An R-Package for the Deconvolution and Integration of 1D NMR Data: MetaboDecon1D
Abstract
:1. Introduction
2. Results
2.1. Peak Selection Procedure
2.2. Results of Parameter Approximation Method
2.3. Quantification Results
- Latin-square design: acetic acid, alanine, betaine, citric acid, creatinine, ethanolamine, glycine, histidine, taurine, TMAO
- Mouse urine spectra: 2-oxoglutarate, 3-indoxylsulfate, creatinine, glucose, hippurate, succinate, trimethylamine
- Human urine spectra: alanine, creatinine, glycine, hippurate
- Human blood plasma spectra: alanine, creatinine, glucose, lactate, tyrosine
2.3.1. Latin-Square Design
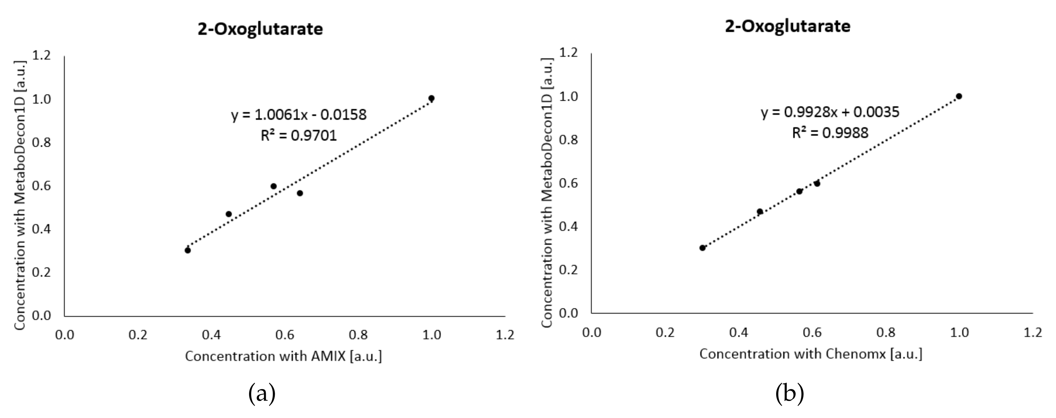
2.3.2. Mouse Urine Spectra
2.3.3. Human Urine Spectra
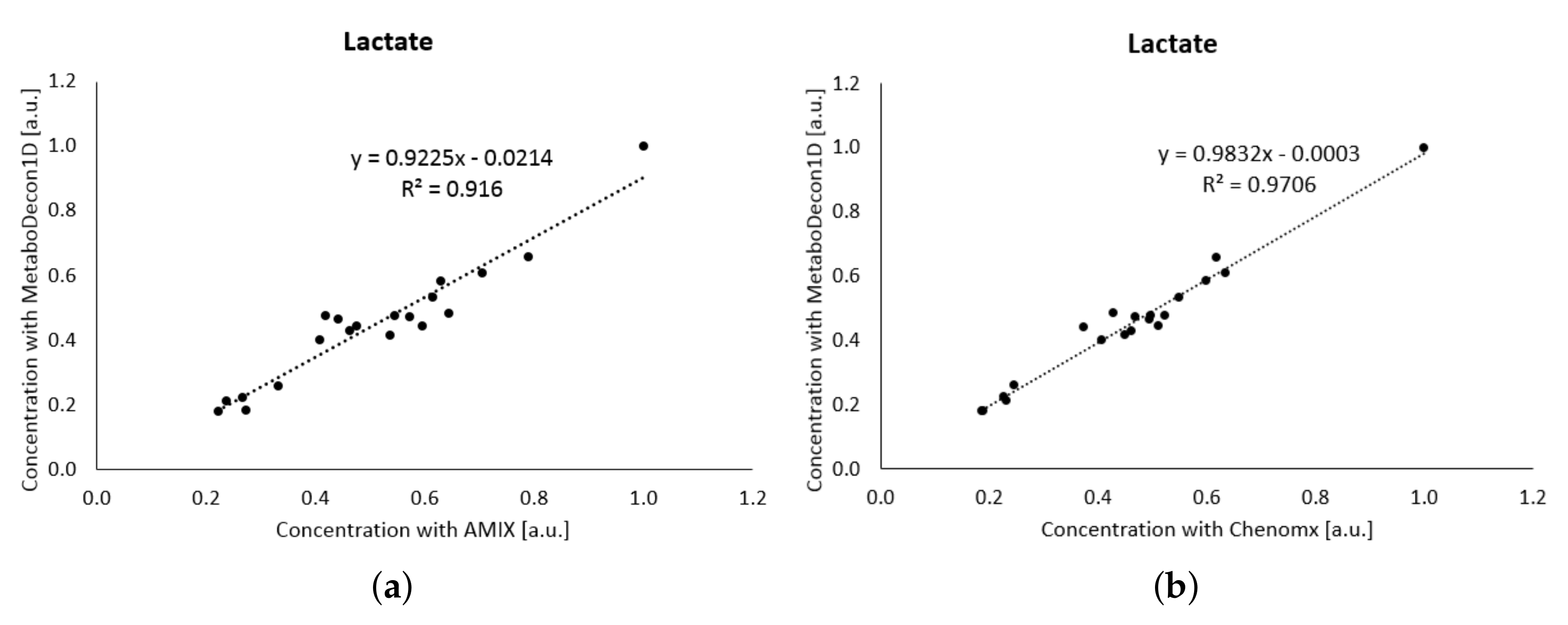
2.3.4. Human Blood Plasma Spectra
3. Discussion
4. Materials and Methods
4.1. Datasets
4.2. NMR Sample Preparation
4.3. NMR Measurements
4.4. Preprocessing
4.5. Deconvolution with Lorentz Curves
4.5.1. Peak Selection
4.5.2. Parameter Approximation Method
4.6. Quantification Through Integration
4.7. Software
5. Conclusions
Supplementary Materials
Author Contributions
Funding
Institutional Review Board Statement
Informed Consent Statement
Data Availability Statement
Conflicts of Interest
Abbreviations
| 1D | one-dimensional |
| CPMG | Carr-Purcell-Meiboom-Gill |
| FA | formic acid |
| HSQC | heteronuclear single quantum coherence |
| MSE | mean squared error |
| NMR | nuclear magnetic resonance |
| TSP | trimethylsilylpropanoic acid |
References
- Wishart, D.S. Quantitative metabolomics using NMR. TrAC 2008, 27, 228–237. [Google Scholar] [CrossRef]
- Lindon, J.C.; Nicholson, J.K.; Holmes, E.; Everett, J.R. Metabonomics: Metabolic Processes Studied by NMR Spectroscopy of Biofluids. Concepts Magn. Reson. 2000, 12, 289–320. [Google Scholar] [CrossRef]
