Oligomalt, a New Slowly Digestible Carbohydrate, Reduces Post-Prandial Glucose and Insulin Trajectories Compared to Maltodextrin across Different Population Characteristics: Double-Blind Randomized Controlled Trials in Healthy Individuals, People with Obesity, and People with Type 2 Diabetes
Abstract
1. Introduction
2. Materials and Methods
2.1. Study Design
2.2. Study Participants
2.3. Investigational Products
2.4. Study Procedures
2.5. Primary Exploratory Endpoint
2.6. Other Metabolic Endpoints
2.7. Breath Hydrogen Test
2.8. Safety and Adverse Events (AEs)
2.9. Statistical Methods and Sample Size Considerations
2.10. Analysis
3. Results
3.1. Post-Prandial Glucose Trajectories
3.2. Post-Prandial Insulin Trajectories
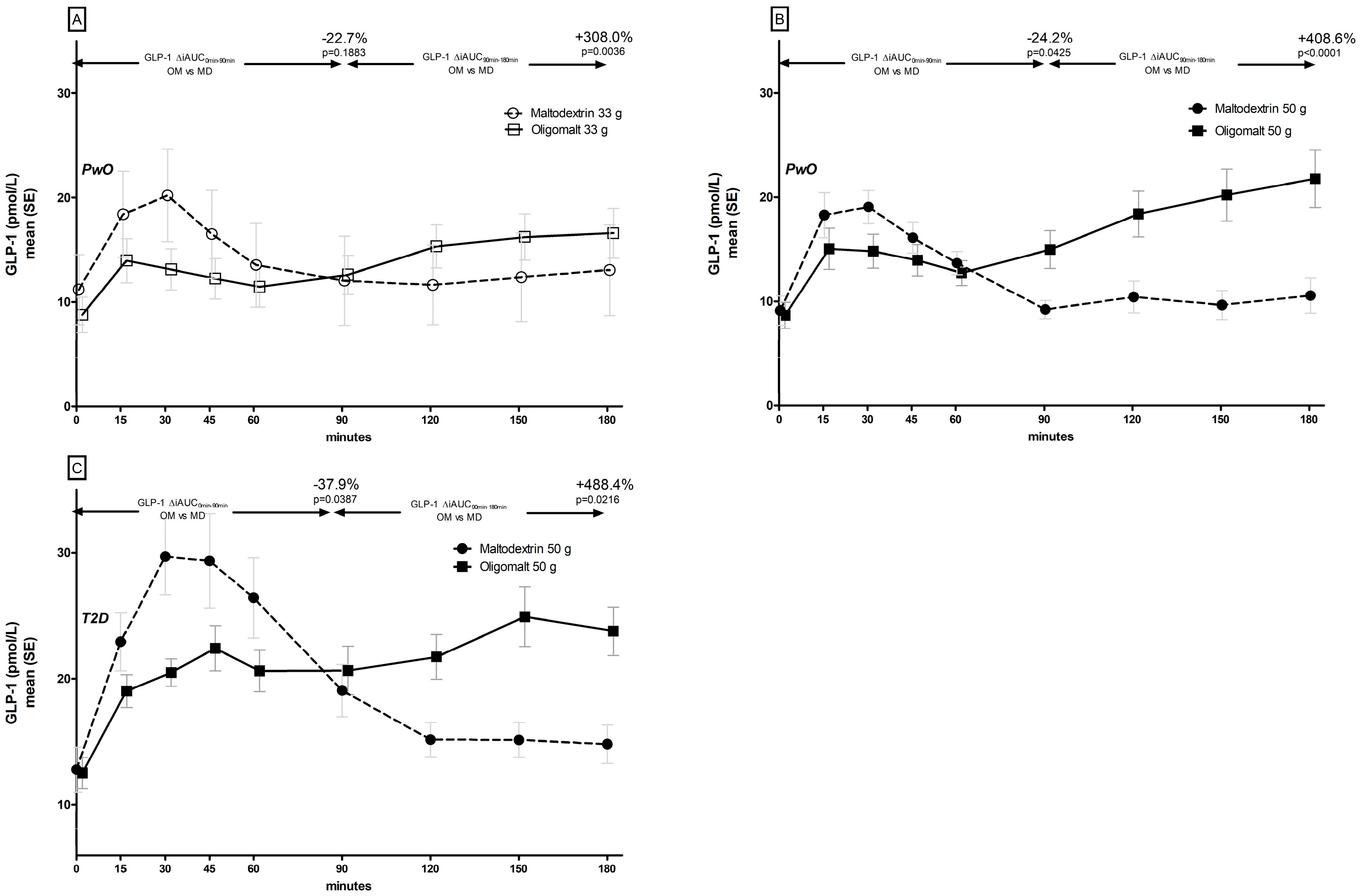
3.3. Post-Prandial GLP-1 and PYY in PwO and People with T2D
3.4. Hydrogen Breath Test in HV
3.5. Adverse Events
4. Discussion
5. Conclusions
Supplementary Materials
Author Contributions
Funding
Institutional Review Board Statement
Informed Consent Statement
Data Availability Statement
Acknowledgments
Conflicts of Interest
References
- U.S. Food and Drug Administration. Interactive Nutrition Facts Label, October 2021. Available online: https://www.accessdata.fda.gov/scripts/interactivenutritionfactslabel/assets/InteractiveNFL_TotalCarbohydrate_October2021.pdf (accessed on 1 June 2024).
- U.S. Department of Agriculture. Dietary Guidelines for Americans, 2020–2025. Available online: https://www.dietaryguidelines.gov/sites/default/files/2021-03/Dietary_Guidelines_for_Americans-2020-2025.pdf (accessed on 1 June 2024).
- Burke, L.M.; Cox, G.R.; Culmmings, N.K.; Desbrow, B. Guidelines for daily carbohydrate intake: Do athletes achieve them? Sports Med. 2001, 31, 267–299. [Google Scholar] [CrossRef] [PubMed]
- WHO. Sugars Factsheet. Available online: https://cdn.who.int/media/docs/librariesprovider2/euro-health-topics/obesity/sugars-factsheet.pdf?sfvrsn=d5b89d5f_3&download=true (accessed on 1 June 2024).
