Economic Granularity Interval in Decision Tree Algorithm Standardization from an Open Innovation Perspective: Towards a Platform for Sustainable Matching
Abstract
1. Introduction
2. Model Analysis
2.1. Establishing Maximum Information Gain
2.2. Vectorization of Language Granularity and Tree Depth
| Algorithm 1. Partitioning Data Sets by Granularity |
| (1) Input Raw Dataset (2) Define granularity features (3) Partition Dataset (4) Create branch nodes based on selected granularity features (5) For each granularity feature in Dataset: (6) If the ith granularity feature = TRUE: (7) Remove ith granularity feature (8) Endif (9) End Loop (10) Return the split Dataset |
| Algorithm 2. Recursive Computation of Max Information Gain |
| (1) Collect granularity classification names (2) Calculate frequencies of each granularity & initial_entropy (3) For each granularity feature in classification names: (4) If the ith granularity feature is not used: (5) Proceed tree with ith granularity feature (6) Probability = number of counts in ith granularity feature (7) Entropy = − log2(probability) (8) Entropy_update = − log2(probability) + entropy (9) Endif (10) Information_gain = initial_entropy − entropy_update (11) If info_gain > initial_entropy (12) Max_info_gain = info_gain (13) Return the ith granularity feature (14) Endif (15) Return loop (16) End loop (17) Build tree (granularity nodes, dataset) (18) n = number of subnodes (19) If n > 0 (20) Get the ith granularity feature with max_info_gain (21) n = n − 1 (22) Build tree (n, dataset) (23) Endif (24) End |
2.3. Concerns of Privacy Desensitization
3. Simulation Analysis and Validation
3.1. Experiment Objective
3.2. Experiment Setup
- System = “Windows”, Release = “10”, Version = “10.0.18362”;
- Machine = “AMD64”;
- Processor = “Intel(R) Core(TM) i5-7300U CPU@2.6 GHz”;
