Comprehensive Characterization of Flavor Compounds in Dried Goji Berry (Lycium barbarum L.) Obtained from Different Origins with Different Drying Methods
Abstract
1. Introduction
2. Materials and Methods
2.1. Plant Materials
2.2. Dried Goji Berries PROCESS
- (1)
- Harvesting: The process involved collecting unblemished, undamaged goji berries when their color changed from orange to bright red. Throughout the picking, handling, and placing processes, the fruits were treated gently to prevent impact-induced damage.
- (2)
- Natural sun drying (NSD): Fresh goji berries are soaked in a solution with a ratio of 1:2:4:100 (ethanol, sodium ascorbate, potassium carbonate and water) for 60 s to remove wax. Then, they are evenly spread on bamboo mats with a thickness of no more than 3 cm to prevent water retention due to accumulation. The bamboo mats should be placed 30 cm above ground to create a ventilated space at the bottom and reduce the risk of local moisture and mold. During the drying process, the goji berries should not be turned over to ensure uniform heating and water loss. Choose sunny days for continuous drying for 72 to 120 h, with a moisture content of no more than 12% as the endpoint criterion for drying.
- (3)
- Hot-air drying (HAD): After the fresh goji berries are dewaxed, they are dried in a hot-air tunnel in three stages with gradient implementation: The first stage is a high-humidity and low-temperature period, with a set temperature of 40–50 °C for 10 h, which is suitable for the high water content characteristic of goji berries in the initial drying stage. The low-temperature environment avoids the color deterioration of the fruit peel caused by high temperature and high humidity. The second stage is a medium-humidity and medium-temperature period, with the temperature raised to 50–60 °C for 12 h, which accelerates the migration rate of internal moisture to the surface of the goji berries. The third stage is a low-humidity and high-temperature period, with the temperature controlled at 60–65 °C for 8 h. At this point, a large amount of internal moisture in the goji berries has been discharged. The moderate high temperature can improve drying efficiency. The drying endpoint is determined by a moisture content of ≤12%.
2.3. Metabolome Analysis
2.3.1. Chromatography–Mass Spectrometry Analysis
2.3.2. Chromatographic Conditions
2.4. Quantitative Analysis
2.5. Data Analysis
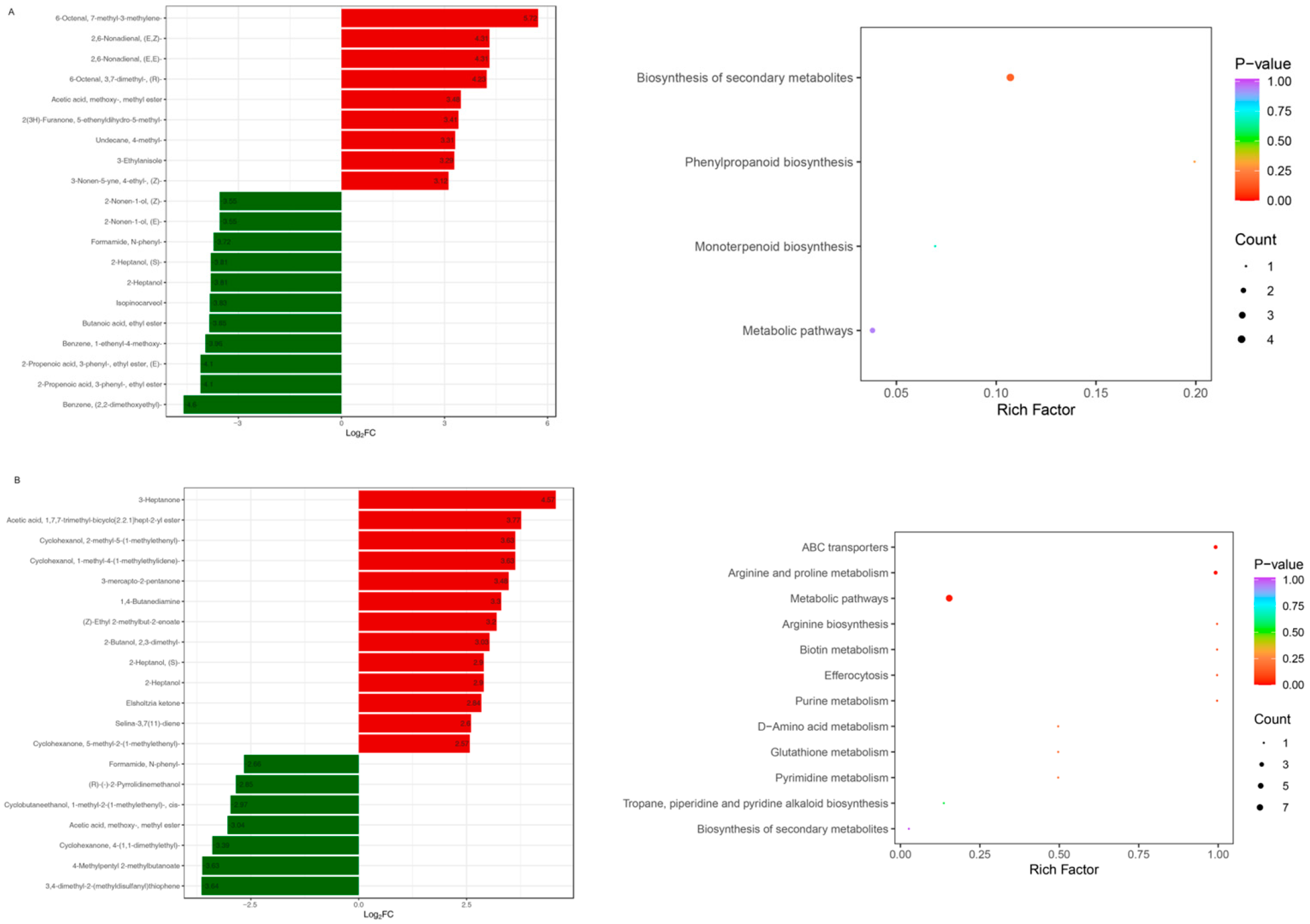
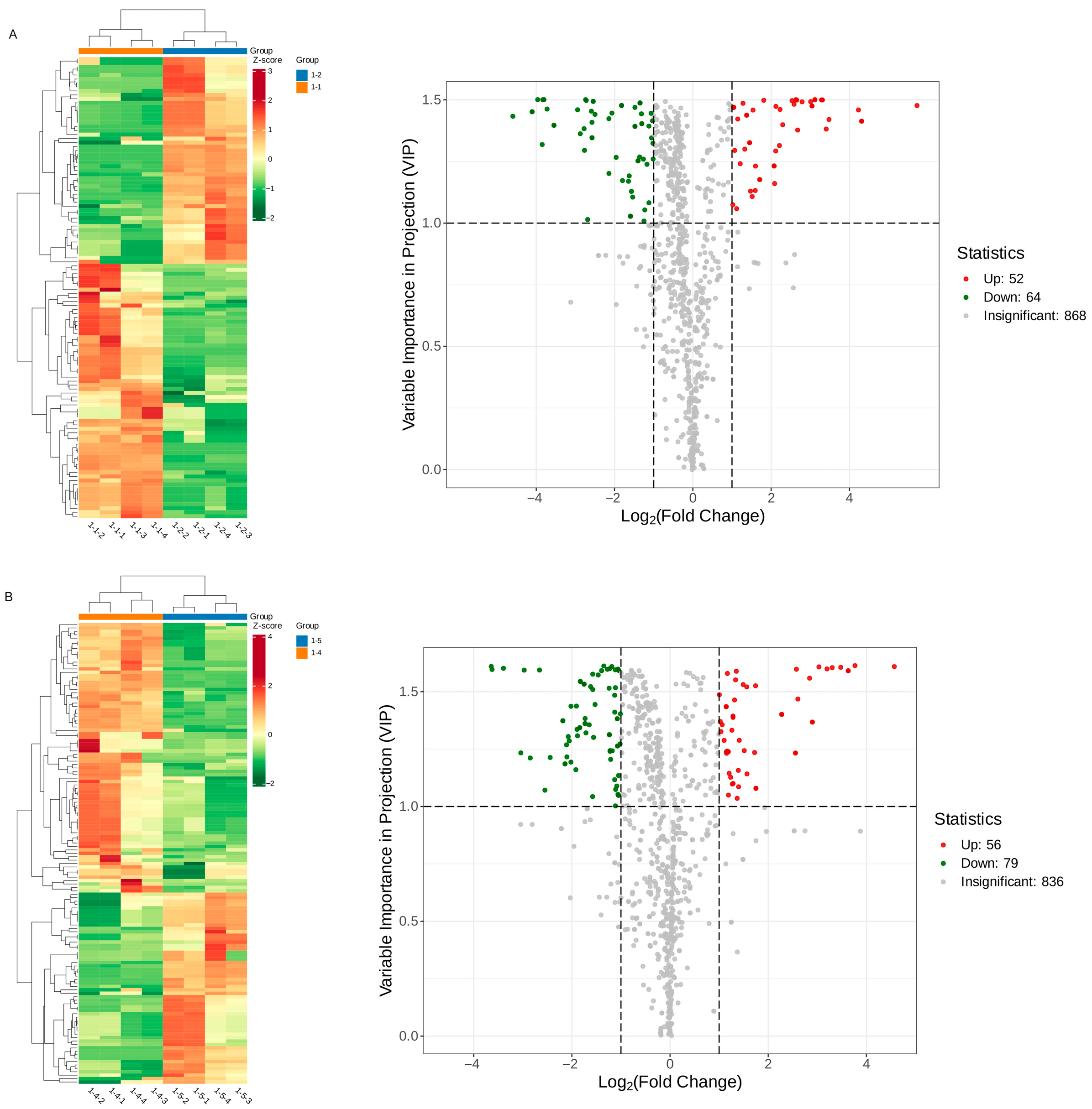
3. Results
3.1. Overview of the Metabolic Profiles of Goji Berry Collected from Different Regions with Two Different Drying Methods
3.2. Differential Metabolites (DMs) Analysis of Goji Berry
3.2.1. DMs Profiles in Two Different Drying Methods of Goji Berry
3.2.2. DM Profiles in Goji Berry Collected from Different Regions
3.3. Changes in Key Volatile Metabolites of Goji Berry Collected from Different Regions with Two Different Drying Methods