- Ross, A.C. Modern Nutrition in Health and Disease; Jones & Bartlett Learning: Burlington, MA, USA, 2020. [Google Scholar]
- EFSA Panel on Nutrition, Novel Foods and Food Allergens (NDA). Tolerable upper intake level for dietary sugars. EFSA J. 2022, 20, 7074. [Google Scholar] [CrossRef]
- Shan, Z.; Rehm, C.D.; Rogers, G.; Ruan, M.; Wang, D.D.; Hu, F.B.; Mozaffarian, D.; Zhang, F.F.; Bhupatiraju, S.N. Trends in Dietary Carbohydrate, Protein, and Fat Intake and Diet Quality Among US Adults, 1999–2016. JAMA 2019, 322, 1178–1187. [Google Scholar] [CrossRef] [PubMed]
- Sonestedt, E.; Øverby, N.C. Carbohydrates—A scoping review for Nordic Nutrition Recommendations 2023. Food Nutr. Res. 2023, 67, 1–12. [Google Scholar] [CrossRef] [PubMed]
- Stanhope, K.L.; Bremer, A.A.; Medici, V.; Nakajima, K.; Ito, Y.; Nakano, T.; Chen, G.; Fong, T.H.; Lee, V.; Menorca, R.I.; et al. Consumption of fructose and high fructose corn syrup increase postprandial triglycerides, LDL-cholesterol, and apolipoprotein-B in young men and women. J. Clin. Endocrinol. Metab. 2011, 96, E1596–E1605. [Google Scholar] [CrossRef] [PubMed]
- Bajahzer, M.F.; Bruun, J.M.; Rosqvist, F.; Marklund, M.; Richelsen, B.; Risérus, U. Effects of sugar-sweetened soda on plasma saturated and monounsaturated fatty acids in individuals with obesity: A randomized study. Front. Nutr. 2022, 9, 936828. [Google Scholar] [CrossRef] [PubMed]
- Elliott, S.S.; Keim, N.L.; Stern, J.S.; Teff, K.; Havel, P.J. Fructose, weight gain, and the insulin resistance syndrome. Am. J. Clin. Nutr. 2002, 76, 911–922. [Google Scholar] [CrossRef] [PubMed]
- Gaby, A.R. Adverse effects of dietary fructose. Altern. Med. Rev. 2005, 10, 294–306. [Google Scholar] [PubMed]
- World Health Organization. Guidelines: Sugars Intake for Adults and Children; World Health Organization: Geneva, Switzerland, 2015. [Google Scholar]
