Development of an IoT-Enabled Smart Electricity Meter for Real-Time Energy Monitoring and Efficiency
Abstract
1. Introduction
2. State-of-the-Art
2.1. Related Work for Hardware Design
2.2. Related Work for Software Design
3. Materials and Methods for SEM Design
3.1. Conceptual Design
- Step 1: The physical variables measured by the analog sensors are mains voltage and load current.
- Step 2: The sensor sends the measured variables to the MCU via analog inputs.
- Step 3: The data are sent in JSON format via serial communication at a rate of 115,200 baud.
- Step 4: Data values are separated by “;” via serial communication at a rate of 115,200 baud.
- Step 5: The variables are delivered in JSON format via MQTT with a variable data sending rate (5, 10, 15, 20, 25, or 30 s), and the message is sent to the server “broker.emqx.io” (free server with username and password) on port 1883 and with a quality of service (QoS) equal to 0 (the sender does not acknowledge receipt of the message and the receiver does not store or retransmit the message).
- Step 6: Sending data via serial communication at a baud rate of 115,200 baud, the variables are separated by “;” and stored in a text file (TXT file).
- Step 7: M2M communication is available through the eWeLink server.
- Lightweight and efficient message transport.
- Low energy and network bandwidth consumption.
- Use in various programming languages.
- Small code footprint.
- Real-time actionable information.
- Secure data transmission.
3.2. Hardware Detail Design
3.2.1. Variable Determination
3.2.2. Frequency Measurement
- Filter the voltage signal by simulating 2 s, using the digital filter of Equation (30). At this stage, the simulation time is essential because it is possible to obtain results quickly, for example, every 20 ms or one second.
- Calculate the RMS of the filtered signal; this is called the A-value.
- Derive by Equation (31) the filtered signal and obtain the RMS (this is called the B-value).
- Divide the B-value by A, then divide by .
- Obtain the frequency value.
3.2.3. Use of the Electrical Power Sensor Designed on a Microcontroller
- (No selection): 5 s.
- (Switch one only): 10 s.
- (Switch two only): 15 s.
- (Switch three only): 20 s.
- (Switch four only): 25 s.
- (Switch five only): 30 s.
- (more than one switch): The highest time is prioritized.
- Press the button for 5 s.
- The green LED lights up, indicating you are not connected to WiFi.
- Access the access point called “Electric-Meter.”
- Access an available WiFi network.
- Wait until the LED turns off (signal that you are now connected to the Internet).
3.3. Software Detail Design
3.3.1. Interface
3.3.2. Using the Monitoring System Software Designed on a Microprocessor
4. SEM Evaluation
4.1. Numerical Experiments
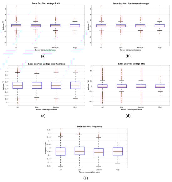
4.2. Uncertainty Analysis of Measurements
4.2.1. Measurement Tests
4.2.2. Accuracy Testing
4.3. Computational Performance
Assessment of Communications Performance
4.4. Limitations and Implications
- Use current sensors that are not invasive to the electrical system.
- Manual signal calibration system.
- Alternative use with different MCUs, thanks to its alternative to regulate the analog references.
- Possibility to change the data sending rate via MQTT.
- Option to connect to any WiFi network.
- Choice of communication channel in the monitoring system, either SC or MQTT.
- Possibility of using an SS in household appliances with consumption less than or equal to 10 A.
- New method of measuring electrical frequency.
- Define the target market: In our work, we considered the installation of the smart energy meter at the end-user domain (consumer); however, other market domains are also available, with different requirements, such as industrial domain and utility-scale.
- Define the environmental conditions: In our work, the installation of the smart energy meter was done indoors at the end-user domain (consumer). Special consideration should be given if the installation will be done outdoors, considering the environmental conditions of temperature, dust, humidity, and electromagnetic interference.
- Certification and Regulation: In general, the smart meter must comply with different industry standards such as meter accuracy and quality management standards. This means that the regulation and certifications of the smart energy meter in the Chilean market should be considered.
- PCB Design: Considering that the first prototype was implemented and tested using a breadboard, there is a need to develop and implement the PCB of the SEM solution. Such a prototype needs to be tested under real-world conditions for a long-term period in order to improve the current design.
- Development of a mobile application: Existing technologies on mobile phone devices can enhance the efficiency of real-time energy monitoring. This can be done through the development of a mobile application that includes different features such as real-time energy usage, anomaly detection, cost estimation, and alerts for faults.
- End-to-end energy consumption of SEM: For IoT devices, the energy consumption depends on multiple factors, e.g., the type of sensor nodes (active/passive), the power supply, the operation mode (active/sleep), and the communication protocols. Based on the target application of SEM, the system can generate low/high data volume. Therefore, the analysis of the end-to-end energy consumption of SEM should be divided into three main parts: the IoT devices part, the networking part, and the cloud part.
