A New Pricing Scheme for Intra-Microgrid and Inter-Microgrid Local Energy Trading
Abstract
1. Introduction
- How to maximize profits for trading within a microgrid, as well as trading among multiple microgrids through pricing design?
- How to allocate energy to different priority groups in a microgrid while maximizing the profit for the sellers?
- Does considering priorities improve energy supply/demand balance at the participants in the microgrid? Can the designed pricing scheme outperform the existing pricing strategies for local energy trading?
- An optimum energy trading problem is formulated for maximizing profits within the microgrid as well as between multiple microgrids through the design of optimum pricing function. The pricing is considered as a linear function of energy sold by the houses or microgrids who have excess generation. The optimization problem for each priority group is solved in a certain stage of the solution algorithm. The optimum solutions represent the pricing signals for different priority groups and the corresponding amount of energy allocated to these groups.
- The optimum energy management solutions are evaluated through numerical simulations for intra-microgrid and inter-microgrid energy trading. The results show that the proposed approach can reduce energy mismatch at the houses after each stage in the intra-microgrid energy trading. As a result, the proposed approach has lower energy mismatch compared to the case when priorities are not considered. Moreover, the inter-microgrid energy trading can also lead to a lower energy mismatch at the microgrids.
- The optimum profits obtained by the sellers are compared with the proposed pricing and other pricing schemes, for example, flat rate, time of use (ToU) and real time pricing. The numerical results demonstrate that the proposed pricing scheme outperforms flat rate and ToU pricing, whereas its performance is similar to the real time pricing in terms of maximum profit obtained by the sellers.
2. System Model
- Priority 1: Buyers with energy demand less than 25% of their peak demand.
- Priority 2: Buyers with energy demand between 25% to 75% of their peak demand.
- Priority 3: Buyers with energy demand more than 75% of their peak demand.
- Priority 4: Buyers in who needs energy to charge their storages.
3. Optimization Problem Formulation
3.1. Intra-Microgrid Trading: Stage 1
3.2. Intra-Microgrid Trading: Stage 2
3.3. Intra-Microgrid Trading: Stage 3
3.4. Intra-Microgrid Trading: Stage 4
3.5. Inter-Microgrid Energy Trading
4. Numerical Results
4.1. Materials and Data
4.2. Energy Mismatch with Optimum Energy Trading
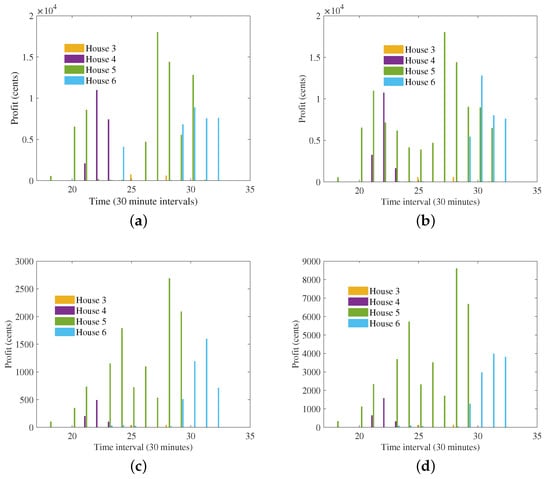
4.3. Profit Earned with Different Pricing Structures
4.4. Impact of Feed-in-Tariff and Energy Savings Threshold at the Buyers
4.5. Inter-Microgrid Energy Trading
5. Conclusions
Funding
Conflicts of Interest
References
- Deng, R.; Yang, Z.; Chow, M.; Chen, J. A survey on demand response in smart grids: Mathematical models and approaches. IEEE Trans. Ind. Inform. 2015, 11, 570–582. [Google Scholar] [CrossRef]
- Tronchina, L.; Manfrenb, M.; Nastasic, B. Energy efficiency, demand side management and energy storage technologies—A critical analysis of possible paths of integration in the built environment. Renew. Sustain. Energy Rev. 2018, 95, 341–353. [Google Scholar] [CrossRef]
- Reihani, E.; Motalleb, M.; Thornton, M.; Ghorbani, R. A novel approach using flexible scheduling and aggregation to optimize demand response in the developing interactive grid market architecture. Appl. Energy 2016, 183, 445–455. [Google Scholar] [CrossRef]
- Sousa, T.; Morais, H.; Vale, Z.; Faria, P.; Soares, J. Intelligent energy resource management considering vehicle-to-grid: A simulated annealing approach. IEEE Trans. Smart Grid 2012, 3, 535–542. [Google Scholar] [CrossRef]
