Next Article in Journal
On the Application of the Raspberry Pi as an Advanced Acoustic Sensor Network for Noise Monitoring
Next Article in Special Issue
Guided Modes in a Double-Well Asymmetric Potential of a Graphene Waveguide
Previous Article in Journal
AgPi: Agents on Raspberry Pi
 
 
Font Type:
Arial Georgia Verdana
Font Size:
Aa Aa Aa
Line Spacing:
Column Width:
Background:
Article

Modeling and Design of a New Flexible Graphene-on-Silicon Schottky Junction Solar Cell

by
Francesco Dell’Olio
,
Michele Palmitessa
and
Caterina Ciminelli
*
Optoelectronics Laboratory, Politecnico di Bari, via E. Orabona 4, 70125 Bari, Italy
*
Author to whom correspondence should be addressed.
Electronics 2016, 5(4), 73; https://doi.org/10.3390/electronics5040073
Submission received: 5 September 2016 / Revised: 3 October 2016 / Accepted: 19 October 2016 / Published: 26 October 2016
(This article belongs to the Special Issue Two-Dimensional Electronics and Optoelectronics)

Abstract

:
A new graphene-based flexible solar cell with a power conversion efficiency >10% has been designed. The environmental stability and the low complexity of the fabrication process are the two main advantages of the proposed device with respect to other flexible solar cells. The designed solar cell is a graphene/silicon Schottky junction whose performance has been enhanced by a graphene oxide layer deposited on the graphene sheet. The effect of the graphene oxide is to dope the graphene and to act as anti-reflection coating. A silicon dioxide ultrathin layer interposed between the n-Si and the graphene increases the open-circuit voltage of the cell. The solar cell optimization has been achieved through a mathematical model, which has been validated by using experimental data reported in literature. The new flexible photovoltaic device can be integrated in a wide range of microsystems powered by solar energy.

1. Introduction

Graphene, which is one of the most promising two-dimensional (2D) materials, is composed of carbon atoms arranged in a hexagonal lattice [1]. It can be synthetized in the form of ultrathin sheets consisting of one or a few atomic layers via several techniques, such as chemical vapor deposition, and it can be easily transferred on different substrates [2].
Graphene has several unique electronic, optoelectronic, mechanical, and thermal properties that make it very attractive in many scientific areas, including nanoelectronics, optoelectronics, and photonics [3].
The research interest on graphene optoelectronics and photonics [4] is quickly growing with the demonstration of high-performing devices such as modulators [5], photodetectors [6], saturable absorbers [7], absorbers in the terahertz regime [8,9], polarization controllers [10], delay lines [11,12], phase shifters [13], and solar cells [14]. In particular, the large mechanical flexibility of graphene, its high conductivity (106 S/cm), and transparency (97.7% for graphene monolayer in visible wavelengths) make the use of this material very attractive in the field of photovoltaics [15].
Several enabling operative functions have been envisaged for graphene sheets in photovoltaics technology. Graphene can serve as a transparent conductive electrode in organic or inorganic solar cells [16,17], as an intermediate layer in tandem solar cells [18], and as a barrier layer in perovskite solar cells [19]. Perovskite solar cells in which the electron collection layers are implemented through especially synthetized graphene/TiO2 nanocomposites have been demonstrated [20], while graphene quantum dots have been used as active layer in a solar cell [21].
By transferring a graphene sheet on a semiconducting substrate of Si or GaAs, a Shottky junction acting as a solar cell under illumination can be manufactured via simple fabrication processes. The first graphene/n-Si Shottky junction solar cell exhibited a quite low efficiency (~1.5%) [22]. By properly optimizing the cell configuration, the efficiency has been improved up to 15.6% [23]. A more expensive graphene/GaAs Shottky junction solar cell with an efficiency of >18% has been reported [24]. These values of efficiency are the best ones for graphene-based solar cells.
