Targeted Isolation of Prenylated Flavonoids from Paulownia tomentosa Fruit Extracts via AI-Guided Workflow Integrating LC-UV-HRMS/MS
Abstract
1. Introduction
2. Materials and Methods
2.1. Chemicals
2.2. Sample Preparation
2.3. General Experimental Procedures
2.4. LC-HRMS/MS Analysis
2.5. Isolation of Target Prenylated Compounds
2.6. Generation of In-House Spectral Library
2.7. Data Analysis
2.7.1. Raw Data Processing
2.7.2. Compound Identification and Annotation
2.7.3. Manual Evaluation of Classification Results
3. Results
3.1. Workflow Overview
3.2. Prenylated Constituents in Paulownia tomentosa
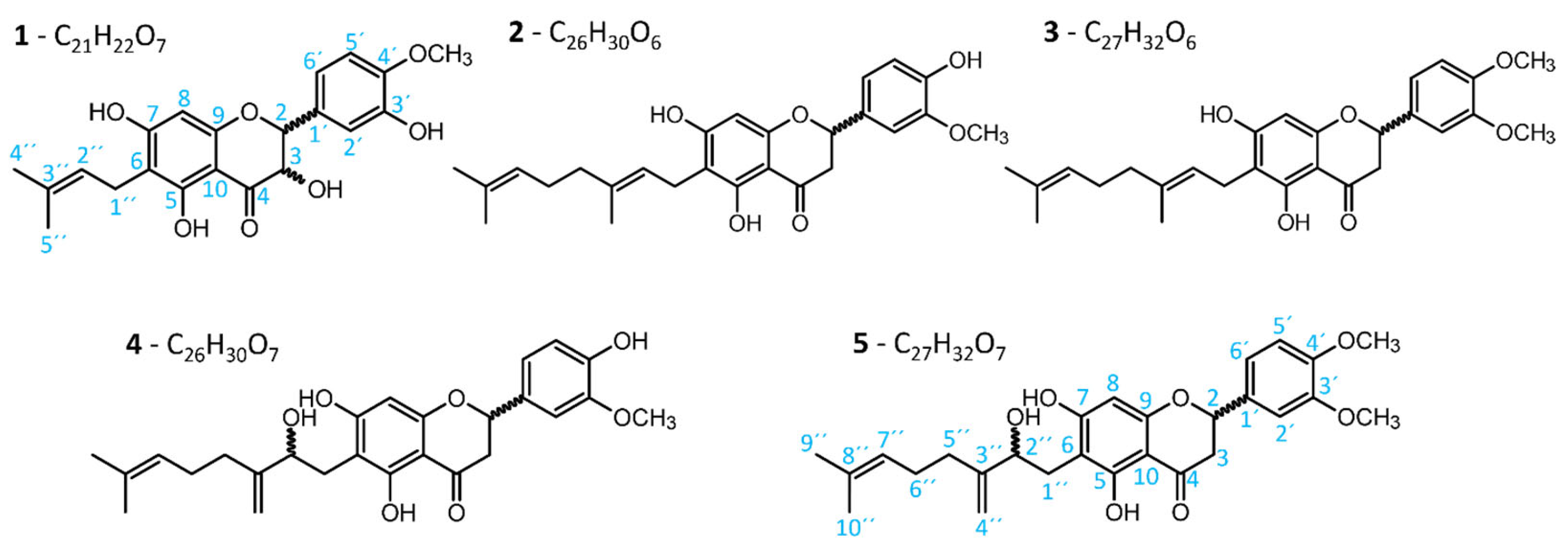
3.3. Isolation and Structure Elucidation of Novel Prenylated Flavonoids
4. Discussion
5. Conclusions
Supplementary Materials
Author Contributions
Funding
Institutional Review Board Statement
Informed Consent Statement
Data Availability Statement
Acknowledgments
Conflicts of Interest
References
- Harborne, J.B.; Williams, C.A. Advances in flavonoid research since 1992. Phytochemistry 2000, 55, 481–504. [Google Scholar] [CrossRef]
- Hošek, J.; Bartos, M.; Chudík, S.; Dall’Acqua, S.; Innocenti, G.; Kartal, M.; Kokoška, L.; Kollár, P.; Kutil, Z.; Landa, P.; et al. Natural Compound Cudraflavone B Shows Promising Anti-inflammatory Properties in Vitro. J. Nat. Prod. 2011, 74, 614–619. [Google Scholar] [CrossRef] [PubMed]
- Sweet, R.; Kroon, P.A.; Webber, M.A. Activity of antibacterial phytochemicals and their potential use as natural food preservatives. Crit. Rev. Food Sci. Nutr. 2024, 64, 2076–2087. [Google Scholar] [CrossRef] [PubMed]
- Venturelli, S.; Burkard, M.; Biendl, M.; Lauer, U.M.; Frank, J.; Busch, C. Prenylated chalcones and flavonoids for the prevention and treatment of cancer. Nutrition 2016, 32, 1171–1178. [Google Scholar] [CrossRef] [PubMed]
- dos Santos, C.N.; Menezes, R.; Carregosa, D.; Valentova, K.; Foito, A.; McDougall, G.; Stewart, D. Flavonols and Flavones. In Dietary Polyphenols; John Wiley & Sons: Hoboken, NJ, USA, 2020; pp. 163–198. [Google Scholar]
- Kim, A.Y.; Lee, C.G.; Lee, D.Y.; Li, H.; Jeon, R.; Ryu, J.-H.; Kim, S.G. Enhanced antioxidant effect of prenylated polyphenols as Fyn inhibitor. Free Radic. Biol. Med. 2012, 53, 1198–1208. [Google Scholar] [CrossRef]
- Sun, H.; Li, Y.; Zhang, X.; Lei, Y.; Ding, W.; Zhao, X.; Wang, H.; Song, X.; Yao, Q.; Zhang, Y.; et al. Synthesis, α-glucosidase inhibitory and molecular docking studies of prenylated and geranylated flavones, isoflavones and chalcones. Bioorg. Med. Chem. Lett. 2015, 25, 4567–4571. [Google Scholar] [CrossRef]
- Ming, L.G.; Lv, X.; Ma, X.N.; Ge, B.F.; Zhen, P.; Song, P.; Zhou, J.; Ma, H.P.; Xian, C.J.; Chen, K.M. The prenyl group contributes to activities of phytoestrogen 8-prenynaringenin in enhancing bone formation and inhibiting bone resorption in vitro. Endocrinology 2013, 154, 1202–1214. [Google Scholar] [CrossRef]
