Next Article in Journal
Secrecy Analysis of LEO Satellite-to-Ground Station Communication System Influenced by Gamma-Shadowed Ricean Fading
Previous Article in Journal
Variable-Step-Size Generalized Maximum Correntropy Affine Projection Algorithm with Sparse Regularization Term
 
 
Font Type:
Arial Georgia Verdana
Font Size:
Aa Aa Aa
Line Spacing:
Column Width:
Background:
Article

Comparison of the Reliability of SAC305 and Innolot-Based Solder Alloy in a Board-Level BGA Package Considering Harmonic and Random Vibration Environment

1
Department of Mechanical Engineering, Lamar University, Beaumont, TX 77710, USA
2
Department of Industrial and Systems Engineering, Lamar University, Beaumont, TX 77710, USA
*
Author to whom correspondence should be addressed.
Electronics 2025, 14(2), 292; https://doi.org/10.3390/electronics14020292
Submission received: 10 December 2024 / Revised: 7 January 2025 / Accepted: 9 January 2025 / Published: 13 January 2025

Abstract

This paper presents a comparative study of the fatigue life of solder joints in a board-level Ball Grid Array (BGA) assembly. It specifically contrasts the commonly used SAC305 alloy with the advanced Innolot-based solder alloy, recognized for its superior tensile strength. Through Finite Element Analysis (FEA), we simulate and predict the reliability of these solder joints under harmonic and random vibration conditions. Following the JEDEC (Joint Electronic Device Engineering Council) standards, two different board-level BGA assemblies are used for the analysis. In both assemblies, the dimensions of the substrate, molding compound, and solder balls remain identical; only the board dimensions are changed to observe how they affect stress in the solder joints. The results indicate that using Innolot raises the volume-averaged stress levels by more than 25% on larger boards and about 5% on smaller boards compared to SAC305. This increase in stress levels is due to the Innolot alloy having a less significant stiffening effect than SAC305, which results in higher stress levels under the same excitation conditions. While the stress in the Innolot-based solder joint is greater than that in the SAC305 joint under identical excitation conditions, the fatigue life of the Innolot joint is significantly higher than that of the SAC305 joint. The results show that the Innolot-based alloy exceeds the performance of SAC305, and that it is suitable for use as a solder alloy in extreme vibration conditions.