5. Conclusions
Author Contributions
Funding
Data Availability Statement
Conflicts of Interest
Abbreviations
| SEM | Smart electricity meter |
| HEMS | Home energy management systems |
| SCADA | Monitoring, control and data acquisition |
| IoT | Internet of things |
| CPS | Cyber-physical systems |
| EPS | Electrical power sensor |
| SC | Serial communication |
| MQTT | Message queuing telemetry transport |
| WiFi | wireless fidelity |
| SQL | Structured Query Language |
| SS | Smart switch |
| SH | Smart home |
| RMS | Effective value |
| THD | Total harmonic distortion |
| EMS | Energy management systems |
| NCRE | Non-conventional renewable energy |
| P2P | Peer to peer |
| LoRa | Long-Range radio |
| LoRaWan | Long-Range radio wide area network |
| IIoT | Industrial Internet of Things |
| NICS | Non-invasive current sensors |
| GSM | Global system for mobile communication |
| CEM | Conventional electricity meter |
| LCD | Liquid-crystal display |
| GPS | Global positioning system |
| MCU | Microcontroller |
| MPU | Microprocessor |
| NTP | Network time protocol |
| HTTP | Hypertext transfer protocol |
| TCP/IP | Transmission control protocol/Internet protocol |
| USB | Universal serial bus |
| OPC | Open platform communications |
| PLC | Programmable logic controller |
| SD | Secure digital |
| JSON | JavaScript object notation |
| QoS | Quality of service |
| M2M | Machine to machine |
| OPC | Open protocol communication |
| AMQP | Advanced message queuing protocol |
| EEPROM | Electrically erasable programmable read-only memory |
| SRAM | Static random access memory |
| LED | Light emitting diode |
| CPU | Computer |
Nomenclature: Variables Obtained from Measurements
| Data vector of voltage in V with k number of terms | |
| Data vector of current in A with k number of terms | |
| RMS value of voltage in V | |
| Fundamental value of voltage about 50 Hz in V | |
| Third harmonic of voltage about 50 Hz in V | |
| Voltage total harmonic distortion in V | |
| RMS current value in A | |
| Fundamental value of current about 50 Hz in A | |
| Third harmonic of current about 50 Hz in A | |
| Total harmonic distortion of current in A | |
| P | Active power value in W |
| Q | Reactive power value in Var |
| S | Apparent power value in VA |
| Power factor in unit values (pu) | |
| Power system frequency in Hz |
Nomenclature: Variables Associated with Electrical Power Sensor Design
| Input DC voltage in V | |
| Input voltage signal in V | |
| Output voltage signal in V | |
| Input current signal in V | |
| Output current signal in V | |
| DC reference voltage in V | |
| Analogue reference voltage in V | |
| Sensor load resistance in | |
| Resistance of the voltage input signal in | |
| Resistance of the voltage-current signal in | |
| Variable resistance of the voltage signal in (acts as a divider) | |
| Variable resistance of the voltage signal in (acts as a divider) | |
| Variable resistance of the current signal in (acts as a divider) | |
| Variable resistor of the current signal in (acts as a divider) | |
| Variable resistor to regulate the DC voltage in | |
| Maximum value of the potentiometer for regulating the DC voltage value in | |
| Variable resistor to regulate the analogue reference voltage in | |
| Maximum value of the potentiometer to regulate the analog reference voltage in | |
| Resistance of subtractor amplifiers | |
| Precision constant of the voltage signal | |
| Precision constant of the current signal |
Nomenclature: Variables Associated with Digital Filters
| Moving average filter output value in V | |
| D | Smoothing factor |
| Digital IIR filter output value in V | |
| High harmonic content test voltage in V |
Nomenclature: Variables Associated with the Fourier Series
| Sampling time in seconds | |
| Time or wave order in seconds | |
| t | Time in seconds |
| Angular frequency in radians per second | |
| N | Number of data |
| Even Fourier coefficient of the fundamental voltage in V | |
| Odd Fourier coefficient of the fundamental voltage in V | |
| Phase shift angle of the fundamental voltage in radians | |