- Johnson, R.K.; Appel, L.J.; Brands, M.; Howard, B.V.; Lefevre, M.; Lustig, R.H.; Sacks, F.; Steffen, L.M.; Wylie-Rosett, J. Dietary sugars intake and cardiovascular health: A scientific statement from the American Heart Association. Circulation 2009, 120, 1011–1020. [Google Scholar] [CrossRef]
- Englyst, H.N.; Kingman, S.M.; Cummings, J.H. Classification and measurement of nutritionally important starch fractions. Eur. J. Clin. Nutr. 1992, 46 (Suppl. S2), 33–50. [Google Scholar]
- Miao, M.; Jiang, B.; Cui, S.W.; Zhang, T.; Jin, Z. Slowly digestible starch—A review. Crit. Rev. Food Sci. Nutr. 2015, 55, 1642–1657. [Google Scholar] [CrossRef] [PubMed]
- Lamothe, L.M.; Francey, C.; Lerea-Antes, J.S.; Rytz, A.; D’Urzo, C.; Delodder, F.; Piccardi, N.; Curti, D.; Muricano Martinez, P.; Darimont, C.; et al. Effects of α-D-glucans with alternating 1,3/1,6 α-D-glucopyranosyl linkages on postprandial glycemic response in healthy subjects. Carbohydr. Polym. Technol. Appl. 2022, 4, 100256. [Google Scholar] [CrossRef]
- Johansen, O.E.; Curti, D.; von Eynatten, M.; Rytz, A.; Lahiry, A.; Delodder, F.; Ufheil, G.; D’Urzo, C.; Orengo, A.; Thorne, K.; et al. Oligomalt, a New Slowly Digestible Carbohydrate, Is Well Tolerated in Healthy Young Men and Women at Intakes up to 180 Gram per Day: A Randomized, Double-Blind, Crossover Trial. Nutrients 2023, 15, 2752. [Google Scholar] [CrossRef] [PubMed]
- International Conference on Harmonisation—World Health Organization. Guideline for Good Clinical Practice. Harmonised Tripartite Guideline. Good Clinical Practice. Available online: https://www.ich.org/ (accessed on 1 June 2024).
- World Medical Association. WORLD MEDICAL ASSOCIATION DECLARATION OF HELSINKI Ethical Principles for Medical Research Involving Human Subjects. In Proceedings of the 18th WMA General Assembly, Helsinki, Finland, June 1964. Available online: https://www.wma.net/policies-post/wma-declaration-of-helsinki-ethical-principles-for-medical-research-involving-human-subjects/ (accessed on 1 June 2024).
