An Investigation on the Distribution of Martian Ionospheric Particles, Based on the Mars Atmosphere and Volatile Evolution (MAVEN)
Abstract
1. Introduction
2. Methods and Results
2.1. Introduction to the MAVEN Mission and Modeling Method
2.2. The Martian Ionosphere Model
- (1)
- The statistics in this paper do not cover all ion types, especially the metal ions, so the ion density will be smaller than the electron density.
- (2)
- The ROSE dataset contains only the data of the electron density profile, and the KP dataset contains the density profile data of electrons, ions and molecules. According to whether the data is complete and the data fitting effect, it is decided to select the ion data of the KP dataset for January 2022 for Figure 1c–g and the electronic data of the ROSE dataset for March 2022 for Figure 1h. Therefore, the density of ions and electrons may be different.
3. Discussions
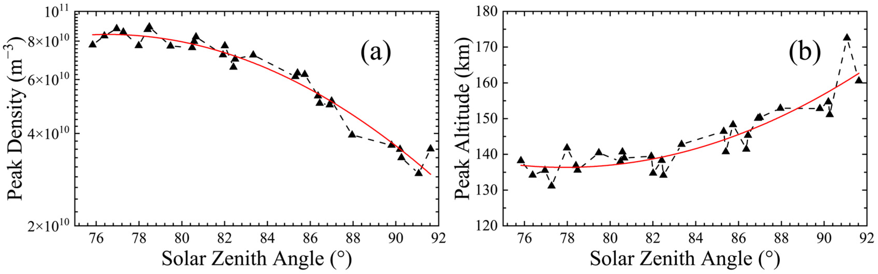
3.1. The Correlation between Martian Ionosphere and Solar Zenith Angle
3.2. The Correlation between Martian Ionosphere and Solar Flares
3.3. The Effect of Martian Dust Storm on the Ionospheric Profile
4. Conclusions
- (1)
- The main peak of the Martian ionospheric M2 layer is 140 km, and the M1 layer peak is 110 km. The peak density of the dayside ionosphere decreases with the increase of the solar zenith angle, and the peak height increases with the increase of the solar zenith angle.
- (2)
- When the three flares occur, the electron density in the M2 layer above 200 km increases. The peak density of the M1 layer increased by 33.4%, 13.2% and 7.4%, and the peak height of the M1 layer decreased by 0.1%, 10.2% and 4.4%, respectively.
- (3)
- The Martian ionosphere is affected by global dust storms. The peak height of the ionosphere in the dust storm season is 19.5 km higher than that in the non-dust storm season, and the peak density decreases by 8.9%.
Author Contributions
Funding
Data Availability Statement
Acknowledgments
Conflicts of Interest
References
- Fallows, K.; Withers, P.; Gonzalez, G. Response of the Mars Ionosphere to Solar Flares: Analysis of Mgs Radio Occultation Data. J. Geophys. Res. Space Phys. 2015, 120, 9805–9825. [Google Scholar] [CrossRef]
- Cao, Y.T.; Niu, D.D.; Cui, J.; Wu, X.S. Reviews of Venusian and Martian Ionospheres. Rev. Geophys. Planet. Phys. 2021, 52, 528–542. [Google Scholar]
- Wu, Z.P.; Li, J.; Li, T.; Cui, J. The Dust Storm and Its Interaction with Atmospheric Waves on Mars. Rev. Geophys. Planet. Phys. 2021, 52, 402–415. [Google Scholar]
- Rishbeth, H.; Mendillo, M. Ionospheric Layers of Mars and Earth. Planet. Space Sci. 2004, 52, 849–852. [Google Scholar] [CrossRef]
- Hanson, W.; Sanatani, S.; Zuccaro, D. The Martian Ionosphere as Observed by the Viking Retarding Potential Analyzers. J. Geophys. Res. 1977, 82, 4351–4363. [Google Scholar] [CrossRef]
- Chen, R.; Cravens, T.; Nagy, A. The Martian Ionosphere in Light of the Viking Observations. J. Geophys. Res. Space Phys. 1978, 83, 3871–3876. [Google Scholar] [CrossRef]
- Liu, L.; Wan, W.; Chen, Y.; Le, H. Solar Activity Effects of the Ionosphere: A Brief Review. Chin. Sci. Bull. 2011, 56, 1202–1211. [Google Scholar] [CrossRef]
- Mendillo, M.; Withers, P.; Hinson, D.; Rishbeth, H.; Reinisch, B. Effects of Solar Flares on the Ionosphere of Mars. Science 2006, 311, 1135–1138. [Google Scholar] [CrossRef]
- Stone, S.W.; Yelle, R.V.; Benna, M.; Lo, D.Y.; Elrod, M.K.; Mahaffy, P.R. Hydrogen Escape from Mars Is Driven by Seasonal and Dust Storm Transport of Water. Science 2020, 370, 824–831. [Google Scholar] [CrossRef]
- Withers, P.; Felici, M.; Mendillo, M.; Moore, L.; Narvaez, C.; Vogt, M.F.; Oudrhiri, K.; Kahan, D.; Jakosky, B.M. The Maven Radio Occultation Science Experiment (Rose). Space Sci. Rev. 2020, 216, 61. [Google Scholar] [CrossRef]
- Dong, C.; Bougher, S.W.; Ma, Y.; Toth, G.; Lee, Y.; Nagy, A.F.; Tenishev, V.; Pawlowski, D.J.; Combi, M.R.; Najib, D. Solar Wind Interaction with the Martian Upper Atmosphere: Crustal Field Orientation, Solar Cycle, and Seasonal Variations. J. Geophys. Res. Space Phys. 2015, 120, 7857–7872. [Google Scholar] [CrossRef]
- Erdal, Y.; Knížová, P.K.; Georgieva, K.; Ward, W. A Review of Vertical Coupling in the Atmosphere–Ionosphere System: Effects of Waves, Sudden Stratospheric Warmings, Space Weather, and of Solar Activity. J. Atmos. Sol. Terr. Phys. 2016, 141, 1–12. [Google Scholar]
- Krebs, G.D. Maven (Mars Scout 2). Available online: https://space.skyrocket.de/doc_sdat/maven.htm (accessed on 24 January 2024).