| Even Fourier coefficient of third harmonic voltage in V | |
| Odd Fourier coefficient of third harmonic voltage in V | |
| Even Fourier coefficient of the fundamental current in A | |
| Odd Fourier coefficient of the fundamental current in A | |
| Phase shift angle of the fundamental current in radians | |
| Even Fourier coefficient of third harmonic current in A | |
| Odd Fourier coefficient of third harmonic current in A |
Nomenclature: Linear Regression Variables
| Linear regression output variable (estimated value) | |
| Input variable of the linear regression (real value) |
Nomenclature: Statistical Variables
| Measured value | |
| Real value | |
| Mean or average value | |
| e | Relative error |
| Absolute relative error | |
| s | Standard deviation |
| Variance | |
| Relative error variance | |
| Pearson correlation coefficient | |
| E | Relative percentage error in % |
| Absolute relative percentage error in % | |
| mean percentage error in % | |
| mean absolute percentage error in % | |
| root mean square error | |
| Random error for a Gaussian distribution. |
Appendix A
Appendix B
| Description | Cost in USD |
|---|---|
| Auxiliary material and wiring | 2 |
| PCB 100 mm × 100 mm | 2 |
| Current sensor ZMPT101B | 0.3 |
| Current sensor HCT16K-TYT | 3.6 |
| Arduino UNO | 27.6 |
| NodeMCU V3.0 | 5.08 |
| 2 GB SD card | 1 |
| Total cost | 41.58 |
| Description | Cost in USD |
|---|---|
| EPS designed | 41.58 |
| Raspberry Pi 4 8 GB Model B | 130 |
| 64 GB SD card | 5 |
| Sonoff—Basic R2 | 8.9 |
| LCD screen | 40 |
| Keyboard and mouse | 20 |
| 5V and 3A power input | 5 |
| Housing | 10 |
| Total cost | 260.48 |
References
- Sustainable Development Goals. 2015. Available online: https://www.un.org/sustainabledevelopment/es/objetivos-de-desarrollo-sostenible/ (accessed on 10 December 2024).
- Energy Efficiency Law, Chile. 2021. Available online: https://energia.gob.cl/ley-y-plan-de-eficiencia-energetica (accessed on 10 December 2024).
- Alotaibi, I.; Abido, M.A.; Khalid, M.; Savkin, A.V. A comprehensive review of recent advances in smart grids: A sustainable future with renewable energy resources. Energies 2020, 13, 6269. [Google Scholar] [CrossRef]
- Yem Souhe, F.G.; Boum, A.T.; Ele, P.; Mbey, C.F.; Foba Kakeu, V.J. A novel smart method for state estimation in a smart grid using smart meter data. Appl. Comput. Intell. Soft Comput. 2022, 2022, 7978263. [Google Scholar] [CrossRef]
- Mazhar, T.; Irfan, H.M.; Haq, I.; Ullah, I.; Ashraf, M.; Shloul, T.A.; Ghadi, Y.Y.; Imran; Elkamchouchi, D.H. Analysis of Challenges and Solutions of IoT in Smart Grids Using AI and Machine Learning Techniques: A Review. Electronics 2023, 12, 242. [Google Scholar] [CrossRef]
- Chakraborty, S.; Das, S.; Sidhu, T.; Siva, A. Smart meters for enhancing protection and monitoring functions in emerging distribution systems. Int. J. Electr. Power Energy Syst. 2021, 127, 106626. [Google Scholar] [CrossRef]
- Elma, O.; Kuzlu, M.; Zohrabi, N. Internet of energy for renewable energy-based decarbonized electrical energy systems. Front. Energy Res. 2023, 11, 1160184. [Google Scholar] [CrossRef]
- Saleem, Y.; Crespi, N.; Rehmani, M.H.; Copeland, R. Internet of things-aided smart grid: Technologies, architectures, applications, prototypes, and future research directions. IEEE Access 2019, 7, 62962–63003. [Google Scholar] [CrossRef]
- Bedi, G.; Venayagamoorthy, G.K.; Singh, R.; Brooks, R.R.; Wang, K.C. Review of Internet of Things (IoT) in electric power and energy systems. IEEE Internet Things J. 2018, 5, 847–870. [Google Scholar] [CrossRef]
- Baidya, S.; Potdar, V.; Ray, P.P.; Nandi, C. Reviewing the opportunities, challenges, and future directions for the digitalization of energy. Energy Res. Soc. Sci. 2021, 81, 102243. [Google Scholar] [CrossRef]
- Hoang, A.T.; Nguyen, X.P. Integrating renewable sources into energy system for smart city as a sagacious strategy towards clean and sustainable process. J. Clean. Prod. 2021, 305, 127161. [Google Scholar] [CrossRef]
