Estradiol, Estrone and Ethinyl Estradiol Metabolism Studied by High Resolution LC-MS/MS Using Stable Isotope Labeling and Trapping of Reactive Metabolites
Abstract
1. Introduction
2. Materials and Methods
2.1. Materials
2.2. In Vitro Incubations
2.3. LC-HRMS/MS Analysis and Data Processing
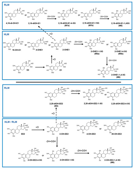
3. Results
3.1. Oxidative Metabolites
3.2. Reactive Metabolites
3.2.1. GSH and NAC Adducts
3.2.2. Deuterated Versions of Trapped Adducts
4. Discussion
4.1. Oxidative Metabolism
4.2. GSH et NAC Adducts
5. Conclusions
Supplementary Materials
Author Contributions
Funding
Institutional Review Board Statement
Informed Consent Statement
Data Availability Statement
Acknowledgments
Conflicts of Interest
References
- Denver, N.; Khan, S.; Homer, N.Z.; MacLean, M.R.; Andrew, R. Current strategies for quantification of estrogens in clinical research. J. Steroid Biochem. Mol. Biol. 2019, 192, 105373. [Google Scholar] [CrossRef] [PubMed]
- Food, U.; Administration, D. Drugs@ FDA: FDA-Approved Drugs; FDA: Silver Spring, MD, USA, 2009.
- Goldzieher, J.W. The history of steroidal contraceptive development: The estrogens. Perspect. Biol. Med. 1993, 36, 363–368. [Google Scholar] [CrossRef] [PubMed]
- Bolton, J.L.; Shen, L. p-Quinone methides are the major decomposition products of catechol estrogen o-quinones. Carcinogenesis 1996, 17, 925–929. [Google Scholar] [CrossRef] [PubMed][Green Version]
- Cavalieri, E.L.; Rogan, E.G. Etiology and prevention of prevalent types of cancer. J. Rare Dis. Res. Treat. 2017, 2, 22. [Google Scholar] [CrossRef][Green Version]
- Guengerich, F.P. Oxidation of 17 alpha-ethynylestradiol by human liver cytochrome P-450. Mol. Pharmacol. 1988, 33, 500–508. [Google Scholar]
- Avar, P.; Zrínyi, Z.; Maász, G.; Takátsy, A.; Lovas, S.; László, G.; Pirger, Z. β-Estradiol and ethinyl-estradiol contamination in the rivers of the Carpathian Basin. Environ. Sci. Pollut. Res. 2016, 23, 11630–11638. [Google Scholar] [CrossRef]
- Iverson, S.L.; Shen, L.; Anlar, N.; Bolton, J.L. Bioactivation of estrone and its catechol metabolites to quinoid− glutathione conjugates in rat liver microsomes. Chem. Res. Toxicol. 1996, 9, 492–499. [Google Scholar] [CrossRef]
- Hayes, C.L.; Spink, D.C.; Spink, B.C.; Cao, J.Q.; Walker, N.J.; Sutter, T.R. 17 beta-estradiol hydroxylation catalyzed by human cytochrome P450 1B1. Proc. Natl. Acad. Sci. USA 1996, 93, 9776–9781. [Google Scholar] [CrossRef]
- Lu, F.; Zahid, M.; Saeed, M.; Cavalieri, E.L.; Rogan, E.G. Estrogen metabolism and formation of estrogen-DNA adducts in estradiol-treated MCF-10F cells: The effects of 2, 3, 7, 8-tetrachlorodibenzo-p-dioxin induction and catechol-O-methyltransferase inhibition. J. Steroid Biochem. Mol. Biol. 2007, 105, 150–158. [Google Scholar] [CrossRef]
