Variations in Energetic Particle Fluxes around Significant Geomagnetic Storms Observed by the Low-Altitude DEMETER Spacecraft
Abstract
:1. Introduction
2. Data Set
3. Results
3.1. Energetic Particle Flux Evolution
3.2. Solar Wind Parameters
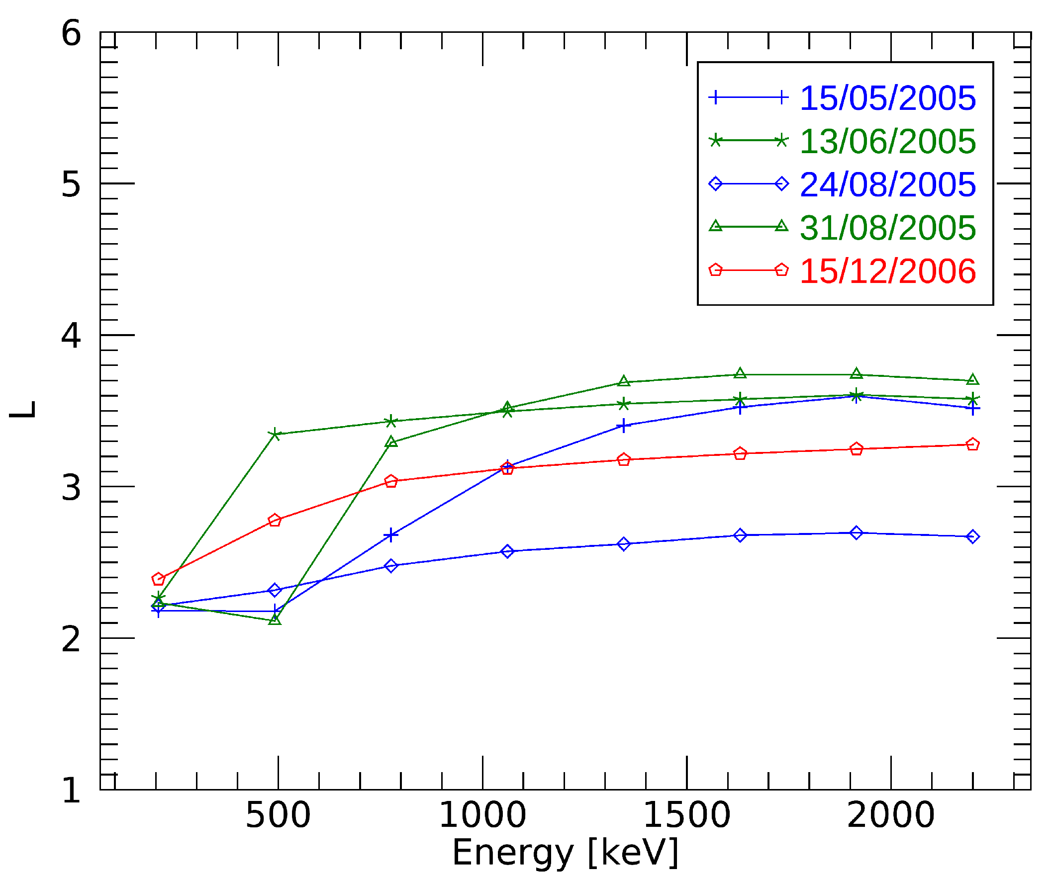
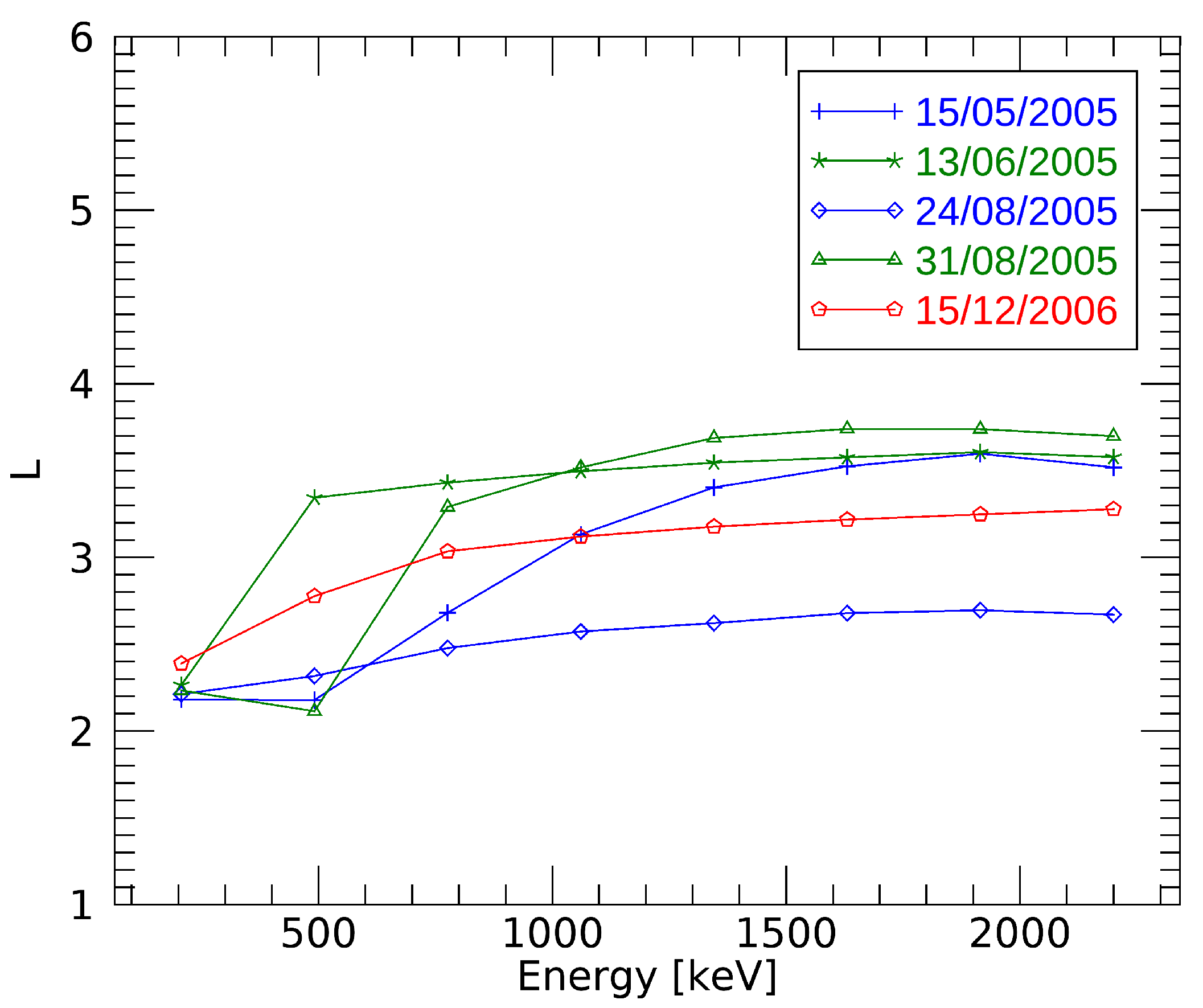
3.3. L Barrier
4. Discussion and Conclusions
Author Contributions
Funding
Institutional Review Board Statement
Informed Consent Statement
Data Availability Statement
Acknowledgments
Conflicts of Interest
References
- Turner, D.L.; Kilpua, E.K.J.; Hietala, H.; Claudepierre, S.G.; O’Brien, T.P.; Fennell, J.F.; Blake, J.B.; Jaynes, A.N.; Kanekal, S.; Baker, D.N.; et al. The Response of Earth’s Electron Radiation Belts to Geomagnetic Storms: Statistics from the Van Allen Probes Era Including Effects from Different Storm Drivers. J. Geophys. Res. 2019, 124, 1013–1034. [Google Scholar] [CrossRef] [Green Version]
- Dungey, J.W. Interplanetary Magnetic Field and the Auroral Zones. Phys. Rev. Lett. 1961, 6, 47–48. [Google Scholar] [CrossRef]
- Sugiura, M. Hourly Values of Equatorial Dst For the IGY. Ann. Int. Geophys. Year 1964, 35. [Google Scholar]
- Gonzalez, W.D.; Joselyn, J.A.; Kamide, Y.; Kroehl, H.W.; Rostoker, G.; Tsurutani, B.T.; Vasyliunas, V.M. What Is a Geomagnetic Storm? J. Geophys. Res. 1994, 99, 5771–5792. [Google Scholar] [CrossRef]
- Baker, D.N.; Li, X.; Turner, N.; Allen, J.H.; Bargatze, L.F.; Blake, J.B.; Sheldon, R.B.; Spence, H.E.; Belian, R.D.; Reeves, G.D.; et al. Recurrent Geomagnetic Storms and Relativistic Electron Enhancements in the Outer Magnetosphere: ISTP Coordinated Measurements. J. Geophys. Res. 1997, 102, 14141–14148. [Google Scholar] [CrossRef]
- Pandya, M.; Bhaskara, V.; Ebihara, Y.; Kanekal, S.G.; Baker, D.N. Variation of Radiation Belt Electron Flux During CME- and CIR-Driven Geomagnetic Storms: Van Allen Probes Observations. J. Geophys. Res. 2019, 124, 6524–6540. [Google Scholar] [CrossRef]