4. Discussion
5. Conclusions
Supplementary Materials
Author Contributions
Funding
Institutional Review Board Statement
Informed Consent Statement
Data Availability Statement
Conflicts of Interest
References
- Lei, Z.L.; Chen, X.Q.; Cao, F.L.; Guo, Q.R.; Wang, J.H. Phytochemicals and bioactivities of Goji (Lycium barbarum L. and Lycium chinense Mill.) leaves and their potential applications in the food industry: A review. Int. J. Food Sci. Technol. 2022, 57, 1451–1461. [Google Scholar] [CrossRef]
- Yu, C.X.; Chen, Y.H.; Ahmadi, S.; Wu, D.M.; Wu, J.X.; Ding, T.; Liu, D.H.; Ye, X.Q.; Chen, S.G.; Pan, H.B. Goji berry leaf exerts a comparable effect against colitis and microbiota dysbiosis to its fruit in dextran-sulfate-sodium-treated mice. Food Funct. 2023, 14, 3026–3037. [Google Scholar] [CrossRef] [PubMed]
- Kulczynski, B.; Gramza-Michalowska, A. Goji Berry (Lycium barbarum): Composition and Health Effects—A Review. Pol. J. Food Nutr. Sci. 2016, 66, 67–75. [Google Scholar] [CrossRef]
- Xie, J.H.; Tang, W.; Jin, M.L.; Li, J.E.; Xie, M.Y. Recent advances in bioactive polysaccharides from Lycium barbarum L., Zizyphus jujuba Mill, Plantago spp., and Morus spp.: Structures and functionalities. Food Hydrocoll. 2016, 60, 148–160. [Google Scholar] [CrossRef]
- Magiera, S. Chromatographic Determination of Phenolic Acids and Flavonoids in Lycium barbarum L. and Evaluation of Antioxidant Activity. Food Anal. Methods 2015, 8, 2665–2674. [Google Scholar] [CrossRef]
- Hempel, J.; Schädle, C.N.; Sprenger, J.; Heller, A.; Carle, R.; Schweiggert, R.M. Ultrastructural deposition forms and bioaccessibility of carotenoids and carotenoid esters from goji berries (Lycium barbarum L.). Food Chem. 2017, 218, 525–533. [Google Scholar] [CrossRef]
- Amagase, H.; Farnsworth, N.R. A review of botanical characteristics, phytochemistry, clinical relevance in efficacy and safety of Lycium barbarum fruit (Goji). Food Res. Int. 2011, 44, 1702–1717. [Google Scholar] [CrossRef]
- Zhang, Q.Y.; Chen, W.W.; Zhao, J.H.; Xi, W.P. Functional constituents and antioxidant activities of eight Chinese native goji genotypes. Food Chem. 2016, 200, 230–236. [Google Scholar] [CrossRef] [PubMed]
- Zhu, Y.F.; Zhao, Q.P.; Gao, H.; Peng, X.D.; Wen, Y.M.; Dai, G.D. Lycium barbarum polysaccharides attenuates N-methy-N-nitrosourea-induced photoreceptor cell apoptosis in rats through regulation of poly (ADP-ribose) polymerase and caspase expression. J. Ethnopharmacol. 2016, 191, 125–134. [Google Scholar] [CrossRef]
- Tang, H.L.; Chen, C.; Wang, S.K.; Sun, G.J. Biochemical analysis and hypoglycemic activity of a polysaccharide isolated from the fruit of Lycium barbarum L. Int. J. Biol. Macromol. 2015, 77, 235–242. [Google Scholar] [CrossRef]