- Kua, J.; Hossain, M.B.; Natgunanathan, I.; Xiang, Y. Privacy Preservation in Smart Meters: Current Status, Challenges and Future Directions. Sensors 2023, 23, 3697. [Google Scholar] [CrossRef]
- Sovacool, B.K.; Hook, A.; Sareen, S.; Geels, F.W. Global sustainability, innovation and governance dynamics of national smart electricity meter transitions. Glob. Environ. Change 2021, 68, 102272. [Google Scholar] [CrossRef]
- Singh, S.; Selvan, M. A smart energy meter enabling self-demand response of consumers in smart cities of Tamil Nadu. In Proceedings of the 2019 IEEE International Conference on Smart Cities Model (ICSCM), Chennai, India, 20–21 January 2019; pp. 1–6. [Google Scholar]
- Muralidhara, S.; Hegde, N.; Rekha, P. An internet of things-based smart energy meter for monitoring device-level consumption of energy. Comput. Electr. Eng. 2020, 87, 106772. [Google Scholar] [CrossRef]
- Lin, T.R.; Khan, N.H.O.; Daud, M.Z. Arduino based Appliance Monitoring System using SCT-013 Current and ZMPT101B Voltage Sensors. Prz. Elektrotechniczny 2021, 97, 89. [Google Scholar] [CrossRef]
- Patel, H.K.; Mody, T.; Goyal, A. Arduino based smart energy meter using GSM. In Proceedings of the 2019 4th International Conference on Internet of Things: Smart Innovation and Usages (IoT-SIU), Ghaziabad, India, 18–19 April 2019; pp. 1–6. [Google Scholar]
- Mlakić, D.; Baghaee, H.R.; Nikolovski, S.; Vukobratović, M.; Balkić, Z. Conceptual design of iot-based amr systems based on iec 61850 microgrid communication configuration using open-source hardware/software ied. Energies 2019, 12, 4281. [Google Scholar] [CrossRef]
- Sayed, S.; Hussain, T.; Gastli, A.; Benammar, M. Design and realization of an open-source and modular smart meter. Energy Sci. Eng. 2019, 7, 1405–1422. [Google Scholar] [CrossRef]
- Kumar, L.A.; Indragandhi, V.; Selvamathi, R.; Vijayakumar, V.; Ravi, L.; Subramaniyaswamy, V. Design, power quality analysis, and implementation of smart energy meter using internet of things. Comput. Electr. Eng. 2021, 93, 107203. [Google Scholar] [CrossRef]
- Rathee, S.; Goyal, A.; Shukla, A. Designing prepaid smart energy meter and deployment in a network. In Proceedings of the 2020 IEEE 4th Information Technology, Networking, Electronic and Automation Control Conference (ITNEC), Chongqing, China, 12–14 June 2020; Volume 1, pp. 1208–1211. [Google Scholar]
- Sanchez-Sutil, F.; Cano-Ortega, A.; Hernandez, J.; Rus-Casas, C. Development and calibration of an open source, low-cost power smart meter prototype for PV household-prosumers. Electronics 2019, 8, 878. [Google Scholar] [CrossRef]
- Faisal, M.; Karim, T.F.; Pavel, A.R.; Hossen, M.S.; Lipu, M.H. Development of smart energy meter for energy cost analysis of conventional grid and solar energy. In Proceedings of the 2019 International Conference on Robotics, Electrical and Signal Processing Techniques (ICREST), Dhaka, Bangladesh, 10–12 January 2019; pp. 91–95. [Google Scholar]
- Das, N.C.; Zim, M.Z.H.; Sarkar, M.S. Electric Energy Meter System Integrated with Machine Learning and Conducted by Artificial Intelligence of Things—AioT. In Proceedings of the 2021 IEEE Conference of Russian Young Researchers in Electrical and Electronic Engineering (ElConRus), Moscow, Russia, 26–29 January 2021; pp. 826–832. [Google Scholar]
- Cano-Ortega, A.; Sánchez-Sutil, F. Monitoring of the efficiency and conditions of induction motor operations by smart meter prototype based on a LoRa wireless network. Electronics 2019, 8, 1040. [Google Scholar] [CrossRef]
- Zulu, C.L.; Dzobo, O. Real-time power theft monitoring and detection system with double connected data capture system. Electr. Eng. 2023, 105, 3065–3083. [Google Scholar] [CrossRef]
- Sánchez Sutil, F.; Cano-Ortega, A. Smart public lighting control and measurement system using LoRa network. Electronics 2020, 9, 124. [Google Scholar] [CrossRef]
- Viciana, E.; Alcayde, A.; Montoya, F.G.; Baños, R.; Arrabal-Campos, F.M.; Manzano-Agugliaro, F. An open hardware design for internet of things power quality and energy saving solutions. Sensors 2019, 19, 627. [Google Scholar] [CrossRef] [PubMed]