- Software = “Python”, Version = “3.7”;
- Packages = “math, log, operator, random, string, NumPy, seaborn, matplotlib, pandas, etc.”
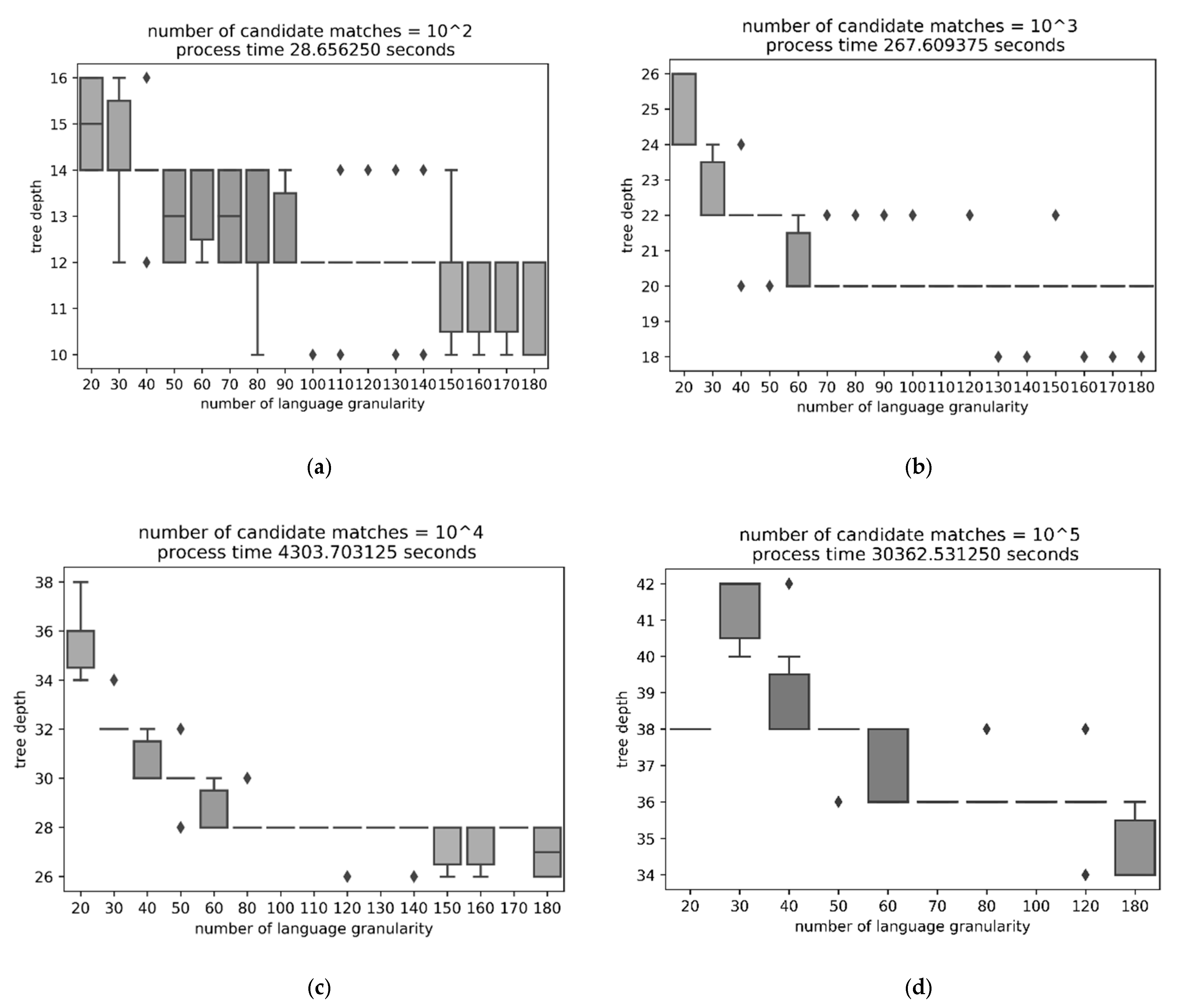
3.3. Experiment
4. Conclusions and Prospect
Author Contributions
Funding
Acknowledgments
Conflicts of Interest
Appendix A
References
- Yun, J.J.; Zhao, X.; Jung, K.; Yigitcanlar, T. The Culture for open innovation dynamics. Sustainability 2020, 12, 5076. [Google Scholar] [CrossRef]
- Yun, J.J.; Liu, Z. Micro-and macro-dynamics of open innovation with a quadruple-helix model. Sustainability 2019, 11, 3301. [Google Scholar] [CrossRef]
- Sanchez-Iborra, R.; Skarmeta, A.F. TinyML—Enabled frugal smart objects: Challenges and opportunities. IEEE Circuits Syst. Mag. 2020, 20, 4–18. [Google Scholar] [CrossRef]
- Robberechts, J.; Sinaeepourfard, A.; Goethals, T.; Volckaert, B. A novel edge-to-cloud-as-a-service (E2CaaS) model for building software services in smart cities. In Proceedings of the 2020 21st IEEE International Conference on Mobile Data Management (MDM), Versailles, France, 30 June–3 July 2020; pp. 365–370. [Google Scholar]
- Rabaey, J.; Ammer, J.; Otis, B.; Burghardt, F.; Chee, Y.H.; Pletcher, N.; Sheets, M.; Qin, H. Ultra-low-power design. IEEE Circuits Devices Mag. 2006, 22, 23–29. [Google Scholar] [CrossRef]
- Prakash, A.; Wang, S.; Mitra, T. Mobile application processors: Techniques for software power-performance optimization. IEEE Consum. Electr. Mag. 2020, 9, 67–76. [Google Scholar] [CrossRef]
- Prado, M.D.; Donze, R.; Capotondi, A.; Rusci, M.; Pazos, N. Robust Navigation with Tiny ML for Autonomous Mini-Vehicles. 2020. Available online: https://www.researchgate.net/publication/342623047_Robust_navigation_with_tinyML_for_autonomous_mini-vehicles (accessed on 11 November 2020).