One of the key advantages of the graphene/n-Si Shottky junction solar cells is that they can be made flexible by thinning the substrate [25,26]. In this way, flexible solar cells with an efficiency potentially higher than 10% and an excellent environmental stability can be fabricated via a simple and low cost technological process. This feature of the graphene/n-Si Shottky junction solar cells is extremely attractive because flexible solar cells [27] are in demand for a wide range of applications, such as wearable and implantable microsystems and wireless sensor networks for Internet of Things (IoT).
High-efficiency flexible solar cells with good environmental stability, low complexity, and a low manufacturing have not yet been proposed. The state of the art of the efficiency for flexible solar cells is around 30% for GaAs cells manufactured via epitaxial lift-off [28]. However, the only solar cells with an efficiency >10% that can be easily fabricated via a low cost process are the perovskite-based cells [29] (record efficiency = 16.47%), even if at the expense of poor environmental stability [30].
In this paper, we report on the design of a new flexible solar cell based on a Schottky junction consisting of an ultrathin layer of graphene oxide (GO) deposited on a few graphene atomic layers, which are transferred on an n-doped silicon layer (see Figure 1).
Aiming at maximizing the cell performance, the presence of a silicon oxide layer (thickness <2 nm) between the silicon layer and the graphene sheet has been considered, and the influence of a graphene oxide film (thickness <100 nm) on the top of the graphene sheet has been studied.
The silicon dioxide, with an optimized thickness, increases the open-circuit voltage and consequently the efficiency of the solar cell. The carrier transport across the silicon dioxide ultrathin layer is enabled by the tunnel effect.
The graphene oxide film induces the p-doping of the graphene [31] with a consequent increase of both the work function and the conductivity of the graphene sheet. In addition, the GO film acts as an anti-reflection coating layer, as explained in Section 3.
We assume that the graphene sheet, synthetized by chemical vapor deposition, is transferred on the top of a square Si window patterned in a Si/SiO2 wafer that is properly thinned to guarantee the desired flexibility. In addition, we assume that, before the graphene transfer, a metal contact (top contact) with a square shape is deposited on the SiO2 layer around the Si window and another metal contact (back contact) is deposited on the back side of the n-Si. The ultrathin SiO2 layer can be grown on the n-Si immediately before the graphene transfer by exposing the wafer to clean room air at room temperature and controlled humidity (average humidity = 42%). In this way, the thickness of the SiO2 layer slowly increases as the exposure time increases [32]. Alternatively, the ultrathin SiO2 layer can be grown by immersing the sample in ultrapure water with dissolved oxygen concentration of 9 ppm. For example, by using this technique, a SiO2 layer with a thickness of 1.5 nm can be grown of an n-doped silicon wafer (donor dopant concentration = 1015 cm−3) after an exposure time of 2 × 104 min [32]. After the graphene transfer, a GO solution can be spin-coated on the cell forming a uniform GO layer.
The solar cell design is based on a mathematical model taking into account all physical effects occurring within the Schottky junction when it is illuminated via solar radiation. The model is validated using data from the literature. The device performance has been calculated assuming AM (air mass) 1.5 illumination (power density = 100 mW/cm2), which is the standard terrestrial spectrum of solar radiation.