- Pierrard, V.; Botek, E.; Ripoll, J.F.; Cunningham, G. Electron Dropout Events and Flux Enhancements Associated with Geomagnetic Storms Observed by PROBA-V/Energetic Particle Telescope from 2013 to 2019. J. Geophys. Res. 2020, 125, e2020JA028487. [Google Scholar] [CrossRef]
- Zhao, H.; Baker, D.N.; Li, X.; Jaynes, A.N.; Kanekal, S.G. The Effects of Geomagnetic Storms and Solar Wind Conditions on the Ultrarelativistic Electron Flux Enhancements. J. Geophys. Res. 2019, 124, 1948–1965. [Google Scholar] [CrossRef]
- Jordanova, V.K.; Kozyra, J.U.; Nagy, A.F.; Khazanov, G.V. Kinetic Model of the Ring Current-Atmosphere Interactions. J. Geophys. Res. 1997, 102, 14279–14291. [Google Scholar] [CrossRef]
- Fok, M.C.; Wolf, R.A.; Spiro, R.W.; Moore, T.E. Comprehensive Computational Model of Earth’s Ring Current. J. Geophys. Res. 2001, 106, 8417–8424. [Google Scholar] [CrossRef]
- Kamide, Y.; Baumjohann, W.; Daglis, I.A.; Gonzalez, W.D.; Grande, M.; Joselyn, J.A.; McPherron, R.L.; Phillips, J.L.; Reeves, E.G.D.; Rostoker, G.; et al. Current Understanding of Magnetic Storms: Storm-Substorm Relationships. J. Geophys. Res. 1998, 103, 17705–17728. [Google Scholar] [CrossRef]
- Daglis, I.A.; Thorne, R.M.; Baumjohann, W.; Orsini, S. The Terrestrial Ring Current: Origin, Formation, and Decay. Rev. Geophys. 1999, 37, 407–438. [Google Scholar] [CrossRef]
- Wang, C.B.; Chao, J.K.; Lin, C.H. Influence of the Solar Wind Dynamic Pressure on the Decay and Injection of the Ring Current. J. Geophys. Res. 2003, 108. [Google Scholar] [CrossRef]
- Cane, H.V.; Richardson, I.G.; Cyr, O.C.S. Coronal Mass Ejections, Interplanetary Ejecta and Geomagnetic Storms. Geophys. Res. Lett. 2000, 27, 3591–3594. [Google Scholar] [CrossRef]
- Brueckner, G.E.; Delaboudiniere, J.P.; Howard, R.A.; Paswaters, S.E.; Cyr, O.C.S.; Schwenn, R.; Lamy, P.; Simnett, G.M.; Thompson, B.; Wang, D. Geomagnetic Storms Caused by Coronal Mass Ejections (CMEs): March 1996 through June 1997. Geophys. Res. Lett. 1998, 25, 3019–3022. [Google Scholar] [CrossRef]
