On the Electromagnetic Field of an Overhead Line Current Source
Abstract
:1. Introduction
2. Formulation of the Problem
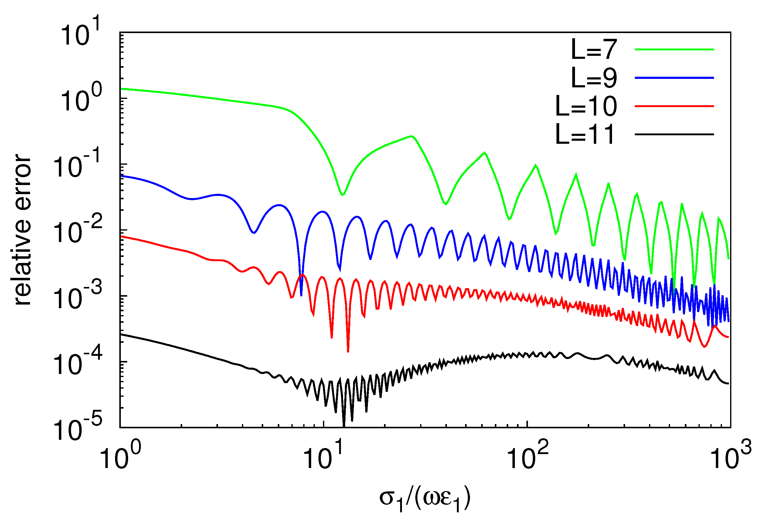
3. Results
4. Conclusions
Funding
Conflicts of Interest
References
- Alanen, E.; Lindell, I. Image calculation of electromagnetic field from power lines above a dissipative ground. Arch. Elektrotech. 1985, 68, 259–265. [Google Scholar] [CrossRef]
- Rachidi, F.; Tkachenko, S. Electromagnetic Field Interaction with Transmission Lines: From Classical Theory to HF Radiation Effects; WIT Press: Southampton, UK, 2008; Volume 5. [Google Scholar]
- Spiegel, R.J. Numerical determination of induced currents in humans and baboons exposed to 60-Hz electric fields. IEEE Trans. Electromagn. Compat. 1981, EMC-23, 382–390. [Google Scholar] [CrossRef]
- Wait, J.R. Theory of wave propagation along a thin wire parallel to an interface. Radio Sci. 1972, 7, 675–679. [Google Scholar] [CrossRef]
- Wait, J.R.; Spies, K.P. On the image representation of the quasi-static fields of a line current source above the ground. Can. J. Phys. 1969, 47, 2731–2733. [Google Scholar] [CrossRef]
- Olsen, R.G.; Young, J.L.; Chang, D.C. Electromagnetic wave propagation on a thin wire above earth. IEEE Trans. Antennas Propag. 2000, 48, 1413–1419. [Google Scholar] [CrossRef]
- Rachidi, F. A review of field-to-transmission line coupling models with special emphasis to lightning-induced voltages on overhead lines. IEEE Trans. Electromagn. Compat. 2012, 54, 898–911. [Google Scholar] [CrossRef]
- Ametani, A.; Miyamoto, Y.; Baba, Y.; Nagaoka, N. Wave propagation on an overhead multiconductor in a high-frequency region. IEEE Trans. Electromagn. Compat. 2014, 56, 1638–1648. [Google Scholar] [CrossRef]
- Micu, D.D.; Czumbil, L.; Christoforidis, G.C.; Papadopoulos, T. Semi-infinite integral implementation in the development steps of Interfstud electromagnetic interference software. In Proceedings of the IEEE 2012 47th International Universities Power Engineering Conference (UPEC), London, UK, 4–7 September 2012; pp. 1–6. [Google Scholar]
- Papakanellos, P.J.; Kaklamani, D.I.; Capsalis, C.N. Analysis of an infinite current source above a semi-infinite lossy ground using fictitious current auxiliary sources in conjunction with complex image theory techniques. IEEE Trans. Antennas Propag. 2001, 49, 1491–1503. [Google Scholar] [CrossRef]
- Wise, W.H. Propagation of HF currents in ground return circuits. Proc. Inst. Elect. Eng. 1934, 22, 522–527. [Google Scholar]
- Kikuchi, H. Wave propagation along an infinite wire above ground at high frequencies. Proc. Electrotech. J. 1956, 2, 73–78. [Google Scholar]
- Dorin, C.; Marilena, U.; Codruta, R. Electromagnetic coupling phenomena of overhead power lines in low and high frequency. In Proceedings of the 2003 IEEE International Symposium on Electromagnetic Compatibility, EMC’03, Istanbul, Turkey, 11–16 May 2003; Volume 2, pp. 1178–1181. [Google Scholar]
- Degauque, P.; Laly, P.; Degardin, V.; Lienard, M. Power line communication and compromising radiated emission. In Proceedings of the IEEE SoftCOM 2010, 18th International Conference on Software, Telecommunications and Computer Networks, Split, Croatia, 23–25 September 2010; pp. 88–91. [Google Scholar]
- Pagani, P.; Ney, M.; Zeddam, A. Application of Time Reversal to Power Line Communications for the Mitigation of Electromagnetic Radiation. In Electromagnetic Time Reversal: Application to EMC and Power Systems; Rachidi, F., Rubinstein, M., Paolone, M., Eds.; Wiley Online Library: New York, NY, USA, 2017; Chapter 5; pp. 169–187. [Google Scholar]
- Sunde, E.D. Earth Conduction Effects in Transmission Systems; Dover: New York, NY, USA, 1968. [Google Scholar]