- Sun, B.; Luo, Z.; Zhou, J. Comprehensive elaboration of glycemic variability in diabetic macrovascular and microvascular complications. Cardiovasc. Diabetol. 2021, 20, 9. [Google Scholar] [CrossRef] [PubMed]
- American Diabetes Association. 6. Glycemic Goals and Hypoglycemia: Standards of Care in Diabetes—2024. Diabetes Care 2023, 47 (Suppl. S1), S111–S125. [Google Scholar] [CrossRef]
- Holt, S.H.; Miller, J.C.; Petocz, P. An insulin index of foods: The insulin demand generated by 1000-kJ portions of common foods. Am. J. Clin. Nutr. 1997, 66, 1264–1276. [Google Scholar] [CrossRef] [PubMed]
- Hammer, H.F.; Fox, M.R.; Keller, J.; Salvatore, S.; Basilisco, G.; Hammer, J.; Lopetuso, L.; Benninga, M.; Borrelli, O.; Dumitrascu, D.; et al. European H2-CH4-breath test group. European guideline on indications, performance, and clinical impact of hydrogen and methane breath tests in adult and pediatric patients: European Association for Gastroenterology, Endoscopy and Nutrition, European Society of Neurogastroenterology and Motility, and European Society for Paediatric Gastroenterology Hepatology and Nutrition consensus. United Eur. Gastroenterol. J. 2022, 10, 15–40. [Google Scholar] [CrossRef]
- Rezaie, A.; Buresi, M.; Lembo, A.; Lin, H.; McCallum, R.; Rao, S.; Schmulson, M.; Valdovinos, M.; Zakko, S.; Pimentel, M. Hydrogen and Methane-Based Breath Testing in Gastrointestinal Disorders: The North American Consensus. Am. J. Gastroenterol. 2017, 112, 775–784. [Google Scholar] [CrossRef] [PubMed]
- Bond, J.H., Jr.; Levitt, M.D. Use of pulmonary hydrogen (H2) measurements to quantitate carbohydrate absorption. Study of partially gastrectomized patients. J. Clin. Investig. 1972, 51, 1219–1225. [Google Scholar] [CrossRef]
- Zhang, A.M.Y.; Wellberg, E.A.; Kopp, J.L.; Johnson, J.D. Hyperinsulinemia in Obesity, Inflammation, and Cancer. Diabetes Metab. J. 2021, 45, 285–311. Available online: https://e-dmj.org/journal/view.php?doi=10.4093/dmj.2020.0250 (accessed on 1 June 2024). [CrossRef]
- Astina, J.; Sapwarobol, S. Attenuation of glycaemic and insulin responses following tapioca resistant maltodextrin consumption in healthy subjects: A randomised cross-over controlled trial. J. Nutr. Sci. 2020, 9, e29. [Google Scholar] [CrossRef] [PubMed]
- Meyer-Gerspach, A.C.; Cajacob, L.; Riva, D.; Herzog, R.; Drewe, J.; Beglinger, C.; Wölnerhanssen, B.K. Mechanisms Regulating Insulin Response to Intragastric Glucose in Lean and Non-Diabetic Obese Subjects: A Randomized, Double-Blind, Parallel-Group Trial. PLoS ONE 2016, 11, e0150803. [Google Scholar] [CrossRef] [PubMed]
- Merovci, A.; Tripathy, D.; Chen, X.; Valdez, I.; Abdul-Ghani, M.; Solis-Herrera, C.; Gastaldelli, A.; DeFronzo, R.A. Effect of Mild Physiologic Hyperglycemia on Insulin Secretion, Insulin Clearance, and Insulin Sensitivity in Healthy Glucose-Tolerant Subjects. Diabetes 2021, 70, 204–213. [Google Scholar] [CrossRef] [PubMed]