- Mukai, R.; Horikawa, H.; Fujikura, Y.; Kawamura, T.; Nemoto, H.; Nikawa, T.; Terao, J. Prevention of disuse muscle atrophy by dietary ingestion of 8-prenylnaringenin in denervated mice. PLoS ONE 2012, 7, e45048. [Google Scholar] [CrossRef]
- Hanáková, Z.; Hošek, J.; Babula, P.; Dall’Acqua, S.; Václavík, J.; Šmejkal, K. C-Geranylated Flavanones from Paulownia tomentosa Fruits as Potential Anti-inflammatory Compounds Acting via Inhibition of TNF-α Production. J. Nat. Prod. 2015, 78, 850–863. [Google Scholar] [CrossRef]
- Shi, S.; Li, J.; Zhao, X.; Liu, Q.; Song, S.-J. A comprehensive review: Biological activity, modification and synthetic methodologies of prenylated flavonoids. Phytochemistry 2021, 191, 112895. [Google Scholar] [CrossRef]
- de Bruijn, W.J.C.; Levisson, M.; Beekwilder, J.; van Berkel, W.J.H.; Vincken, J.-P. Plant Aromatic Prenyltransferases: Tools for Microbial Cell Factories. Trends Biotechnol. 2020, 38, 917–934. [Google Scholar] [CrossRef]
- Kamanna, K.; Kamath, A. Prenylation of Natural Products: An Overview; IntechOpen: London, UK, 2022. [Google Scholar]
- Bauer, A.; Brönstrup, M. Industrial natural product chemistry for drug discovery and development. Nat. Prod. Rep. 2014, 31, 35–60. [Google Scholar] [CrossRef] [PubMed]
- Newman, D.J.; Cragg, G.M. Natural Products as Sources of New Drugs from 1981 to 2014. J. Nat. Prod. 2016, 79, 629–661. [Google Scholar] [CrossRef] [PubMed]
- Gaudêncio, S.P.; Bayram, E.; Lukić Bilela, L.; Cueto, M.; Díaz-Marrero, A.R.; Haznedaroglu, B.Z.; Jimenez, C.; Mandalakis, M.; Pereira, F.; Reyes, F.; et al. Advanced Methods for Natural Products Discovery: Bioactivity Screening, Dereplication, Metabolomics Profiling, Genomic Sequencing, Databases and Informatic Tools, and Structure Elucidation. Mar. Drugs 2023, 21, 308. [Google Scholar] [CrossRef] [PubMed]
- Pérez-Victoria, I. Natural Products Dereplication: Databases and Analytical Methods. In Progress in the Chemistry of Organic Natural Products; Springer: Berlin/Heidelberg, Germany, 2024; Volume 124, pp. 1–56. [Google Scholar] [CrossRef]
- Sorokina, M.; Steinbeck, C. Review on natural products databases: Where to find data in 2020. J. Cheminform. 2020, 12, 20. [Google Scholar] [CrossRef]
- Atanasov, A.G.; Zotchev, S.B.; Dirsch, V.M.; Orhan, I.E.; Banach, M.; Rollinger, J.M.; Barreca, D.; Weckwerth, W.; Bauer, R.; Bayer, E.A.; et al. Natural products in drug discovery: Advances and opportunities. Nat. Rev. Drug Discov. 2021, 20, 200–216. [Google Scholar] [CrossRef]
- Goldman, S.; Bradshaw, J.; Xin, J.; Coley, C.W. Prefix-tree decoding for predicting mass spectra from molecules. In Proceedings of the 37th International Conference on Neural Information Processing Systems, New Orleans, LA, USA, 10–16 December 2023; Curran Associates Inc.: Red Hook, NY, USA, 2023; p. 2108. [Google Scholar]
