Project MOMO: Multiwavelength Observations and Modeling of OJ 287
Abstract
1. Introduction
1.1. Blazars and Supermassive Binary Black Holes
1.2. OJ 287
2. MOMO Project Description
2.1. Motivation, Set Up, and Key Goals
2.2. MOMO-X
2.3. MOMO-UO
2.4. MOMO-Radio
3. MOMO Results
3.1. Long-Term Light Curve
3.2. X-ray Spectroscopy
3.3. Inter-Band Correlations, DCF
3.4. SEDs
3.5. Individual Outstanding Epochs and Comparison with Predictions of the SMBBH Model
3.5.1. 2016/17 Outburst
3.5.2. 2017 UV–Optical Deep Fade
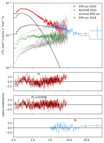
3.5.3. 2020 Outburst
3.5.4. Late 2020–Early 2021 Flux Evolution and Search for Precursor Flare Activity
4. Summary and Conclusions
Funding
Data Availability Statement
Acknowledgments
Conflicts of Interest
Abbreviations
| BLR | broad-line region |
| DCF | discrete correlation function |
| EC | external Comptonization |
| EHT | event horizon telescope |
| EUV | extreme ultraviolet |
| GR | general relativity |
| GWs | gravitational waves |
| IC | inverse Compton |
| LBL | low-frequency peaked blazar |
| LISA | laser interferometer space antenna |
| MJD | modified Julian date |
| MOMO | multiwavelength observations and modeling of OJ 287 |
| MWL | multiwavelength |
| PI | principal investigator |
| PN | post-Newtonian |
| SED | spectral energy distribution |
| SKA | square-kilometer array |
| SMBH | supermassive black hole |
| SMBBH | supermassive binary black hole |
| SSC | synchrotron-self-Compton |
| UVOT | UV-optical telescope |
| VLBI | very long baseline interferometry |
| XRT | X-ray telescope |
| 1 | e.g., K during the 2005 flare [60]. |
| 2 | Given the redshift of OJ 287, UVOT filter central wavelengths [83] correspond to Å (UV-W2) and Å (V), respectively, in the restframe. |
| 3 | |
| 4 | |
| 5 | The deep fade was independently noticed in ground-based optical monitoring and was used to obtain imaging of the host galaxy of OJ 287 while the blazar glare itself was least affecting the host detection [100]. |
| 6 | https://www.elisascience.org/ (accessed on 19 July 2021). |
References
- Blandford, R.D.; Meier, D.; Readhead, A. Relativistic Jets from Active Galactic Nuclei. Annu. Rev. Astron. Astrophys. 2019, 57, 467–509. [Google Scholar] [CrossRef]
- Ghisellini, G. Swift for blazars. J. High Energy Astrophys. 2015, 7, 163–172. [Google Scholar] [CrossRef]
- Marscher, A.P. Jets in Active Galactic Nuclei. Lect. Notes Phys. 2009, 794, 173–201. [Google Scholar] [CrossRef]
- Böttcher, M. Progress in Multi-wavelength and Multi-Messenger Observations of Blazars and Theoretical Challenges. Galaxies 2019, 7, 20. [Google Scholar] [CrossRef]
- Centrella, J.; Baker, J.G.; Kelly, B.J.; van Meter, J.R. Black-hole binaries, gravitational waves, and numerical relativity. Rev. Mod. Phys. 2010, 82, 3069. [Google Scholar] [CrossRef]
- Komossa, S.; Zensus, J.A. Compact object mergers: Observations of supermassive binary black holes and stellar tidal disruption events. IAUS 2016, 312, 13–25. [Google Scholar] [CrossRef]
- Begelman, M.C.; Blandford, R.D.; Rees, M.J. Massive black hole binaries in active galactic nuclei. Nature 1980, 287, 307–309. [Google Scholar] [CrossRef]
- Merritt, D.; Milosavljević, M. Massive Black Hole Binary Evolution. Living Rev. Relativ. 2005, 8, 8. [Google Scholar] [CrossRef]
- Valtonen, M.J.; Karttunen, H. The Three-Body Problem; Cambridge University Press: Cambridge, UK, 2006. [Google Scholar]
- Graham, M.; Djorgovski, S.G.; Stern, D.; Glikman, E.; Drake, A.J.; Mahabal, A.A.; Donalek, C.; Larson, S.; Christensen, E. A possible close supermassive black-hole binary in a quasar with optical periodicity. Nature 2015, 518, 74–76. [Google Scholar] [CrossRef]
- Kelley, L.Z.; Haiman, Z.; Sesana, A.; Hernquist, L. Massive BH binaries as periodically variable AGN. Mon. Not. R. Astron. Soc. 2019, 495, 1579–1594. [Google Scholar] [CrossRef]
- Sillanpää, A.; Takalo, L.O.; Pursimo, T.; Nilsson, K.; Heinamaki, P.; Katajainen, S.; Pietila, H.; Hanski, M.; Rekola, R.; Kidger, M.; et al. Double-peak structure in the cyclic optical outbursts of blazar OJ 287. Astron. Astrophys. 1996, 315, L13–L16. Available online: http://adsabs.harvard.edu/abs/1996A%26A...315L..13S (accessed on 17 July 2020).