2. Solar Cell Model

The complete mathematical model was developed for the design of the solar cell shown in Figure 1. Simpler structures without the GO and the SiO2 layers can be also studied with the same model.
As is well known, a depletion layer is created in the n-Si in close proximity to the junction. Photons arriving within the silicon layer generate electron-hole pairs both in the depletion layer and outside of it. All of these pairs can contribute to the photo-generated current density Jph.
Jph originates from two contributions—the drift current density Jdr and the hole current density Jp. Jdr is due to electrons and holes that are generated in the depletion layer by the shorter wavelength light and then accelerated by the built-in electric field towards the metal contacts before they recombine. Jp is due to the holes generated outside the depletion layer by the longer wavelength light. The holes diffuse in the n-Si towards the top contact.
According to [33], the wavelength dependent expressions of Jdr and Jp are given by
J d r ( λ ) = q F ( λ ) T R ( λ ) [ 1 e α ( λ ) W ] ,   and
J p ( λ ) = q F ( λ ) T R ( λ ) α ( λ ) L p α 2 ( λ ) L p 2 1 e α ( λ ) W [ α ( λ ) L p S L p D p [ cosh H L p e α ( λ ) H ] + sinh H L p + α ( λ ) L p e α ( λ ) H S L p D p sinh H L p + cosh H L p ] ,
where λ is the wavelength, q is the electron charge, F is the photon flux, α is the silicon absorption coefficient, W is the width of the depletion layer, S is the recombination velocity at the back contact, and H’ is equal to H-W where H is the thickness of the n-Si layer. Lp is the hole diffusion length given by (Dp τp)½ where Dp is the hole diffusion coefficient and τp is the hole lifetime.
TR(λ) is given by TML(λ)[1-R(λ)]; TML(λ) is the transmittance of the GO/graphene/SiO2 multi-layer, and R is the reflectance of the GO-coated graphene/silicon junction. When the cell structure does not include the GO and SiO2 layers, TML(λ) denotes the transmittance of the graphene sheet, and R the silicon reflectance.
The width W of the depletion layer can be written as [33]
W = { 2 ε s q N D [ ( Φ G χ ) k T   ln ( N C / N D ) q k T q ] } 1 / 2 ,
where εs is the silicon dielectric constant, ND is the donor impurity concentration, ΦG is the graphene work function, χ is the silicon electron affinity, k is the Boltzmann constant, T is the absolute temperature, and NC is the effective density of states in the conduction band.
For each value of λ, Jph(λ) = Jdr(λ) + Jp(λ). Since silicon absorbs light in the wavelength range from λ1 = 0.28 μm to λ2 = 1.2 μm, the total photo-generated current is given by the following integral:
J p h = λ 1 λ 2 [ J d r ( λ ) + J p ( λ ) ] .
The external quantum efficiency of the cell (EQE), i.e., the number of electron-hole pairs generated for each absorbed photon, is given by
EQE ( λ ) = J p h ( λ ) q F ( λ ) T R ( λ ) .
Assuming that the shunt resistance is infinite (see, for example, the experimental data in [22]) and, consequently, its effect on the performance of the cell is negligible, the equivalent electric circuit in Figure 2a models the solar cell.
The current generator represents the photocurrent generation and Iph = Jph A, where A is the area of the solar cell. The resistance RS is the series resistance of the solar cell. The diode corresponds to the cell behavior when it is not illuminated by the solar radiation (under this condition Iph = 0). The current flowing in the diode is the dark current IDark equal to
I Dark = I S ( e q ( V I R S ) n k T 1 ) ,
where n is the ideality factor, and IS is the saturation current. IS can be written as [33,34]
I S = A A * T 2 e q ( Φ G χ ) k T e δ q ϕ T ,
where A* is the effective Richardson constant, ϕ T (in eV) is the average height of the energy barrier due to the SiO2 layer, and δ is the thickness of the SiO2 layer (δ = 0 when there is not a SiO2 layer interposed between the graphene sheet and the n-Si).
The I–V characteristics (see Figure 2b) of the solar cell is
I = I S ( e q ( V I R S ) n k T 1 ) I p h .
VOC denotes the open-circuit voltage, which is the voltage across the cell terminals when the load resistance RL is an open circuit and, consequently, I = 0, and ISC denotes the short-circuit current, i.e., the value of I when RL = 0 and, consequently, V = 0.
The fill factor FF of the solar cell, which is a measure of the “squareness” of the I–V characteristics, is given by:
FF = V max   J max V O C   J S C ,
where Vmax and Jmax are the voltage and the current density at the maximum-power operating point, respectively, i.e., the point of the I–V characteristics of the solar cell where the generated electric power P = V I is maximum.
The power conversion efficiency (PCE; sometimes called simply efficiency) is the main performance parameter for any solar cell:
PCE = V max   J max P in ,
where Pin is the incident optical power density.
The model physical parameters used in the simulations are summarized in Table 1. The wavelength-dependent silicon absorption coefficient was derived from experimental data [35] and is shown in Figure 3. The empirical relation reported in [36] was used to take into account the τp dependence on ND. Dp was expressed as kTp/q), and the analytical expression in [37] was used for the hole mobility μp. Data in [31] were used to estimate RS, the reflectivity R(λ), and the wavelength-dependent transmittance of graphene, GO, and SiO2.
The model was used to calculate the main performance parameters of two graphene-based Schottky junction solar cells reported in the literature. The calculated performance parameters were then compared to the experimental values in the literature, showing a very good model/experiment agreement.
The first device considered for the validation of our model is a solar cell made by a monolayer graphene/ultrathin silicon Schottky junction [25]. The silicon layer is n-doped with ND = 2 × 1016 cm−3 and its thickness is only 10.6 μm. We calculated the J–V curve and the EQE dependence on the wavelength. By comparing the plot obtained by the model with the experimental curves, we noticed a very good agreement, as described below.
Table 2 compares the calculated and measured values of the four key performance parameters, VOS, JSC, FF, and PCE. For the PCE, the difference between calculated and measured values is about 0.3%. For VOS, JSC, and FF the differences are 0.03 V, 1.11 mA/cm2, and 3.3%, respectively.
The second solar cell simulated by our model is that reported in [31]. It is a cell based on a monolayer graphene/n-Si Schottky junction that has been experimentally studied with and without a GO layer with a thickness of 100 nm on the graphene sheet. The thickness of the silicon layer is 300 μm, and the dopant atoms concentration in this layer is ND = 5 × 1015 cm−3. Using our model, we simulated the two cells with and without the GO layer. For example, Figure 4a shows the calculated J–V curve for the two cells. Again, the agreement between the calculated (Figure 4a) and the measured curves (Figure 4b) is very good. The same agreement can be observed for the performance parameters (see Table 3) with a difference between calculated and measured values of the PCE less than 0.3%. For VOS, JSC, and FF the differences are <0.015 V, <5 mA/cm2, and ≤5%, respectively.