- Zhu, B.T.; Lee, A.J. NADPH-dependent metabolism of 17β-estradiol and estrone to polar and nonpolar metabolites by human tissues and cytochrome P450 isoforms. Steroids 2005, 70, 225–244. [Google Scholar] [CrossRef]
- Wang, B.; Sanchez, R.I.; Franklin, R.B.; Evans, D.C.; Huskey, S.-E.W. The involvement of CYP3A4 and CYP2C9 in the metabolism of 17α-ethinylestradiol. Drug Metab. Dispos. 2004, 32, 1209–1212. [Google Scholar] [CrossRef] [PubMed]
- Ali Khan, W.; Khan, W.A. Cytochrome P450-mediated estrogen metabolites and autoimmunity: Relationship and link to free radicals. Curr. Drug Metab. 2016, 17, 65–74. [Google Scholar] [CrossRef] [PubMed]
- Yager, J.D. Mechanisms of estrogen carcinogenesis: The role of E2/E1–quinone metabolites suggests new approaches to preventive intervention—A review. Steroids 2015, 99, 56–60. [Google Scholar] [CrossRef] [PubMed]
- Charneira, C.; Nunes, J.; Antunes, A.M. 16α-Hydroxyestrone: Mass spectrometry-based methodologies for the identification of covalent adducts formed with blood proteins. Chem. Res. Toxicol. 2020, 33, 2147–2156. [Google Scholar] [CrossRef]
- Gouveia, M.J.; Brindley, P.J.; Santos, L.L.; Correia Da Costa, J.M.; Gomes, P.; Vale, N. Mass spectrometry techniques in the survey of steroid metabolites as potential disease biomarkers: A review. Metabolism 2013, 62, 1206–1217. [Google Scholar] [CrossRef]
- Kalgutkar, A.S. Liabilities Associated with the Formation of “Hard” Electrophiles in Reactive Metabolite Trapping Screens. Chem. Res. Toxicol. 2017, 30, 220–238. [Google Scholar] [CrossRef]
- Inoue, K.; Fukuda, K.; Yoshimura, T.; Kusano, K. Comparison of the Reactivity of Trapping Reagents toward Electrophiles: Cysteine Derivatives Can Be Bifunctional Trapping Reagents. Chem. Res. Toxicol. 2015, 28, 1546–1555. [Google Scholar] [CrossRef]
- Butterworth, M.; Lau, S.S.; Monks, T.J. 2-Hydroxy-4-glutathion-S-yl-17beta-estradiol and 2-hydroxy-1-glutathion-S-yl-17beta-estradiol produce oxidative stress and renal toxicity in an animal model of 17beta-estradiol-mediated nephrocarcinogenicity. Carcinogenesis 1998, 19, 133–139. [Google Scholar] [CrossRef][Green Version]
- Chokkathukalam, A.; Kim, D.-H.; Barrett, M.P.; Breitling, R.; Creek, D.J. Stable isotope-labeling studies in metabolomics: New insights into structure and dynamics of metabolic networks. Bioanalysis 2014, 6, 511–524. [Google Scholar] [CrossRef]
- Wan, L.; O’Brien, P. Molecular mechanism of 17α-ethinylestradiol cytotoxicity in isolated rat hepatocytes. Can. J. Physiol. Pharmacol. 2014, 92, 21–26. [Google Scholar] [CrossRef]
- Liu, X.; Lv, H.; Guo, Y.; Teka, T.; Wang, X.; Huang, Y.; Han, L.; Pan, G. Structure-Based Reactivity Profiles of Reactive Metabolites with Glutathione. Chem. Res. Toxicol. 2020, 33, 1579–1593. [Google Scholar] [CrossRef] [PubMed]
- Klopčič, I.; Dolenc, M.S. Chemicals and Drugs Forming Reactive Quinone and Quinone Imine Metabolites. Chem. Res. Toxicol. 2019, 32, 1–34. [Google Scholar] [CrossRef] [PubMed]