- Chen, X.; Wei, D.D.; Lin, M.; Wang, X.S.; Kang, H.J.; Ni, L.; Qian, D.W.; Guo, S.; Duan, J.A. Comparative evaluation of four Lycium barbarum cultivars on NaIO3-induced retinal degeneration mice via multivariate statistical analysis. J. Ethnopharmacol. 2024, 325, 117889. [Google Scholar] [CrossRef]
- Yao, R.; Heinrich, M.; Weckerle, C.S. The genus Lycium as food and medicine: A botanical, ethnobotanical and historical review. J. Ethnopharmacol. 2018, 212, 50–66. [Google Scholar] [CrossRef] [PubMed]
- Lu, J.F.; Li, H.X.; Quan, J.P.; An, W.; Zhao, J.H.; Xi, W.P. Identification of characteristic aroma volatiles of Ningxia goji berries (Lycium barbarum L.) and their developmental changes. Int. J. Food Prop. 2017, 20, S214–S227. [Google Scholar] [CrossRef]
- Xie, L.; Mujumdar, A.S.; Zhang, Q.; Wang, J.; Liu, S.X.; Deng, L.Z.; Wang, D.; Xiao, H.W.; Liu, Y.H.; Gao, Z.J. Pulsed vacuum drying of wolfberry: Effects of infrared radiation heating and electronic panel contact heating methods on drying kinetics, color profile, and volatile compounds. Dry. Technol. 2017, 35, 1312–1326. [Google Scholar] [CrossRef]
- Zheng, Y.; Oellig, C.; Zhu, L.; Bauer, V.; Vetter, W.; Zhang, Y.Y. Revealing the key aroma codes and (furan) fatty acids in fresh red goji berries and the impacts of the hot-air drying process. Food Chem. 2025, 484, 144336. [Google Scholar] [CrossRef]
- Batu, H.S.; Kadakal, Ç. Drying characteristics and degradation kinetics in some parameters of goji berry (Lycium barbarum L.) fruit during hot air drying. Ital. J. Food Sci. 2021, 33, 16–28. [Google Scholar] [CrossRef]
- Cui, C.J.; Zhao, D.D.; Huang, J.; Hao, J.X. Progress on research and development of goji berry drying: A review. Int. J. Food Prop. 2022, 25, 435–449. [Google Scholar] [CrossRef]
- Zhang, T.T.; Zhao, X.Y.; Bo, J.X.; Zhu, W.X.; Chen, P.X.; Jiang, M.M.; Chen, G.Q. Comprehensive analysis of changes in the drying characteristics, quality, and metabolome of peanuts by different drying methods. Food Res. Int. 2025, 221, 117625. [Google Scholar] [CrossRef]
- Lyu, F.; Han, F.R.; Ge, C.L.; Mao, W.K.; Chen, L.; Hu, H.P.; Chen, G.G.; Lang, Q.L.; Fang, C. OmicStudio: A composable bioinformatics cloud platform with real-time feedback that can generate high-quality graphs for publication. Imeta 2023, 2, e85. [Google Scholar] [CrossRef]
- Ye, G.D.; Guan, L.N.; Zhang, M.; Li, S.X.; Mi, Y.J. Analysis of key differential aroma compounds in thirty Japonica rice cultivars from Northeast China by integrating GC-O-MS, OAV, and chemometrics. J. Food Compos. Anal. 2025, 140, 107201. [Google Scholar] [CrossRef]
- Zhou, Y.X.; Wang, D.D.; Duan, H.; Zhou, S.Q.; Guo, J.H.; Yan, W.J. Detection and analysis of volatile flavor compounds in different varieties and origins of goji berries using HS-GC-IMS. LWT-Food Sci. Technol. 2023, 187, 115322. [Google Scholar] [CrossRef]
- Oguz, I.; Oguz, H.I.; Ürün, I.; Attar, S.H.; Atasever, S.; Kafkas, N.E. Determination of Aroma and Protein Contents in Organic Lycium barbarum L. and Lycium chinense Miller Fruits in Different Ripening Periods. Erwerbs-Obstbau 2023, 65, 1171–1183. [Google Scholar] [CrossRef]