- Goldman, S.; Li, J.; Coley, C.W. Generating Molecular Fragmentation Graphs with Autoregressive Neural Networks. Anal. Chem. 2024, 96, 3419–3428. [Google Scholar] [CrossRef]
- Murphy, M.; Jegelka, S.; Fraenkel, E.; Kind, T.; Healey, D.; Butler, T. Efficiently predicting high resolution mass spectra with graph neural networks. In Proceedings of the 40th International Conference on Machine Learning, Honolulu, HI, USA, 23–29 July 2023; JMLR: Norfolk, MA, USA, 2023; p. 1061. [Google Scholar]
- Ruttkies, C.; Schymanski, E.L.; Wolf, S.; Hollender, J.; Neumann, S. MetFrag relaunched: Incorporating strategies beyond in silico fragmentation. J. Cheminform. 2016, 8, 3. [Google Scholar] [CrossRef]
- Wang, F.; Liigand, J.; Tian, S.; Arndt, D.; Greiner, R.; Wishart, D.S. CFM-ID 4.0: More Accurate ESI-MS/MS Spectral Prediction and Compound Identification. Anal. Chem. 2021, 93, 11692–11700. [Google Scholar] [CrossRef]
- Dührkop, K.; Fleischauer, M.; Ludwig, M.; Aksenov, A.A.; Melnik, A.V.; Meusel, M.; Dorrestein, P.C.; Rousu, J.; Böcker, S. SIRIUS 4: A rapid tool for turning tandem mass spectra into metabolite structure information. Nat. Methods 2019, 16, 299–302. [Google Scholar] [CrossRef]
- Xing, S.; Shen, S.; Xu, B.; Li, X.; Huan, T. BUDDY: Molecular formula discovery via bottom-up MS/MS interrogation. Nat. Methods 2023, 20, 881–890. [Google Scholar] [CrossRef] [PubMed]
- Stravs, M.A.; Dührkop, K.; Böcker, S.; Zamboni, N. MSNovelist: De novo structure generation from mass spectra. Nat. Methods 2022, 19, 865–870. [Google Scholar] [CrossRef]
- Butler, T.; Frandsen, A.; Lightheart, R.; Bargh, B.; Kerby, T.; West, K.; Davison, J.; Taylor, J.; Krettler, C.; Bollerman, T.J.; et al. MS2Mol: A transformer model for illuminating dark chemical space from mass spectra. ChemRxiv 2023, preprint. [Google Scholar] [CrossRef]
- Shrivastava, A.D.; Swainston, N.; Samanta, S.; Roberts, I.; Wright Muelas, M.; Kell, D.B. MassGenie: A Transformer-Based Deep Learning Method for Identifying Small Molecules from Their Mass Spectra. Biomolecules 2021, 11, 1793. [Google Scholar] [CrossRef] [PubMed]
- Goldman, S.; Wohlwend, J.; Stražar, M.; Haroush, G.; Xavier, R.J.; Coley, C.W. Annotating metabolite mass spectra with domain-inspired chemical formula transformers. Nat. Mach. Intell. 2023, 5, 965–979. [Google Scholar] [CrossRef]
- Huber, F.; Ridder, L.; Verhoeven, S.; Spaaks, J.H.; Diblen, F.; Rogers, S.; van der Hooft, J.J.J. Spec2Vec: Improved mass spectral similarity scoring through learning of structural relationships. PLOS Comput. Biol. 2021, 17, e1008724. [Google Scholar] [CrossRef]