- Tillil, H.; Shapiro, E.T.; Miller, M.A.; Karrison, T.; Frank, B.H.; Galloway, J.A.; Rubenstein, A.H.; Polonsky, K.S. Dose-dependent effects of oral and intravenous glucose on insulin secretion and clearance in normal humans. Am. J. Physiol. 1988, 254, E349–E357. [Google Scholar] [CrossRef] [PubMed]
- de Rougemont, A.; Normand, S.; Nazare, J.A.; Skilton, M.R.; Sothier, M.; Vinoy, S.; Laville, M. Beneficial effects of a 5-week low-glycaemic index regimen on weight control and cardiovascular risk factors in overweight non-diabetic subjects. Br. J. Nutr. 2007, 98, 1288–1298. [Google Scholar] [CrossRef] [PubMed]
- Harbis, A.; Perdreau, S.; Vincent-Baudry, S.; Charbonnier, M.; Bernard, M.C.; Raccah, D.; Senft, M.; Lorec, A.M.; Defoort, C.; Portugal, H.; et al. Glycemic and insulinemic meal responses modulate postprandial hepatic and intestinal lipoprotein accumulation in obese, insulin-resistant subjects. Am. J. Clin. Nutr. 2004, 80, 896–902. [Google Scholar] [CrossRef]
- Huber, H.; Schieren, A.; Holst, J.J.; Simon, M.C. Dietary impact on fasting and stimulated GLP-1 secretion in different metabolic conditions—A narrative review. Am. J. Clin. Nutr. 2024, 119, 599–627. [Google Scholar] [CrossRef]
- Reimann, F.; Gribble, F.M. Mechanisms underlying glucose-dependent insulinotropic polypeptide and glucagon-like peptide-1 secretion. J. Diabetes. Investig. 2016, 7 (Suppl. S1), 13–19. [Google Scholar] [CrossRef]
- Martinussen, C.; Bojsen-Møller, K.N.; Dirksen, C.; Svane, M.S.; Kristiansen, V.B.; Hartmann, B.; Holst, J.J.; Madsbad, S. Augmented GLP-1 Secretion as Seen after Gastric Bypass May Be Obtained by Delaying Carbohydrate Digestion. J. Clin. Endocrinol. Metab. 2019, 104, 3233–3244. [Google Scholar] [CrossRef] [PubMed]
- Larraufie, P.; Martin-Gallausiaux, C.; Lapaque, N.; Dore, J.; Gribble, F.M.; Reimann, F.; Blottiere, H.M. SCFAs strongly stimulate PYY production in human enteroendocrine cells. Sci. Rep. 2018, 8, 74. [Google Scholar] [CrossRef]
- Wachters-Hagedoorn, R.E.; Priebe, M.G.; Heimweg, J.A.; Heiner, A.M.; Englyst, K.N.; Holst, J.J.; Stellaard, F.; Vonk, R.J. The rate of intestinal glucose absorption is correlated with plasma glucose-dependent insulinotropic polypeptide concentrations in healthy men. J. Nutr. 2006, 136, 1511–1516. [Google Scholar] [CrossRef] [PubMed]
- Costabile, G.; Griffo, E.; Cipriano, P.; Vetrani, C.; Vitale, M.; Mamone, G.; Rivellese, A.A.; Riccardi, G.; Giacco, R. Subjective satiety and plasma PYY concentration after wholemeal pasta. Appetite 2018, 125, 172–181. [Google Scholar] [CrossRef] [PubMed]
- Chegeni, M.; Hayes, A.M.R.; Gonzalez, T.D.; Manderfeld, M.M.; Lim, J.; Menon, R.S.; Holschuh, N.M.; Hedges, M.E.; Hamaker, B.R. Activation of gastrointestinal ileal brake response with dietary slowly digestible carbohydrates, with no observed effect on subjective appetite, in an acute randomized, double-blind, crossover trial. Eur. J. Nutr. 2022, 61, 1965–1980. [Google Scholar] [CrossRef] [PubMed]