- Do, S.; Kim, Y.; Yim, J.; Lee, K.G. Analysis of volatile compounds, betaine, and antioxidant effect in goji berry (Lycium barbarum L.) powder extracted by various drying methods and extraction solvents. Curr. Res. Food Sci. 2024, 9, 100798. [Google Scholar] [CrossRef]
- Ding, K.K.; Wu, P.J.; Li, B.T.; Jiang, F.L.; Sun, B.X. Characterization of hot air drying behavior and dynamic moisture prediction in goji berries using LF NMR. J. Food Compos. Anal. 2026, 149, 108716. [Google Scholar] [CrossRef]
- Hao, J.; Dong, F.J.; Li, Y.L.; Wang, S.L.; Cui, J.R.; Zhang, Z.F.; Wu, K.N. Investigation of the data fusion of spectral and textural data from hyperspectral imaging for the near geographical origin discrimination of wolfberries using 2D-CNN algorithms. Infrared Phys. Technol. 2022, 125, 104286. [Google Scholar] [CrossRef]
- Lopatriello, A.; Previtera, R.; Pace, S.; Werner, M.; Rubino, L.; Werz, O.; Taglialatela-Scafati, O.; Forino, M. NMR-based identification of the major bioactive molecules from an Italian cultivar of Lycium barbarum. Phytochemistry 2017, 144, 52–57. [Google Scholar] [CrossRef] [PubMed]
- Peng, Q.; Huang, J.X.; Li, S.S.; Massou, B.B.; Chen, Z.Y.; Zhu, Q.; Xie, G.F. Comprehensive origin authentication of wolfberry pulp (Lycium barbarum L.) using multimodal sensory analysis and chemometrics. Ind. Crops Prod. 2024, 219, 119023. [Google Scholar] [CrossRef]
- Sirilertpanich, P.; Ekkaphan, P.; Andriyas, T.; Leksungnoen, N.; Ruengphayak, S.; Vanavichit, A.; De-Eknamkul, W.; Tansawat, R. Metabolomics study on the main volatile components of Thai colored rice cultivars from different agricultural locations. Food Chem. 2024, 434, 137424. [Google Scholar] [CrossRef] [PubMed]
- Qiao, Y.N.; Bi, J.F.; Chen, Q.Q.; Wu, X.Y.; Gou, M.; Hou, H.N.; Jin, X.W.; Purcaro, G. Volatile Profile Characterization of Winter Jujube from Different Regions via HS-SPME-GC/MS and GC-IMS. J. Food Qual. 2021, 2021, 9958414. [Google Scholar] [CrossRef]
- Han, L.; Zou, W.T.; Wang, W.X.; Wang, L.H.; Liu, P.P.; Tang, L.H.; Lv, Y.; Yu, Y.J.; She, Y.B. Comprehensive characterization of flavor compounds in goji berry by HS-SPME-GCMS combined with AntDAS-GCMS for geographical discrimination. Food Chem.-X 2025, 29, 102626. [Google Scholar] [CrossRef] [PubMed]
- Meng, Z.F.; Cui, X.N.; Liu, Y.; Hu, R.S.; Du, C.Y.; Wang, S.; Zhang, F. Drying characteristics of banana slices under heat pump-electrohydrodynamic (EHD) combined drying. Sustain. Energy Technol. Assess. 2022, 54, 102907. [Google Scholar] [CrossRef]
- Zhang, J.; Ding, C.J.; Lu, J.L.; Wang, H.X.; Bao, Y.T.; Han, B.Y.; Zhu, J.; Duan, S.S.; Song, Z.Q.; Chen, H. Effects of electrohydrodynamics on drying characteristics and volatile profiles of goji berry (Lycium barbarum L.). LWT-Food Sci. Technol. 2024, 200, 116149. [Google Scholar] [CrossRef]