- Gronwald, W.; Klein, M.S.; Kaspar, H.; Fagerer, S.; Nürnberger, N.; Dettmer, K.; Bertsch, T.; Oefner, P.J. Urinary Metabolite Quantification Employing 2D NMR Spectroscopy. Anal. Chem. 2008, 80, 9288–9297. [Google Scholar] [CrossRef] [PubMed]
- Weitzel, A.; Samol, C.; Oefner, P.J.; Gronwald, W. Robust Metabolite Quantification from J-Compensated 2D 1H-13C-HSQC Experiments. Metabolites 2020, 10, 449. [Google Scholar] [CrossRef] [PubMed]
- von Schlippenbach, T.; Oefner, P.J.; Gronwald, W. Systematic Evaluation of Non-Uniform Sampling Parameters in the Targeted Analysis of Urine Metabolites by 1H, 1H 2D NMR Spectroscopy. Sci. Rep. 2018, 8, 4249. [Google Scholar] [CrossRef]
- Gouilleux, B.; Rouger, L.; Giraudeau, P. Chapter 2: Ultrafast 2D NMR Methods and Applications. Ann. R. NMR S. 2018, 93, 75–144. [Google Scholar]
- Reusser, J.E.; Verel, R.; Frossard, E.; McLaren, T.I. Quantitative measures of myo-IP6 in soil using solution 31P NMR spectroscopy and spectral deconvolution fitting including a broad signal. Environ. Sci. Process. Impacts 2020, 22, 1084–1094. [Google Scholar] [CrossRef] [Green Version]
- Hughes, T.S.; Wilson, H.D.; de Vera, I.M.S.; Kojetin, D.J. Deconvolution of Complex 1D NMR Spectra Using Objective Model Selection. PLoS ONE 2015, 10, e0134474. [Google Scholar] [CrossRef]
- Ravanbakhsh, S.; Liu, P.; Bjordahl, T.C.; Mandal, R.; Grant, J.R.; Wilson, M.; Eisner, R.; Sinelnikov, I.; Hu, X.; Luchinat, C.; et al. Accurate, fully-automated NMR spectral profiling for metabolomics. PLoS ONE 2015, 10, e0124219. [Google Scholar] [CrossRef] [Green Version]
- Hao, J.; Astle, W.; de Iorio, M.; Ebbels, T.M.D. BATMAN—An R package for the automated quantification of metabolites from nuclear magnetic resonance spectra using a Bayesian model. Bioinformatics 2012, 28, 2088–2090. [Google Scholar] [CrossRef] [Green Version]