- Xie, C.; Zhong, D.; Chen, X. A fragmentation-based method for the differentiation of glutathione conjugates by high-resolution mass spectrometry with electrospray ionization. Anal. Chim. Acta 2013, 788, 89–98. [Google Scholar] [CrossRef] [PubMed]
- Lee, A.J.; Cai, M.X.; Thomas, P.E.; Conney, A.H.; Zhu, B.T. Characterization of the oxidative metabolites of 17β-estradiol and estrone formed by 15 selectively expressed human cytochrome P450 isoforms. Endocrinology 2003, 144, 3382–3398. [Google Scholar] [CrossRef] [PubMed]
- Hilborn, E.; Stål, O.; Jansson, A. Estrogen and androgen-converting enzymes 17β-hydroxysteroid dehydrogenase and their involvement in cancer: With a special focus on 17β-hydroxysteroid dehydrogenase type 1, 2, and breast cancer. Oncotarget 2017, 8, 30552–30562. [Google Scholar] [CrossRef] [PubMed]
- Samavat, H.; Kurzer, M.S. Estrogen metabolism and breast cancer. Cancer Lett. 2015, 356, 231–243. [Google Scholar] [CrossRef]
- Lippert, C.; Seeger, H.; Mueck, A. The effect of endogenous estradiol metabolites on the proliferation of human breast cancer cells. Life Sci. 2003, 72, 877–883. [Google Scholar] [CrossRef]
- Todorovic, R. Analysis of potential biomarkers of estrogen-initiated cancer in the urine of Syrian golden hamsters treated with 4-hydroxyestradiol. Carcinogenesis 2001, 22, 905–911. [Google Scholar] [CrossRef][Green Version]







| Biotransformation | Formula | RT (min) | m/z (ppm) | Δm(d4) |
|---|---|---|---|---|
| Estrone | C18H22O2 | 11.4 | 271.1689 (–1.4) | 4 |
| +O | C18H22O3 | 8.0 | 287.1641(–0.3) | 3 |
| 8.7 | 287.1642 (–0.6) | 3 | ||
| 10 | 287.164 (–0.6) | 3 | ||
| +2O b | C18H22O4 | 4.8 * | 303.1584 (–2.1) | 2 |
| 7.4 * | 303.1583 (–2.7) | 2 | ||
| +O-2H+GSH | C28H37N3O9S | 7.25 | 592.2309 (–2.4) | 3 |
| 7.4 | 592.2307 (–2.8) | 2 | ||
| 7.6 | 592.2311 (–2.1) | 2 | ||
| +2O-2H+GSH b | C28H37N3O10S | 6 * | 608.2278 (0.9) | 1 |
| 6.4 * | 608.228 (1.2) | 2 | ||
| +O-4H+2GSH | C38H52N6O15S2 | 5.3 * | 449.155+2 (2.4) | 2 |
| 5.5 | 449.1542+2 (0.8) | 2 | ||
| 6.2 | 449.154+2 (0.3) | 2 | ||
| +2O-4H+2GSH b | C38H52N6O16S2 | 5.6 * | 457.152+2 (1.1) | 1 |
| +O-2H+NAC b | C23H29NO6S | 8.7 | 448.1791 (0.5) | 3 |
| 9.1 | 448.1789 (0.2) | 2 | ||
| 9.3 | 448.1786 (–0.6) | 2 | ||
| +O-4H+2NAC b | C28H36N2O9S2 | 7.4 | 609.193 (–0.8) | 2 |
| 8.1 | 609.193 (–0.9) | 2 | ||
| ß-Estradiol | C18H24O2 | 10.7 | 273.185 (0.5) | 4 |
| ß-Estradiol | C18H22O | 10.7 | 255.1746 a (0.9) | 4 |
| -2H (E1) | C18H22O2 | 11.4 | 271.1694 (0.4) | 4 |
| +O | C18H22O2 | 7.3 | 271.1693 a (0.5) | 3 |
| 9.5 | 271.1693 a (0.3) | 3 | ||
| +O-2H | C18H22O3 | 8 | 287.1644 (0.7) | 3 |
| 10 | 287.1644 (0.6) | 3 | ||
| +2O-2H b | C18H22O4 | 4.8 * | 303.1601 (3.3) | 2 |
| 7.4 * | 303.1591 (0.7) | 2 | ||
| +2O b | C18H22O3 | 6.5 * | 287.1647 a (1.7) | 2 |
| +O-2H+GSH | C28H39N3O9S | 6.8 | 594.2486 (1.0) | 3 |
| 7.15 | 594.2488 (1.4) | 2 | ||
| +2O-2H+GSH b | C28H39N3O10S | 5.6 * | 610.2426 (–0.5) | 1 |