- Bon, E.; Jovanović, P.; Marziani, P.; Shapovalova, A.I.; Bon, N.; Borka Jovanović, V.; Borka, D.; Sulentic, J.; Popović, L.C. The First Spectroscopically Resolved Sub-parsec Orbit of a Supermassive Binary Black Hole. Astrophys. J. 2012, 759, 118. [Google Scholar] [CrossRef]
- Kun, E.; Gabanyi, K.É.; Karouzos, M.; Britzen, S.; Gergely, L.Á. A spinning supermassive black hole binary model consistent with VLBI observations of the S5 1928+738 jet. Mon. Not. R. Astron. Soc. 2014, 445, 1370–1382. [Google Scholar] [CrossRef]
- Conway, J.E.; Wrobel, J.M. A Helical Jet in the Orthogonally Misaligned BL Lacertae Object Markarian 501 (B1652+398). Astrophys. J. 1995, 439, 98–112. [Google Scholar] [CrossRef]
- Mohan, P.; An, T.; Frey, S.; Mangalam, A.; Gabányi, K.É.; Kun, E. Parsec-scale jet properties of the quasar PG 1302-102. Mon. Not. R. Astron. Soc. 2016, 463, 1812–1821. [Google Scholar] [CrossRef]
- Nilsson, K.; Takalo, L.O.; Lehto, H.J.; Sillanpää, A. H-alpha monitoring of OJ 287 in 2005-08. Astron. Astrophys. 2010, 516, A60. [Google Scholar] [CrossRef][Green Version]
- Sitko, M.L.; Junkkarinen, V.T. Continuum and line fluxes of OJ 287 at minimum light. Publ. Astron. Soc. Pac. 1985, 97, 1158. [Google Scholar] [CrossRef]
- Padovani, P.; Giommi, P. The Connection between X-Ray– and Radio-selected BL Lacertae Objects. Astrophys. J. 1995, 444, 567–581. [Google Scholar] [CrossRef]
- Sambruna, R.M.; Maraschi, L.; Urry, C.M. On the Spectral Energy Distributions of Blazars. Astrophys. J. 1996, 463, 444. [Google Scholar] [CrossRef]
- Abdo, A.A.; Ackermann, M.; Agudo, I.; Ajello, M.; Aller, H.D.; Aller, M.F.; Angelakis, E.; Arkharov, A.A.; Axelsson, M.; Bach, U.; et al. The Spectral Energy Distribution of Fermi Bright Blazars. Astrophys. J. 2010, 716, 30. [Google Scholar] [CrossRef]
- Agudo, I.; Marscher, A.P.; Jorstad, S.G.; Gómez, J.L.; Perucho, M.; Piner, B.G.; Rioja, M.; Dodson, R. Erratic Jet Wobbling in the BL Lacertae Object OJ287 Revealed by Sixteen Years of 7 mm VLBA Observations. Astrophys. J. 2012, 747, 63. [Google Scholar] [CrossRef]
- Britzen, S.; Fendt, C.; Witzel, G.; Qian, S.-J.; Pashchenko, I.N.; Kurtanidze, O.; Zajacek, M.; Martinez, G.; Karas, V.; Aller, M.; et al. OJ287: Deciphering the Rosetta stone of blazars. Mon. Not. R. Astron. Soc. 2018, 478, 3199–3219. [Google Scholar] [CrossRef]
- Hodgson, J.A.; Krichbaum, T.P.; Marscher, A.P.; Jorstad, S.G.; Rani, B.; Marti-Vidal, I.; Bach, U.; Sanchez, S.; Bremer, M.; Lindqvist, M.; et al. Location of gamma-ray emission and magnetic field strengths in OJ 287. Astron. Astrophys. 2017, 597, A80. [Google Scholar] [CrossRef]
- Jorstad, S.G.; Marscher, A.P.; Lister, M.L.; Stirling, A.M.; Cawthorne, T.V.; Gear, W.K.; Gómez, J.L.; Stevens, J.A.; Smith, P.S.; Forster, J.R.; et al. Polarimetric Observations of 15 Active Galactic Nuclei at High Frequencies: Jet Kinematics from Bimonthly Monitoring with the Very Long Baseline Array. AJ 2005, 130, 1418. [Google Scholar] [CrossRef]
- Lee, J.W.; Lee, S.-S.; Algaba, J.-C.; Hodgson, J.; Kim, J.-Y.; Park, J.; Kino, M.; Kim, D.-W.; Kang, S.; Yoo, S. et al. Interferometric Monitoring of Gamma-Ray Bright AGNs: OJ 287. Astrophys. J. 2020, 902, 104. [Google Scholar] [CrossRef]
- Fuhrmann, L.; Larsson, S.; Chiang, J.; Angelakis, E.; Zensus, J.A.; Nestoras, I.; Krichbaum, T.Â.P.; Ungerechts, H.; Sievers, A.; Pavlidou, V.; et al. Detection of significant cm to sub-mm band radio and gamma-ray correlated variability in Fermi bright blazars. Mon. Not. R. Astron. Soc. 2014, 441, 1899–1909. [Google Scholar] [CrossRef]
