Characterization of Ten Novel Metabolites of a PAF Antagonist SY0916 in Rats Using LC-MS and NMR
Abstract
1. Introduction
2. Materials and Methods
2.1. Chemicals and Reagents
2.2. Instrumentation
2.3. Animal Experiments
2.3.1. Tissues Collection
2.3.2. Excretion Collection
2.4. Sample Preparations
2.5. Synthesis of M07 and M08
2.5.1. Synthesis of M07
2.5.2. Synthesis of M08
3. Results and Discussion
3.1. Analytical Strategy Based on the MS Fragmentation Characteristics of Metabolites of SY0916
3.2. Characterization of Ten New Metabolites of SY0916
3.2.1. Phase I Metabolites
HRMS and 1H NMR Verification of M07
HRMS and 1H NMR Verification of M08
3.2.2. Glutathione Conjugates
Mass Spectrometric Characteristics of M09 and M10
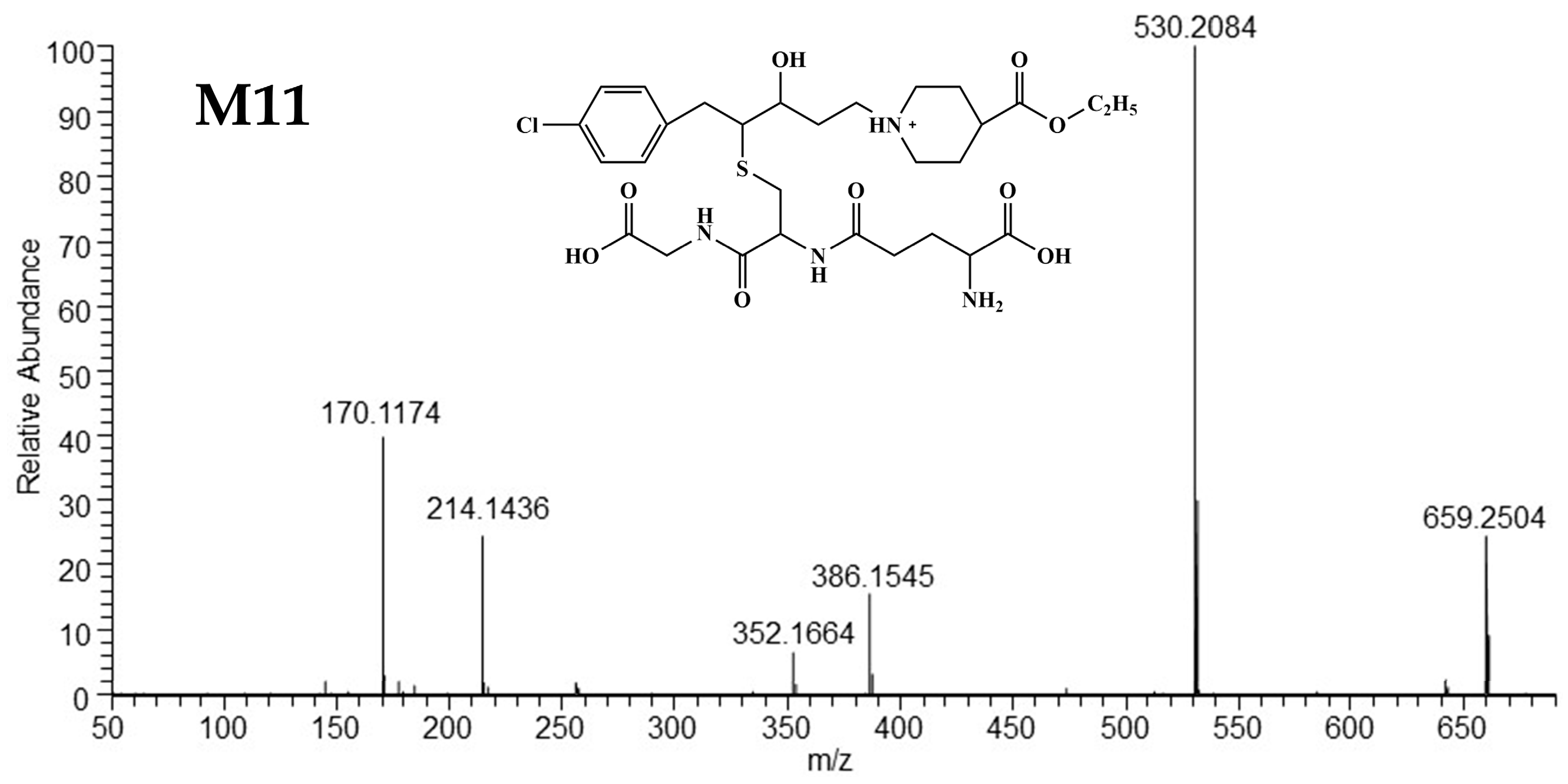
Mass Spectrometric Characteristics of M11
Mass Spectrometric Characteristics of M12 and M13
Mass Spectrometric Characteristics of M14
3.2.3. Sulphonate Conjugates
Mass Spectrometric Characteristics of M15
Mass Spectrometric Characteristics of M16
3.3. Transformation of SY0916 In Vivo
4. Conclusions
Supplementary Materials
Author Contributions
Funding
Institutional Review Board Statement
Informed Consent Statement
Data Availability Statement
Conflicts of Interest
References
- McInnes, I.B.; Schett, G. The Pathogenesis of Rheumatoid Arthritis. N. Engl. J. Med. 2011, 365, 2205–2219. [Google Scholar] [CrossRef] [PubMed]
- Bagherzadeh, C.M.; Ghasemi, M.S.; Forogh, B.; Sanjari, M.A.; Zabihi, Y.M.; Eshraghi, A. Effect of rocker shoes on pain, disability and activity limitation in patients with rheumatoid arthritis. Prosthet. Orthot. Int. 2014, 38, 310–315. [Google Scholar] [CrossRef] [PubMed]
- Lo, J.; Chan, L.; Flynn, S. A Systematic Review of the Incidence, Prevalence, Costs, and Activity and Work Limitations of Amputation, Osteoarthritis, Rheumatoid Arthritis, Back Pain, Multiple Sclerosis, Spinal Cord Injury, Stroke, and Traumatic Brain Injury in the United States: A 2019 Update. Arch. Phys. Med. Rehabil. 2021, 102, 115–131. [Google Scholar] [PubMed]
- Combe, B.; Landewe, R.; Daien, C.I.; Hua, C.; Aletaha, D.; Álvaro-Gracia, J.M.; Bakkers, M.; Brodin, N.; Burmester, G.R.; Codreanu, C.; et al. 2016 update of the EULAR recommendations for the management of early arthritis. Ann. Rheum. Dis. 2017, 76, 948–959. [Google Scholar] [PubMed]