- Huber, F.; van der Burg, S.; van der Hooft, J.J.J.; Ridder, L. MS2DeepScore: A novel deep learning similarity measure to compare tandem mass spectra. J. Cheminform. 2021, 13, 84. [Google Scholar] [CrossRef]
- Guo, H.; Xue, K.; Sun, H.; Jiang, W.; Pu, S. Contrastive Learning-Based Embedder for the Representation of Tandem Mass Spectra. Anal. Chem. 2023, 95, 7888–7896. [Google Scholar] [CrossRef]
- Bushuiev, R.; Bushuiev, A.; Samusevich, R.; Brungs, C.; Sivic, J.; Pluskal, T. Self-supervised learning of molecular representations from millions of tandem mass spectra using DreaMS. Nat. Biotechnol. 2025, in press. [Google Scholar] [CrossRef]
- Brittin, N.J.; Anderson, J.M.; Braun, D.R.; Rajski, S.R.; Currie, C.R.; Bugni, T.S. Machine Learning-Based Bioactivity Classification of Natural Products Using LC-MS/MS Metabolomics. J. Nat. Prod. 2025, 88, 361–372. [Google Scholar] [CrossRef]
- Xing, S.; Jiao, Y.; Salehzadeh, M.; Soma, K.K.; Huan, T. SteroidXtract: Deep Learning-Based Pattern Recognition Enables Comprehensive and Rapid Extraction of Steroid-Like Metabolic Features for Automated Biology-Driven Metabolomics. Anal. Chem. 2021, 93, 5735–5743. [Google Scholar] [CrossRef] [PubMed]
- Brown, K.S.; Jamieson, P.; Wu, W.; Vaswani, A.; Alcazar Magana, A.; Choi, J.; Mattio, L.M.; Cheong, P.H.; Nelson, D.; Reardon, P.N.; et al. Computation-Assisted Identification of Bioactive Compounds in Botanical Extracts: A Case Study of Anti-Inflammatory Natural Products from Hops. Antioxidants 2022, 11, 1400. [Google Scholar] [CrossRef] [PubMed]
- Russo, F.F.; Nowatzky, Y.; Jaeger, C.; Parr, M.K.; Benner, P.; Muth, T.; Lisec, J. Machine learning methods for compound annotation in non-targeted mass spectrometry—A brief overview of fingerprinting, in silico fragmentation and de novo methods. Rapid Commun. Mass Spectrom. 2024, 38, e9876. [Google Scholar] [CrossRef] [PubMed]
- Bittremieux, W.; Wang, M.; Dorrestein, P.C. The critical role that spectral libraries play in capturing the metabolomics community knowledge. Metabolomics 2022, 18, 94. [Google Scholar] [CrossRef]
- Akimoto, N.; Ara, T.; Nakajima, D.; Suda, K.; Ikeda, C.; Takahashi, S.; Muneto, R.; Yamada, M.; Suzuki, H.; Shibata, D.; et al. FlavonoidSearch: A system for comprehensive flavonoid annotation by mass spectrometry. Sci. Rep. 2017, 7, 1243. [Google Scholar] [CrossRef]
- Hartler, J.; Triebl, A.; Ziegl, A.; Trötzmüller, M.; Rechberger, G.N.; Zeleznik, O.A.; Zierler, K.A.; Torta, F.; Cazenave-Gassiot, A.; Wenk, M.R.; et al. Deciphering lipid structures based on platform-independent decision rules. Nat. Methods 2017, 14, 1171–1174. [Google Scholar] [CrossRef]
- Shang, Z.; Tian, Y.; Xiong, M.; Yi, Y.; Qiao, X.; Yang, Y.; Ye, M. Characterization of prenylated phenolics in Glycyrrhiza uralensis by offline two-dimensional liquid chromatography/mass spectrometry coupled with mass defect filter. J. Pharm. Biomed. Anal. 2022, 220, 115009. [Google Scholar] [CrossRef]