- Valtaoja, E.; Teräsranta, H.; Tornikoski, M.; Sillanpää, A.; Aller, M.F.; Aller, H.D.; Hughes, P.A. Radio Monitoring of OJ 287 and Binary Black Hole Models for Periodic Outbursts. Astrophys. J. 2000, 531, 744. [Google Scholar] [CrossRef]
- Aller, M.F.; Hughes, P.A.; Aller, H.D.; Latimer, G.E.; Hovatta, T. Constraining the Physical Conditions in the Jets of Gamma-Ray Flaring Blazars Using Centimeter-band Polarimetry and Radiative Transfer Simulations. I. Data and Models for 0420-014, OJ 287, and 1156+295. Astrophys. J. 2014, 791, 53. [Google Scholar] [CrossRef]
- Cohen, M.H.; Aller, H.D.; Aller, M.F.; Hovatta, T.; Kharb, P.; Kovalev, Y.Y.; Lister, M.L.; Meier, D.L.; Pushkarev, A.B.; Savolainen, T. Reversals in the Direction of Polarization Rotation in OJ 287. Astrophys. J. 2018, 862, 1. [Google Scholar] [CrossRef]
- Myserlis, I.; Komossa, S.; Angelakis, E.; Gómez, J.L.; Karamanavis, V.; Krichbaum, T.P.; Bach, U.; Grupe, D. High cadence, linear, and circular polarization monitoring of OJ 287. Helical magnetic field in a bent jet. Astron. Astrophys. 2018, 619, A88, (paper Ib). [Google Scholar] [CrossRef]
- Ciprini, S.; Raiteri, C.M.; Rizzi, N.; Agudo, I.; Foschini, L.; Fiorucci, M.; Takalo, L.O.; Villata, M.; Ostorero, L.; Sillanpää, A.; et al. Prominent activity of the blazar OJ 287 in 2005. XMM-Newton and multiwavelength observations. MmSAI 2007, 78, 741–744. [Google Scholar]
- Donato, D.; Sambruna, R.M.; Gliozzi, M. Six years of BeppoSAX observations of blazars: A spectral catalog. Astron. Astrophys. 2005, 433, 1163–1169. [Google Scholar] [CrossRef]
- Gallant, D.; Gallo, L.C.; Parker, M.L. X-ray spectral variability of blazars using principal component analysis. Mon. Not. R. Astron. Soc. 2018, 480, 1999–2010. [Google Scholar] [CrossRef]
- Komossa, S.; Grupe, D.; Parker, M.L.; Valtonen, M.J.; Gómez, J.L.; Gopakumar, A.; Dey, L. The 2020 April-June super-outburst of OJ 287 and its long-term multiwavelength light curve with Swift: Binary supermassive black hole and jet activity. Mon. Not. R. Astron. Soc. 2020, 498, L35–L39, (paper II). [Google Scholar] [CrossRef]
- Komossa, S.; Grupe, D.; Parker, M.L.; Gómez, J.L.; Valtonen, M.J.; Nowak, M.A.; Jorstad, S.G.; Haggard, D.; Chandra, S.; Ciprini, S.; et al. X-ray spectral components of the blazar and binary black hole candidate OJ 287 (2005–2020). Mon. Not. R. Astron. Soc. 2021, 504, 5575–5587, (paper III). [Google Scholar] [CrossRef]
- Kushwaha, P.; Sahayanathan, S.; Singh, K.P. High energy emission processes in OJ 287 during 2009 flare. Mon. Not. R. Astron. Soc. 2013, 433, 2380–2388. [Google Scholar] [CrossRef]
- Madejski, G.M.; Schwartz, D.A. Studies of BL Lacertae Objects with the Einstein Observatory: The Soft X-Ray Spectra of OJ 287 and PKS 0735+178. Astrophys. J. 1988, 330, 776–790. [Google Scholar] [CrossRef]
- Marscher, A.P.; Jorstad, S.G. The Megaparsec-scale X-ray Jet of The BL Lac Object OJ287. Astrophys. J. 2011, 729, 26. [Google Scholar] [CrossRef]
- Massaro, E.; Giommi, P.; Tosti, G.; Cassetti, A.; Nesci, R.; Perri, M.; Burrows, D.; Gerehls, N. Swift observations of IBL and LBL objects. Astron. Astrophys. 2008, 489, 1047–1054. [Google Scholar] [CrossRef]
- Seta, H.; Isobe, N.; Tashiro, M.S.; Yaji, Y.; Arai, A.; Fukuhara, M.; Kohno, K.; Nakanishi, K.; Sasada, M.; Shimajiri, Y.; et al. Suzaku and Multi-Wavelength Observations of OJ 287 during the Periodic Optical Outburst in 2007. PASJ Publ. Astron. Soc. Jpn. 2009, 61, 1011–1022. [Google Scholar] [CrossRef]