- Kilpua, E.K.; Turner, D.L.; Jaynes, A.N.; Hietala, H.; Koskinen, H.E.J.; Osmane, A.; Palmroth, M.; Pulkkinen, T.I.; Vainio, R.; Baker, D.; et al. Outer Van Allen Radiation Belt Response to Interacting Interplanetary Coronal Mass Ejections. J. Geophys. Res. 2019, 124, 1927–1947. [Google Scholar] [CrossRef] [Green Version]
- Lugaz, N.; Farrugia, C.J.; Huang, C.L.; Spence, H.E. Extreme Geomagnetic Disturbances due to Shocks within CMEs. Geophys. Res. Lett. 2015, 42, 4694–4701. [Google Scholar] [CrossRef] [Green Version]
- Gosling, J.T. Coronal Mass Ejections and Magnetic Flux Ropes in Interplanetary Space. In Physics of Magnetic Flux Ropes; American Geophysical Union (AGU): Washington, DC, USA, 1990; pp. 343–364. [Google Scholar] [CrossRef]
- Tsurutani, B.T.; Gonzalez, W.D.; Gonzalez, A.L.C.; Guarnieri, F.L.; Gopalswamy, N.; Grande, M.; Kamide, Y.; Kasahara, Y.; Lu, G.; Mann, I.; et al. Corotating Solar Wind Streams and Recurrent Geomagnetic Activity: A Review. J. Geophys. Res. 2006, 111. [Google Scholar] [CrossRef] [Green Version]
- Richardson, I.G. Solar Wind Stream Interaction Regions Throughout the Heliosphere. Living Rev. Sol. Phys. 2018, 15. [Google Scholar] [CrossRef] [Green Version]
- Zhang, J.; Richardson, I.G.; Webb, D.F.; Gopalswamy, N.; Huttunen, E.; Kasper, J.C.; Nitta, N.V.; Poomvises, W.; Thompson, B.J.; Wu, C.C.; et al. Solar and Interplanetary Sources of Major Geomagnetic Storms (Dst ≤ −100 nT) during 1996–2005. J. Geophys. Res. 2007, 112. [Google Scholar] [CrossRef] [Green Version]
- Borovsky, J.E.; Denton, M.H. Differences between CME-Driven Storms and CIR-Driven Storms. J. Geophys. Res. 2006, 111. [Google Scholar] [CrossRef] [Green Version]
- Chertok, I.M. On the Relationship Between the Transit Time of ICMEs and Strength of the Initiated Geomagnetic Storms. Sol. Phys. 2020, 295. [Google Scholar] [CrossRef]