1. Introduction

The reliability of electronic assemblies is highly reliant on the integrity of the solder joints, which are responsible not only for mechanical support, but also for electrical connectivity between components. These assemblies are often exposed to harsh environmental conditions, such as extreme temperatures, mechanical shock, and vibrations in demanding applications like automotive, aerospace, and industrial electronics. The solder joints are under fatigue failure in these conditions, which can result in the electronic system experiencing early failure. That is why choosing a high strength solder material is crucial for improving the lifespan and reliability of electronic devices [1].
In recent years, SAC305 (Sn-3.0Ag-0.5Cu) has been the most widely used non-lead solder alloy for electronics because it contains all the essential properties, including high melting point, thermal fatigue resistance, high tensile strength, and enough ductility to absorb mechanical shock compared to SAC405 [2]. However, considering the harsh environments where there are extreme temperature swings and extreme mechanical vibrations, such as edge computing environments, the SAC305 solder joint of the electronic packages may undergo joint deterioration and cracks, and finally lead to the failure of the entire electronic assembly [3]. Therefore, the electronic industry is always looking for high-strength solder alloys that can be used in harsh environmental conditions [4]. One recent development in solder joints is the Innolot-based solder alloy, an innovative solder material that has been specifically designed to ensure the reliability of electronic assemblies in challenging conditions. The Innolot alloy has a formula of Sn-3.5Ag-0.7Cu-3Bi-1.5Sb-0.125Ni, which is a solution to the issues of SAC305 regarding thermal cycling, creep, and fatigue in mechanics, as shown in the existing literature [5]. In addition, the presence of bismuth (Bi) and antimony (Sb) in Innolot has a constructive influence, by making the microstructure of the solder joint finer and preventing the growth of IMCs, which are the defects causing solder joints to become weak with time [6].
Research into the thermal performance of various solder alloys has seen substantial progress in the past, highlighting its critical importance in enhancing reliability and efficiency in electronic applications. Tao et al. [7] studied the low-cycle fatigue behavior of the Innolot lead-free solder alloy and revealed that the alloy’s load capacity and thermal fatigue life decrease with more load cycles and higher temperatures. Using temperature-modified Coffin-Manson and Morrow models, the alloy’s fatigue behavior and lifespan were analyzed. Innolot demonstrated superior fatigue strength compared to other lead-free solders, attributed to the added Bi, Ni, and Sb elements [7]. Moreover, Su et al. [8] investigated the impact of surface finish on the fatigue behaviors of four doped lead-free solder alloys (CycloMax, Innolot, Ecolloy, and SAC-X-Plus) and SAC305. Solder joints with three surface finishes using organic solderability preservative (OSP), immersion silver (ImAg), and electroless nickel immersion gold (ENIG) were prepared and subjected to cyclic shear stress loadings until failure. The results showed that fatigue resistance decreased with stress amplitude, with OSP and ImAg surfaces outperforming ENIG. The study identified three failure modes: ductile, brittle, and near-IMC failure, with Innolot being more susceptible to brittle failure due to its excessive brittleness. Furthermore, Zhu et al. [9] conducted a low-cycle fatigue test on a lead-free solder joint at two test temperatures and three strain amplitudes. The results showed that the maximum load drops with increasing loading cycles, with the maximum load drop curve degrading into a linear stage with increasing strain range or temperature. Fatigue cracks start at the corner of the joint and propagate along the strain-concentrated zone. The Coffin-Manson and Morrow energy-based models were used to evaluate the fatigue life of the solder joint under high temperatures, with the fatigue ductility exponent and coefficient being dependent on temperature, while other parameters remained stable under different temperatures. Similarly, Le et al. [10] explored the impact of process-induced voids on the fatigue reliability of solder alloys in power modules subjected to thermal passive cycles. The study used Anand’s visco-plastic model and the Monte Carlo Representative Volume Element Generator to analyze the behavior of Innolot Pb-free solder joints in an electronic assembly. The results showed that the fatigue lifetime of solder joints decreases with an increasing volume fraction of voids, with voids near critical sites facilitating damage initiation. Solder joint behavior is almost unaffected by voids far from critical sites.
To sum up, there has been an extensive amount of work in the literature that has studied the thermal performance of the different solder alloys. However, the same is not true for the vibration-based performance. When an electronic assembly is subjected to dynamic excitation, the maximum stress induced in the solder joint depends not only on the excitation amplitude, but also on the excitation frequencies. Therefore, it is extremely difficult to come to conclusions on the reliability of the solder joint based only on the tensile strength, yield strength, and ductility of the materials. The reliability of the solder joints under different dynamic excitations is a critical aspect of their reliability, particularly in environments where electronic assemblies are subjected to constant or repeated mechanical loads at various frequencies [11,12,13,14,15,16]. Dynamic excitations induce cyclic stresses in the solder joints, leading to fatigue and, eventually, cracking. Though it has been reported in the existing literature [3,5] that Innolot is superior compared to existing alloys in the case of dynamic exposure, there is no demonstration of this through numerical modeling or any fatigue test experiments based on dynamic excitations. While the board-level (utilizing user PCB) vibrations of the SAC305, 105, and 405 alloys are well studied in the existing literature, the performance of the Innolot-based alloy in a board-level dynamic excitation is completely unknown. Furthermore, it is essential to study the board-level vibration of this solder joint, as the customers of the packaging industries will utilize the entire package to install edge computing platforms by mounting the package in a user Printed Circuit (PC) board using the solder joint.
In this research, we analyzed the fatigue life of both SAC305 and Innolot solder joints under dynamic excitation conditions, through theoretical modeling using the Finite Element Analysis (FEA) tool. For theoretical modeling, commercial software ANSYS was used in this paper to study the board-level vibrations. We simulated the mechanical behavior of these joints under harmonic and random vibration tests. The harmonic test was conducted by applying an input acceleration of 1   G ,   while the random vibration test was carried out by utilizing a flat Power Spectrum Density (PSD) profile of 0.05 g2/Hz for the frequency range of 100 1000   H z . These tests were structured to imitate the actual operational conditions that electronic assemblies will go through in real-world applications. Through this analysis, we aim to determine if the use of Innolot can considerably improve the reliability and lifetime of electronic assemblies, especially in vibration-dominated environments.
The rest of the paper is organized as follows: Section 2 presents the details of the theoretical modeling approach using FEA and provides information about the test vehicle. Section 3 presents the harmonic vibration analysis approach, compares the harmonic vibration results, and calculates the fatigue life for SAC305 and the Innolot-based alloy. Section 4 outlines the results of the random vibration analysis. Section 5 offers a discussion comparing the results obtained for SAC305 and the Innolot alloy. Finally, Section 6 concludes the paper and suggests the potential areas for future work.