- Siejkowski, H.; Wierzcholska, A. Characterizing long-term optical, ultraviolet and X-ray variability in different activity states of OJ 287. Mon. Not. R. Astron. Soc. 2017, 468, 426–434. [Google Scholar] [CrossRef]
- Stroh, M.C.; Falcone, A.D. Swift X-Ray Telescope Monitoring of Fermi-LAT Gamma-Ray Sources of Interest. Astrophys. J. Suppl. 2013, 20, 28. [Google Scholar] [CrossRef]
- Urry, M.; Sambruna, R.M.; Worrall, D.M.; Kollgaard, R.I.; Feigelson, E.D.; Perlman, E.S.; Stocke, J.T. Soft X-Ray Properties of a Complete Sample of Radio-selected BL Lacertae Objects. Astrophys. J. 1996, 463, 424. [Google Scholar] [CrossRef]
- Williamson, K.E.; Jorstad, S.G.; Marscher, A.P.; Larionov, V.M.; Smith, P.S.; Agudo, I.; Arkharov, A.A.; Blinov, D.A.; Casadio, C.; Efimova, N.V.; et al. Comprehensive Monitoring of Gamma-Ray Bright Blazars. I. Statistical Study of Optical, X-Ray, and Gamma-Ray Spectral Slopes. Astrophys. J. 2014, 789, 135. [Google Scholar] [CrossRef]
- Abdo, A.A.; Ackermann, M.; Ajello, M.; Atwood, W.B.; Axelsson, M.; Baldini, L.; Ballet, J.; Barbiellini, G.; Bastieri, D.; Baughman, B.M.; et al. Bright Active Galactic Nuclei Source List from the First Three Months of the Fermi Large Area Telescope All-Sky Survey. Astrophys. J. 2009, 700, 597. [Google Scholar] [CrossRef]
- Agudo, I.; Jorstad, S.G.; Marscher, A.P.; Larionov, V.M.; Gómez, J.L.; Lähteenmäki, A.; Gurwell, M.; Smith, P.S.; Wiesemeyer, H.; Thum, C.; et al. Location of Gamma-ray Flare Emission in the Jet of the BL Lacertae Object OJ287 More than 14 pc from the Central Engine. Astrophys. J. 2011, 726, L13. [Google Scholar] [CrossRef]
- Dey, L.; Valtonen, M.J.; Gopakumar, A.; Zola, S.; Hudec, R.; Pihajoki, P.; Ciprini, S.; Matsumoto, K.; Sadakane, K.; Kidger, M.; et al. Authenticating the Presence of a Relativistic Massive Black Hole Binary in OJ 287 Using Its General Relativity Centenary Flare: Improved Orbital Parameters. Astrophys. J. 2018, 866, 11. [Google Scholar] [CrossRef]
- Laine, S.; Dey, L.; Valtonen, M.; Gopakumar, A.; Zola, S.; Komossa, S.; Kidger, M.; Pihajoki, P.; Gómez, J.L.; Caton, D.; et al. Spitzer Observations of the Predicted Eddington Flare from Blazar OJ 287. Astrophys. J. Lett. 2020, 894, L1. [Google Scholar] [CrossRef]
- Sillanpää, A.; Haarala, S.; Valtonen, M.J.; Sundelius, B.; Byrd, G.G. OJ 287: Binary Pair of Supermassive Black Holes. Astrophys. J. 1988, 325, 628–634. [Google Scholar] [CrossRef]
- Valtonen, M.J.; Lehto, H.J.; Nilsson, K.; Heidt, J.; Takalo, L.O.; Sillanpää, A.; Villforth, C.; Kidger, M.; Poyner, G.; Pursimo, T.; et al. A massive binary black-hole system in OJ287 and a test of general relativity. Nature 2008, 452, 851–853. [Google Scholar] [CrossRef] [PubMed]
- Valtonen, M.J.; Zola, S.; Pihajoki, P.; Enestam, S.; Lehto, H.J.; Dey, L.; Gopakumar, A.; Drozdz, M.; Ogloza, W.; Zejmo, M.; et al. Accretion Disk Parameters Determined from the Great 2015 Flare of OJ 287. Astrophys. J. 2019, 882, 88. [Google Scholar] [CrossRef]
- Hudec, R.; Hudec, R.; Bašta, M.; Pihajoki, P.; Valtonen, M. The historical 1900 and 1913 outbursts of the binary blazar candidate OJ287. Astron. Astrophys. 2013, 559, A20. [Google Scholar] [CrossRef]
- Pursimo, T.; Takalo, L.O.; Sillanpää, A.; Kidger, M.; Lehto, H.J.; Heidt, J.; Charles, P.A.; Aller, H.; Aller, M.; Beckmann, V.; et al. Intensive monitoring of OJ 287. Astron. Astrophys. Suppl. 2000, 146, 141–155. [Google Scholar] [CrossRef]