- Baker, D.N.; Jaynes, A.N.; Hoxie, V.C.; Thorne, R.M.; Foster, J.C.; Li, X.; Fennell, J.F.; Wygant, J.R.; Kanekal, S.G.; Erickson, P.J.; et al. An Impenetrable Barrier to Ultrarelativistic Electrons in the Van Allen Radiation Belts. Nature 2014, 515, 531–534. [Google Scholar] [CrossRef] [PubMed]
- Ozeke, L.G.; Mann, I.R.; Murphy, K.R.; Degeling, A.W.; Claudepierre, S.G.; Spence, H.E. Explaining the Apparant Impenetrable Barrier to Ultrarelativistic Electrons in the Outer Van Allen Belt. Nat. Commun. 2018, 9. [Google Scholar] [CrossRef] [Green Version]
- Sauvaud, J.; Moreau, T.; Maggiolo, R.; Treilhou, J.P.; Jacquey, C.; Cros, A.; Coutelier, J.; Rouzaud, J.; Penou, E.; Gangloff, M. High-Energy Electron Detection Onboard DEMETER: The IDP spectrometer, Description and First Results on the Inner Belt. Planet. Space Sci. 2006, 54, 502–511. [Google Scholar] [CrossRef]
- Sauvaud, J.A.; Maggiolo, R.; Jacquey, C.; Parrot, M.; Berthelier, J.J.; Gamble, R.J.; Rodger, C.J. Radiation Belt Electron Precipitation due to VLF Transmitters: Satellite Observations. Geophys. Res. Lett. 2008, 35. [Google Scholar] [CrossRef] [Green Version]
- Fok, M.C.; Moore, T.E. Drift-Shell Splitting in an Asymmetric Magnetic Field. In Geospace Mass and Energy Flow; American Geophysical Union (AGU): Washington, DC, USA, 1998; pp. 327–331. [Google Scholar] [CrossRef]
- Roederer, J.G.; Lejosne, S. Coordinates for Representing Radiation Belt Particle Flux. J. Geophys. Res. 2018, 123, 1381–1387. [Google Scholar] [CrossRef] [Green Version]
- Jian, L. Interplanetary Coronal Mass Ejections (ICMEs) from Wind and ACE Data during 1995–2009. 2021. Available online: http://www.srl.caltech.edu/ACE/ASC/DATA/level3/ICME_List_1995_2009_Jian.pdf (accessed on 7 June 2021).
- Jian, L. Stream Interaction Regions (SIRs) from WIND and ACE Data during 1995–2009. 2021. Available online: http://www.srl.caltech.edu/ACE/ASC/DATA/level3/SIR_List_1995_2009_Jian.pdf (accessed on 7 June 2021).