2. Theoretical Formulation for Model Testing Using FEA

This section illustrates the theoretical framework for obtaining Frequency Response Functions (FRFs) of an electronic package when subjected to base excitation. In laboratory tests, electronic packages are evaluated using an electrodynamic shaker, which provides the base excitation input. Therefore, to mimic the test conditions in the virtual environment, FE modeling of the package is performed using this base excitation. When subjected to dynamic excitation, electronic packages can be considered a multi-degree-of-freedom (MDOF) system. The general equation of motion for a linear MDOF system subjected to base excitation can be written as [13,14,17,18]:
m u ¨ + k u + c u ˙ = m l y ¨ b
where m , k , and c are the mass, stiffness, and proportional damping matrices of the system in a fixed base configuration, y ¨ b is the input acceleration at the base, i.e., a controlled acceleration input in case of shaker testing, u ¨ , u ˙     a n d   u are the acceleration, velocity, and displacement vectors relative to the base, and l is the transformation vector ( l i = C o s ( θ ) i ), where ( θ ) i is the angle between the i t h degree of freedom and the direction of base motion.
Transforming Equation (1) to the frequency domain we have
ω 2 m + k + i ω c U = ω 2 m l Y b
where ω is the excitation frequency and i is the complex number representing the equation of motion in a frequency domain, and Y b is the base displacement.
The term ω 2 m + k + i ω c is the dynamic stiffness matrix, and representing it with Z , Equation (2) can be written as
Z U = ω 2 m l Y b
U Y b = ω 2 Z 1 m l
Equation (4) represents the frequency response function of a system at the measured degrees of freedom. This equation shall be utilized in the later section to show the natural frequency and amplitude of vibration at each excitation frequency of a system using FEA.

2.1. Details of the Test Vehicle

The test vehicles consist of a Ball Grid Array (BGA) package connected to the PCB using two different materials for solder balls. First, the traditional lead-free (SAC305) Tin/Silver/Copper alloys, comprising 96.5% Tin (Sn), 3% Silver (Ag), and 0.5% Copper (Cu). The second one is the advanced Innolot Tin/Silver/Copper/Bismuth/Antimony/Nickel alloys consisting of 90.9% Tin (Sn), 3.8% Silver (Ag), 0.7% Copper (Cu), 3% Bismuth (Bi), 1.45% Antimony (Sb), and 0.15% Nickle (Ni). Two different sizes of boards following the Joint Electronic Device Engineering Council (JEDEC) standards are used to study the performance of the package: a large board with dimensions 140   m m × 140   m m × 1.6   m m   and a small board with dimensions 77   m m × 77   m m × 1.6   m m .   Here, 1.6 mm represents the thickness of the PCBs, while 77 mm is the length and the width of the smaller PCB and 140 mm denotes the length and width of the larger PCB, respectively. Figure 1 and Figure 2 provide CAD models of the larger and smaller test vehicles, showing detailed dimensions. The PCB material employed is FR4, which, for the sake of simplification, is considered isotropic despite its anisotropic nature. The material properties used in the finite element model for the large and small boards, along with a comparison of the material properties of the two different solder balls (SAC305 and Innolot), are presented in Table 1, Table 2 and Table 3.

2.2. Finite Element (FE) Model

Since it is impossible to measure the stresses in the small solder balls directly, the FEA method is employed to estimate the stress levels in the electronic parts. Figure 3 displays a 3D finite element model of the BGA package created by ANSYS 2023, which includes four mounting holes at the corners for four screws. These screws mimic the fixed boundary conditions, simulating base excitation during vibration testing. The full model is selected to capture mode shapes and the natural frequencies. Previous studies on BGA assembly reliability [19,20,21] have shown that fatigue failure due to vibration typically occurs at the corner solder balls. Hence, a submodel is used for the detailed analysis of these critical solder balls, which is a common approach in FEA for small-scale solder interconnects.
The full model is developed using shared topology and quadratic hexahedral elements. SOLID 186 elements are employed to model all components, including the PCB. To accurately represent the boundary conditions used in the vibration tests, all nodes at the screw holes are fixed in all degrees of freedom. Since PCBs are lightly damped systems, a damping ratio of 2% is assumed for each mode to simulate the real-world conditions, which is reasonable for the dimensions of the PCBs used, as reported in the existing literature [19,21,22]. A grid-free independent solution is conducted by performing a convergence analysis during the modal analysis. The results of the convergence analysis indicate the optimal number of elements and nodes required to accurately determine the natural frequencies and mode shapes, which do not change further with an increase in the number of elements or nodes.