- Ollivier, S.; Jéhan, P.; Olivier-Jimenez, D.; Lambert, F.; Boustie, J.; Lohézic-Le Dévéhat, F.; Le Yondre, N. New insights into the Van Krevelen diagram: Automated molecular formula determination from HRMS for a large chemical profiling of lichen extracts. Phytochem. Anal. 2022, 33, 1111–1120. [Google Scholar] [CrossRef]
- Gadara, D.; Coufalikova, K.; Bosak, J.; Smajs, D.; Spacil, Z. Systematic Feature Filtering in Exploratory Metabolomics: Application toward Biomarker Discovery. Anal. Chem. 2021, 93, 9103–9110. [Google Scholar] [CrossRef]
- Ye, J.-B.; Ren, G.; Li, W.-Y.; Zhong, G.-Y.; Zhang, M.; Yuan, J.-B.; Lu, T. Characterization and Identification of Prenylated Flavonoids from Artocarpus heterophyllus Lam. Roots by Quadrupole Time-Of-Flight and Linear Trap Quadrupole Orbitrap Mass Spectrometry. Molecules 2019, 24, 4591. [Google Scholar] [CrossRef]
- van Dinteren, S.; Araya-Cloutier, C.; de Bruijn, W.J.C.; Vincken, J.-P. A targeted prenylation analysis by a combination of IT-MS and HR-MS: Identification of prenyl number, configuration, and position in different subclasses of (iso)flavonoids. Anal. Chim. Acta 2021, 1180, 338874. [Google Scholar] [CrossRef]
- Simons, R.; Vincken, J.-P.; Bakx, E.J.; Verbruggen, M.A.; Gruppen, H. A rapid screening method for prenylated flavonoids with ultra-high-performance liquid chromatography/electrospray ionisation mass spectrometry in licorice root extracts. Rapid Commun. Mass Spectrom. 2009, 23, 3083–3093. [Google Scholar] [CrossRef]
- Bueschl, C.; Rypar, T.; Molcanova, L.; Markus, J.; Seidl, B.; Doppler, M.; Ruso, D.; Maisl, C.; Smejkal, K.; Schuhmacher, R. AnnoMe: A python package for MS/MS spectra classification. ChemRxiv 2025. [Google Scholar] [CrossRef]
- Molčanová, L.; Kauerová, T.; Dall’Acqua, S.; Maršík, P.; Kollár, P.; Šmejkal, K. Antiproliferative and cytotoxic activities of C-Geranylated flavonoids from Paulownia tomentosa Steud. Fruit. Bioorg. Chem. 2021, 111, 104797. [Google Scholar] [CrossRef]
- Molčanová, L.; Treml, J.; Brezáni, V.; Maršík, P.; Kurhan, S.; Trávníček, Z.; Uhrin, P.; Šmejkal, K. C-geranylated flavonoids from Paulownia tomentosa Steud. fruit as potential anti-inflammatory agents. J. Ethnopharmacol. 2022, 296, 115509. [Google Scholar] [CrossRef]
- Holubová, P.; Šmejkal, K. Changes in the Level of Bioactive Compounds in Paulownia tomentosa Fruits. J. Liq. Chromatogr. Relat. Technol. 2011, 34, 276–288. [Google Scholar] [CrossRef]
- Stravs, M.A.; Schymanski, E.L.; Singer, H.P.; Hollender, J. Automatic recalibration and processing of tandem mass spectra using formula annotation. J. Mass Spectrom. 2013, 48, 89–99. [Google Scholar] [CrossRef] [PubMed]