- Zhou, Z.H.; Feng, J. Deep Forest: Towards an Alternative to Deep Neural Networks. In Proceedings of the the Twenty-Sixth International Joint Conference on Artificial Intelligence, Melbourne, Australia, 19–25 August 2017; pp. 3553–3559. [Google Scholar] [CrossRef]
- Ma, L.; Li, T.; Wu, J.; Yan, D. The impact of E-hailing competition on the urban taxi ecosystem and governance strategy from a rent-seeking perspective: The China E-hailing platform. J. Open Innov. Technol. Mark. Complex. 2018, 4, 35. [Google Scholar] [CrossRef]
- Ma, L.; Qian, C.; Liu, Z.; Zhu, Y. Exploring the innovation system of the animation industry: Case study of a Chinese company. Sustainability 2018, 10, 3213. [Google Scholar] [CrossRef]
- Yun, J.J.; Kim, D.; Yan, M. Open innovation engineering-preliminary study on new entrance of technology to market. Electronics 2020, 9, 791. [Google Scholar] [CrossRef]
- Yun, J.; Jung, K.; Yigitcanlar, T. Open innovation of James Watt and Steve Jobs: Insights for sustainability of economic growth. Sustainability 2018, 10, 1553. [Google Scholar] [CrossRef]
- Yun, J.; Zhao, X.; Yigitcanlar, T.; Lee, D.; Ahn, H. Architectural design and open innovation symbiosis: Insights from research campuses, manufacturing systems, and innovation districts. Sustainability 2018, 10, 4495. [Google Scholar] [CrossRef]
- Yun, J.J.; Jeong, E.; Zhao, X.; Hahm, S.D.; Kim, K. Collective intelligence: An emerging world in open innovation. Sustainability 2019, 11, 4495. [Google Scholar] [CrossRef]
- Lee, M.; Yun, J.J.; Pyka, A.; Won, D.; Kodama, F.; Schiuma, G.; Park, H.; Jeon, J.; Park, K.; Jung, K.; et al. How to respond to the fourth industrial revolution, or the second information technology revolution? Dynamic new combinations between technology, market, and society through open innovation. J. Open Innov. Technol. Mark. Complex. 2018, 4, 21. [Google Scholar] [CrossRef]
- Ardolino, M.; Saccani, N.; Adrodegari, F.; Perona, M. A business model framework to characterize digital multisided platforms. J. Open Innov. Technol. Mark. Complex. 2020, 6, 10. [Google Scholar] [CrossRef]
- Park, H.; Choi, S.O. Digital innovation adoption and its economic impact focused on path analysis at national level. J. Open Innov. 2019, 5, 56. [Google Scholar] [CrossRef]
- Kim, Y.; Lee, M. Typology and unified model of the sharing economy in open innovation dynamics. J. Open Innov. Technol. Mark. Complex. 2019, 5, 102. [Google Scholar] [CrossRef]
- Rasiah, R. Building networks to harness innovation synergies: Towards an open systems approach to sustainable development. J. Open Innov. Technol. Mark. Complex. 2019, 5, 70. [Google Scholar] [CrossRef]
- Kim, J.; Min, J. Supplier, tailor, and facilitator: Typology of platform business models. J. Open Innov. Technol. Mark. Complex. 2019, 5, 57. [Google Scholar] [CrossRef]
- Eremina, Y.; Lace, N.; Bistrova, J. Digital maturity and corporate performance: The case of the Baltic states. J. Open Innov. Technol. Mark. Complex. 2019, 5, 54. [Google Scholar] [CrossRef]
- Pang, S.; Bao, P.; Hao, W.; Kim, J.; Gu, W. Knowledge sharing platforms: An empirical study of the factors affecting continued use intention. Sustainability 2020, 12, 2341. [Google Scholar] [CrossRef]
- Alos-Simo, L.; Verdu-Jover, A.J.; Gomez-Gras, J.M. Knowledge transfer in sustainable contexts: A comparative analysis of periods of financial recession and expansion. Sustainability 2020, 12, 4916. [Google Scholar] [CrossRef]
- Krejcar, O.; Frischer, R.; Hlavica, R.; Kuca, K.; Maresova, P.; Selamat, A. Review of available SW solutions for intellectual property management systems from the perspective of open innovation. J. Open Innov. Technol. Mark. Complex. 2020, 6, 23. [Google Scholar] [CrossRef]
- Battula, S.K.; Garg, S.; Naha, R.K.; Thulasiraman, P.; Thulasiram, R. A micro-level compensation-based cost model for resource allocation in a fog environment. Sensors 2019, 19, 2954. [Google Scholar] [CrossRef] [PubMed]
- Xu, C.; Feng, J.; Huang, B.; Zhou, Z.; Mumtaz, S.; Rodriguez, J. Joint relay selection and resource allocation for energy-efficient D2D cooperative communications using matching theory. Appl. Sci. 2017, 7, 491. [Google Scholar] [CrossRef]
- Gu, W.; Zhu, Q. Social-aware-based resource allocation for NOMA-enhanced D2D communications. Appl. Sci. 2020, 10, 2446. [Google Scholar] [CrossRef]
- López-Martínez, F.; Núñez-Valdez, E.R.; García-Díaz, V.; Bursac, Z. A Case study for a big data and machine learning platform to improve medical decision support in population health management. Algorithms 2020, 13, 102. [Google Scholar] [CrossRef]