2.3. Harmonic Vibration Analysis

The purpose of the harmonic vibration analysis is to determine the maximum displacement and acceleration responses of the package at various locations when subjected to sinusoidal input. Stress in a solder joint is a function of displacement, and the displacement of the package will be at maximum around the resonant frequency of the package assembly. Therefore, the harmonic vibration analysis is conducted by exciting the system in a (FE) model, with frequencies in a range covering the first natural frequency of the system. The frequency response functions (FRFs) of the system are generated using Equation (4) in an FE model.
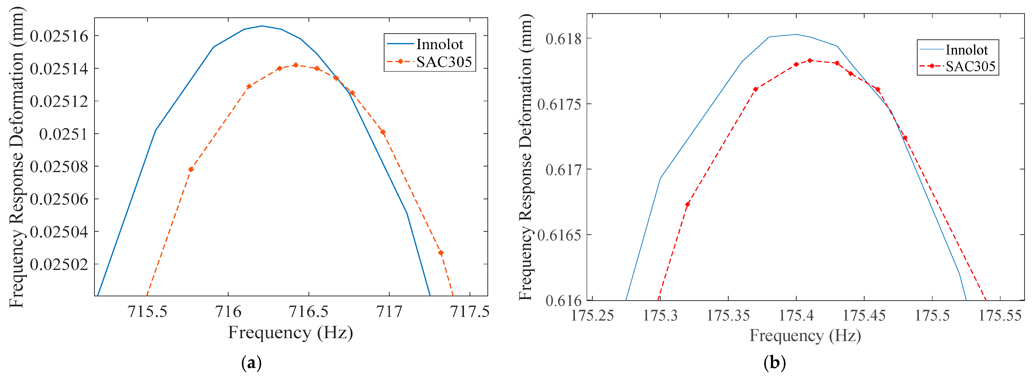
In the FE model, base acceleration is applied in the direction that is out of the plane, particularly within a frequency range around the first natural frequency of the package assembly, as shown in Figure 3. A submodel utilizing Saint-Venant’s principle is then employed to calculate stress at the critical solder joint in more detail. The harmonic analysis is performed in the FE model space using modal superposition theory. To implement this theory, information regarding modal mass, mode shapes, and natural frequencies is required. These parameters are obtained through modal analysis, conducted with the four corner holes fixed. The modal analysis is carried out by assuming the material properties of the PCB, substrate, silicon die, and SAC305, as detailed in Table 1 and Table 2 for both large and small boards. The modal analysis is then repeated for the package, substituting the properties of SAC305 with those of Innolot. Since solder joint failure is primarily related to the first mode natural frequency, we calculate the first natural frequency for the board-level BGA assembly with both SAC305 and Innolot solder materials through modal analysis. The results indicate that the first natural frequency for a large board decreased from 175.43 Hz to 175.41 Hz when using Innolot materials instead of SAC305. The harmonic analysis results provide detailed information on the changes in natural frequency and the amplitude of vibration when SAC305 is replaced by Innolot materials. Figure 4, Figure 5, Figure 6 and Figure 7 illustrate the amplitude response in the form of FRFs at the center point of the boards and at the solder joint, with a close-up view provided in Figure 8. This close-up view clearly demonstrates a shift in the resonant frequency and an increase in amplitude at the solder joint when using Innolot materials. This shift is due to the elasticity of Innolot, which has lower stiffness compared to SAC305.
The differences in the displacement peak between SAC305 and Innolot for both large and small boards at the center of the boards are detailed in Table 4. As shown in the table, there are significant differences in the Frequency Response Functions (FRFs) between the two different types of solder ball materials. A relative displacement of just a micro millimeter between the package and the board can generate significant stress in the solder joint. This indicates that the material of the solder ball plays a crucial role in the stress results, as demonstrated in the following section. When Innolot is used as the solder joint, the resonant frequency of the assembly shifts to a lower value. This occurs because Innolot provides less of a stiffening effect compared to SAC305 (Figure 8). The shift in resonant frequency is approximately 0.25 Hz, which is noteworthy considering that the mass of the solder balls is significantly smaller than the mass of the PCBs. Furthermore, this analysis shows that the small elastic change in material can be easily seen by plotting the FRFs.

3. Stress Analysis Using FE-Based Model

3.1. Global Transient Analysis

This section discusses in detail the response analysis at the resonant frequency using the time series data. Once the first natural frequency and amplitude of vibration around the first natural frequency are calculated using the model and harmonic analysis, the next step is to estimate the fatigue life of the test vehicle. The global model shown in Figure 3 is excited at an acceleration level of 1   G , with an excitation frequency of 175.43 Hz (first mode) to find the response around the critical solder joints. Subsequently, the steady state displacement response is obtained at one point at the center of the board to be used as the displacement boundary condition for the local model to calculate the Von Mises stress. Figure 9 shows the input acceleration for the global model for the large board. The results of the steady state displacement response of the global model for small and large boards are plotted on a single diagram for both SAC305 and Innolot, as shown in Figure 10.
The full model is developed by utilizing the shared topology and employing quadratic hexahedral elements. The transient response was calculated using the mode superposition method with the first 10 modes. Based on the existing literature [17,18,19,20,21], the maximum stress occurs in the outermost solder balls. Therefore, in this study, the central solder balls in the full model were considered cubes, while the outer rows and columns were modeled as spheres. Doranga et al. [14,22] showed that by using the central ball as a cube, the first natural frequency changes by about 0.1 Hz, which does not have a vital effect on the results. Figure 11 shows the solder balls’ maximum von Mises stress distribution under 1 G acceleration. According to Figure 11, the outmost corner solder ball was observed to have a stress concentration along the solder/PCB interface.