- King, J.H.; Papitashvili, N.E. Solar Wind Spatial Scales in and Comparisons of Hourly WIND and ACE Plasma and Magnetic Field Data. J. Geophys. Res. 2005, 110. [Google Scholar] [CrossRef]
- Teh, W.L.; Abdullah, M.; Hasbi, A. Lack of Relationship between Geoeffectiveness and Orientations of Magnetic Clouds with Bipolar Bz and Unipolar Southward Bz. Planet. Space Sci. 2015, 115, 27–34. [Google Scholar] [CrossRef]










| # | Date | Dst Minimum [nT] | Type | Source |
|---|---|---|---|---|
| 1 | 15 May 2005 | −247 | 1 | ICME |
| 2 | 13 June 2005 | −106 | 2 | ICME |
| 3 | 24 August 2005 | −184 | 1 | ICME/SIR |
| 4 | 31 August 2005 | −122 | 2 | SIR |
| 5 | 15 December 2006 | −162 | - | ICME |
Publisher’s Note: MDPI stays neutral with regard to jurisdictional claims in published maps and institutional affiliations. |
© 2021 by the authors. Licensee MDPI, Basel, Switzerland. This article is an open access article distributed under the terms and conditions of the Creative Commons Attribution (CC BY) license (https://creativecommons.org/licenses/by/4.0/).
Share and Cite
Gohl, S.; Němec, F.; Parrot, M. Variations in Energetic Particle Fluxes around Significant Geomagnetic Storms Observed by the Low-Altitude DEMETER Spacecraft. Universe 2021, 7, 260. https://doi.org/10.3390/universe7080260
Gohl S, Němec F, Parrot M. Variations in Energetic Particle Fluxes around Significant Geomagnetic Storms Observed by the Low-Altitude DEMETER Spacecraft. Universe. 2021; 7(8):260. https://doi.org/10.3390/universe7080260
Chicago/Turabian StyleGohl, Stefan, František Němec, and Michel Parrot. 2021. "Variations in Energetic Particle Fluxes around Significant Geomagnetic Storms Observed by the Low-Altitude DEMETER Spacecraft" Universe 7, no. 8: 260. https://doi.org/10.3390/universe7080260
APA StyleGohl, S., Němec, F., & Parrot, M. (2021). Variations in Energetic Particle Fluxes around Significant Geomagnetic Storms Observed by the Low-Altitude DEMETER Spacecraft. Universe, 7(8), 260. https://doi.org/10.3390/universe7080260