3. Solar Cell Design

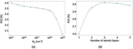
Aiming to investigate the influence of silicon doping on solar cell performance, we considered a simple monolayer graphene/n-Si junction with a thickness H = 10 μm. This H value assures a very good flexibility of the cell. We varied ND from 1015 to 1019 cm−3, and we calculated the relevant values of the PCE (see Figure 5a). As expected, the PCE increases as ND decreases because both the photo-generated current density Jph and, consequently, the EQE increases when ND decreases. Due to this PCE dependence on ND, we chose a light doping of the n-Si layer with ND = 1015 cm−3.
The number of atomic layers forming the graphene sheet has to be optimized because the graphene sheet resistance and, consequently, RS decrease as the number of atomic layers increases. When RS decrease, an improvement of the efficiency results, but the graphene optical transmittance and thus Jph are reduced when the number of atomic layers is too high. Considering a graphene/n-Si solar cell with silicon doping ND = 1015 cm−3 and H = 10 μm, we evaluated the PCE dependence on the number of atomic layers when this parameter varies from 1 to 5 (see Figure 5b). The best PCE value (=3.02%) was obtained when the number of atomic layers was 3. This result is consistent with experimental results reported in [26].
To further increase the PCE of the cell, a quarter-wave anti-reflection coating (ARC) layer can be deposited on the trilayer-graphene. The optimum refractive index of the ARC layer nARC is the geometric mean of the refractive index of silicon and air [39]. Since the solar energy intensity is maximum at about 0.55 μm [40] and the silicon refractive index at that wavelength is 4.1 [35], the optimum value of nARC is 2.0, which is very close to the refractive index of a GO layer with a thickness of <100 nm [31]. Thus, a GO layer can be used as ARC. As already mentioned, that layer dopes the graphene sheet, with a further beneficial effect on the cell performance. The optimum thickness of the ARC layer is λ/4nARC = 69 nm at λ = 0.55 μm. Table 4 summarizes the solar cell performance with and without the GO layer and shows that the PCE improves up to 5.31% when the GO is deposited. VOS, JSC, and FF increase due to the deposition of the GO layer of 0.071 V, 5.35 mA/cm2, and 3.86%, respectively.
To increase the junction built-in voltage and the open-circuit voltage of the solar cell, one suitable approach is the oxidation of the n-Si surface before the graphene transfer. Figure 6a shows the PCE dependence on the thickness δ of the SiO2 layer grown by the Si surface oxidation. The PCE monotonically increases as δ increases, but a δ value exceeding 1.5 nm should be avoided because it could prevent the carrier transport through the oxide layer. Therefore, we have chosen δ = 1.5 nm. Figure 6b shows the VOC vs. δ plot. Our simulation confirms that, as δ increases, VOC also increases. In particular, VOC increases from 0.50 to 0.65 V by growing a SiO2 layer with a thickness in the range from 0 nm to 1.5 nm. In addition, the SiO2 layer, as expected, does not degrade the photo-generated current density due to its nanometer thickness and, consequently, the cell short-circuit current. The effect of the SiO2 layer with a thickness of 1.5 nm on the fill factor is an increase in this performance parameter from 56.7% to 64.0%.
Several experimental results [26] have confirmed that silicon/graphene solar cells with a thickness of ≤50 μm are very flexible and do not alter their performance after tens of bending cycles. Thus, we investigated the possibility of increasing the thickness H of the n-Si layer to improve the cell PCE. Figure 7a shows the PCE dependence on H. We can observe that the H increase induces a PCE improvement up to 10.04% for H = 50 μm, mainly due to the increase of the EQE. This physical interpretation is confirmed by the JSC dependence on H (see Figure 7b). The short-circuit current density, which is approximately equal to the photo-generated current density, increases as H also increases. In particular, JSC varies from 18.6 mA/cm2 to 25.7 mA/cm2 when H increases from 10 μm to 50 μm.
The features of the optimized solar cell and its performance are summarized in Table 5.
The envisaged fabrication process of the optimized solar cell includes the patterning of the properly thinned oxidized n-Si substrate by photolithography and wet etching of SiO2, the deposition of the metal contacts by sputtering, the immersion of the sample in ultrapure water with dissolved oxygen to grow the ultrathin SiO2 layer, the graphene transfer on that layer, and the deposition of the GO layer by spin coating.
The achieved PCE improves by about 1.6% compared with the state-of-the-art flexible silicon/graphene Schottky junction solar cells, which is 8.42% [26]. To our knowledge, PCE values >10% are achievable in flexible photovoltaic devices on GaAs [41], crystalline silicon (c-Si) [42], copper indium gallium (di)selenide (CIGS) [43], and perovskite solar cells [44]. GaAs, CIGS, and c-Si cells are very stable, but their fabrication is complex, expensive, or both, while, as already mentioned, the environmental stability of perovskite solar cells is usually lower with respect to competing technologies. The values assumed for the thickness of the graphene sheet and of the SiO2 layer have been already demonstrated as technologically feasible [23]. The designed flexible solar cell has a fabrication process simpler and cheaper than GaAs, CIGS, and c-Si cells; based on several experimental data [25,26], we expect that it is more stable than perovskite cells. In fact, experiments reported in [25] show that the performance of graphene/silicon Schottky junction flexible solar cells is degraded by only 0.4% after they are exposed to air for 20 days. In addition, cells based on the same technology are quite insensitive to tens (up to 50) of bending cycles (PCE degradation <0.1%) [26].

4. Conclusions

A new flexible graphene-on-silicon Schottky junction solar cell with a PCE of about 10% has been modeled and designed. This efficiency value improves the state of the art by more than 1.6%. The device has been optimized using a complete mathematical model we have developed. To enhance the solar cell performance, a graphene oxide layer has been used to p-dope the graphene sheet and to reduce the light reflection at the silicon/graphene interface. The open-circuit voltage and consequently the PCE of the solar cell have been increased by an ultrathin silicon oxide layer between the graphene sheet and the n-Si layer, whose thickness has been optimized through a compromise between two opposite needs, i.e., the cell efficiency and its flexibility. The designed cell can be easily manufactured by standard technological processes, and its environmental stability is better with respect to the low-cost competing technologies, such as those based on perovskites. These features of the proposed device enable its potential application in the field of IoT and wearable technology.