- Steckiewicz, M.; Mazelle, C.; Garnier, P.; André, N.; Penou, E.; Beth, A.; Sauvaud, J.A.; Toublanc, D.; Mitchell, D.L.; McFadden, J.P.; et al. Altitude Dependence of Nightside Martian Suprathermal Electron Depletions as Revealed by Maven Observations. Geophys. Res. Lett. 2015, 42, 8877–8884. [Google Scholar] [CrossRef]
- Jakosky, B.M.; Lin, R.P.; Grebowsky, J.M.; Luhmann, J.G.; Mitchell, D.F.; Beutelschies, G.; Priser, T.; Acuna, M.; Andersson, L.; Baird, D.; et al. The Mars Atmosphere and Volatile Evolution (Maven) Mission. Space Sci. Rev. 2015, 195, 3–48. [Google Scholar] [CrossRef]
- Fox, J.L.; Galand, M.I.; Johnson, R.E. Energy Deposition in Planetary Atmospheres by Charged Particles and Solar Photons. Space Sci. Rev. 2008, 139, 3–62. [Google Scholar] [CrossRef]
- Chapman, S. The Absorption and Dissociative or Ionizing Effect of Monochromatic Radiation in an Atmosphere on a Rotating Earth. Proc. Phys. Soc. 1931, 43, 26. [Google Scholar] [CrossRef]
- Chapman, S. The Absorption and Dissociative or Ionizing Effect of Monochromatic Radiation in an Atmosphere on a Rotating Earth Part II. Grazing Incidence. Proc. Phys. Soc. 1931, 43, 483. [Google Scholar] [CrossRef]
- Zhang, T.; Liu, L.; Chen, Y.; Le, H.; Zhang, R.; Zhang, H. Response of Martian Ionospheric Electron Density to Changes in Solar Radiation. Chin. J. Geophys. 2022, 65, 1571–1580. [Google Scholar]
- Fallows, K.; Withers, P.; Matta, M. An Observational Study of the Influence of Solar Zenith Angle on Properties of the M1 Layer of the Mars Ionosphere. J. Geophys. Res. Space Phys. 2015, 120, 1299–1310. [Google Scholar] [CrossRef]
- Hantsch, M.H.; Bauer, S.J. Solar Control of the Mars Ionosphere. Planet. Space Sci. 1990, 38, 539–542. [Google Scholar] [CrossRef]
- Sánchez-Cano, B.; Radicella, S.M.; Herraiz, M.; Witasse, O.; Rodríguez-Caderot, G. Nemars: An Empirical Model of the Martian Dayside Ionosphere Based on Mars Express Marsis Data. Icarus 2013, 225, 236–247. [Google Scholar] [CrossRef]
- Harvey, K.L. The Explosive Phase of Solar Flares. Sol. Phys. 1971, 16, 423–430. [Google Scholar] [CrossRef]
- Veronig, A.; Temmer, M.; Hanslmeier, A.; Otruba, W.; Messerotti, M. Temporal Aspects and Frequency Distributions of Solar Soft X-Ray Flares. Astron. Astrophys. 2002, 382, 1070–1080. [Google Scholar] [CrossRef]
- Winter, L.M.; Balasubramaniam, K. Using the Maximum X-Ray Flux Ratio and X-Ray Background to Predict Solar Flare Class. Space Weather 2015, 13, 286–297. [Google Scholar] [CrossRef]
- Tsurutani, B.T.; Judge, D.L.; Guarnieri, F.L.; Gangopadhyay, P.; Jones, A.R.; Nuttall, J.; Zambon, G.A.; Didkovsky, L.; Mannucci, A.J.; Iijima, B.; et al. The October 28, 2003 Extreme Euv Solar Flare and Resultant Extreme Ionospheric Effects: Comparison to Other Halloween Events and the Bastille Day Event. Geophys. Res. Lett. 2005, 32, L03S09. [Google Scholar] [CrossRef]
- Woods, T.N.; Eparvier, F.G. Solar Ultraviolet Variability During the Timed Mission. Adv. Space Res. 2006, 37, 219–224. [Google Scholar] [CrossRef]
- Lean, J.L.; Woods, T.N.; Eparvier, F.G.; Meier, R.R.; Strickland, D.J.; Correira, J.T.; Evans, J.S. Solar Extreme Ultraviolet Irradiance: Present, Past, and Future. J. Geophys. Res. Space Phys. 2011, 116, A01102. [Google Scholar] [CrossRef]