- Xu, L.; Zang, E.H.; Sun, S.Y.; Li, M.H. Main flavor compounds and molecular regulation mechanisms in fruits and vegetables. Crit. Rev. Food Sci. Nutr. 2023, 63, 11859–11879. [Google Scholar] [CrossRef] [PubMed]
- Hu, Y.Y.; Zhao, G.H.; Yin, F.W.; Liu, Z.Y.; Wang, J.L.; Qin, L.; Zhou, D.Y.; Shahidi, F.; Zhu, B.W. Effects of roasting temperature and time on aldehyde formation derived from lipid oxidation in scallop (Patinopecten yessoensis) and the deterrent effect by antioxidants of bamboo leaves. Food Chem. 2022, 369, 130936. [Google Scholar] [CrossRef] [PubMed]
- Zhang, L.C.; Hao, N.; Li, W.J.; Zhang, B.Q.; Shi, T.Y.; Xie, M.X.; Yu, M. Effect of Ultrasonic Induction on the Main Physiological and Biochemical Indicators and γ-Aminobutyric Acid Content of Maize during Germination. Foods 2022, 11, 1358. [Google Scholar] [CrossRef] [PubMed]
- Rees, D.C.; Johnson, E.; Lewinson, O. ABC transporters: The power to change. Nat. Rev. Mol. Cell Biol. 2009, 10, 218–227. [Google Scholar] [CrossRef] [PubMed]
- How, S.S.; Nathan, S.; Lam, S.D.; Chieng, S. ATP-binding cassette (ABC) transporters: Structures and roles in bacterial pathogenesis. J. Zhejiang Univ.-Sci. B 2025, 26, 58–75. [Google Scholar] [CrossRef]
- Raice, R.T.; Sjoholm, I.; Wang, H.L.; Bergenstahl, B. Characterization of volatile components extracted from Vangueria infausta (African medlar) by using GC-MS. J. Essent. Oil Res. 2015, 27, 76–81. [Google Scholar] [CrossRef]







| Test Site | Longitude | Latitude | Elevation (m) | Area (acre) | Precipitation (mm) | Temperature Equalization | Sunshine Duration |
|---|---|---|---|---|---|---|---|
| Zhongning, Ningxia | 105°38′12″ | 37°29′54″ | 1291 | 30 | 170 | 10.7 | 2360 |
| Wuwei, Gansu | 102°51′3″ | 37°39′41″ | 1761 | 5 | 220 | 8.6 | 2580 |
| Nuomuhong, Qinghai | 97°22′28″ | 37°21′18″ | 2846 | 143 | 40 | 6.5 | 2500 |
| Species | Tissue | Origin | Drying Method | Number of Replicates |
|---|---|---|---|---|
| Lycium barbarum | fruits | Zhongning, Ningxia | HAD method | 4 |
| NSD method | 4 | |||
| Lycium barbarum | fruits | Wuwei, Gansu | NSD method | 4 |
| Lycium barbarum | fruits | Nuomuhong, Qinghai | HAD method | 4 |
| NSD method | 4 |
| Group | Compounds | Retention Indices | Deviation Values | VIP | Class I | Log2 FC | Regulation |
|---|---|---|---|---|---|---|---|
| 7-methyl-3-methylideneoct-6-enal | 1160.2 | 13.2 | 1.476942 | Aldehyde | 5.724995 | up | |
| (2E,6Z)-nona-2,6-dienal | 1162.24 | 7.49 | 1.413455 | Aldehyde | 4.309339 | up | |
| (2E,6E)-nona-2,6-dienal | 1160.91 | 7.91 | 1.413455 | Aldehyde | 4.309339 | up | |
| (3R)-3,7-dimethyloct-6-enal | 1160.16 | 7.16 | 1.459067 | Terpenoids | 4.229467 | up | |
| 1-2 vs. 1-1 | Methyl 2-methoxyacetate | 971.89 | 6.89 | 1.420258 | Ester | 3.476692 | up |
| Ethyl butanoate | 794.42 | −7.95 | 1.318723 | Ester | −3.84764 | down | |
| 1-ethenyl-4-methoxybenzene | 1164.67 | 8.67 | 1.500791 | Ether | −3.96282 | down | |