- Villforth, C.; Nilsson, K.; Heidt, J.; Takalo, L.O.; Pursimo, T.; Berdyugin, A.; Lindfors, E.; Pasanen, M.; Winiarski, M.; Drozdz, M.; et al. Variability and stability in blazar jets on time-scales of years: Optical polarization monitoring of OJ 287 in 2005–2009. Mon. Not. R. Astron. Soc. 2010, 402, 2087–2111. [Google Scholar] [CrossRef]
- Lehto, H.J.; Valtonen, M.J. OJ 287 Outburst Structure and a Binary Black Hole Model. Astrophys. J. 1996, 460, 207. [Google Scholar] [CrossRef]
- Ivanov, P.B.; Igumenshchev, I.V.; Novikov, I.D. Hydrodynamics of Black Hole-Accretion Disk Collision. Astrophys. J. 1998, 507, 131. [Google Scholar] [CrossRef]
- Shakura, N.I.; Sunyaev, R.A. Black holes in binary systems. Observational appearance. Astron. Astrophys. 1973, 24, 337–355. Available online: http://adsabs.harvard.edu/abs/1973A&A....24..337S (accessed on 17 July 2020).
- Valtonen, M.J.; Zola, S.; Ciprini, S.; Gopakumar, A.; Matsumoto, K.; Sadakane, K.; Kidger, M.; Gazeas, K.; Nilsson, K.; Berdyugin, A.; et al. Primary Black Hole Spin in OJ 287 as Determined by the General Relativity Centenary Flare. Astrophys. J. Lett. 2016, 819, L37. [Google Scholar] [CrossRef]
- Valtonen, M.J.; Ciprini, S.; Lehto, H.J. On the masses of OJ287 black holes. Mon. Not. R. Astron. Soc. 2012, 427, 77–83. [Google Scholar] [CrossRef]
- Smith, P.S.; Balonek, T.J.; Elston, R.; Heckert, P.A. Optical and Near-Infrared Observations of BL Lacertae Objects and Active Quasars. Astrophys. J. Suppl. 1987, 64, 459–485. [Google Scholar] [CrossRef]
- Sundelius, B.; Wahde, M.; Lehto, H.J.; Valtonen, M.J. A Numerical Simulation of the Brightness Variations of OJ 287. Astrophys. J. 1997, 484, 180. [Google Scholar] [CrossRef]
- Valtonen, M.J.; Nilsson, K.; Villforth, C.; Lehto, H.J.; Takalo, L.O.; Lindfors, E.; Sillanpää, A.; Hentunen, V.-P.; Mikkola, S.; Zola, S.; et al. Tidally Induced Outbursts in OJ 287 during 2005–2008. Astrophys. J. 2009, 698, 781. [Google Scholar] [CrossRef]
- Cuadra, J.; Armitage, P.J.; Alexander, R.D.; Begelman, M.C. Massive black hole binary mergers within subparsec scale gas discs. Mon. Not. R. Astron. Soc. 2009, 393, 1423–1432. [Google Scholar] [CrossRef]
- Liu, F.K. X-shaped radio galaxies as observational evidence for the interaction of supermassive binary black holes and accretion disc at parsec scale. Mon. Not. R. Astron. Soc. 2004, 347, 1357–1369. [Google Scholar] [CrossRef]
- MacFadyen, A.I.; Milosavljević, M. An Eccentric Circumbinary Accretion Disk and the Detection of Binary Massive Black Holes. Astrophys. J. 2008, 672, 83. [Google Scholar] [CrossRef]
- D’Orazio, D.J.; Haiman, Z.; Duffell, P.; MacFadyen, A.; Farris, B. A transition in circumbinary accretion discs at a binary mass ratio of 1:25. Mon. Not. R. Astron. Soc. 2016, 459, 2379–2393. [Google Scholar] [CrossRef]
- Duffell, P.C.; D’Orazio, D.; Derdzinski, A.; Haiman, Z.; MacFadyen, A.; Rosen, A.L.; Zrake, J. Circumbinary Disks: Accretion and Torque as a Function of Mass Ratio and Disk Viscosity. Astrophys. J. 2020, 901, 25. [Google Scholar] [CrossRef]
- Haiman, Z.; Kocsis, B.; Menou, K. The Population of Viscosity- and Gravitational Wave-driven Supermassive Black Hole Binaries Among Luminous Active Galactic Nuclei. Astrophys. J. 2009, 700, 1952. [Google Scholar] [CrossRef]
- Valtonen, M.J.; Lehto, H.; Kokkonen, K.; Mikkola, S. The 0J287 Binary Model and the November 1995 Outburst. Available online: http://adsabs.harvard.edu/pdf/1996ASPC..110...93V (accessed on 23 July 2020).