- Khakimov, B.; Mobaraki, N.; Trimigno, A.; Aru, V.; Engelsen, S.B. Signature Mapping (SigMa): An efficient approach for processing complex human urine 1H NMR metabolomics data. Anal. Chim. Acta 2020, 1108, 142–151. [Google Scholar] [CrossRef] [PubMed]
- Yamada, S.; Kurotani, A.; Chikayama, E.; Kikuchi, J. Signal Deconvolution and Noise Factor Analysis Based on a Combination of Time–Frequency Analysis and Probabilistic Sparse Matrix Factorization. Int. J. Mol. Sci. 2020, 21, 2978. [Google Scholar] [CrossRef] [PubMed] [Green Version]
- Chylla, R.A.; Hu, K.; Ellinger, J.J.; Markley, J.L. Deconvolution of two-dimensional NMR spectra by fast maximum likelihood reconstruction: Application to quantitative metabolomics. Anal Chem. 2011, 83, 4871–4880. [Google Scholar] [CrossRef]
- Heinecke, H.; Ye, L.; De Iorio, M.; Ebbels, T. Bayesian Deconvolution and Quantification of Metabolites from J-Resolved NMR Spectroscopy. Bayesian Anal. 2021, 16, 425–458. [Google Scholar] [CrossRef]
- Provencher, S.W. Estimation of metabolite concentrations from localized in vivo proton NMR spectra. Magn. Reson. Med. 1993, 30, 672–679. [Google Scholar] [CrossRef]
- Wilson, M.; Andronesi, O.; Barker, P.B.; Bartha, R.; Bizzi, A.; Bolan, P.J.; Brindle, K.M.; Choi, I.Y.; Cudalbu, C.; Dydak, U.; et al. A Methodological Consensus on Clinical Proton MR Spectroscopy of the Brain: Review and Recommendations. Magn. Reson. Med. 2019, 82, 527–550. [Google Scholar] [CrossRef] [Green Version]
- Burke, W.J. IV A Robust and Automated Deconvolution Algorithm of Peaks in Spectroscopic Data. Master’s Thesis, Rowan University, Glassboro, NJ, USA, 2019. Available online: https://rdw.rowan.edu/etd/2657 (accessed on 8 April 2021).