Author Contributions

Francesco Dell’Olio supervised the design and wrote the article; Michele Palmitessa performed the mathematical development of the model and designed the device; Caterina Ciminelli conceived the study, supervised the design, and reviewed the paper with particular reference to the physical aspects of the device.

Conflicts of Interest

The authors declare no conflict of interest.

References

  1. Warner, J.H.; Schaffel, F.; Rummeli, M.; Bachmatiuk, A. Graphene: Fundamentals and Emergent Applications; Elsevier: Waltham, MA, USA, 2013. [Google Scholar]
  2. Choi, W.; Lee, J. Graphene: Synthesis and Applications; CRC Press: Boca Raton, FL, USA, 2016. [Google Scholar]
  3. Novoselov, K.S.; Fal’ko, V.I.; Colombo, L.; Gellert, P.R.; Schwab, M.G.; Kim, K. A roadmap for graphene. Nature 2012, 490, 192–200. [Google Scholar] [CrossRef] [PubMed]
  4. Bonaccorso, F.; Sun, Z.; Hasan, T.; Ferrari, A.C. Graphene photonics and optoelectronics. Nat. Photonics 2010, 4, 611–622. [Google Scholar] [CrossRef]
  5. Liu, M.; Yin, X.; Ulin-Avila, E.; Geng, B.; Zentgraf, T.; Ju, L. A graphene-based broadband optical modulator. Nature 2011, 474, 64–67. [Google Scholar] [CrossRef] [PubMed]
  6. Xia, F.; Mueller, T.; Lin, Y.; Valdes-Garcia, A.; Avouris, P. Ultrafast graphene photodetector. Nat. Nanotechnol. 2009, 4, 839–843. [Google Scholar] [CrossRef] [PubMed]
  7. Bao, Q.; Zhang, H.; Wang, Y.; Ni, Z.; Yan, Y.; Shen, Z.X.; Loh, K.P.; Tang, D.Y. Atomic-Layer Graphene as a Saturable Absorber for Ultrafast Pulsed Lasers. Adv. Funct. Mater. 2009, 19, 3077–3083. [Google Scholar] [CrossRef]
  8. Yahiaoui, R.; Guillet, J.P.; de Miollis, F.; Mounaix, P. Ultra-flexible multiband terahertz metamaterial absorber for conformal geometry applications. Opt. Lett. 2013, 38, 4988–4990. [Google Scholar] [CrossRef] [PubMed]
  9. Yahiaoui, R.; Hanai, K.; Takano, K.; Nishida, T.; Miyamaru, F.; Nakajima, M.; Hangyo, M. Trapping waves with terahertz metamaterial absorber based on isotropic Mie resonators. Opt. Lett. 2013, 40, 3197–3200. [Google Scholar] [CrossRef] [PubMed]
  10. Bao, Q.; Zhang, H.; Wang, B.; Ni, Z.; Lim, C.H.Y.X.; Wang, Y.; Tang, D.Y.; Loh, K.P. Broadband graphene polarizer. Nat. Photonol. 2011, 5, 411–415. [Google Scholar] [CrossRef]
  11. Conteduca, D.; Dell’Olio, F.; Ciminelli, C.; Armenise, M.N. Resonant Graphene-Based Tunable Optical Delay Line. IEEE Photonics J. 2015, 7, 7802409. [Google Scholar] [CrossRef]
  12. Tatoli, T.; Conteduca, D.; Dell’Olio, F.; Ciminelli, C.; Armenise, M.N. Graphene-based fine-tunable optical delay line for optical beamforming in phased-array antennas. Appl. Opt. 2016, 55, 4342–4349. [Google Scholar] [CrossRef] [PubMed]
  13. Capmany, J.; Domenech, D.; Muñoz, P. Silicon graphene waveguide tunable broadband microwave photonics phase shifter. Opt. Express 2014, 22, 8094–8100. [Google Scholar] [CrossRef] [PubMed]
  14. Yin, Z.; Zhu, J.; He, Q.; Cao, X.; Tan, C.; Chen, H.; Yan, Q.; Zhang, H. Graphene-Based Materials for Solar Cell Applications. Adv. Energy Mater. 2014, 4, 1300574. [Google Scholar] [CrossRef]
  15. Loh, K.P.; Tong, S.W.; Wu, J. Graphene and Graphene-like Molecules: Prospects in Solar Cells. J. Am. Chem. Soc. 2016, 138, 1095–1102. [Google Scholar] [CrossRef] [PubMed]
  16. You, P.; Liu, Z.; Tai, Q.; Liu, S.; Yan, F. Efficient Semitransparent Perovskite Solar Cells with Graphene Electrodes. Adv. Mater. 2015, 27, 3632–3638. [Google Scholar] [CrossRef] [PubMed]
  17. Park, H.; Chang, S.; Zhou, X.; Kong, J.; Palacios, T.; Gradečak, S. Flexible Graphene Electrode-Based Organic Photovoltaics with Record-High Efficiency. Nano Lett. 2014, 14, 5148–5154. [Google Scholar] [CrossRef] [PubMed]