- Katz, J.I. A Precessing Disk in OJ 287? Astrophys. J. 1997, 478, 527. [Google Scholar] [CrossRef]
- Liu, F.K.; Wu, X.B. Black hole mass and binary model for BL Lac object OJ 287. Astron. Astrophys. 2002, 388, L48–L52. [Google Scholar] [CrossRef]
- Villata, M.; Raiteri, C.M.; Sillanpaa, A.; Takalo, L.O. A beaming model for the OJ 287 periodic optical outbursts. Mon. Not. R. Astron. Soc. 1998, 293, L13–L16. [Google Scholar] [CrossRef]
- Liska, M.; Hesp, C.; Tchekhovskoy, A.; Ingram, A.; van der Klis, M.; Markoff, S. Formation of precessing jets by tilted black hole discs in 3D general relativistic MHD simulations. Mon. Not. R. Astron. Soc. 2018, 474, L81–L85. [Google Scholar] [CrossRef]
- Yardley, D.R.B.; Hobbs, G.B.; Jenet, F.A.; Verbiest, J.P.W.; Wen, Z.L.; Manchester, R.N.; Coles, W.A.; van Straten, W.; Bailes, M.; Bhat, N.D.R.; et al. The sensitivity of the Parkes Pulsar Timing Array to individual sources of gravitational waves. Mon. Not. R. Astron. Soc. 2010, 407, 669–680. [Google Scholar] [CrossRef]
- Komossa, S.; Grupe, D.; Schartel, N.; Gallo, L.; Gomez, J.L.; Kollatschny, W.; Kriss, G.; Leighly, K.; Longinotti, A.L.; Parker, M.; et al. The Extremes of AGN Variability. IAUS 2017, 324, 168–171, (paper I). [Google Scholar] [CrossRef]
- Gehrels, N.; Chincarini, G.; Giommi, P.; Mason, K.O.; Nousek, J.A.; Wells, A.A.; White, N.E.; Barthelmy, S.D.; Burrows, D.N.; Cominsky, L.R.; et al. The Swift Gamma-Ray Burst Mission. Astrophys. J. 2004, 611, 1005. [Google Scholar] [CrossRef]
- Akiyama, K.; Alberdi, A.; Alef, W.; Asada, K.; Azulay, R.; Baczko, A.; Ball, D.; Baloković, M.; Barrett, J.; Event Horizon Telescope Collaboration; et al. First M87 Event Horizon Telescope Results. I. The Shadow of the Supermassive Black Hole. Astrophys. J. 2019, 875, L1. [Google Scholar] [CrossRef]
- Burrows, D.N.; Hill, J.E.; Nousek, J.A.; Kennea, J.A.; Wells, A.; Osborne, J.P.; Abbey, A.F.; Beardmore, A.; Mukerjee, K.; Short, A.D.T.; et al. The Swift X-Ray Telescope. Space Sci. Rev. 2005, 120, 165–195. [Google Scholar] [CrossRef]
- Kalberla, P.M.W.; Burton, W.B.; Hartmann, D.; Arnal, E.M.; Bajaja, E.; Morras, R.; Pöppel, W.G.L. The Leiden/Argentine/Bonn (LAB) Survey of Galactic HI. Final data release of the combined LDS and IAR surveys with improved stray-radiation corrections. Astron. Astrophys. 2005, 440, 775–782. [Google Scholar] [CrossRef]
- Done, C.; Davis, S.W.; Jin, C.; Blaes, O.; Ward, M. Intrinsic disc emission and the soft X-ray excess in active galactic nuclei. Mon. Not. R. Astron. Soc. 2012, 420, 1848–1860. [Google Scholar] [CrossRef]
- Roming, P.W.A.; Kennedy, T.E.; Mason, K.O.; Nousek, J.A.; Ahr, L.; Bingham, R.E.; Broos, P.S.; Carter, M.J.; Hancock, B.K.; Huckle, H.E.; et al. The Swift Ultra-Violet/Optical Telescope. Space Sci. Rev. 2005, 120, 95–142. [Google Scholar] [CrossRef]
- Poole, T.S.; Breeveld, A.A.; Page, M.J.; Landsman, W.; Holland, S.T.; Roming, P.; Kuin, N.P.M.; Brown, P.J.; Gronwall, C.; Hunsberger, S.; et al. Photometric calibration of the Swift ultraviolet/optical telescope. Mon. Not. R. Astron. Soc. 2008, 383, 627–645. [Google Scholar] [CrossRef]
- Grupe, D.; Komossa, S.; Leighly, K.M.; Page, K.L. The Simultaneous Optical-to-X-Ray Spectral Energy Distribution of Soft X-Ray Selected Active Galactic Nuclei Observed by Swift. Astrophys. J. Suppl. 2010, 187, 64. [Google Scholar] [CrossRef]
- Schlegel, D.J.; Finkbeiner, D.P.; Davis, M. Maps of Dust Infrared Emission for Use in Estimation of Reddening and Cosmic Microwave Background Radiation Foregrounds. Astrophys. J. 1998, 500, 525. [Google Scholar] [CrossRef]
- Komossa, S.; Grupe, D.; Gallo, L.C.; Gonzalez, A.; Yao, S.; Hollett, A.R.; Parker, M.L.; Ciprini, S. MOMO IV: The complete Swift X-ray and UV/optical light curve and characteristic variability of the blazar OJ 287 during the last two decades. Astrophys. J. 2021, in press. (paper IV). [Google Scholar]
- Komossa, S.; Myserlis, I.; Angelakis, E.; Bach, U.; Krichbaum, T.P.; Grupe, D.; Max-Moerbeck, W.; Kraus, A.; Zensus, J.A.; Kramer, M. Effelsberg radio follow-up observations of the optical outburst of the blazar OJ 287: Flux density and polarization. Astron. Telegram 2015, 8411, 1. Available online: https://www.astronomerstelegram.org/?read=8411 (accessed on 17 July 2020).
