentum Spectra by a New Method in High-Energy Collisions. Universe 2022, 8, 31. https://doi.org/10.3390/universe8010031
Li L-L, Liu F-H, Waqas M, Ajaz M. Analyzing Transverse Momentum Spectra by a New Method in High-Energy Collisions. Universe. 2022; 8(1):31. https://doi.org/10.3390/universe8010031
Chicago/Turabian StyleLi, Li-Li, Fu-Hu Liu, Muhammad Waqas, and Muhammad Ajaz. 2022. "Analyzing Transverse Momentum Spectra by a New Method in High-Energy Collisions" Universe 8, no. 1: 31. https://doi.org/10.3390/universe8010031
APA StyleLi, L.-L., Liu, F.-H., Waqas, M., & Ajaz, M. (2022). Analyzing Transverse Momentum Spectra by a New Method in High-Energy Collisions. Universe, 8(1), 31. https://doi.org/10.3390/universe8010031

