High-Voltage Electrostatic Discharge/Electrical Overstress Co-Protection Implementing Gradual-Triggered SCR and MOS-Stacked Configuration
Abstract
1. Introduction
2. Solution Design and Operation Schematics
2.1. Solution Design
2.2. Operation Mechanism
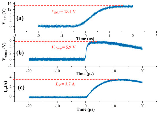
3. Device Measurement and Analysis
4. Conclusions
Author Contributions
Funding
Data Availability Statement
Conflicts of Interest
References
- Chen, J.T.; Lin, C.Y.; Ker, M.D. On-chip ESD protection device for high-speed I/O applications in CMOS technology. IEEE Trans. Electron Devices 2017, 64, 3979–3985. [Google Scholar] [CrossRef]
- Lin, C.Y.; Wu, P.H.; Ker, M.D. Area-efficient and low-leakage diode string for on-chip ESD protection. IEEE Trans. Electron Devices 2016, 63, 531–536. [Google Scholar] [CrossRef]
- Du, F.; Jiang, G.; Huang, M.; Zou, K.; Hou, F.; Song, W.; Liu, J.; Xiong, X.; Hou, L.; Liu, Z.; et al. Investigation and suppression of holding voltage deterioration in multifinger SCR for robust high-voltage ESD engineering. IEEE Trans. Electron Devices 2021, 68, 6338–6343. [Google Scholar] [CrossRef]
- Zeng, J.; Dong, S.R.; Liou, J.J.; Han, Y.; Zhong, L.; Wang, W.H. Design and analysis of an area-efficient high holding voltage ESD protection device. IEEE Trans. Electron Devices 2015, 62, 606–614. [Google Scholar] [CrossRef]
- Han, A.; Liu, Y.; Liu, Z.W.; Luo, X. Compact wideband millimeter-wave ESD protection device with transformer-embedded DCSCR. IEEE Electron Device Lett. 2023, 44, 1531–1534. [Google Scholar] [CrossRef]
- Shen, Y.S.; Ker, M.D. The impact of holding voltage of transient voltage suppressor (TVS) on signal integrity of microelectronics system with CMOS ICs under system-level ESD and EFT/burst tests. IEEE Trans. Power Electron. 2021, 68, 2152–2159. [Google Scholar] [CrossRef]
- Zhang, C.R.; Zeng, X.; Zhou, L.; Mao, J.F. Protection effects using transient voltage suppressor diodes based circuits under high-power microwave pulses. IEEE Trans. Electromagn. Compat. 2021, 63, 2058–2064. [Google Scholar] [CrossRef]
- Dai, S.H.; Lin, C.J.; King, Y.C. Leakage suppression of low-voltage transient voltage suppressor. IEEE Trans. Electron Devices 2008, 55, 206–210. [Google Scholar] [CrossRef]
- Huang, X.Z.; Liou, J.J.; Liu, Z.W.; Liu, F.; Liu, J.Z.; Chen, H. A new high holding voltage dual-direction SCR with optimized segmented topology. IEEE Electron Device Lett. 2016, 37, 1311–1313. [Google Scholar] [CrossRef]
- Qi, Z.; Qiao, M.; Liang, L.; Zhang, F.; Zhou, X.; Cheng, S.; Zhang, S.; Lin, F.; Sun, G.; Li, Z.; et al. Novel silicon-controlled rectifier with snapback-free performance for high-voltage and robust ESD protection. IEEE Electron Device Lett. 2019, 40, 435–438. [Google Scholar] [CrossRef]
- Song, W.; Chen, R.; Tong, Z.; Hou, F.; Du, F.; Liu, Z.; Liu, H. Robust silicon-controlled rectifier with high-holding voltage for on-chip electrostatic protection. IEEE Trans. Electron Devices 2022, 69, 696–703. [Google Scholar] [CrossRef]
- He, L.F.; Salcedo, J.A.; Parthasarathy, S.; Hajjar, J.; Sundaram, K. A New Low-Capacitance High-Voltage-Tolerant Protection Clamp for High-Speed Applications. IEEE Trans. Electron Devices 2020, 67, 3030–3034. [Google Scholar] [CrossRef]