- Pistol’kors, A. On the theory of a wire parallel to the plane interface between two media. Radiotek 1953, 8, 8–18. [Google Scholar]
- Kuester, E.F.; Chang, D.C.; Olsen, R.G. Modal theory of long horizontal wire structures above the earth—Part I: Excitation. Radio Sci. 1978, 13, 605–613. [Google Scholar] [CrossRef]
- Judkins, R.; Nordell, D. Discussion of Electromagnetic Effects of Overhead Transmission Lines Practical Problems, Safeguards and Methods of Calculation. IEEE Trans. Power Apparatus Syst. 1974, PAS-93, 892–902. [Google Scholar]
- Kostenko, M. Mutual impedance of earth-return overhead lines taking into account the skin-effect. Elektritchestvo 1955, 10, 29–34. [Google Scholar]
- Chang, D.C.; Olsen, R.G. Excitation of an infinite antenna above a dissipative earth. Radio Sci. 1975, 10, 823–831. [Google Scholar] [CrossRef]
- Olsen, R.G.; Kuester, E.F.; Chang, D.C. Modal theory of long horizontal wire structures above the earth—Part II: Properties of discrete modes. Radio Sci. 1978, 13, 615–623. [Google Scholar] [CrossRef]
- Déri, Á.; Tevan, G. Mathematical verification of Dubanton’s simplified calculation of overhead transmission line parameters and its physical interpretation. Arch. Elektrotech. 1981, 63, 191–198. [Google Scholar] [CrossRef]
- Tevan, G.; Deri, A. Some remarks about the accurate evaluation of the Carson integral for mutual impedances of lines with earth return. Arch. Elektrotech. 1984, 67, 83–90. [Google Scholar] [CrossRef]
- Mohsen, A.; Shafai, L. On the image representation of the fields of a line current source above finitely conducting earth. Can. J. Phys. 1981, 59, 117–121. [Google Scholar] [CrossRef]
- Abramowitz, M.; Stegun, I.A. Handbook of Mathematical Functions: With Formulas, Graphs, and Mathematical Tables; Courier Corporation: Massachusetts, MA, USA, 1964; Volume 55. [Google Scholar]
- Palacky, G.J. Resistivity characteristics of geologic targets. In Electromagnetic Methods in Applied Geophysics; Nabighian, M.N., Ed.; Society of Exploration Geophysicists: Tulsa, OK, USA, 1988; Chapter 3; Volume 1, pp. 52–129. [Google Scholar] [CrossRef]
- Ward, S.H.; Hohmann, G.W. Electromagnetic theory for geophysical applications. In Electromagnetic Methods in Applied Geophysics; Nabighian, M.N., Ed.; Society of Exploration Geophysicists: Tulsa, OK, USA, 1988; Chapter 4; Volume 1, pp. 130–311. [Google Scholar] [CrossRef]
- Householder, A.S. The Numerical Treatment of a Single Nonlinear Equation; McGraw-Hill: New York, NY, USA, 1970. [Google Scholar]








| Approach | Average CPU Time [s] | Speed-Up |
|---|---|---|
| G7-K15 | - | |
| (23) with | ||
| (23) with | ||
| (23) with | ||
| (23) with |
| L | ||
|---|---|---|
| 4 | 0.857 | 0.674 |
| 5 | 0.871 | 0.591 |
| 7 | 0.944 | 0.563 |
| 10 | 0.989 | 0.495 |
| 13 | 0.996 | 0.442 |
Publisher’s Note: MDPI stays neutral with regard to jurisdictional claims in published maps and institutional affiliations. |
© 2020 by the author. Licensee MDPI, Basel, Switzerland. This article is an open access article distributed under the terms and conditions of the Creative Commons Attribution (CC BY) license (http://creativecommons.org/licenses/by/4.0/).
Share and Cite
Parise, M. On the Electromagnetic Field of an Overhead Line Current Source. Electronics 2020, 9, 2009. https://doi.org/10.3390/electronics9122009
Parise M. On the Electromagnetic Field of an Overhead Line Current Source. Electronics. 2020; 9(12):2009. https://doi.org/10.3390/electronics9122009
Chicago/Turabian StyleParise, Mauro. 2020. "On the Electromagnetic Field of an Overhead Line Current Source" Electronics 9, no. 12: 2009. https://doi.org/10.3390/electronics9122009
APA StyleParise, M. (2020). On the Electromagnetic Field of an Overhead Line Current Source. Electronics, 9(12), 2009. https://doi.org/10.3390/electronics9122009