- Koh, H.W. Feature Extraction in NMR Data Analysis. Ph.D. Thesis, Technical University Dortmund, Dortmund, Germany, 2010. Available online: http://dx.doi.org/10.17877/DE290R-15379 (accessed on 21 November 2020).
- Koh, H.-W.; Maddula, S.; Lambert, J.; Hergenröder, R.; Hildebrand, L. An approach to automated frequency-domain feature extraction in nuclear magnetic resonance. J. Magn. Reson. 2009, 201, 146–156. [Google Scholar] [CrossRef]
- Schmidt, F.; Pugliese, A.; Santini, C.; Castiglione, F.; Schönhoff, M. Spectral deconvolution in electrophoretic NMR to investigate the migration of neutral molecules in electrolytes. Magn. Reson. Chem. 2020, 58, 271–279. [Google Scholar] [CrossRef] [Green Version]
- Emwas, A.H.; Saccenti, E.; Gao, X.; McKay, R.T.; Dos Santos, V.A.P.M.; Roy, R.; Wishart, D.S. Recommended strategies for spectral processing and post-processing of 1D 1H-NMR data of biofluids with a particular focus on urine. Metabolomics 2018, 14, 31. [Google Scholar] [CrossRef] [Green Version]
- Savorani, F.; Tomasi, G.; Engelsen, S.B. Icoshift: A versatile Tool for the Rapid Alignment of 1D NMR Spectra. J. Magn. Reson. 2010, 202, 190–202. [Google Scholar] [CrossRef]
- Wang, K.; Barding, G.A.; Larive, C.K. Peak alignment of one-dimensional NMR spectra by means of an intensity fluctuation frequency difference (IFFD) segment-wise algorithm. Anal. Methods 2015, 7, 9673–9682. [Google Scholar] [CrossRef]
- Titze, S.; Schmid, M.; Köttgen, A.; Busch, M.; Floege, J.; Wanner, C.; Kronenberg, F.; Eckardt, K.-U. Disease burden and risk profile in referred patients with moderate chronic kidney disease: Composition of the German Chronic Kidney Disease (GCKD) cohort. Nephrol. Dial. Transplant. 2015, 30, 441–451. [Google Scholar] [CrossRef] [PubMed] [Green Version]
- Zacharias, H.U.; Altenbuchinger, M.; Schultheiss, U.T.; Samol, C.; Kotsis, F.; Poguntke, I.; Sekula, P.; Krumsiek, J.; Köttgen, A.; Spang, R.; et al. A Novel Metabolic Signature To Predict the Requirement of Dialysis or Renal Transplantation in Patients with Chronic Kidney Disease. J. Proteome Res. 2019, 18, 1796–1805. [Google Scholar] [CrossRef] [PubMed]








| No. | Latin-Square Design | Mouse Urine | Human Urine | Human Blood Plasma |
|---|---|---|---|---|
| 1 | 6.08 × 10 | 4.41 × 10 | 5.37 × 10 | 1.37 × 10 |
| 2 | 6.52 × 10 | 3.58 × 10 | 4.06 × 10 | 1.37 × 10 |
| 3 | 7.72 × 10 | 3.35 × 10 | 7.08 × 10 | 1.66 × 10 |
| 4 | 8.54 × 10 | 2.92 × 10 | 2.86 × 10 | 8.82 × 10 |
| 5 | 7.52 × 10 | 3.11 × 10 | 3.92 × 10 | 1.09 × 10 |
| Metabolites | (a) | (b) | (c) | (Selected Signals) |
|---|---|---|---|---|
| acetic acid | 0.9991 | 0.9992 | 0.9998 | 1.91 ppm |
| alanine | 0.9991 | 0.9979 | 0.9995 | 1.48 ppm |
| betaine | 0.9994 | 0.9969 | 0.9973 | 3.25; 3.89 ppm |