| Ethyl (E)-3-phenylprop-2-enoate | 1476.96 | 5.8 | 1.451734 | Ester | −4.10466 | down | |
| Ethyl (E)-cinnamate | 1457.41 | −5.59 | 1.451734 | Ester | −4.10466 | down | |
| 2,2-dimethoxyethylbenzene | 1218.65 | −3.35 | 1.433342 | Ether | −4.59709 | down | |
| 3-Heptanone | 890.69 | 3.69 | 1.60921 | Ketone | 4.568937 | up | |
| (1,7,7-trimethyl-2-bicyclo[2.2.1]heptanyl) acetate | 1295.64 | 7.64 | 1.61349 | Ester | 3.767919 | up | |
| 2-methyl-5-prop-1-en-2-ylcyclohexan-1-ol | 1201.46 | 5.46 | 1.590945 | Terpenoids | 3.630261 | up | |
| 1-methyl-4-propan-2-ylidenecyclohexan-1-ol | 1345.6 | 4.6 | 1.590945 | Terpenoids | 3.630261 | up | |
| 1-5 vs. 1-4 | 3-sulfanylpentan-2-one | 889.74 | −12.26 | 1.60598 | Ketone | 3.477655 | up |
| 2-(1-methyl-2-prop-1-en-2-ylcyclobutyl)ethanol | 1206.6 | −12.4 | 1.593843 | Alcohol | −2.97168 | down | |
| Methyl 2-methoxyacetate | 971.89 | 6.89 | 1.233495 | Ester | −3.04074 | down | |
| 4-tert-butylcyclohexan-1-one | 1206.63 | −1.37 | 1.601909 | Ketone | −3.39452 | down | |
| 4-Methylpentyl 2-methylbutanoate | 1206.29 | 9.29 | 1.59688 | Ester | −3.62715 | down | |
| 3,4-dimethyl-2-(methyldisulfanyl)thiophene | 1492.05 | −7.95 | 1.609939 | Heterocyclic compound | −3.64313 | down | |
| [(2R)-pyrrolidin-2-yl]methanol | 973.05 | −8.95 | 1.421744 | Alcohol | 6.89757 | up | |
| 3,5-dimethylhexan-3-ol | 873.41 | −9.59 | 1.42354 | Alcohol | 4.636808 | up | |
| Isoneral | 1164.9 | −3.1 | 1.423122 | Aldehyde | 3.875479 | up | |
| N-phenylformamide | 1217.67 | −3.33 | 1.389067 | Amine | 3.723096 | up | |
| 1-5 vs. 1-1 | Methyl 2-methoxyacetate | 971.89 | 6.89 | 1.334295 | Ester | 3.53815 | up |
| 2-methylsulfanylphenol | 1162.29 | −3.91 | 1.421495 | Phenol | −3.61741 | down | |
| 1,2-dimethoxy-3-methylbenzene | 1161.99 | −10.01 | 1.417967 | Ether | −3.65197 | down | |
| (2E,6Z)-nona-2,6-dienal | 1162.24 | 7.49 | 1.191889 | Aldehyde | −4.12627 | down | |
| (2E,6E)-nona-2,6-dienal | 1160.91 | 7.91 | 1.191889 | Aldehyde | −4.12627 | down | |
| Heptan-3-one | 890.69 | 3.69 | 1.422688 | Ketone | −4.56894 | down | |
| 2,3-dimethyl-5-(2-methylpropyl)pyrazine | 1190.99 | 0.99 | 1.310962 | Heterocyclic compound | 7.704746 | up | |
| Butyl benzoate | 1381.1 | 4.1 | 1.680439 | Ester | 6.526848 | up | |
| Heptan-2-ol | 899.2 | −1.16 | 1.72042 | Alcohol | 4.676962 | up | |
| (2S)-heptan-2-ol | 899.16 | −3.84 | 1.72042 | Alcohol | 4.676962 | up | |
| 1-3 vs. 1-2 | Heptan-3-one | 890.69 | 3.69 | 1.610298 | Ketone | 4.599624 | up |
| (1R,2R,4S)-1-ethenyl-1-methyl-2,4-bis(prop-1-en-2-yl)cyclohexane | 1398.78 | 0.78 | 1.699443 | Terpenoids | −2.84764 | down | |
| (1S,2R,4S)-1-ethenyl-1-methyl-2,4-bis(prop-1-en-2-yl)cyclohexane | 1398.78 | 7.78 | 1.699443 | Terpenoids | −2.84764 | down | |
| 1-aminocyclohexane-1-carboxylic acid | 1398.95 | 4.95 | 1.712249 | Acid | −2.85699 | down | |
| N,N-Dimethylacetamide | 862.39 | −5.87 | 1.712147 | Amine | −3.02581 | down | |