- Schunk, R.; Nagy, A. Ionospheres: Physics, Plasma Physics, and Chemistry; Cambridge University Press: Cambridge, UK, 2009. [Google Scholar]
- Gierasch, P.J.; Goody, R.M. The Effect of Dust on the Temperature of the Martian Atmosphere. J. Atmos. Sci. 1972, 29, 400–402. [Google Scholar] [CrossRef]
- Zhou, Y.H.; Salstein, D.A.; Xu, X.Q.; Liao, X.H. Global Dust Storm Signal in the Meteorological Excitation of Mars’ Rotation. J. Geophys. Res. Planets 2013, 118, 952–962. [Google Scholar] [CrossRef]
- Forget, F.; Montabone, L. Atmospheric Dust on Mars: A Review. In Proceedings of the 47th International Conference on Environmental Systems, Charleston, SC, USA, 16–20 July 2017; p. 175. [Google Scholar]




| Kind of the Particle | a | |||
|---|---|---|---|---|
| O | 260.001 | 274.924 | 106.937 | 3.0463 |
| 3721.223 | 187.554 | 1.578 | 0.019 | |
| 3933.944 | 198.555 | 6.906 | 0.076 | |
| 1218.344 | 187.160 | 3.253 | 0.013 | |
| 315.442 | 205.165 | 16.069 | 0.241 | |
| 177.109 | 213.210 | 27.311 | 0.470 | |
| 1589.037 | 239.902 | 39.292 | 0.457 |
| Date | (m−3) | (m−3) | (km) | (km) | ||
|---|---|---|---|---|---|---|
| 26 August 2016 | 1.296 × 1011 | 5.23 × 1010 | 147.7 | 117.6 | 0.378 | 0.796 |
| 9 August 2016 | 1.382 × 1011 | 3.92 × 1010 | 145.1 | 117.7 | 0.302 | 0.811 |
| 29 November 2020 | 9.988 × 1010 | 4.56 × 1010 | 141.2 | 109.7 | 0.457 | 0.777 |
| 1 December 2020 | 9.569 × 1010 | 4.028 × 1010 | 144.1 | 122.1 | 0.421 | 0.847 |
| 26 August 2021 | 5.82 × 1010 | 2.727 × 1010 | 149.7 | 114.7 | 0.469 | 0.766 |
| 29 August 2021 | 5.79 × 1010 | 2.54 × 1010 | 146.8 | 117.6 | 0.437 | 0.801 |
Disclaimer/Publisher’s Note: The statements, opinions and data contained in all publications are solely those of the individual author(s) and contributor(s) and not of MDPI and/or the editor(s). MDPI and/or the editor(s) disclaim responsibility for any injury to people or property resulting from any ideas, methods, instructions or products referred to in the content. |
© 2024 by the authors. Licensee MDPI, Basel, Switzerland. This article is an open access article distributed under the terms and conditions of the Creative Commons Attribution (CC BY) license (https://creativecommons.org/licenses/by/4.0/).
Share and Cite
Qiu, S.; Li, R.; Soon, W. An Investigation on the Distribution of Martian Ionospheric Particles, Based on the Mars Atmosphere and Volatile Evolution (MAVEN). Universe 2024, 10, 196. https://doi.org/10.3390/universe10050196
Qiu S, Li R, Soon W. An Investigation on the Distribution of Martian Ionospheric Particles, Based on the Mars Atmosphere and Volatile Evolution (MAVEN). Universe. 2024; 10(5):196. https://doi.org/10.3390/universe10050196
Chicago/Turabian StyleQiu, Shican, Ruichao Li, and Willie Soon. 2024. "An Investigation on the Distribution of Martian Ionospheric Particles, Based on the Mars Atmosphere and Volatile Evolution (MAVEN)" Universe 10, no. 5: 196. https://doi.org/10.3390/universe10050196
APA StyleQiu, S., Li, R., & Soon, W. (2024). An Investigation on the Distribution of Martian Ionospheric Particles, Based on the Mars Atmosphere and Volatile Evolution (MAVEN). Universe, 10(5), 196. https://doi.org/10.3390/universe10050196