- Dammann, K.W.; Bell, M.; Kanter, M.; Berger, A. Effects of consumption of sucromalt, a slowly digestible carbohydrate, on mental and physical energy questionnaire responses. Nutr. Neurosci. 2013, 16, 83–95. [Google Scholar] [CrossRef] [PubMed]
- Vinelli, V.; Biscotti, P.; Martini, D.; Del Bo, C.; Marino, M.; Meroño, T.; Nikoloudaki, O.; Calabrese, F.M.; Turroni, S.; Taverniti, V.; et al. Effects of Dietary Fibers on Short-Chain Fatty Acids and Gut Microbiota Composition in Healthy Adults: A Systematic Review. Nutrients 2022, 14, 2559. [Google Scholar] [CrossRef] [PubMed]
- Ziesenitz, S.C.; Siebert, G.; Schwengers, D.; Lemmes, R. Nutritional assessment in humans and rats of leucrose [D-glucopyranosyl-alpha(1–5)-D-fructopyranose] as a sugar substitute. J. Nutr. 1989, 119, 971–978. [Google Scholar] [CrossRef] [PubMed]
- Lee, J.; Kim, E.; Kim, Y.; Yoo, S.H. Leucrose, a sucrose isomer, suppresses hepatic fat accumulation by regulating hepatic lipogenesis and fat oxidation in high-fat diet-induced obese mice. J. Cancer Prev. 2018, 23, 99–106. [Google Scholar] [CrossRef] [PubMed]
- Casterton, P.L.; Verbeke, K.A.; Brouns, F.; Dammann, K.W. Evaluation of sucromalt digestion in healthy children using breath hydrogen as a biomarker of carbohydrate malabsorption. Food Funct. 2012, 3, 410–413. [Google Scholar] [CrossRef]
- Cheng, M.; Ren, L.; Jia, X.; Wang, J.; Cong, B. Understanding the action mechanisms of metformin in the gastrointestinal tract. Front. Pharmacol. 2024, 15, 1347047. [Google Scholar] [CrossRef] [PubMed] [PubMed Central]





| Healthy Volunteers | People with Overweight or Obesity | People with Type 2 Diabetes | |
|---|---|---|---|
| n | 15 | 26 | 22 |
| Sex (female/male) | 8 (53%)/7 (47%) | 10 (39%)/16 (61%) | 13 (59%)/9 (41%) |
| Age (years) | 31 (6.8) | 44 (12.3) | 61 (8.9) |
| Race ° | |||
| Asian | 0 (0%) | 1 (4%) | 5 (23%) |
| Black or African-American | 0 (0%) | 9 (35%) | 7 (32%) |
| White | 15 (100%) | 14 (54%) | 10 (45%) |
| Other/not reported | 0 (0%) | 2 (7%) | 0 (0%) |
| Ethnicity | |||
| Hispanic or Latino | 0 (0%) | 10 (39%) | 7 (32%) |
| Not Hispanic or Latino | 15 (100%) | 16 (61%) | 15 (68%) |
| SBP/DBP (mmHg) | Not assessed | 117 (12.7)/73 (9.0) | 123 (16)/74 (7) |
| Anthropometrics | |||
| Height (cm) | 172 (9.5) | 175 (10.8) | 166 (9.5) |
| Weight (kg) | 67 (13.0) | 92 (14.4) | 88 (19.7) |
| Body Mass Index (BMI) (kg/m2) | 22.6 (2.6) | 29.9 (3.4) | 31.8 (5.4) |
| Waist circumference (cm) | Not assessed | 99.4 (10.5) | 103.2 (13.0) |
| Laboratory parameters | |||
| HbA1c (%) | Not assessed | 5.3 (0.6) | 7.4 (1.2) |
| HbA1c (mmol/mol) | Not assessed | 34 (6.2) | 57 (14.1) |
| Fasting plasma glucose (mmol/L) | 4.8 (0.3) | 4.9 (0.5) | 8.8 (4.3) |
| Fasting plasma glucose (mg/dL) | 86.5 (5.5) | 89.6 (8.3) | 160.1 (78.7) |
| Hematocrit (%) | Not assessed | 43 (3.6) | 43.3 (3.6) |