- Doostizadeh, M.; Ghasemi, H. A day-ahead electricity pricing model based on smart metering and demand-side management. Energy 2012, 46, 221–230. [Google Scholar] [CrossRef]
- Mohsenian-Rad, A.; Leon-Garcia, A. Optimal residential load control with price prediction in real-time electricity pricing environments. IEEE Trans. Smart Grid 2010, 1, 120–133. [Google Scholar] [CrossRef]
- Qian, L.P.; Zhang, Y.J.A.; Huang, J.; Wu, Y. Demand response management via real-time electricity price control in smart grids. IEEE J. Sel. Areas Commun. 2013, 31, 1268–1280. [Google Scholar] [CrossRef]
- Yaghmaee, M.H.; Moghaddassian, M.; Leon-Garcia, A. Autonomous two-tier cloud-based demand side management approach with microgrid. IEEE Trans. Ind. Inform. 2017, 13, 1109–1120. [Google Scholar] [CrossRef]
- Tezde, E.I.; Okumus, H.I.; Savran, I. Two-Stage Energy Management of Multi-Smart Homes With Distributed Generation and Storage. Electronics 2019, 19, 512. [Google Scholar] [CrossRef]
- Muhsen, D.H.; Haider, H.T.; Al-Nidawi, Y.; Khatib, T. Optimal Home Energy Demand Management Based Multi-Criteria Decision Making Methods. Electronics 2019, 8, 524. [Google Scholar] [CrossRef]
- Long, C.; Wu, J.; Zhang, C.; Thomas, L.; Cheng, M.; Jenkins, N. Peer-to-peer energy trading in a community microgrid. In Proceedings of the 2017 IEEE Power & Energy Society General Meeting, Chicago, IL, USA, 16–20 July 2017; pp. 1–5. [Google Scholar]
- Joo, I.; Choi, D. Distributed optimization framework for energy management of multiple smart homes with distributed energy resources. IEEE Access 2017, 5, 15551–15560. [Google Scholar] [CrossRef]
- Long, C.; Wu, J.; Zhou, Y.; Jenkins, N. Peer-to-peer energy sharing through a two-stage aggregated battery control in a community microgrid. Appl. Energy 2018, 226, 261–276. [Google Scholar] [CrossRef]
- Hu, W.; Wang, P.; Gooi, H.B. Toward optimal energy management of microgrids via robust two-stage optimization. IEEE Trans. Smart Grid 2018, 9, 1161–1174. [Google Scholar] [CrossRef]
- Shamsi, P.; Xie, H.; Longe, A.; Joo, J. Economic dispatch for an agent-based community microgrid. IEEE Trans. Smart Grid 2016, 7, 2317–2324. [Google Scholar] [CrossRef]
- Sorin, E.; Bobo, L.; Pinson, P. Consensus-based approach to peer-to-peer electricity markets with product differentiation. IEEE Trans. Power Syst. 2019, 34, 994–1004. [Google Scholar] [CrossRef]
- Kang, J.; Yu, R.; Huang, X.; Maharjan, S.; Zhang, Y.; Hossain, E. Enabling localized peer-to-peer electricity trading among plug-in hybrid electric vehicles using consortium blockchains. IEEE Trans. Ind. Inform. 2017, 13, 3154–3164. [Google Scholar] [CrossRef]
- Kim, Y.-M.; Jung, D.; Chang, Y.; Choi, D.-H. Intelligent Micro Energy Grid in 5G Era: Platforms, Business Cases, Testbeds, and Next Generation Applications. Electronics 2019, 8, 468. [Google Scholar] [CrossRef]
- Zhou, Y.; Wu, J.; Long, C. Evaluation of peer-to-peer energy sharing mechanisms based on a multiagent simulation framework. Appl. Energy 2018, 222, 993–1022. [Google Scholar] [CrossRef]
- Morstyn, T.; McCulloch, M. Multi-class energy management for peer-to-peer energy trading driven by prosumer preferences. IEEE Trans. Power Syst. 2018, 1. [Google Scholar] [CrossRef]
- Opadokun, F.; Roy, T.K.; Akter, M.N.; Mahmud, M.A. Prioritizing customers for neighborhood energy sharing in residential microgrids with a transactive energy market. In Proceedings of the 2017 IEEE Power & Energy Society General Meeting, Chicago, IL, USA, 16–20 July 2017; pp. 1–5. [Google Scholar]
- Guerrero, J.; Chapman, A.C.; Verbič, G. Decentralized p2p energy trading under network constraints in a low-voltage network. IEEE Trans. Smart Grid 2018, 1. [Google Scholar] [CrossRef]
- Rahimiyan, M.; Baringo, L.; Conejo, A.J. Energy management of a cluster of interconnected price-responsive demands. IEEE Trans. Power Syst. 2014, 29, 645–655. [Google Scholar] [CrossRef]