| (2S,3S)-2-butyl-3-ethyloxirane | 924.04 | −7.96 | 1.718457 | Heterocyclic compound | −3.96275 | down | |
| Isopinocarveol | 1165.16 | −12.84 | 1.272144 | Terpenoids | 4.239267 | up | |
| 2,2-dimethoxyethylbenzene | 1218.65 | −3.35 | 1.205743 | Ether | 4.068944 | up | |
| 2-phenylethyl 2-methylbutanoate | 1491.24 | 3.24 | 1.271458 | Ester | 3.582891 | up | |
| 2-phenylethyl 3-methylbutanoate | 1491.24 | 0.24 | 1.271458 | Ester | 3.582891 | up | |
| 1-4 vs. 1-2 | 1-isothiocyanatohexane | 1196.79 | 6.79 | 1.038799 | Ester | 3.565584 | up |
| 5-ethenyl-5-methyloxolan-2-one | 1042.06 | −0.94 | 1.255816 | Ketone | −4.40654 | down | |
| 2-methyl-5-prop-1-en-2-ylcyclohexan-1-ol | 1201.46 | 5.46 | 1.26107 | Terpenoids | −5.0466 | down | |
| 1-methyl-4-propan-2-ylidenecyclohexan-1-ol | 1345.6 | 4.6 | 1.26107 | Terpenoids | −5.0466 | down | |
| 1-(4-methylphenyl)ethanol | 1118.31 | 0.31 | 1.271704 | Alcohol | −5.08006 | down | |
| Elsholtzia ketone | 1201.53 | −0.47 | 1.264379 | Ketone | −6.00705 | down | |
| (1R,4S)-1-methyl-4-prop-1-en-2-ylcyclohex-2-en-1-ol | 1120.8 | −12.2 | 1.235211 | Terpenoids | 5.189587 | up | |
| (1S,4S)-1-methyl-4-prop-1-en-2-ylcyclohex-2-en-1-ol | 1120.8 | −2.2 | 1.235211 | Alcohol | 5.189587 | up | |
| 2,6,6-trimethyl-9-methylidenetricyclo[5.4.0.02,8]undecane | 1391.42 | −11.58 | 1.304643 | Terpenoids | 3.726381 | up | |
| 4-tert-butylcyclohexan-1-one | 1206.63 | −1.37 | 1.293154 | Ketone | 3.394523 | up | |
| 1-4 vs. 1-3 | 2-(2-methylpropyl)pyrazine | 1035.02 | −7.98 | 1.289073 | Heterocyclic compound | 3.056132 | up |
| 1-(1H-pyrrol-2-yl)ethanone | 1064.6 | 1.6 | 1.302654 | Heterocyclic compound | −5.18102 | down | |
| Elsholtzia ketone | 1201.53 | −0.47 | 1.239136 | Ketone | −5.59369 | down | |
| 1-(4-methylphenyl)ethanol | 1118.31 | 0.31 | 1.270427 | Alcohol | −6.23794 | down | |
| Phenyl acetate | 1063.15 | 1.17 | 1.304682 | Ester | −6.36593 | down | |
| 2,3-dimethyl-5-(2-methylpropyl)pyrazine | 1190.99 | 0.99 | 1.022955 | Heterocyclic compound | −7.70475 | down |
| Compounds | Primary Classification | CAS | Threshold | Odor |
|---|---|---|---|---|
| 1,2-Cyclohexanedione | Ketone | 765-87-7 | 450 | sweet, acorn, nut skin, maple, caramel, brothy |
| Cis-Nerolidol | Terpenoids | 3790-78-1 | 64 | waxy, floral |
| Caprolactam | Amine | 105-60-2 | 59.7 | amine, spicy |
| Ethanone, 1-(1H-pyrrol-2-yl)- | Heterocyclic compound | 1072-83-9 | 170 | musty, nut skin, maraschino, cherry, coumarin, licorice, walnut, bread |
| Cyclohexaneacetic acid | Acid | 5292-21-7 | 19.1 | sharp, acetic, fatty, cheese, musty, powdery, honey, caramel |
| Dodecane | Hydrocarbons | 112-40-3 | 10 | alkane |
| Pentadecane | Hydrocarbons | 629-62-9 | 13,000 | waxy |
| 2-Methyl-3-furanthiol | Alcohol | 28588-74-1 | 160 | sulfury, meaty, fishy, metallic |
| 2-Acetyl-5-methylfuran | Heterocyclic compound | 1193-79-9 | 40.87 | strong, musty, nutty, hay, coconut, coumarin, milky |