- Lu, C.Y.; Chen, F.H.; Hsu, W.C.; Yang, Y.Q.; Su, T.J. Constructing Home Monitoring System with Node-RED. Sens. Mater. 2020, 32, 1701–1710. [Google Scholar] [CrossRef]
- Kao, K.C.; Chieng, W.H.; Jeng, S.L. Design and development of an IoT-based web application for an intelligent remote SCADA system. In Proceedings of the IOP Conference Series: Materials Science and Engineering. IOP Publishing, Novi Sad, Serbia, 6–8 June 2018; Volume 323, p. 012025. [Google Scholar]
- Aghenta, L.O.; Iqbal, T. Design and implementation of a low-cost, open source IoT-based SCADA system using ESP32 with OLED, ThingsBoard and MQTT protocol. AIMS Electron. Electr. Eng. 2019, 4, 57–86. [Google Scholar] [CrossRef]
- Baig, M.J.A.; Iqbal, M.T.; Jamil, M.; Khan, J. Design and implementation of an open-Source IoT and blockchain-based peer-to-peer energy trading platform using ESP32-S2, Node-Red and, MQTT protocol. Energy Rep. 2021, 7, 5733–5746. [Google Scholar] [CrossRef]
- Uddin, S.U.; Baig, M.J.A.; Iqbal, M.T. Design and Implementation of an Open-Source SCADA System for a Community Solar-Powered Reverse Osmosis System. Sensors 2022, 22, 9631. [Google Scholar] [CrossRef]
- Chen, Y.Y.; Lin, Y.H.; Kung, C.C.; Chung, M.H.; Yen, I.H. Design and implementation of cloud analytics-assisted smart power meters considering advanced artificial intelligence as edge analytics in demand-side management for smart homes. Sensors 2019, 19, 2047. [Google Scholar] [CrossRef] [PubMed]
- Omidi, S.A.; Baig, M.J.A.; Iqbal, M.T. Design and Implementation of Node-Red Based Open-Source SCADA Architecture for a Hybrid Power System. Energies 2023, 16, 2092. [Google Scholar] [CrossRef]
- González, I.; Calderón, A.J. Integration of open source hardware Arduino platform in automation systems applied to Smart Grids/Micro-Grids. Sustain. Energy Technol. Assess. 2019, 36, 100557. [Google Scholar] [CrossRef]
- Baig, M.J.A.; Iqbal, M.T.; Jamil, M.; Khan, J. IoT and blockchain based peer to peer energy trading pilot platform. In Proceedings of the 2020 11th IEEE Annual Information Technology, Electronics and Mobile Communication Conference (IEMCON), Vancouver, BC, Canada, 4–7 November 2020; pp. 402–406. [Google Scholar]
- Aghenta, L.O.; Iqbal, M.T. Low-cost, open source IoT-based SCADA system design using thinger. IO and ESP32 thing. Electronics 2019, 8, 822. [Google Scholar] [CrossRef]
- Viciana, E.; Alcayde, A.; Montoya, F.G.; Baños, R.; Arrabal-Campos, F.M.; Zapata-Sierra, A.; Manzano-Agugliaro, F. OpenZmeter: An efficient low-cost energy smart meter and power quality analyzer. Sustainability 2018, 10, 4038. [Google Scholar] [CrossRef]
- Díaz Redondo, R.P.; Fernández-Vilas, A.; Fernández dos Reis, G. Security aspects in smart meters: Analysis and prevention. Sensors 2020, 20, 3977. [Google Scholar] [CrossRef] [PubMed]
- Çavdar, İ.H.; Feryad, V. Efficient design of energy disaggregation model with bert-nilm trained by adax optimization method for smart grid. Energies 2021, 14, 4649. [Google Scholar] [CrossRef]
- Belman-López, C.; Jiménez-García, J.; Hernández-González, S. Análisis exhaustivo de los principios de diseño en el contexto de Industria 4.0. Rev. Iberoam. Autom. Inform. Ind. 2020, 17, 432–447. [Google Scholar] [CrossRef]
- Horcas, J.M.; Pinto, M.; Fuentes, L. Context-aware energy-efficient applications for cyber-physical systems. Ad Hoc Netw. 2019, 82, 15–30. [Google Scholar] [CrossRef]
- MQTT Version 5.0; Retrieved June. OASIS Standard: Woburn, MA, USA, 2019.
- Kim, S.M.; Choi, Y.; Suh, J. Applications of the Open-Source Hardware Arduino Platform in the Mining Industry: A Review. Appl. Sci. 2020, 10, 5018. [Google Scholar] [CrossRef]
- Emanuel, A.E. Summary of IEEE standard 1459: Definitions for the measurement of electric power quantities under sinusoidal, nonsinusoidal, balanced, or unbalanced conditions. IEEE Trans. Ind. Appl. 2004, 40, 869–876. [Google Scholar] [CrossRef]
- Technical Standard on Safety and Quality of Service, Electricity, Chile. 2010. Available online: https://www.cne.cl/normativas/electrica/normas-tecnicas/ (accessed on 10 December 2024).






