- George, M.D.; Baker, J.F.; Winthrop, K.; Hsu, J.Y.; Wu, Q.; Chen, L.; Xie, F.; Yun, H.; Curtis, J.R. Risk for Serious Infection With Low-Dose Glucocorticoids in Patients With Rheumatoid Arthritis: A Cohort Study. Ann. Intern. Med. 2020, 173, 870–878. [Google Scholar] [CrossRef] [PubMed]
- Siraganian, R.P.; Osler, A.G. Destruction of rabbit platelets in the allergic response of sensitized leukocytes. I. Demonstration of a fluid phase intermediate. J. Immunol. 1971, 106, 1244–1251. [Google Scholar] [CrossRef] [PubMed]
- Evangelou, A.M. Platelet-activating factor (PAF): Implications for coronary heart and vascular diseases. Prostaglandins Leukot. Essent. Fatty Acids 1994, 50, 1–28. [Google Scholar] [PubMed]
- Montrucchio, G.; Alloatti, G.; Camussi, G. Role of platelet-activating factor in cardiovascular pathophysiology. Physiol. Rev. 2000, 80, 1669–1699. [Google Scholar] [CrossRef] [PubMed]
- Wang, L.; Peng, S.Y.; Liu, Y.; Li, P.; Wang, W.J. Effects and mechanism of aromatic aminoketone SY0916 on osteoclastic bone destruction. Acta Pharmacol. Sin. 2010, 31, 470–475. [Google Scholar] [PubMed]
- Liu, M.; Wang, H.; Liu, H.; Peng, A.; Yang, F.; Wang, W.; Zhu, L.; Huang, H.; Jiang, J.; Hu, P. Determination of LBPT in human plasma by high performance liquid chromatography-tandem mass spectrometry. J. Chromatogr. B Anal. Technol. Biomed. Life Sci. 2014, 965, 238–243. [Google Scholar]
- Jin, B.; Wang, Y.; Zhang, T.; Yin, W.; Zhang, D.; Huang, H.; Ma, C. Degradation Characteristics of a Novel PAF Receptor Antagonist, SY0916, in Aqueous Solution. J. Anal. Methods Chem. 2019, 2019, 8789470. [Google Scholar] [CrossRef] [PubMed]
- Wang, H.; Liu, H.; Liu, M.; Wang, W.; Zhu, L.; Huang, H.; Hu, P.; Jiang, J. Pharmacokinetics of LBPT and its primary metabolites, as well as tolerability in the first-in-human study. Eur. J. Pharm. Sci. 2017, 100, 87–93. [Google Scholar] [CrossRef] [PubMed]
- Wu, M.; Liu, A.; Zhuang, Q.; Jia, R.; Zhou, Y.; Liu, Y.; Wang, H. Development and validation of a UPLC-MS/MS method for simultaneous determination of LBPT and its metabolites in human plasma. Bioanalysis 2020, 12, 211–220. [Google Scholar] [CrossRef] [PubMed]
- Baillie, T.A.; Davis, M.R. Mass spectrometry in the analysis of glutathione conjugates. Biol. Mass Spectrom. 1993, 22, 319–325. [Google Scholar] [PubMed]
- Mayer, R.J.; Ofial, A.R. Nucleophilicity of Glutathione: A Link to Michael Acceptor Reactivities. Angew. Chem. Int. Ed. Engl. 2019, 58, 17704–17708. [Google Scholar] [CrossRef] [PubMed]