- Chambers, M.C.; Maclean, B.; Burke, R.; Amodei, D.; Ruderman, D.L.; Neumann, S.; Gatto, L.; Fischer, B.; Pratt, B.; Egertson, J. A cross-platform toolkit for mass spectrometry and proteomics. Nat. Biotechnol. 2012, 30, 918–920. [Google Scholar] [CrossRef] [PubMed]
- Schmid, R.; Heuckeroth, S.; Korf, A.; Smirnov, A.; Myers, O.; Dyrlund, T.S.; Bushuiev, R.; Murray, K.J.; Hoffmann, N.; Lu, M.; et al. Integrative analysis of multimodal mass spectrometry data in MZmine 3. Nat. Biotechnol. 2023, 41, 447–449. [Google Scholar] [CrossRef]
- Olivon, F.; Elie, N.; Grelier, G.; Roussi, F.; Litaudon, M.; Touboul, D. MetGem Software for the Generation of Molecular Networks Based on the t-SNE Algorithm. Anal. Chem. 2018, 90, 13900–13908. [Google Scholar] [CrossRef]
- Shannon, P.; Markiel, A.; Ozier, O.; Baliga, N.S.; Wang, J.T.; Ramage, D.; Amin, N.; Schwikowski, B.; Ideker, T. Cytoscape: A software environment for integrated models of biomolecular interaction networks. Genome Res. 2003, 13, 2498–2504. [Google Scholar] [CrossRef]
- Blaženović, I.; Kind, T.; Ji, J.; Fiehn, O. Software Tools and Approaches for Compound Identification of LC-MS/MS Data in Metabolomics. Metabolites 2018, 8, 31. [Google Scholar] [CrossRef]
- Dührkop, K.; Nothias, L.-F.; Fleischauer, M.; Reher, R.; Ludwig, M.; Hoffmann, M.A.; Petras, D.; Gerwick, W.H.; Rousu, J.; Dorrestein, P.C.; et al. Systematic classification of unknown metabolites using high-resolution fragmentation mass spectra. Nat. Biotechnol. 2021, 39, 462–471. [Google Scholar] [CrossRef]
- Jiang, C.; Gates, P.J. Systematic Characterisation of the Fragmentation of Flavonoids Using High-Resolution Accurate Mass Electrospray Tandem Mass Spectrometry. Molecules 2024, 29, 5246. [Google Scholar] [CrossRef]
- Cuyckens, F.; Claeys, M. Mass spectrometry in the structural analysis of flavonoids. J. Mass Spectrom. 2004, 39, 1–15. [Google Scholar] [CrossRef]
- Fabre, N.; Rustan, I.; de Hoffmann, E.; Quetin-Leclercq, J. Determination of flavone, flavonol, and flavanone aglycones by negative ion liquid chromatography electrospray ion trap mass spectrometry. J. Am. Soc. Mass Spectrom. 2001, 12, 707–715. [Google Scholar] [CrossRef] [PubMed]
- Šmejkal, K.; Chudík, S.; Klouček, P.; Marek, R.; Cvačka, J.; Urbanová, M.; Julínek, O.; Kokoška, L.; Šlapetová, T.; Holubová, P.; et al. Antibacterial C-Geranylflavonoids from Paulownia tomentosa Fruits. J. Nat. Prod. 2008, 71, 706–709. [Google Scholar] [CrossRef] [PubMed]
- Šmejkal, K.; Grycová, L.; Marek, R.; Lemière, F.; Jankovská, D.; Forejtníková, H.; Vančo, J.; Suchý, V. C-Geranyl Compounds from Paulownia tomentosa Fruits. J. Nat. Prod. 2007, 70, 1244–1248. [Google Scholar] [CrossRef]
- Asai, T.; Hara, N.; Kobayashi, S.; Kohshima, S.; Fujimoto, Y. Geranylated flavanones from the secretion on the surface of the immature fruits of Paulownia tomentosa. Phytochemistry 2008, 69, 1234–1241. [Google Scholar] [CrossRef]