3.2. Local Transient Analysis

Usually, the submodeling technique is employed in finite element (FE) analysis to capture the stress more accurately at solder interconnects on a smaller scale. Since the stress is dependent on the mesh size and the solder balls have extremely small dimensions compared to PCBs, molding compounds, and substrates, the stress generated in a solder joint using a global model is not accurate. Reanalyzing the entire model using a greater mesh refinement in order to obtain more accurate results in one particular region is time-consuming, as it increases a lot of computational costs. Instead, one can use submodeling to generate an independent, more refined meshed model of only the region (submodel) of interest and then analyze it [19,23]. The submodeling technique follows Saint-Venant’s principle. Following Saint-Venant’s principle, the displacements from the global analysis are applied to the cut boundary of the local model as boundary conditions, as shown in Figure 12. These displacements are transferred to eight submodel surfaces, highlighted by the red cubes in Figure 12a. The volume-averaged Von Mises stresses within the thin layer of elements at the substrate interface and PCB interface of the solder balls in SAC305 and Innolot are presented in Figure 13, Figure 14, Figure 15 and Figure 16 for the large and small boards, respectively. This stress distribution is obtained by applying the transferred displacements in a transient analysis using ANSYS. Based on this stress distribution and utilizing methods such as high-cycle fatigue analysis, the lifetime of the solder ball can be estimated.
As shown in Figure 15 and Figure 16, replacing SAC305 with Innolot leads to an increase in the average Von Mises stress in both large and small boards. In the large board, the stress increases from 16.24 MPa to 20.3 MPa, representing an increase of over 25%, while in the small board, the stress rises from 2.9 MPa to 3.04 MPa, which represents an increase of about 4.8%.
The higher Von Mises stress observed in the solder ball with Innolot compared to SAC305 is due to SAC305 having a Young’s modulus that is 11 GPa greater than that of Innolot. This difference in stiffness results in more stress being absorbed by the Innolot material. Additionally, preliminary FEA modal analysis indicated a high mass participation factor in the first bending mode, which led to fatigue testing focusing on this resonance mode. The bending on the large board is significantly greater than that on the small board, resulting in higher stress on the larger board.

3.3. Fatigue Analysis of SAC305 and Innolot-Based Alloy

This section presents the detailed calculation of the fatigue life of the SAC305 and Innolot-based solder alloys based on the numerical simulation results. This section also highlights the fatigue life comparison results of SAC305 and Innolot based on the high cycle fatigue life model. In a board-level package, the vibration failure of a solder joint is mainly in a high cycle or ultra-high cycle region, so a stress life approach is followed to calculate the fatigue life of the solder joints. Figure 15 and Figure 16 show the maximum stress from a local model in a critical solder joint for SAC305 and Innolot-based alloy. It is well known that the lifespan of a solder joint is influenced by the maximum Von Mises stress, which, in turn, depends on the mesh density. To calculate the life of the solder ball, the volume-averaged Von Mises stress is calculated across the thin layer of solder elements [24,25,26,27,28]. The volume-averaged Von Mises stress is calculated using Equation (5).
σ a = i = 1 n σ i × v i i = 1 n v i
where σ i is the maximum stress in the i t h element, v i is the volume of the i t h element, and n is the number of elements in a thin layer across the substrate solder and PCB solder interface. Only a single layer of thin elements is chosen to estimate the volume-averaged Von Mises stress, and taking two or more layers will also yield identical results, as stress is volume averaged. Once the volume-averaged stress is calculated, the lifetime of the solder joint is estimated by using the high cycle fatigue equation given by Equation (6).
σ a = σ f ( 2 N f ) b
where σ f is the fatigue strength coefficient, b is the fatigue strength exponent, and 2 N f is the number of cycles to failure. The fatigue strength coefficient and fatigue strength exponent are used based on the measured data from the existing literature [19,29,30], which is listed in Table 5. The number of cycles to failure is estimated by using volume-averaged stress calculated from the numerical simulation results, and the fatigue strength exponent and constant found from the existing literature. The fatigue life for SAC305 and Innolot-based solder alloy, as calculated, is listed in Table 6 and Table 7. From Table 6 and Table 7, it is clear that even though the stress level in the solder ball is high for an Innolot-based alloy compared to SAC305, the fatigue life is far higher for Innolot-based solder joints. While the existing literature indicates that Innolot was superior compared to other SAC alloys in extreme thermal environments, our results show that Innolot also outperforms SAC305 in vibration-based environments. Therefore, Innolot can be utilized as a high-strength joint for edge computing platforms, where both temperature and vibration conditions are extreme.