| 5.9 * | 610.2435 (1.0) | 2 | ||
| +O-4H+2GSH | C38H54N6O15S2 | 5.2 | 450.1626+2 (2.0) | 2 |
| 5.75 | 450.1637+2 (2.3) | 2 | ||
| +2O-4H+2GSH b | C38H54N6O16S2 | 5.1 * | 458.1608+2 (1.3) | 1 |
| 5.4 * | 458.1608+2 (1.5) | 2 | ||
| +O-2H+NAC b | C23H31NO6S | 8.0 | 450.1951 (1.4) | 3 |
| 8.6 | 450.1951 (1.3) | 2 | ||
| 8.8 | 450.1941 (–0.9) | 2 | ||
| +O-4H+2NAC b | C28H38N2O9S2 | 6.8 | 611.2106 (2.3) | 2 |
| 7.4 | 611.2092 (0.1) | 2 | ||
| Ethinyl estradiol | C20H24O2 | 11.2 | 297.1847 (–0.7) | 4 |
| EE2(-H2O) | C20H20O | 11.2 | 279.1744 (0.2) | 4 |
| +O | C20H22O2 | 7.8 | 295.1698 a (1.7) | 4 |
| 8.2 | 295.1695 a (0.9) | 4 | ||
| 10.1 | 295.1695 a (0.8) | 3 | ||
| +2O b | C20H22O3 | 6.7 * | 311.1644 a (0.6) | 3 |
| 7.2 * | 311.1645 a (1.1) | 3 | ||
| +O-2H+GSH b | C30H39N3O9S | 7.2 | 618.2492 (1.9) | 3 |
| 7.5 | 618.2477 (–0.4) | 2 | ||
| 7.7 | 618.2478 (–0.2) | 2 | ||
| +2O-2H+GSH b | C30H39N3O10S | 6.15 | 634.2418 (–1.7) | 2/1 |
| 6.3 * | 634.2421 (–1.2) | 2 | ||
| 6.5 * | 634.2423 (–0.9) | 3 | ||
| 6.7 | 634.2423 (–1.0) | 3 | ||
| +O-4H+2GSH b | C40H54N6O15S2 | 5.1 * | 462.1624+2 (1.5) | 2 |
| 5.5 | 462.162+2 (0.7) | 2 | ||
| 6 | 462.1622+2 (1.2) | 2 | ||
| +O-2H+NAC b | C25H31NO6S | 8.55 | 474.1940 (–1.0) | 3 |
| 9.05 | 474.1947 (0.3) | 2 | ||
| 9.3 | 474.1945 (0.0) | 2 | ||
| +2O-2H+NAC b | C25H31NO7S | 8.3 | 490.1885 (–1.9) | 2 |
| +O-4H+2NAC b | C30H38N2O9S2 | 7.3 | 635.2085 (–1.1) | 2 |
| 7.9 | 635.2086 (–0.9) | 2 |
Publisher’s Note: MDPI stays neutral with regard to jurisdictional claims in published maps and institutional affiliations. |
© 2022 by the authors. Licensee MDPI, Basel, Switzerland. This article is an open access article distributed under the terms and conditions of the Creative Commons Attribution (CC BY) license (https://creativecommons.org/licenses/by/4.0/).
Share and Cite
Chabi, K.; Sleno, L. Estradiol, Estrone and Ethinyl Estradiol Metabolism Studied by High Resolution LC-MS/MS Using Stable Isotope Labeling and Trapping of Reactive Metabolites. Metabolites 2022, 12, 931. https://doi.org/10.3390/metabo12100931
Chabi K, Sleno L. Estradiol, Estrone and Ethinyl Estradiol Metabolism Studied by High Resolution LC-MS/MS Using Stable Isotope Labeling and Trapping of Reactive Metabolites. Metabolites. 2022; 12(10):931. https://doi.org/10.3390/metabo12100931
Chicago/Turabian StyleChabi, Kahina, and Lekha Sleno. 2022. "Estradiol, Estrone and Ethinyl Estradiol Metabolism Studied by High Resolution LC-MS/MS Using Stable Isotope Labeling and Trapping of Reactive Metabolites" Metabolites 12, no. 10: 931. https://doi.org/10.3390/metabo12100931
APA StyleChabi, K., & Sleno, L. (2022). Estradiol, Estrone and Ethinyl Estradiol Metabolism Studied by High Resolution LC-MS/MS Using Stable Isotope Labeling and Trapping of Reactive Metabolites. Metabolites, 12(10), 931. https://doi.org/10.3390/metabo12100931