  18. Tong, S.W.; Wang, Y.; Zheng, Y.; Ng, M.; Loh, K.P. Graphene Intermediate Layer in Tandem Organic Photovoltaic Cells. Adv. Funct. Mater. 2011, 21, 4430–4435. [Google Scholar] [CrossRef]
  19. Ameen, S.; Shaheer Akhtar, M.; Seo, H.-K.; Nazeeruddin, M.K.; Shin, H.S. An Insight into Atmospheric Plasma Jet Modified ZnO Quantum Dots Thin Film for Flexible Perovskite Solar Cell: Optoelectronic Transient and Charge Trapping Studies. J. Phys. Chem. C 2015, 119, 10379–10390. [Google Scholar] [CrossRef]
  20. Wang, J.T.; Ball, J.M.; Barea, E.M.; Abate, A.; Alexander-Webber, J.A.; Huang, J.; Saliba, M.; Mora-Sero, I.; Bisquert, J.; Snaith, H.J.; et al. Low-Temperature Processed Electron Collection Layers of Graphene/TiO2 Nanocomposites in Thin Film Perovskite Solar Cells. Nano Lett. 2014, 14, 724–730. [Google Scholar] [CrossRef] [PubMed]
  21. Gao, P.; Ding, K.; Wang, Y.; Ruan, K.; Diao, S.; Zhang, Q.; Sun, B.; Jie, J. Crystalline Si/Graphene Quantum Dots Heterojunction Solar Cells. J. Phys. Chem. C 2014, 118, 5164–5171. [Google Scholar] [CrossRef]
  22. Li, X.; Zhu, H.; Wang, K.; Cao, A.; Wei, J.; Li, C.; Jia, Y.; Li, Z.; Li, X.; Wu, D. Graphene-On-Silicon Schottky Junction Solar Cells. Adv. Mater. 2010, 22, 2743–2748. [Google Scholar] [CrossRef] [PubMed]
  23. Song, Y.; Li, Y.; Mackin, C.; Zhang, X.; Fang, W.; Palacios, T.; Zhu, H.; Kong, J. Role of Interfacial Oxide in High-Efficiency Graphene—Silicon Schottky Barrier Solar Cells. Nano Lett. 2015, 15, 2104–2110. [Google Scholar] [CrossRef] [PubMed]
  24. Li, X.; Chen, W.; Zhang, S.; Wu, Z.; Wang, P.; Xu, Z.; Chen, H.; Yin, W.; Zhong, H.; Lin, S. 18.5% efficient graphene/GaAs van der Waals heterostructure solar cell. Nano Energy 2015, 16, 310–319. [Google Scholar] [CrossRef]
  25. Jiao, T.; Wei, D.; Liu, J.; Sun, W.; Jia, S.; Zhang, W.; Feng, Y.; Shia, H.; Dua, C. Flexible solar cells based on graphene-ultrathin silicon Schottky junction. RSC Adv. 2015, 5, 73202–73206. [Google Scholar] [CrossRef]
  26. Ruan, K.; Ding, K.; Wang, Y.; Diao, S.; Shao, Z.; Zhang, X.; Jie, J. Flexible graphene/silicon heterojunction solar cells. J. Mater. Chem. A 2015, 3, 14370–14377. [Google Scholar] [CrossRef]
  27. Pagliaro, M.; Palmisano, G.; Ciriminna, R. Flexible Solar Cells; Wiley VCH: Weinheim, Germany, 2008. [Google Scholar]
  28. Lin, Q.; Huang, H.; Jing, Y.; Fu, H.; Chang, P.; Li, D.; Yao, Y.; Fan, Z. Flexible photovoltaic technologies. J. Mater. Chem. C 2014, 2, 1233–1247. [Google Scholar] [CrossRef]
  29. Yin, X.; Chen, P.; Que, M.; Xing, Y.; Que, W.; Niu, C.; Shao, J. Highly Efficient Flexible Perovskite Solar Cells Using Solution-Derived NiOx Hole Contacts. ACS Nano 2016, 10, 3630–3636. [Google Scholar] [CrossRef] [PubMed]
  30. Berhe, T.A.; Su, W.N.; Chen, C.H.; Pan, C.-J.; Cheng, J.-H.; Chen, H.-M.; Tsai, M.-C.; Chen, L.Y.; Dubale, A.A.; Hwang, B.J. Organometal halide perovskite solar cells: Degradation and stability. Energy Environ. Sci. 2016, 9, 323–356. [Google Scholar] [CrossRef]
  31. Yavuz, S.; Kuru, C.; Choi, D.; Kargar, A.; Jina, S.; Bandaru, P.R. Graphene oxide as a p-dopant and an anti-reflection coating layer, in graphene/silicon solar cells. Nanoscale 2016, 8, 6473–6478. [Google Scholar] [CrossRef] [PubMed]
  32. Morita, M.; Ohmi, T.; Hasegawa, E.; Kawakami, M.; Ohwada, M. Growth of native oxide on a silicon surface. J. Appl. Phys. 1990, 68, 1272–1281. [Google Scholar] [CrossRef]
  33. Hovel, H.J. Solar Cells. Semicond. Semimet. 1975, 11, 112–148. [Google Scholar]
  34. Sze, S.M. Physics of Semiconductor Devices; Wiley: New York, NY, USA, 1969. [Google Scholar]
  35. Green, M.A.; Keevers, M.J. Optical properties of intrinsic silicon at 300 K. Prog. Photovolt. Res. Appl. 1995, 3, 189–192. [Google Scholar] [CrossRef]