4. Random Vibration Analysis

This section presents the maximum stress results obtained from numerical simulations using the random vibration profile for two different boards with SAC305 and Innolot-based solder alloys. The harmonic vibration analysis involved applying an input acceleration of 1 G, while the random vibration analysis was performed using a flat power spectrum density (PSD) profile of 0.05   g 2 / Hz across a frequency range of (100–1000) Hz. The simulated model is used to determine the equivalent stress for 1 σ , 2 σ , and 3 σ , where σ is the standard deviation from the norm. According to the normal distribution, in the random vibration, 68.3% of the data falls within the −1σ to +1σ range. Another 27.1% lies within the −2σ to −1σ and the 1σ to 2σ ranges combined. Only 4.3% is found within the −3σ to −2σ and 2σ to 3σ ranges, and a mere 0.3% lies outside the −3σ to +3σ range. The equivalent stress for 1 σ of the solder balls in SAC305 and Innolot is shown in Figure 17 and Figure 18 for the large and small boards, respectively.
Replacing SAC305 with Innolot leads to an increase in the equivalent stress for 1 σ , 2 σ , and 3 σ (just the stress of 1 σ is shown) in both large and small boards. In the large board, the stress increases from 8.67 MPa to 11.03 MPa, representing an increase of over 27%, while in the small board, the stress rises from 5.09 MPa to 5.4 MPa, which represents an increase of about 6%. As indicated by Figure 17 and Figure 18, the model exhibits behavior similar to that of the local model during harmonic analysis. The increased stress level observed in Innolot compared to SAC305 is also evident in the harmonic analysis. This is attributed to the lower stiffness of the Innolot solder alloy relative to SAC305. Additionally, the random vibration stress results show consistent behavior, indicating that the stress in the smaller board is always lower than in the larger board. These results are well aligned with the results from the existing literature presented in reference [14,29,30].

5. Discussions on Simulation Results

Based on the numerical simulation results of board-level BGA packages utilizing SAC305 and the Innolot-based solder alloy, it is observed that in a vibration environment, replacing the traditional SAC305 solder ball with the advanced Innolot material results in a slight shift in natural frequency and displacement amplitude responses around the resonant frequency.
The primary factor determining the life of the structure is stress, which increases by over 25% on larger boards and 5% on smaller boards. This increase in stress is attributed to the lower elastic properties of the Innolot solder material, leading to a decrease in resonant frequency and an increase in amplitude response. Figure 13, Figure 14, Figure 15 and Figure 16 suggest that Innolot changes the distribution of mechanical energy throughout the structure, concentrating stress more intensely in specific areas. On larger boards, the impact is more pronounced due to the lower resonant frequency, which explains the greater increase in stress compared to smaller boards, due to the lower stiffening effect. Despite the increase in stress, the lifetime of the solder balls made from Innolot is longer than those made from SAC305. This is because Innolot possesses significantly higher yield stress and Ultimate Tensile Strength (UTS) than SAC305, with a difference of approximately 30 MPa. These superior mechanical properties of Innolot enable it to withstand higher stress levels without compromising durability. The detailed material properties of Innolot and SAC305 are presented in Table 8.

6. Conclusions

This study presents a comparative analysis of the reliability and fatigue life of SAC305 and Innolot solder alloys under harmonic and random vibration environments, focusing on their performance in electronic assemblies through numerical simulations utilizing the board-level BGA package assembly. The results indicate that while replacing SAC305 with Innolot changes the magnitude of resonant frequency and the Frequency Response Function (FRF) by a small amount, it does lead to an increase in stress levels—over 25% on large boards and around 5% on small boards. Despite this increase in stress, the Innolot solder balls exhibit a longer lifespan than those made of SAC305, because of their lower fatigue strength coefficient and fatigue strength exponent compared to SAC305, which is directly related to the tensile strength of the material. This improved durability is attributed to Innolot’s higher yield stress and Ultimate Tensile Strength (UTS), and lower fatigue strength coefficient and exponent, which enable it to withstand higher stress without compromising structural integrity. Furthermore, the results also indicate that the life of the solder joint is heavily dependent on the printed circuit board dimensions used, and that a higher dimension board will yield maximum stress in the solder joint, as the increase in board dimension not only decreases the natural frequency of the system, but also increases the amplitude of vibration, which aligns well with the results found in the existing literature. Based on the presented results, it can be concluded that Innolot is a more reliable choice for solder joints in electronic assemblies compared to SAC305, particularly in environments subjected to significant thermal stress and vibration, ensuring enhanced long-term durability and performance.
Further research is needed to explore the long-term performance of Innolot solder joints in more complex thermal and mechanical cycling conditions, including combined thermal–vibration environments that better reflect real-world scenarios. Additionally, investigating alternative solder materials with similar or enhanced properties, and optimizing the design of electronic assemblies to mitigate the higher stress levels observed with Innolot, could improve reliability even further.