- He, T.; Vaidya, B.N.; Perry, Z.D.; Parajuli, P.; Joshee, N. Paulownia as a Medicinal Tree: Traditional Uses and Current Advances. Eur. J. Med. Plants 2016, 14, 1–15. [Google Scholar] [CrossRef]
- Hubert, J.; Nuzillard, J.-M.; Renault, J.-H. Dereplication strategies in natural product research: How many tools and methodologies behind the same concept? Phytochem. Rev. 2017, 16, 55–95. [Google Scholar] [CrossRef]
- Yang, B.; Liu, H.; Yang, J.; Gupta, V.K.; Jiang, Y. New insights on bioactivities and biosynthesis of flavonoid glycosides. Trends Food Sci. Technol. 2018, 79, 116–124. [Google Scholar] [CrossRef]
- Ji, W.; Zhao, L.; Yun, C.; Liu, J.; Ma, J.; Zhu, L.; Duan, J.; Zhang, S. Efficient glycosylation and in vitro neuroprotective evaluation of abundant prenylflavonoid in hops. Process Biochem. 2024, 144, 179–186. [Google Scholar] [CrossRef]
- Wolfender, J.-L.; Waridel, P.; Ndjoko, K.; Hobby, K.R.; Major, H.J.; Hostettmann, K. Evaluation of Q-TOF-MS/MS and multiple stage IT-MSn for the dereplication of flavonoids and related compounds in crude plant extracts. Analusis 2000, 28, 895–906. [Google Scholar] [CrossRef]
- Phillips, W.R.; Baj, N.J.; Gunatilaka, A.A.L.; Kingston, D.G.I. C-Geranyl Compounds from Mimulus clevelandii. J. Nat. Prod. 1996, 59, 495–497. [Google Scholar] [CrossRef]
- Schneiderová, K.; Šmejkal, K. Phytochemical profile of Paulownia tomentosa (Thunb). Steud. Phytochem. Rev. 2015, 14, 799–833. [Google Scholar] [CrossRef] [PubMed]
- Choo, M.Z.Y.; Chua, J.A.T.; Lee, S.X.Y.; Ang, Y.; Wong, W.S.F.; Chai, C.L.L. Privileged natural product compound classes for anti-inflammatory drug development. Nat. Prod. Rep. 2025, 42, 856–875. [Google Scholar] [CrossRef] [PubMed]




| 6-Prenyl-4′-O-methyltaxifolin (1) | 3′,4′-O-Dimethylpaulodiplacone A (5) | |||||
|---|---|---|---|---|---|---|
| Position | δC, Type | δH (J in Hz) | HMBC | δC, Type | δH (J in Hz) | HMBC |
| 2 | 83.3, CH | 4.95, d (11.9) | 3, 4, 1′, 2′, 6′ | 78.5, CH | 5.30, m | n. o. |
| 3 | 72.4, CH | 4.51, d (11.9) | 2, 4, 1′ | 42.8, CH2 | 2.57, m | 4 |
| 3.12, m (ov *) | 2, 4 | |||||
| 4 | 196.0, C | 194.3, C | ||||
| 5 | 160.6, C | 161.6, C | ||||
| 6 | 107.6, C | 107.1, C | ||||
| 7 | 164.8, C | 161.6, C | ||||
| 8 | 96.0, CH | 5.98, s | 4, 6, 7, 9, 10 | 96.4, CH | 5.65, s | 6, 7, 9, 10 |
| 5.66, s | ||||||
| 9 | 161.1, C | 161.1, C | ||||
| 10 | 100.6, C | 100.2, C | ||||
| 1′ | 129.3, C | 132.3, C | ||||
| 2′ | 113.6, CH | 7.13, d (2.3) | 2, 4′, 6′ | 111.1, CH | 7.07, d (1.8) | 2, 4′, 6′ |
| 3′ | 145.9, C | 149.3, C | ||||
| 4′ | 147.4, C | 149.4, C | ||||
| 5′ | 110.6, CH | 6.90, d (8.2) | 1′, 3′ | 112.1, CH | 6.92, d (8.2) | 1′, 3′ |
| 6′ | 119.9, CH | 7.01, dd (2.3, 8.2) | 2, 2′, 4′ | 119.5, CH | 6.97, dd (1.8, 8.2) | 2, 2′, 4′ |