- Zhu, X.; Hayashi, M.; Subramanian, R. Enhanced detection and characterization of glutathione-trapped reactive metabolites by pseudo-MS(3) transition using a linear ion trap mass spectrometer. Chem. Res. Toxicol. 2012, 25, 1839–1841. [Google Scholar] [CrossRef] [PubMed]
- Schadt, S.; Bister, B.; Chowdhury, S.K.; Funk, C.; Hop, C.; Humphreys, W.G.; Igarashi, F.; James, A.D.; Kagan, M.; Khojasteh, S.C.; et al. A Decade in the MIST: Learnings from Investigations of Drug Metabolites in Drug Development under the “Metabolites in Safety Testing” Regulatory Guidance. Drug Metab. Dispos. 2018, 46, 865–878. [Google Scholar] [CrossRef] [PubMed]
- Obach, R.S. Pharmacologically active drug metabolites: Impact on drug discovery and pharmacotherapy. Pharmacol. Rev. 2013, 65, 578–640. [Google Scholar] [CrossRef] [PubMed]
- Crettol, S.; Petrovic, N.; Murray, M. Pharmacogenetics of phase I and phase II drug metabolism. Curr. Pharm. Des. 2010, 16, 204–219. [Google Scholar] [PubMed]












Disclaimer/Publisher’s Note: The statements, opinions and data contained in all publications are solely those of the individual author(s) and contributor(s) and not of MDPI and/or the editor(s). MDPI and/or the editor(s) disclaim responsibility for any injury to people or property resulting from any ideas, methods, instructions or products referred to in the content. |
© 2025 by the authors. Licensee MDPI, Basel, Switzerland. This article is an open access article distributed under the terms and conditions of the Creative Commons Attribution (CC BY) license (https://creativecommons.org/licenses/by/4.0/).
Share and Cite
He, X.; Zhang, T.; Zhao, H.; Ma, C. Characterization of Ten Novel Metabolites of a PAF Antagonist SY0916 in Rats Using LC-MS and NMR. Metabolites 2025, 15, 238. https://doi.org/10.3390/metabo15040238
He X, Zhang T, Zhao H, Ma C. Characterization of Ten Novel Metabolites of a PAF Antagonist SY0916 in Rats Using LC-MS and NMR. Metabolites. 2025; 15(4):238. https://doi.org/10.3390/metabo15040238
Chicago/Turabian StyleHe, Xin, Tingting Zhang, Hongyi Zhao, and Chen Ma. 2025. "Characterization of Ten Novel Metabolites of a PAF Antagonist SY0916 in Rats Using LC-MS and NMR" Metabolites 15, no. 4: 238. https://doi.org/10.3390/metabo15040238
APA StyleHe, X., Zhang, T., Zhao, H., & Ma, C. (2025). Characterization of Ten Novel Metabolites of a PAF Antagonist SY0916 in Rats Using LC-MS and NMR. Metabolites, 15(4), 238. https://doi.org/10.3390/metabo15040238