| citric acid | 0.9998 | 1.0000 | 0.9999 | 2.56; 2.65 ppm |
| creatinine | 0.9994 | 1.0000 | 0.9992 | 3.05; 4.05 ppm |
| ethanolamine | 0.9999 | 1.0000 | 0.9999 | 3.81 ppm |
| glycine | 0.9989 | 1.0000 | 0.9989 | 3.56 ppm |
| histidine | 0.9993 | 0.9997 | 0.9985 | 3.12; 3.22; 3.97; 7.05; 7.77 ppm |
| taurine | 0.9996 | 0.9989 | 0.9976 | 3.41 ppm |
| TMAO | - | - | - | 3.25 ppm |
| Metabolites | (a) | (b) | (Selected Signals) |
|---|---|---|---|
| 2-oxoglutarate | 0.9701 | 0.9988 | 2.42; 2.99 ppm |
| 3-indoxylsulfate | 0.9837 | 0.9984 | 7.35 ppm |
| creatinine | 0.9467 | 0.9907 | 3.05; 4.05 ppm |
| glucose | 0.9830 | 0.9776 | 5.22 ppm |
| hippurate | 0.9985 | 0.9898 | 7.54; 7.63; 7.83 ppm |
| succinate | 0.9906 | 0.9943 | 2.39 ppm |
| trimethylamine | 0.9949 | 0.9953 | 2.87 ppm |
| Metabolites | (a) | (b) | (Selected Signals) |
|---|---|---|---|
| alanine | 0.9501 | 0.9955 | 1.48 ppm |
| creatinine | 0.9990 | 0.9993 | 4.05 ppm |
| glycine | 0.7482 | 0.9350 | 3.56 ppm |
| hippurate | 0.9997 | 0.9900 | 7.54; 7.63; 7.83 ppm |
| Metabolites | (a) | (b) | (Selected Signals) |
|---|---|---|---|
| alanine | 0.9845 | 0.9715 | 1.47 ppm |
| creatinine | 0.9802 | 0.9663 | 4.05 ppm |
| glucose | 0.9886 | 0.9615 | 5.23 ppm |
| lactate | 0.9160 | 0.9706 | 1.32 ppm |
| tyrosine | 0.9730 | 0.9588 | 6.88 ppm |
Publisher’s Note: MDPI stays neutral with regard to jurisdictional claims in published maps and institutional affiliations. |
© 2021 by the authors. Licensee MDPI, Basel, Switzerland. This article is an open access article distributed under the terms and conditions of the Creative Commons Attribution (CC BY) license (https://creativecommons.org/licenses/by/4.0/).
Share and Cite
Häckl, M.; Tauber, P.; Schweda, F.; Zacharias, H.U.; Altenbuchinger, M.; Oefner, P.J.; Gronwald, W. An R-Package for the Deconvolution and Integration of 1D NMR Data: MetaboDecon1D. Metabolites 2021, 11, 452. https://doi.org/10.3390/metabo11070452
Häckl M, Tauber P, Schweda F, Zacharias HU, Altenbuchinger M, Oefner PJ, Gronwald W. An R-Package for the Deconvolution and Integration of 1D NMR Data: MetaboDecon1D. Metabolites. 2021; 11(7):452. https://doi.org/10.3390/metabo11070452
Chicago/Turabian StyleHäckl, Martina, Philipp Tauber, Frank Schweda, Helena U. Zacharias, Michael Altenbuchinger, Peter J. Oefner, and Wolfram Gronwald. 2021. "An R-Package for the Deconvolution and Integration of 1D NMR Data: MetaboDecon1D" Metabolites 11, no. 7: 452. https://doi.org/10.3390/metabo11070452
APA StyleHäckl, M., Tauber, P., Schweda, F., Zacharias, H. U., Altenbuchinger, M., Oefner, P. J., & Gronwald, W. (2021). An R-Package for the Deconvolution and Integration of 1D NMR Data: MetaboDecon1D. Metabolites, 11(7), 452. https://doi.org/10.3390/metabo11070452