| 1′′ | 21.2, CH2 | 3.35, d (7.3) | 5, 6, 7, 2′′, 3′′ | 29.9, CH2 | 2.50, m | 5, 6, 7, 2′′, 3′′ |
| 2.66, m | 5, 6, 7, 2′′, 3′′ | |||||
| 2′′ | 121.2, CH | 5.24, t (7.3) | 6, 1′′, 4′′, 5′′ | 74.7, CH | 4.06, m | n. o. |
| 3′′ | 135.7, C | 152.7, C | ||||
| 4′′ | 25.9, CH3 | 1.75, s | 2′′, 3′′, 5′′ | 108.3, CH2 | 4.60, br s | 2′′, 3′′, 5′′ |
| 4.81, br s | 2′′, 3′′, 5′′ | |||||
| 5′′ | 17.9, CH3 | 1.81, s | 2′′, 3′′, 4′′ | 31.5, CH2 | 2.05, m (ov) | 3′′, 6′′ |
| 6′′ | 26.5, CH2 | 2.05, m (ov) | 5′′ | |||
| 7′′ | 125.2, CH | 5.09, m | n. o. | |||
| 8′′ | 131.2, C | |||||
| 9′′ | 26.0, CH3 | 1.61, s | 7′′, 8′′, 10′′ | |||
| 10′′ | 18.2, CH3 | 1.54, s | 7′′, 8′′, 9′′ | |||
| OH-5 | 11.53, s | 5, 6, 10 | 12.58, s | 5, 6, 10 | ||
| 12.59, s | ||||||
| MeO-3′ | 56.1, CH3 | 3.73, CH3 | 3′ | |||
| MeO-4′ | 56.1, CH3 | 3.91, s | 4′ | 56.1, CH3 | 3.72, CH3 | 4′ |
Disclaimer/Publisher’s Note: The statements, opinions and data contained in all publications are solely those of the individual author(s) and contributor(s) and not of MDPI and/or the editor(s). MDPI and/or the editor(s) disclaim responsibility for any injury to people or property resulting from any ideas, methods, instructions or products referred to in the content. |
© 2025 by the authors. Licensee MDPI, Basel, Switzerland. This article is an open access article distributed under the terms and conditions of the Creative Commons Attribution (CC BY) license (https://creativecommons.org/licenses/by/4.0/).
Share and Cite
Rypar, T.; Molcanova, L.; Valkova, B.; Hromadkova, E.; Bueschl, C.; Seidl, B.; Smejkal, K.; Schuhmacher, R. Targeted Isolation of Prenylated Flavonoids from Paulownia tomentosa Fruit Extracts via AI-Guided Workflow Integrating LC-UV-HRMS/MS. Metabolites 2025, 15, 616. https://doi.org/10.3390/metabo15090616
Rypar T, Molcanova L, Valkova B, Hromadkova E, Bueschl C, Seidl B, Smejkal K, Schuhmacher R. Targeted Isolation of Prenylated Flavonoids from Paulownia tomentosa Fruit Extracts via AI-Guided Workflow Integrating LC-UV-HRMS/MS. Metabolites. 2025; 15(9):616. https://doi.org/10.3390/metabo15090616
Chicago/Turabian StyleRypar, Tomas, Lenka Molcanova, Barbora Valkova, Ema Hromadkova, Christoph Bueschl, Bernhard Seidl, Karel Smejkal, and Rainer Schuhmacher. 2025. "Targeted Isolation of Prenylated Flavonoids from Paulownia tomentosa Fruit Extracts via AI-Guided Workflow Integrating LC-UV-HRMS/MS" Metabolites 15, no. 9: 616. https://doi.org/10.3390/metabo15090616
APA StyleRypar, T., Molcanova, L., Valkova, B., Hromadkova, E., Bueschl, C., Seidl, B., Smejkal, K., & Schuhmacher, R. (2025). Targeted Isolation of Prenylated Flavonoids from Paulownia tomentosa Fruit Extracts via AI-Guided Workflow Integrating LC-UV-HRMS/MS. Metabolites, 15(9), 616. https://doi.org/10.3390/metabo15090616