- Kraus, A.; Krichbaum, T.P.; Wegner, R.; Witzel, A.; Cimo, G.; Quirrenbach, A.; Britzen, S.; Fuhrmann, L.; Lobanov, A.P.; Naundorf, C.E.; et al. Intraday variability in compact extragalactic radio sources. II. Observations with the Effelsberg 100m radio telescope. Astron. Astrophys. 2003, 401, 161–172. [Google Scholar] [CrossRef]
- Komossa, S.; Ciprini, S.; Dey, L.; Gallo, L.C.; Gomez, J.L.; Gonzalez, A.; Grupe, D.; Kraus, A.; Laine, S.J.; Parker, M.L.; et al. Supermassive binary black holes and the case of OJ 287. Publ. Astron. Obs. Belgrade 2021, 100, 29–42. Available online: https://arxiv.org/abs/2104.12901 (accessed on 17 July 2020).
- Dey, L.; Valtonen, M.J.; Gopakumar, A.; Lico, R.; Gómez, J.L.; Susobhanan, A.; Komossa, S.; Pihajoki, P. Explaining temporal variations in the jet PA of the blazar OJ 287 using its BBH central engine model. Mon. Not. R. Astron. Soc. 2021, 503, 4400–4412. [Google Scholar] [CrossRef]
- Pihajoki, P.; Valtonen, M.; Zola, S.; Liakos, A.; Drozdz, M.; Winiarski, M.; Ogloza, W.; Koziel-Wierzbowska, D.; Provencal, J.; Nilsson, K.; et al. Precursor Flares in OJ 287. Astrophys. J. 2013, 764, 5. [Google Scholar] [CrossRef]
- Kirk, J.G.; Rieger, F.M.; Mastichiadis, A. Particle acceleration and synchrotron emission in blazar jets. Astron. Astrophys. 1998, 333, 452–458. Available online: http://aa.springer.de/bibs/8333002/2300452/small.htm (accessed on 17 July 2020).
- Marscher, A.P. Turbulent, Extreme Multi-zone Model for Simulating Flux and Polarization Variability in Blazars. Astrophys. J. 2014, 780, 87. [Google Scholar] [CrossRef]
- Sokolov, A.; Marscher, A.P.; McHardy, I.M. Synchrotron Self-Compton Model for Rapid Nonthermal Flares in Blazars with Frequency-dependent Time Lags. Astrophys. J. 2004, 613, 725. [Google Scholar] [CrossRef]
- Edelson, R.; Gelbord, J.; Cackett, E.; Connolly, S.; Done, C.; Fausnaugh, M.; Gardner, E.; Gehrels, N.; Goad, M.; Horne, K.; et al. Swift Monitoring of NGC 4151: Evidence for a Second X-Ray/UV Reprocessing. Astrophys. J. 2017, 840, 41. [Google Scholar] [CrossRef]
- Sikora, M.; Stawarz, L.; Moderski, R.; Nalewajko, K.; Madejski, G.M. Constraining Emission Models of Luminous Blazar Sources. Astrophys. J. 2009, 704, 38. [Google Scholar] [CrossRef]
- Valtonen, M.J.; Zola, S.; Jermak, H.; Ciprini, S.; Hudec, R.; Dey, L.; Gopakumar, A.; Reichart, D.; Caton, D.; Gazeas, K.; et al. Polarization and Spectral Energy Distribution in OJ 287 during the 2016/17 Outbursts. Galaxies 2017, 5, 83. [Google Scholar] [CrossRef]
- O’Brien, S. VERITAS detection of VHE emission from the optically bright quasar OJ 287. Proc. Sci. (PoS) 2017, ICRC2017, 650. [Google Scholar] [CrossRef]
- Goddi, C.; Martí-Vidal, I.; Messias, H.; Bower, G.C.; Broderick, A.E.; Dexter, J.; Marrone, D.P.; Moscibrodzka, M.; Nagai, H.; Algaba, J.C.; et al. Polarimetric Properties of Event Horizon Telescope Targets from ALMA. Astrophys. J. 2021, 910, L14. [Google Scholar] [CrossRef]
- Nilsson, K.; Kotilainen, J.; Valtonen, M.; Gomez, J.L.; Castro-Tirado, A.J.; Drozdz, M.; Gopakumar, A.; Jeong, S.; Kidger, M.; Komossa, S.; et al. The Host Galaxy of OJ 287 Revealed by Optical and Near-infrared Imaging. Astrophys. J. 2020, 904, 102. [Google Scholar] [CrossRef]
- Takalo, L.O.; Kidger, M.; de Diego, J.A.; Sillanpaa, A.; Piirola, V.; Terasranta, H. A sudden fade of OJ 287. Astron. Astrophys. Suppl. 1990, 83, 459–465. Available online: http://adsabs.harvard.edu/abs/1990A&AS...83..459T (accessed on 17 July 2020).