| Reference | Year | P | Q | S | ||||||||||
|---|---|---|---|---|---|---|---|---|---|---|---|---|---|---|
| [14] | 2019 | √ | – | – | – | – | √ | – | – | – | √ | – | √ | √ |
| [15] | 2020 | – | – | – | – | – | √ | – | – | – | √ | – | – | – |
| [16] | 2021 | √ | – | – | – | – | √ | – | – | – | √ | – | – | – |
| [17] | 2019 | – | – | – | – | – | – | – | – | – | √ | – | – | – |
| [18] | 2019 | √ | – | – | – | – | √ | – | – | – | – | – | – | – |
| [19] | 2019 | √ | – | – | √ | – | √ | – | – | √ | √ | √ | – | √ |
| [20] | 2021 | √ | √ | √ | √ | – | √ | √ | √ | √ | √ | √ | √ | √ |
| [21] | 2020 | – | – | – | – | – | – | – | – | – | √ | – | – | – |
| [22] | 2019 | √ | – | – | – | – | √ | – | – | – | √ | √ | – | √ |
| [23] | 2019 | – | – | – | – | – | – | – | – | – | √ | – | – | – |
| [24] | 2021 | – | – | – | – | – | √ | – | – | – | √ | – | – | √ |
| [25] | 2019 | √ | – | – | – | √ | √ | – | – | – | √ | √ | √ | √ |
| [26] | 2023 | – | – | – | – | – | – | – | – | – | √ | – | – | – |
| [27] | 2020 | √ | – | – | – | √ | √ | – | – | – | √ | √ | √ | √ |
| Present Work | 2024 | √ | √ | √ | √ | √ | √ | √ | √ | √ | √ | √ | √ | √ |
| Reference | Year | Sensors | MCUs | IoT | Switches | SD Card |
|---|---|---|---|---|---|---|
| [14] | 2019 | LV 20-P LEM, LA55—P LEM | ESP8266, SIM800L, Arduino MEGA | WiFi, GSM | NO | NO |
| [15] | 2020 | ACS712 | Arduino UNO, ESP8266 | WiFi | NO | NO |
| [16] | 2021 | ZMPT101B, SCT-013 | Arduino UNO | NO | NO | YES |
| [17] | 2019 | CEM | Arduino UNO, GSM Shield | GSM | NO | NO |
| [18] | 2019 | ZMPT101B, INCS | Arduino UNO, Ethernet Shield | Ethernet | NO | NO |
| [19] | 2019 | ZMPT101B, ACS712 | Arduino UNO, ESP8266 | WiFi | YES | NO |
| [20] | 2021 | ZMPT101B, ACS712 | Arduino UNO, ESP8266 | WiFi | NO | NO |
| [21] | 2020 | CEM | Arduino UNO, Ethernet Shield | Ethernet | YES | NO |
| [22] | 2019 | ZMPT101B, SCT-013 | Arduino UNO, ESP-12E | WiFi | NO | YES |
| [23] | 2019 | Instrument transformers, NICS | PIC16F877 | NO | NO | NO |
| [24] | 2021 | ACS712 | Arduino UNO, NodeMCU | WiFi | YES | NO |
| [25] | 2019 | PZEM-004T | Arduino LoRa Shield (DLS & DLGS), UNO, MEGA | LoRa, GPS | YES | NO |
| [26] | 2023 | ACS712, Voltage sensor | Arduino UNO, SIM900D | GSM | YES | NO |
| [27] | 2020 | PZEM-004T, HC SR501 | Arduino LoRa Shield (DLS & DLGS), UNO, MEGA | LoRa, GPS | YES | NO |
| Present Work | 2024 | ZMPT101B, HCT16K-TYT | Arduino UNO, NodeMCU | WiFi | YES | YES |
| Reference | Year | Computer | Control Panel | Data Transfer | Data Base | Smart Switch |
|---|---|---|---|---|---|---|
| Viciana et al. [28] | 2019 | NanoPi AIR | openZmeter | SC & NTP | PostgreSQL | NO |
| Lu et al. [29] | 2020 | Conventional | Node-RED | MQTT & TCP/IP | MySQL & phpMyAdmin | Relay |
| Kao et al. [30] | 2018 | Conventional | Microsoft IIS & AJAX | TCP/IP & USB-RS485 | Microsoft SQL | NO |
| Aghenta and Iqbal [31] | 2019 | Raspberry Pi 2 | ThingsBoard IoT | MQTT | PostgreSQL | NO |
| Baig et al. [32] | 2021 | Conventional | Node-RED | MQTT | NO | Relay |