| Hemoglobin (g/dL) | Not assessed | 13.7 (1.3) | 14.1 (1.5) |
| eGFR 1 (ml/min/1.73 m2) | Not assessed | 109 (31) | 109 (31) |
| Concomittant medications | |||
| Metformin | 0 (0%) | 0 (0%) | 18 (82%) |
| ACE-inhibitors/AT-2 receptor blockers | 0 (0%) | 1 (4%) | 10 (46%) |
| Lipid-lowering medications | 0 (0%) | 0 (0%) | 10 (46%) |
| Beta-blockers | 0 (0%) | 0 (0%) | 5 (23%) |
| Diuretics | 0 (0%) | 0 (0%) | 4 (18%) |
| Calcium channel blockers | 0 (0%) | 0 (0%) | 4 (18%) |
| Incremental Cmax (mg/dL) | IQR (mg/dL) | Glucose Slope from Cmax to 3 h (mg/dL) | |||||||
|---|---|---|---|---|---|---|---|---|---|
| Oligomalt mean (SD) | Maltodextrin mean (SD) | Comparison OM vs. MD estimate (95% CI) | Oligomalt mean (SD) | Maltodextrin mean (SD) | Comparison MD vs. OM estimate (95% CI) | Oligomalt mean (SD) | Maltodextrin mean (SD) | Comparison MD vs. OM estimate (95% CI) | |
| HV, 50 g | 34.2 (14.4) | 43.2 (16.2) | −10.8 (−19.8, −1.8) p = 0.033 | 23.1 (11.2) | 31.5 (10.8) | −9.0 (−16.4, −1.8) p = 0.018 | −36.2 (16.6) | −58.9 (23.1) | 22.6 (10.3, 35.0) p = 0.001 |
| PwO, 33 g | 36.2 (13.3) | 55.8 (22.9) | −19.6 (−29.2, −10.0) p = 0.0001 | 26.8 (13.5) | 45.6 (13.4) | −18.8 (−27.4, −10.2) p < 0.0001 | −42.8 (18.5) | −70.3 (23.7) | 27.5 (16.6, 38.33) p < 0.0001 |
| PwO, 50 g | 43.5 (15.1) | 61.8 (23.1) | −17.6 (−27.1, −8.2) p = 0.0004 | 31.8 (14.3) | 51.1 (23.5) | −18.6 (−27.1, −10.1) p < 0.0001 | −48.7 (18.1) | −75.0 (30.4) | 25.6 (14.9, 36.3) p < 0.0001 |
| T2D, 50 g | 78.2 (23.1) | 127.5 (34.6) | −49.4 (−67.8, −30.9) p < 0.0001 | 61.1 (20.7) | 100.6 (27.6) | −39.7 (−54.8, −24.5) p < 0.0001 | −63.4 (25.2) | −103.4 (43.6) | 40.5 (22.1, 58.9) p = 0.0002 |
| Incremental Cmax (uIU/mL) | Tmax (min) | Insulin Index (%) | |||||||
|---|---|---|---|---|---|---|---|---|---|
| Oligomalt Mean (SD) | Maltodextrin Mean (SD) | Comparison OM vs. MD Estimate (95% CI) | Oligomalt Mean (SD) | Maltodextrin Mean (SD) | Comparison MD vs. OM Estimate (95% CI) | Oligomalt Mean (SD) | Maltodextrin Mean (SD) | Comparison MD vs. OM Estimate (95% CI) | |
| HV, 50 g | 26.7 (13.7) | 68.3 (11.7) | −41.5 (−49.2, −33.8), p < 0.0001 | 39 (9) | 38 (11) | 2 (−16, 20) p = 0.822 | 44 (14) | 100 (0) | −56 (−67, −45) p < 0.0001 |
| PwO, 33 g | 26.8 (19.6, 36.5) * | 64.6 (49.0, 85.0) * | 0.41 (0.34, 0.50) * p < 0.0001 | 38 (15) | 38 (10) | −1 (−9, 6) p = 0.7139 | 44 (16) | 100 (0) | −56 (−64, −48) p < 0.0001 |
| PwO, 50 g | 32.0 (24.7, 41.5) * | 82.9 (61.6, 111.4) * | 0.39 (0.32, 0.47) * p < 0.0001 | 47 (15) | 52 (18) | −4 (−11, 3) p = 0.2657 | 50 (24) | 100 (0) | −50 (−59, −42), p < 0.0001 |
| T2D, 50 g | 14.8 (8.6, 25.3) * | 31.5 (20.2, 49.0) * | 0.46 (0.30, 0.71) * p = 0.0015 | 100 (46) | 79 (43) | 21 (−7, 49) p = 0.1377 | 63 (44) | 100 (0) | −37 (−57, −17) p = 0.0005 |
| Maltodextrin 50 g | Oligomalt 50 g | |
|---|---|---|
| 0–3 h, ppm × min | ||
| Inulin 15 g | −117.0 (−153.6, −80.3), p < 0.0001 | −112.8 (−151.8, −73.8), p < 0.0001 |