- Evans, P.A.; Beardmore, A.P.; Page, K.L.; Tyler, L.G.; Osborne, J.P.; Goad, M.R.; O’Brien, P.T.; Vetere, L.; Racusin, J.; Morris, D.; et al. An online repository of Swift/XRT light curves of gamma-ray bursts. Astron. Astrophys. 2007, 469, 379–385. [Google Scholar] [CrossRef]











| Mission | Instrument | Waveband or Central Wavelength |
|---|---|---|
| Swift | XRT | 0.3–10 keV |
| Swift | UVOT–W2 | 1928 Å |
| UVOT–M2 | 2246 Å | |
| UVOT–W1 | 2600 Å | |
| UVOT–U | 3465 Å | |
| UVOT–B | 4392 Å | |
| UVOT–V | 5468 Å | |
| Effelsberg 100m telescope | S7mm | 33–50 GHz |
| S14mm | 18–26 GHz | |
| S20mm | 12–18 GHz | |
| S28mm | 10.45 GHz | |
| S60mm | 4.85 GHz | |
| S110mm | 2.55 GHz |
| Event | obs. Date | Waveband | Comments |
|---|---|---|---|
| outburst | Sep 2016–Apr 2017 | all | consistent with binary after-flare [97]; |
| supersoft X-ray spectrum, non-thermal | |||
| deep fade | Oct–Dec 2017 | UV, opt | symmetric fade, not seen in X-rays |
| impact flare | July 2019 | IR | predicted; detected with Spitzer [49] |
| outburst | Apr–Jun 2020 | all | consistent with binary after-flare [35]; |
| supersoft X-ray spectrum, non-thermal | |||
| low-state | Sept 2020 | UV, opt | |
| precursor-flare | Dec 2020 | opt | predicted [91] |
Publisher’s Note: MDPI stays neutral with regard to jurisdictional claims in published maps and institutional affiliations. |
© 2021 by the authors. Licensee MDPI, Basel, Switzerland. This article is an open access article distributed under the terms and conditions of the Creative Commons Attribution (CC BY) license (https://creativecommons.org/licenses/by/4.0/).
Share and Cite
Komossa, S.; Grupe, D.; Kraus, A.; Gallo, L.C.; Gonzalez, A.G.; Parker, M.L.; Valtonen, M.J.; Hollett, A.R.; Bach, U.; Gómez, J.L.; et al. Project MOMO: Multiwavelength Observations and Modeling of OJ 287. Universe 2021, 7, 261. https://doi.org/10.3390/universe7080261
Komossa S, Grupe D, Kraus A, Gallo LC, Gonzalez AG, Parker ML, Valtonen MJ, Hollett AR, Bach U, Gómez JL, et al. Project MOMO: Multiwavelength Observations and Modeling of OJ 287. Universe. 2021; 7(8):261. https://doi.org/10.3390/universe7080261
Chicago/Turabian StyleKomossa, S., D. Grupe, A. Kraus, L. C. Gallo, A. G. Gonzalez, M. L. Parker, M. J. Valtonen, A. R. Hollett, U. Bach, J. L. Gómez, and et al. 2021. "Project MOMO: Multiwavelength Observations and Modeling of OJ 287" Universe 7, no. 8: 261. https://doi.org/10.3390/universe7080261
APA StyleKomossa, S., Grupe, D., Kraus, A., Gallo, L. C., Gonzalez, A. G., Parker, M. L., Valtonen, M. J., Hollett, A. R., Bach, U., Gómez, J. L., Myserlis, I., & Ciprini, S. (2021). Project MOMO: Multiwavelength Observations and Modeling of OJ 287. Universe, 7(8), 261. https://doi.org/10.3390/universe7080261