  36. Fossum, J.G. Computer-aided numerical analysis of silicon solar cells. Solid State Electron. 1976, 19, 269–277. [Google Scholar] [CrossRef]
  37. Arora, N.D.; Hauser, J.R.; Roulston, D.J. Electron and hole mobilities in silicon as a function of concentration and temperature. IEEE Trans. Electron. Devices 1982, 2, 292–295. [Google Scholar] [CrossRef]
  38. Chen, M.J.; Wu, C.Y. A new method for computer-aided optimization of solar cell structures. Solid State Electron. 1985, 28, 751–761. [Google Scholar] [CrossRef]
  39. Saleh, B.A.E.; Teich, M.C. Fundamentals of Photonics; Wiley: Hoboken, NJ, USA, 2007. [Google Scholar]
  40. Goodstal, G. Electrical Theory for Renewable Energy; Delmar, Cengage Learning: Clifton Park, NY, USA, 2013. [Google Scholar]
  41. Takamoto, T.; Kaneiwa, M.; Imaizumi, M.; Yamaguchi, M. InGaP/GaAs-based Multijunction Solar Cells. Prog. Photovolt. Res. Appl. 2005, 13, 495–511. [Google Scholar] [CrossRef]
  42. Cruz-Campa, J.L.; Okandan, M.; Resnick, P.J.; Clews, P.; Pluym, T.; Grubbs, R.K.; Gupta, V.P.; Zubia, D.; Nielson, G.N. Microsystems enabled photovoltaics: 14.9% efficient 14 μm thick crystalline silicon solar cell. Sol. Energy Mater. Sol. Cells 2011, 95, 551–558. [Google Scholar] [CrossRef]
  43. Chirilă, A.; Buecheler, S.; Pianezzi, F.; Bloesch, P.; Gretener, C.; Uhl, A.R.; Fella, C.; Kranz, L.; Perrenoud, J.; Seyrling, S.; et al. Highly efficient Cu(In,Ga)Se2 solar cells grown on flexible polymer films. Nat. Mater. 2011, 10, 857–861. [Google Scholar] [CrossRef] [PubMed]
  44. Halim, H.; Guo, Y. Flexible organic-inorganic hybrid perovskite solar cells. Sci. China Mater. 2016, 59, 495–506. [Google Scholar] [CrossRef]
Figure 1. Cross section of the designed Schottky junction solar cell. GO: graphene oxide.
Figure 1. Cross section of the designed Schottky junction solar cell. GO: graphene oxide.
Electronics 05 00073 g001
Figure 2. (a) Equivalent circuit of the solar cell. (b) Qualitative plot of the I–V characteristics of the solar cell.
Figure 2. (a) Equivalent circuit of the solar cell. (b) Qualitative plot of the I–V characteristics of the solar cell.
Electronics 05 00073 g002
Figure 3. Wavelength-dependent silicon absorption coefficient.
Figure 3. Wavelength-dependent silicon absorption coefficient.
Electronics 05 00073 g003
Figure 4. J–V curve for the solar cell in [31]. Black curves refer to the cell w/o graphene oxide (GO). Red curves refer to the cell with GO. (a) Calculated data. (b) Measured data that are adapted from [31], with the permission of The Royal Society of Chemistry.
Figure 4. J–V curve for the solar cell in [31]. Black curves refer to the cell w/o graphene oxide (GO). Red curves refer to the cell with GO. (a) Calculated data. (b) Measured data that are adapted from [31], with the permission of The Royal Society of Chemistry.
Electronics 05 00073 g004
Figure 5. (a) Power conversion efficiency (PCE) dependence on ND for the monolayer graphene/n-Si junction with H = 10 μm. (b) PCE dependence on the number of graphene atomic layers forming the graphene sheet, H = 10 μm and ND = 1015 cm−3.
Figure 5. (a) Power conversion efficiency (PCE) dependence on ND for the monolayer graphene/n-Si junction with H = 10 μm. (b) PCE dependence on the number of graphene atomic layers forming the graphene sheet, H = 10 μm and ND = 1015 cm−3.
Electronics 05 00073 g005
Figure 6. (a) PCE dependence on the thickness of the silicon oxide layer. (b) Open-circuit voltage vs. δ. Number of atomic layers forming the graphene sheet = 3, solar cell with GO ARC, H = 10 μm, and ND = 1015 cm−3.
Figure 6. (a) PCE dependence on the thickness of the silicon oxide layer. (b) Open-circuit voltage vs. δ. Number of atomic layers forming the graphene sheet = 3, solar cell with GO ARC, H = 10 μm, and ND = 1015 cm−3.