| Maltodextrin 50 g | −4.2 (−41.8, 33.4), p = 0.818 | |
| 0–4 h, ppm × min | ||
| Inulin 15 g | −180.3 (−222.2, 138.4), p < 0.0001 | −173.4 (−218.0, −128.8), p < 0.0001 |
| Maltodextrin 50 g | −6.9 (−49.9, 36.1), p = 0.740 |
Disclaimer/Publisher’s Note: The statements, opinions and data contained in all publications are solely those of the individual author(s) and contributor(s) and not of MDPI and/or the editor(s). MDPI and/or the editor(s) disclaim responsibility for any injury to people or property resulting from any ideas, methods, instructions or products referred to in the content. |
© 2024 by the authors. Licensee MDPI, Basel, Switzerland. This article is an open access article distributed under the terms and conditions of the Creative Commons Attribution (CC BY) license (https://creativecommons.org/licenses/by/4.0/).
Share and Cite
Johansen, O.E.; Neutel, J.; Gupta, S.; Mariani, B.; Ufheil, G.; Perrin, E.; Rytz, A.; Lahiry, A.; Delodder, F.; Lerea-Antes, J.; et al. Oligomalt, a New Slowly Digestible Carbohydrate, Reduces Post-Prandial Glucose and Insulin Trajectories Compared to Maltodextrin across Different Population Characteristics: Double-Blind Randomized Controlled Trials in Healthy Individuals, People with Obesity, and People with Type 2 Diabetes. Metabolites 2024, 14, 410. https://doi.org/10.3390/metabo14080410
Johansen OE, Neutel J, Gupta S, Mariani B, Ufheil G, Perrin E, Rytz A, Lahiry A, Delodder F, Lerea-Antes J, et al. Oligomalt, a New Slowly Digestible Carbohydrate, Reduces Post-Prandial Glucose and Insulin Trajectories Compared to Maltodextrin across Different Population Characteristics: Double-Blind Randomized Controlled Trials in Healthy Individuals, People with Obesity, and People with Type 2 Diabetes. Metabolites. 2024; 14(8):410. https://doi.org/10.3390/metabo14080410
Chicago/Turabian StyleJohansen, Odd Erik, Joel Neutel, Sanjay Gupta, Barbara Mariani, Gerhard Ufheil, Emilie Perrin, Andreas Rytz, Anirban Lahiry, Frederik Delodder, Jaclyn Lerea-Antes, and et al. 2024. "Oligomalt, a New Slowly Digestible Carbohydrate, Reduces Post-Prandial Glucose and Insulin Trajectories Compared to Maltodextrin across Different Population Characteristics: Double-Blind Randomized Controlled Trials in Healthy Individuals, People with Obesity, and People with Type 2 Diabetes" Metabolites 14, no. 8: 410. https://doi.org/10.3390/metabo14080410
APA StyleJohansen, O. E., Neutel, J., Gupta, S., Mariani, B., Ufheil, G., Perrin, E., Rytz, A., Lahiry, A., Delodder, F., Lerea-Antes, J., Ocampo, N., & von Eynatten, M. (2024). Oligomalt, a New Slowly Digestible Carbohydrate, Reduces Post-Prandial Glucose and Insulin Trajectories Compared to Maltodextrin across Different Population Characteristics: Double-Blind Randomized Controlled Trials in Healthy Individuals, People with Obesity, and People with Type 2 Diabetes. Metabolites, 14(8), 410. https://doi.org/10.3390/metabo14080410