| Uddin et al. [33] | 2022 | Raspberry Pi 4 | Node-RED & Grafana | SC | Influx DB | Relay |
| Chen et al. [34] | 2019 | Arduino MEGA & PWizNet W5100 | AThingSpeak IoT | TCP/IP | NO | NO |
| Omidi et al. [35] | 2023 | Conventional | Node-RED & Wio Terminal | SC | CSV file | Actuators & Wio Terminal |
| Çavdar and Feryad [41] | 2021 | Conventional | Node-RED | TCP/IP | NO | NO |
| González and Calderón [36] | 2019 | Conventional | LabVIEW | OPC | NO | PLC |
| Baig et al. [37] | 2020 | Conventional | Node-RED | SC & TCP/IP | NO | NO |
| Aghenta and Iqbal [38] | 2019 | Raspberry Pi 2 | Thinger.IO | TCP/IP | NO | NO |
| Viciana et al. [39] | 2018 | MPU Cortex-A7 | openZmeter | SC | PostgreSQL | NO |
| Díaz Redondo et al. [40] | 2020 | Raspberry Pi 3 | Node-RED | TCP/IP | MongoDB | NO |
| Resistance | Value at k |
|---|---|
| 180 | |
| 0.51 | |
| 0.02 | |
| 5 | |
| 5.042 | |
| 5 | |
| 10 | |
| 14 | |
| 4 | |
| 10 | |
| 2 | |
| 10 |
| Variable | Real Value | Measured Value | Error % |
|---|---|---|---|
| 243.354 | 243.362 | 0.003 | |
| 220 | 219.988 | −0.005 | |
| 73.333 | 73.330 | −0.005 | |
| 46.929 | 47.316 | 0.825 | |
| 50 | 49.999 | −0.002 |
| Variable | Real Value | Measured Value | Error |
|---|---|---|---|
| 12.169 | 12.169 | 0.000 | |
| 11.001 | 11.001 | 0.000 | |
| 3.667 | 3.667 | 0.000 | |
| 46.929 | 47.297 | 0.784 | |
| P | 2961.387 | 2961.333 | −0.002 |
| Q | 0.000 | 0.000 | 0.000 |
| S | 2961.375 | 2961.333 | −0.002 |
| 1.000 | 1.000 | 0.000 |
| Variable | Real Value | Measured Value | Error |
|---|---|---|---|
| 21.858 | 21.856 | −0.009 | |
| 20.989 | 20.989 | 0.000 | |
| 5.337 | 5.337 | 0.000 | |
| 28.762 | 29.053 | 1.012 | |
| P | 4776.773 | 4777.778 | 0.021 |
| Q | 2340.228 | 2337.247 | −0.127 |
| S | 5319.232 | 5318.824 | 0.008 |
| 0.898 | 0.898 | 0.000 |
| Variable | Real Value | Measured Value | Error |
|---|---|---|---|
| 21.212 | 21.208 | −0.019 | |
| 18.560 | 18.556 | −0.022 | |
| 7.174 | 7.173 | −0.014 | |
| 54.894 | 55.362 | 0.853 | |
| P | 4499.035 | 4499.293 | 0.006 |
| Q | 2530.847 | 2530.132 | −0.028 |
| S | 5162.025 | 5161.899 | −0.002 |
| −0.872 | −0.872 | 0.000 |
| Variable | ||||
|---|---|---|---|---|
| 6.710 | 0.000 | 2.954 | 0.000 | |
| 6.681 | 0.000 | 2.947 | 0.000 | |
| 1.086 | 0.000 | 19.996 | 0.000 | |
| 1.858 | 0.000 | 29.142 | 0.000 | |
| 0.477 | 0.000 | 10.000 | 0.000 | |
| 0.467 | 0.000 | 17.108 | 0.000 | |
| 0.192 | 0.000 | 20.000 | 0.000 | |
| 24.789 | 0.000 | 29.973 | 0.000 | |
| P | 109.937 | 0.002 | 22.053 | 0.001 |
| Q | 73.348 | 0.001 | 24.917 | 0.001 |
| S | 112.021 | 0.002 | 10.410 | 0.001 |
| 0.107 | 0.000 | 14.996 | 0.000 | |
| 0.255 | 0.000 | 0.508 | 0.000 |
| Variable | MRE | MAPE | RMSE | |||
|---|---|---|---|---|---|---|
| −0.004 | 0.231 | 0.711 | 0.711 | 0.020 | 0.948 | |
| −0.004 | 0.230 | 0.710 | 0.710 | 0.020 | 0.948 | |
| −0.166 | 6.603 | 0.288 | 0.288 | 0.008 | 0.921 | |
| 0.060 | 3.039 | 0.279 | 0.279 | 0.008 | 0.149 | |
| −0.052 | 2.794 | 0.054 | 0.054 | 0.002 | 0.999 | |
| −0.076 | 2.781 | 0.050 | 0.050 | 0.001 | 0.999 | |
| −0.196 | 5.440 | 0.033 | 0.033 | 0.001 | 0.977 | |