- Yang, Z.; Xu, J.; Fu, D.; Zhang, Y.; Zhang, Y.; Yang, Y.; Yu, N. New power clamp circuit for concurrent ESD and surge protections. IEEE Trans. Electron Devices 2023, 70, 4538–4546. [Google Scholar] [CrossRef]
- Bae, B.; Kim, J. A low-voltage microwave plasma ionizer with reduced electric overstress due to displacement current coupling from a high-AC voltage source. IEEE Trans. Electromagn. Compat. 2021, 63, 1501–1511. [Google Scholar] [CrossRef]
- Tsovilis, T.E.; Hadjicostas, A.Y.; Staikos, E.T.; Peppas, G.D. An experimental methodology for modeling surge protective devices: An application to DC SPDs for electric vehicle charging stations. IEEE Trans. Ind. Appl. 2024, 60, 1645–1655. [Google Scholar] [CrossRef]
- Radulovic, V.M.; Miljanic, Z.V. Effects of built-in varistors with low protection voltages on surge protection performances in low-voltage AC power systems. IEEE Trans. Electromagn. Compat. 2020, 62, 933–946. [Google Scholar] [CrossRef]
- Gharekhanlou, B.; Khorasani, S. Current–voltage characteristics of graphane p-n junctions. IEEE Trans. Electron Devices 2010, 57, 209–214. [Google Scholar] [CrossRef]
- Liang, H.L.; Zhu, L.; Gu, X.F. A dual-MOS-triggered silicon-controlled rectifier for high-voltage ESD protection. IEEE J. Emerg. Sel. Top. Power Electron. 2021, 9, 6293–6299. [Google Scholar] [CrossRef]
- Dong, S.R.; Jin, H.; Miao, M.; Wu, J.; Liou, J.J. Novel capacitance coupling complementary dual-direction SCR for high-voltage ESD. IEEE Electron Device Lett. 2012, 33, 640–642. [Google Scholar] [CrossRef]













Disclaimer/Publisher’s Note: The statements, opinions and data contained in all publications are solely those of the individual author(s) and contributor(s) and not of MDPI and/or the editor(s). MDPI and/or the editor(s) disclaim responsibility for any injury to people or property resulting from any ideas, methods, instructions or products referred to in the content. |
© 2025 by the authors. Licensee MDPI, Basel, Switzerland. This article is an open access article distributed under the terms and conditions of the Creative Commons Attribution (CC BY) license (https://creativecommons.org/licenses/by/4.0/).
Share and Cite
Liang, H.; Li, J.; Sun, J.; Wang, D.; Wang, F.; Wang, D.; Liu, J. High-Voltage Electrostatic Discharge/Electrical Overstress Co-Protection Implementing Gradual-Triggered SCR and MOS-Stacked Configuration. Electronics 2025, 14, 1076. https://doi.org/10.3390/electronics14061076
Liang H, Li J, Sun J, Wang D, Wang F, Wang D, Liu J. High-Voltage Electrostatic Discharge/Electrical Overstress Co-Protection Implementing Gradual-Triggered SCR and MOS-Stacked Configuration. Electronics. 2025; 14(6):1076. https://doi.org/10.3390/electronics14061076
Chicago/Turabian StyleLiang, Hailian, Jianfeng Li, Jun Sun, Dejin Wang, Fang Wang, Dong Wang, and Junliang Liu. 2025. "High-Voltage Electrostatic Discharge/Electrical Overstress Co-Protection Implementing Gradual-Triggered SCR and MOS-Stacked Configuration" Electronics 14, no. 6: 1076. https://doi.org/10.3390/electronics14061076
APA StyleLiang, H., Li, J., Sun, J., Wang, D., Wang, F., Wang, D., & Liu, J. (2025). High-Voltage Electrostatic Discharge/Electrical Overstress Co-Protection Implementing Gradual-Triggered SCR and MOS-Stacked Configuration. Electronics, 14(6), 1076. https://doi.org/10.3390/electronics14061076