- Li, K.; Gui, N. CMS: A continuous machine-learning and serving platform for industrial big data. Future Internet 2020, 12, 102. [Google Scholar] [CrossRef]
- Qian, Y.; Zhou, W.; Yan, J.; Li, W.; Han, L. Comparing machine learning classifiers for object-based land cover classification using very high resolution imagery. Remote Sens. 2015, 7, 153–168. [Google Scholar] [CrossRef]
- Hasan, A.; Moin, S.; Karim, A.; Shamshirband, S. Machine learning-based sentiment analysis for Twitter accounts. MCA 2018, 23, 11. [Google Scholar] [CrossRef]
- Ghorbanzadeh, O.; Blaschke, T.; Gholamnia, K.; Meena, S.; Tiede, D.; Aryal, J. Evaluation of different machine learning methods and deep-learning convolutional neural networks for landslide detection. Remote Sens. 2019, 11, 196. [Google Scholar] [CrossRef]
- Tejedor, J.; Macias-Guarasa, J.; Martins, H.; Pastor-Graells, J.; Corredera, P.; Martin-Lopez, S. Machine learning methods for pipeline surveillance systems based on distributed acoustic sensing: A review. Appl. Sci. 2017, 7, 841. [Google Scholar] [CrossRef]
- Ma, L. The Study on Enterprise Organization Habitual Domains Theory and Application. Ph.D. Dissertation, Nanjing University of Science and Technology, Nanjing, China, 2003. [Google Scholar]
- Shannon, C.E. The mathematical theory of communications, I and II. Bell Syst. Tech. J. 1948, 27, 379–423. [Google Scholar] [CrossRef]
- Rakesh, A.; Ramakrishnan, S. Privacy-preserving data mining. In Proceedings of the 2000 ACM SIGMOD International Conference on Management of Data, Dallas, TX, USA, 16–18 May 2000. [Google Scholar]
- Sun, S.; Zheng, X.; Diez, J.V.; Ordieres, J. Data handling in industry 4.0: Interoperability based on distributed ledger technology. Sensors 2020, 20, 3046. [Google Scholar] [CrossRef] [PubMed]
- Yun, J.; Lee, D.; Ahn, H.; Park, K.; Yigitcanlar, T. Not deep learning but autonomous learning of open innovation for sustainable artificial intelligence. Sustainability 2016, 8, 797. [Google Scholar] [CrossRef]
- Mikolov, T.; Chen, K.; Corrado, G.; Dean, J. Efficient estimation of word representations in vector space. arXiv 2013, arXiv:1301.3781. [Google Scholar]
- Yoshua, B.; Ducharme, R.; Pascal, V.; Christian, J. A neural probabilistic language model. J. Mach. Learn. Res. 2003, 3, 1137–1155. [Google Scholar]
- Peters, M.E.; Neumann, M.; Iyyer, M.; Gardner, M.; Clark, C.; Lee, K.; Zettlemoyer, L. Deep Contextualized Word Representations. In Proceedings of the North American Conference on Chinese Linguistics (NACCL-30), Colombia, OH, USA, 9–11 March 2018. [Google Scholar]




| Fixed Costs | Variable Costs | Training Expenses | Efficiency | Scale Effect | Reproducible (Traceability) | Impartiality (Anti-Intervention) | Compliance | |
|---|---|---|---|---|---|---|---|---|
| Manual | LOW | HIGH | HIGH | LOW | LOW | LOW | LOW | LOW |
| AI | HIGH | LOW | LOW | HIGH | HIGH | HIGH | HIGH | HIGH |
Publisher’s Note: MDPI stays neutral with regard to jurisdictional claims in published maps and institutional affiliations. |
© 2020 by the authors. Licensee MDPI, Basel, Switzerland. This article is an open access article distributed under the terms and conditions of the Creative Commons Attribution (CC BY) license (http://creativecommons.org/licenses/by/4.0/).
Share and Cite
Li, T.; Ma, L.; Liu, Z.; Liang, K. Economic Granularity Interval in Decision Tree Algorithm Standardization from an Open Innovation Perspective: Towards a Platform for Sustainable Matching. J. Open Innov. Technol. Mark. Complex. 2020, 6, 149. https://doi.org/10.3390/joitmc6040149
Li T, Ma L, Liu Z, Liang K. Economic Granularity Interval in Decision Tree Algorithm Standardization from an Open Innovation Perspective: Towards a Platform for Sustainable Matching. Journal of Open Innovation: Technology, Market, and Complexity. 2020; 6(4):149. https://doi.org/10.3390/joitmc6040149
Chicago/Turabian StyleLi, Tao, Lei Ma, Zheng Liu, and Kaitong Liang. 2020. "Economic Granularity Interval in Decision Tree Algorithm Standardization from an Open Innovation Perspective: Towards a Platform for Sustainable Matching" Journal of Open Innovation: Technology, Market, and Complexity 6, no. 4: 149. https://doi.org/10.3390/joitmc6040149
APA StyleLi, T., Ma, L., Liu, Z., & Liang, K. (2020). Economic Granularity Interval in Decision Tree Algorithm Standardization from an Open Innovation Perspective: Towards a Platform for Sustainable Matching. Journal of Open Innovation: Technology, Market, and Complexity, 6(4), 149. https://doi.org/10.3390/joitmc6040149