Author Contributions

Conceptualization, S.D.; Methodology, S.D.; Software, S.B.F.; Formal analysis, S.B.F.; Writing—review & editing S.D., Y.L. and S.B.F.; Supervision, S.D. and Y.L. All authors have read and agreed to the published version of the manuscript.

Funding

This work was partially funded by the Center for Resiliency (CfR) at Lamar University under award 23LP03. Any opinions, findings, and conclusions or recommendations expressed in this material are those of the author(s) and do not necessarily reflect the views of Lamar University or the CfR.

Data Availability Statement

The data generated in this research are included within the manuscript.

Conflicts of Interest

The authors declare no conflict of interest.

References

  1. Riches, S.; Johnston, C. Electronics design, assembly and reliability for high temperature applications. In Proceedings of the 2015 IEEE International Symposium on Circuits and Systems (ISCAS), Lisbon, Portugal, 24–27 May 2015; pp. 1158–1161. [Google Scholar]
  2. Hoque, M.A.; Haq, M.A.; Chowdhury, M.; Suhling, J.C.; Lall, P. Evolution of the Properties of SAC-Bi-Ni-Sb Lead Free Solder During Mechanical Cycling. In Proceedings of the 2020 IEEE 70th Electronic Components and Technology Conference (ECTC), Orlando, FL, USA, 3–30 June 2020; pp. 2048–2057. [Google Scholar]
  3. Wei, X.; Su, S.; Ali, H.; Suhling, J.; Lall, P. Fatigue performance of doped SAC solder joints in BGA assembly. In Proceedings of the 2020 19th IEEE Intersociety Conference on Thermal and Thermomechanical Phenomena in Electronic Systems (ITherm), Orlando, FL, USA, 3–30 June 2020; pp. 1035–1042. [Google Scholar]
  4. Tao, Q.-B.; Benabou, L.; Vivet, L.; Tan, K.-L.; Morelle, J.-M.; Le, V.-N.; Ben Ouezdou, F. A design of a new miniature device for solder joints’ mechanical properties evaluation. Proc. Inst. Mech. Eng. Part C J. Mech. Eng. Sci. 2017, 231, 3818–3830. [Google Scholar] [CrossRef]
  5. Su, S.; Jian, M.; Akkara, F.J.; Hamasha, S.; Suhling, J.; Lall, P. Fatigue and shear properties of high reliable solder joints for harsh applications. In Proceedings of the SMTA International, Rosemont, IL, USA, 14–18 October 2018; pp. 14–18. [Google Scholar]
  6. Choudhury, P.; Kumar, A.; Augustine, P.; Kosuri, D.; Sarkar, S.; Salerno, P.; Ribas, M. High-Reliability Lead-Free Solders for Automotive Electronics. In Proceedings of the International Conference on Automotive Materials and Manufacturing AMM, Chakan, India, 31 May–2 June 2023. [Google Scholar]
  7. Tao, Q.; Benabou, L.; Le, V.N.; Nguyen, N.A.T.; Nguyen-Xuan, H. Temperature-dependent fatigue modelling of a novel Ni, Bi and Sb containing Sn-3.8 Ag-0.7 Cu lead-free solder alloy. Fatigue Fract. Eng. Mater. Struct. 2020, 43, 2883–2891. [Google Scholar] [CrossRef]
  8. Su, S.; Jian, M.; Hamasha, S. Effects of Surface Finish on the Shear Fatigue of SAC-Based Solder Alloys. IEEE Trans. Compon. Packag. Manuf. Technol. 2019, 10, 457–466. [Google Scholar] [CrossRef]
  9. Zhu, Y.; Li, X.; Gao, R.; Wang, C. Low-cycle fatigue failure behavior and life evaluation of lead-free solder joint under high temperature. Microelectron. Reliab. 2014, 54, 2922–2928. [Google Scholar] [CrossRef]
  10. Le, V.N.; Benabou, L.; Etgens, V.; Tao, Q.B. Finite element analysis of the effect of process-induced voids on the fatigue lifetime of a lead-free solder joint under thermal cycling. Microelectron. Reliab. 2016, 65, 243–254. [Google Scholar] [CrossRef]
  11. Tian, J.; Shi, E.; Zhong, J.; Chen, Y.; Deng, X.; Li, G. Reliability Analysis and Structural Optimization of Circuit Board Based on Vibration Mode Analysis and Random Vibration. Processes 2024, 12, 1726. [Google Scholar] [CrossRef]