| Undecanal | Aldehyde | 112-44-7 | 12.5 | waxy, soapy, floral, aldehydic, citrus, green, fatty, fresh |
| 2H-Pyran-2-one, 6-hexyltetrahydro- | Ester | 710-04-3 | 19 | creamy, fatty, coconut, fruity, peach, waxy |
| Ethanol, 2-phenoxy- | Alcohol | 122-99-6 | 690 | mild, rose, balsamic, cinnamyl |
| 1H-Pyrrole-2-carboxaldehyde | Aldehyde | 1003-29-8 | 65 | musty, beefy, coffee |
| 2-Thiophenemethanol | Alcohol | 636-72-6 | 15 | ethereal, fermented, burnt, alliaceous, coffee, savory |
| N,N-Dimethylacetamide | Amine | 127-19-5 | 170 | ammoniacal |
| 1H-Pyrrole-2-carboxaldehyde, 1-ethyl- | Aldehyde | 2167-14-8 | 65 | burnt, roasted peanut |
| Hexanoic acid, 2-ethyl- | Acid | 149-57-5 | 27 | paint, varnish |
| Benzenemethanol, .alpha.,4-dimethyl- | Alcohol | 536-50-5 | 42.7 | sweet, hawthorn, floral, nutty, powdery |
| 1,4-Butanediamine | Amine | 110-60-1 | 22 | animalic, rotten, fishy |
| n-Amyl isovalerate | Ester | 25415-62-7 | 12 | apple, fresh fruit |
| Butanoic acid, 3-methyl-, 3-methylbutyl ester | Ester | 659-70-1 | 19.80717 | sweet, fruity, green, ripe apple, jammy, tropical |
Disclaimer/Publisher’s Note: The statements, opinions and data contained in all publications are solely those of the individual author(s) and contributor(s) and not of MDPI and/or the editor(s). MDPI and/or the editor(s) disclaim responsibility for any injury to people or property resulting from any ideas, methods, instructions or products referred to in the content. |
© 2026 by the authors. Licensee MDPI, Basel, Switzerland. This article is an open access article distributed under the terms and conditions of the Creative Commons Attribution (CC BY) license.
Share and Cite
Dai, G.; He, X.; Zhang, B.; Duan, L.; Wang, Y.; Zhang, Y.; Ma, H. Comprehensive Characterization of Flavor Compounds in Dried Goji Berry (Lycium barbarum L.) Obtained from Different Origins with Different Drying Methods. Metabolites 2026, 16, 183. https://doi.org/10.3390/metabo16030183
Dai G, He X, Zhang B, Duan L, Wang Y, Zhang Y, Ma H. Comprehensive Characterization of Flavor Compounds in Dried Goji Berry (Lycium barbarum L.) Obtained from Different Origins with Different Drying Methods. Metabolites. 2026; 16(3):183. https://doi.org/10.3390/metabo16030183
Chicago/Turabian StyleDai, Guoli, Xinru He, Bo Zhang, Linyuan Duan, Yujing Wang, Yuzhou Zhang, and Huiling Ma. 2026. "Comprehensive Characterization of Flavor Compounds in Dried Goji Berry (Lycium barbarum L.) Obtained from Different Origins with Different Drying Methods" Metabolites 16, no. 3: 183. https://doi.org/10.3390/metabo16030183
APA StyleDai, G., He, X., Zhang, B., Duan, L., Wang, Y., Zhang, Y., & Ma, H. (2026). Comprehensive Characterization of Flavor Compounds in Dried Goji Berry (Lycium barbarum L.) Obtained from Different Origins with Different Drying Methods. Metabolites, 16(3), 183. https://doi.org/10.3390/metabo16030183