- Gregoratti, D.; Matamoros, J. Distributed energy trading: The multiple-microgrid case. IEEE Trans. Ind. Electron. 2015, 62, 2551–2559. [Google Scholar] [CrossRef]
- Bahrami, S.; Amini, M.H.; Shafie-Khah, M.; Catalão, J.P.S. A decentralized renewable generation management and demand response in power distribution networks. IEEE Trans. Sustain. Energy 2018, 9, 1783–1797. [Google Scholar] [CrossRef]
- Islam, S.N.; Mahmud, M.; Oo, A. Impact of optimal false data injection attacks on local energy trading in a residential microgrid. ICT Express 2018, 4, 30–34. [Google Scholar] [CrossRef]
- Tushar, M.H.K.; Assi, C. Optimal energy management and marginal-cost electricity pricing in microgrid network. IEEE Trans. Ind. Inform. 2017, 13, 3286–3298. [Google Scholar] [CrossRef]
- Cali, U.; Çakir, O. Energy Policy Instruments for Distributed Ledger Technology Empowered Peer-to-Peer Local Energy Markets. IEEE Access 2019, 7, 82888–82900. [Google Scholar] [CrossRef]
- Vlachos, A.G.; Biskas, P.N. Balancing supply and demand under mixed pricing rules in multi-area electricity markets. IEEE Trans. Power Syst. 2011, 26, 1444–1453. [Google Scholar] [CrossRef]
- Lahon, R.; Gupta, C.P.; Fernandez, E. Priority-Based Scheduling of Energy Exchanges Between Cooperative Microgrids in Risk-Averse Environment. IEEE Syst. J. 2019. [Google Scholar] [CrossRef]
- Ruiz, C.; Conejo, A.J.; Gabriel, S.A. Pricing non-convexities in an electricity pool. IEEE Trans. Power Syst. 2012, 27, 1334–1342. [Google Scholar] [CrossRef]
- Hayes, B.; Melatti, I.; Mancini, T.; Prodanovic, M.; Tronci, E. Residential demand management using individualized demand aware price policies. IEEE Trans. Smart Grid 2017, 8, 1284–1294. [Google Scholar] [CrossRef]
- Sebastian, A.J.; Islam, S.N.; Mahmud, A.; Oo, A.M.T. Optimum Local Energy Trading considering Priorities in a Microgrid. In Proceedings of the 10th IEEE International Conference on Communications, Control, and Computing Technologies for Smart Grids (SmartGridComm 2019), Beijing, China, 21–24 October 2019. [Google Scholar]
- Ghosh, A.; Aggarwal, V. Control of charging of electric vehicles through menu-based pricing. IEEE Trans. Smart Grid 2018, 9, 5918–5929. [Google Scholar] [CrossRef]
- Hussain, A.; Bui, V.; Kim, H. Robust optimal operation of ac/dc hybrid microgrids under market price uncertainties. IEEE Access 2018, 6, 2654–2667. [Google Scholar] [CrossRef]
- Sanchez, S.; Molinas, M. Degree of influence of system states transition on the stability of a DC microgrid. IEEE Trans. Smart Grid 2014, 5, 2535–2542. [Google Scholar] [CrossRef]
- YALMIP. Bmibnb. Available online: https://yalmip.github.io/solver/bmibnb/ (accessed on 6 July 2019).
- Ausgrid. Solar Home Electricity Data. Available online: https://www.ausgrid.com.au/Industry/Innovation-and-research/Data-to-share/Solar-home-electricity-data (accessed on 6 July 2019).









© 2019 by the author. Licensee MDPI, Basel, Switzerland. This article is an open access article distributed under the terms and conditions of the Creative Commons Attribution (CC BY) license (http://creativecommons.org/licenses/by/4.0/).
Share and Cite
Islam, S.N. A New Pricing Scheme for Intra-Microgrid and Inter-Microgrid Local Energy Trading. Electronics 2019, 8, 898. https://doi.org/10.3390/electronics8080898
Islam SN. A New Pricing Scheme for Intra-Microgrid and Inter-Microgrid Local Energy Trading. Electronics. 2019; 8(8):898. https://doi.org/10.3390/electronics8080898
Chicago/Turabian StyleIslam, Shama Naz. 2019. "A New Pricing Scheme for Intra-Microgrid and Inter-Microgrid Local Energy Trading" Electronics 8, no. 8: 898. https://doi.org/10.3390/electronics8080898
APA StyleIslam, S. N. (2019). A New Pricing Scheme for Intra-Microgrid and Inter-Microgrid Local Energy Trading. Electronics, 8(8), 898. https://doi.org/10.3390/electronics8080898