| 0.049 | 7.544 | 5.231 | 5.232 | 0.145 | 0.919 | |
| P | −0.084 | 3.105 | 11.810 | 11.808 | 0.328 | 0.999 |
| Q | −0.142 | 5.676 | 11.336 | 11.331 | 0.315 | 0.955 |
| S | −0.056 | 2.815 | 12.475 | 12.473 | 0.347 | 0.999 |
| −0.017 | 1.676 | 0.018 | 0.018 | 0.001 | 0.978 | |
| −0.101 | 0.153 | 0.092 | 0.077 | 0.002 | 0.001 |
| Variable | % CPU Usage | CPU Temperature in °C | % RAM Usage | % Disk Usage | Massage Rate Per Minute | |||||
|---|---|---|---|---|---|---|---|---|---|---|
| Massage Delay in Seconds | ||||||||||
| 1 | 9.0500 | 3.6096 | 30.693 | 1.2813 | 12.43 | 0.0122 | 27 | 0 | 39.183 | 12.5251 |
| 2 | 9.171 | 1.6591 | 30.947 | 0.4608 | 12.633 | 0.0029 | 27 | 0 | 25.634 | 9.4354 |
| 3 | 8.917 | 2.6985 | 30.862 | 0.7516 | 12.627 | 0.0027 | 27 | 0 | 18.61 | 0.7592 |
| 4 | 8.378 | 2.0428 | 30.717 | 0.7464 | 12.652 | 0.0029 | 27 | 0 | 14.322 | 0.5324 |
| 5 | 8.263 | 3.0061 | 30.500 | 0.3240 | 12.810 | 0.0029 | 27 | 0 | 11.627 | 0.2379 |
| 6 | 9.238 | 11.836 | 30.996 | 0.5764 | 12.964 | 0.0037 | 27 | 0 | 9.85 | 0.1297 |
| 7 | 8.775 | 2.1244 | 31.049 | 0.4366 | 13.138 | 0.0108 | 27 | 0 | 8.407 | 0.2455 |
| 8 | 8.554 | 2.7110 | 31.279 | 0.3335 | 13.154 | 0.0097 | 27 | 0 | 7.407 | 0.2455 |
| 9 | 8.694 | 2.6073 | 31.079 | 0.3438 | 13.137 | 0.0036 | 27 | 0 | 6.593 | 0.2455 |
| 10 | 9.837 | 29.173 | 31.111 | 0.8497 | 13.428 | 0.0198 | 27 | 0 | 6.0000 | 0.0000 |
Disclaimer/Publisher’s Note: The statements, opinions and data contained in all publications are solely those of the individual author(s) and contributor(s) and not of MDPI and/or the editor(s). MDPI and/or the editor(s) disclaim responsibility for any injury to people or property resulting from any ideas, methods, instructions or products referred to in the content. |
© 2025 by the authors. Licensee MDPI, Basel, Switzerland. This article is an open access article distributed under the terms and conditions of the Creative Commons Attribution (CC BY) license (https://creativecommons.org/licenses/by/4.0/).
Share and Cite
Garcés, H.O.; Godoy, J.; Riffo, G.; Sepúlveda, N.F.; Espinosa, E.; Ahmed, M.A. Development of an IoT-Enabled Smart Electricity Meter for Real-Time Energy Monitoring and Efficiency. Electronics 2025, 14, 1173. https://doi.org/10.3390/electronics14061173
Garcés HO, Godoy J, Riffo G, Sepúlveda NF, Espinosa E, Ahmed MA. Development of an IoT-Enabled Smart Electricity Meter for Real-Time Energy Monitoring and Efficiency. Electronics. 2025; 14(6):1173. https://doi.org/10.3390/electronics14061173
Chicago/Turabian StyleGarcés, Hugo O., Julio Godoy, Giorgio Riffo, Neil F. Sepúlveda, Eduardo Espinosa, and Mohamed A. Ahmed. 2025. "Development of an IoT-Enabled Smart Electricity Meter for Real-Time Energy Monitoring and Efficiency" Electronics 14, no. 6: 1173. https://doi.org/10.3390/electronics14061173
APA StyleGarcés, H. O., Godoy, J., Riffo, G., Sepúlveda, N. F., Espinosa, E., & Ahmed, M. A. (2025). Development of an IoT-Enabled Smart Electricity Meter for Real-Time Energy Monitoring and Efficiency. Electronics, 14(6), 1173. https://doi.org/10.3390/electronics14061173