Electronics 05 00073 g006
Figure 7. (a) PCE dependence on H. (b) Short-circuit current density vs. H. Number of atomic layer forming the graphene sheet = 3, solar cell with GO ARC, δ = 1.5 nm, and ND = 1015 cm−3.
Figure 7. (a) PCE dependence on H. (b) Short-circuit current density vs. H. Number of atomic layer forming the graphene sheet = 3, solar cell with GO ARC, δ = 1.5 nm, and ND = 1015 cm−3.
Electronics 05 00073 g007
Table 1. Model parameters.
Table 1. Model parameters.
ParameterSymbolValueReference
TemperatureT300 K[34]
Electron affinity of siliconχ4.05 eV[34]
Electron chargeq1.6 × 10−19 C[34]
Effective density of states in conduction bandNC2.8 × 1019 cm−3[34]
Ideality factorn1.42 (with GO layer)/1.65 (without GO layer)[31]
Graphene work functionΦG4.92 eV (with GO layer)/4.84 eV (without GO layer)[31]
Effective Richardson constantA*112 A·cm−2·K−2[31]
Silicon dielectric constantεs11.7[34]
Recombination velocity at the back contactS1015 cm/s[38]
Boltzmann constantk8.62 eV/K[34]
Table 2. Calculated vs. measured performance parameters of the solar cell reported in [25].
Table 2. Calculated vs. measured performance parameters of the solar cell reported in [25].
Measured/CalculatedVOC (V)JSC (mA/cm2)FF (%)PCE (%)
Measured values [25]0.41612.4025.21.30
Calculated values0.41913.5128.51.61
Table 3. Calculated vs. measured performance parameters of the solar cell reported in [31].
Table 3. Calculated vs. measured performance parameters of the solar cell reported in [31].
Measured/CalculatedVOC (V)JSC (mA/cm2)FF (%)PCE (%)
Measured values (w/o GO) [31]0.44027.20293.6
Calculated values (w/o GO)0.45322.4933.143.38
Measured values (with GO) [31]0.51238.405310.6
Calculated values (with GO)0.51834.105810.33
Table 4. Performance of the solar cell with and without the GO quarter-wave anti-reflection coating (ARC).
Table 4. Performance of the solar cell with and without the GO quarter-wave anti-reflection coating (ARC).
Solar Cell DescriptionVOC (V)JSC (mA/cm2)FF (%)PCE (%)
Solar cell w/o GO ARC0.43113.2752.863.02
Solar cell with GO ARC (thickness = 69 nm)0.50218.6256.725.31
Table 5. Features and performance of the optimized solar cell.
Table 5. Features and performance of the optimized solar cell.
ParameterSymbolValue
Doping of the n-Si layerND1015 cm−3
Number of atomic layer forming the Graphene sheet-3
Thickness of the GO ARC-69 nm
Thickness of the SiO2 layerδ1.5 nm
Thickness of the n-Si layerH50 μm
Short-circuit current densityJSC25.71 mA/cm2
Open-circuit voltageVOC0.66 V
Fill factorFF59%
Power conversion efficiencyPCE10.04%

Share and Cite

MDPI and ACS Style

Dell’Olio, F.; Palmitessa, M.; Ciminelli, C. Modeling and Design of a New Flexible Graphene-on-Silicon Schottky Junction Solar Cell. Electronics 2016, 5, 73. https://doi.org/10.3390/electronics5040073

AMA Style

Dell’Olio F, Palmitessa M, Ciminelli C. Modeling and Design of a New Flexible Graphene-on-Silicon Schottky Junction Solar Cell. Electronics. 2016; 5(4):73. https://doi.org/10.3390/electronics5040073

Chicago/Turabian Style

Dell’Olio, Francesco, Michele Palmitessa, and Caterina Ciminelli. 2016. "Modeling and Design of a New Flexible Graphene-on-Silicon Schottky Junction Solar Cell" Electronics 5, no. 4: 73. https://doi.org/10.3390/electronics5040073

APA Style

Dell’Olio, F., Palmitessa, M., & Ciminelli, C. (2016). Modeling and Design of a New Flexible Graphene-on-Silicon Schottky Junction Solar Cell. Electronics, 5(4), 73. https://doi.org/10.3390/electronics5040073

Note that from the first issue of 2016, this journal uses article numbers instead of page numbers. See further details here.

Article Metrics

Back to TopTop