  12. Yu, S.; Dai, J.; Li, J. Research on the Reliability of Interconnected Solder Joints of Copper Pillars under Random Vibration. J. Electron. Test. 2024, 40, 107–116. [Google Scholar] [CrossRef]
  13. Doranga, S.; Xie, D.; Lee, J.; Zhang, A.; Shi, X.; Khaldarov, V. A Time Frequency Domain Based Approach for Ball Grid Array Solder Joint Fatigue Analysis Using Global Local Modeling Technique. J. Electron. Packag. 2023, 145, 1–21. [Google Scholar] [CrossRef]
  14. Doranga, S.; Schuldt, M.; Khanal, M. Effect of Stiffening the Printed Circuit Board in the Fatigue Life of the Solder Joint. Materials 2022, 15, 6208. [Google Scholar] [CrossRef] [PubMed]
  15. Liu, S.; Yao, S.; Xue, S.; Wang, B.; Jin, H.; Pan, C.; Zhang, Y.; Zhou, Y.; Zeng, R.; Ping, L.; et al. Effects of interface cracks on reliability of surface mount technology interconnection in service environment. Microelectron. Int. 2023, 40, 140–151. [Google Scholar] [CrossRef]
  16. Geng, J.; Zhang, H.; Mutuku, F.; Lee, N.-C. Novel solder ally with wide service temperature capability for automotive applications. In Proceedings of the 2017 18th International Conference on Electronic Packaging Technology (ICEPT), Harbin, China, 16–19 August 2017; pp. 1700–1707. [Google Scholar]
  17. Jang, J.; Jang, G.; Lee, J.; Cho, Y.; Cinar, Y. Fatigue life estimations of solid-state drives with dummy solder balls under vibration. Int. J. Fatigue 2016, 88, 42–48. [Google Scholar] [CrossRef]
  18. An, T.; Qin, F.; Zhou, B.; Chen, P.; Dai, Y.; Li, H.; Tang, T. Vibration lifetime estimation of PBGA solder joints using Steinberg model. Microelectron. Reliab. 2019, 102, 113474. [Google Scholar] [CrossRef]
  19. Cinar, Y.; Jang, J.; Jang, G.; Kim, S.; Jang, J.; Chang, J.; Jun, Y. Failure mechanism of FBGA solder joints in memory module subjected to harmonic excitation. Microelectron. Reliab. 2012, 52, 735–743. [Google Scholar] [CrossRef]
  20. Xu, F.; Li, C.; Jiang, T.; Zhang, D. Fatigue Life Prediction for PBGA under Random Vibration Using Updated Finite Element Models. Exp. Tech. 2016, 40, 1421–1435. [Google Scholar] [CrossRef]
  21. Lee, J.; Jeong, H.; Jang, G. Optimization of the Boundary Conditions of a Board Level Reliability Test Board to Maximize the Fatigue Life of Ball Grid Array Solder Joints under Thermal Cycling and Random Vibration. Materials 2024, 17, 755. [Google Scholar] [CrossRef] [PubMed]
  22. Doranga, S.; Ferdowsi, S.B.; Li, Y.; Khanal, M. A novel approach of fatigue testing and evaluation of electronic systems based on phase tracking. Microelectron. Reliab. 2024, 155, 115368. [Google Scholar] [CrossRef]
  23. Swanson, J.A.; DeSalvo, G.J. Ansys-Engineering Analysis System User’s Manual; Swanson Analysis Systems: Houston, PA, USA, 1985. [Google Scholar]
  24. Hu, X.; He, L.; Chen, H.; Lv, Y.; Gao, H.; Liu, J. The Effect of Electric-Thermal-Vibration Stress Coupling on the Reliability of Sn-Ag-Cu Solder Joints. J. Electron. Mater. 2022, 51, 284–294. [Google Scholar] [CrossRef]
  25. Jiao, H.; Liu, Y.; Sun, F.; Wu, N.; Fang, H. Solder interconnects reliability subjected to thermal-vibration coupling loading. J. Mater. Sci. Mater. Electron. 2019, 30, 11482–11492. [Google Scholar] [CrossRef]
  26. Zhang, H.; Liu, Y.; Wang, J.; Sun, F. Effect of elevated temperature on PCB responses and solder interconnect reliability under vibration loading. Microelectron. Reliab. 2015, 55, 2391–2395. [Google Scholar] [CrossRef]
  27. Zhang, H.; Liu, Y.; Wang, J.; Sun, F. Failure study of solder joints subjected to random vibration loading at different temperatures. J. Mater. Sci. Mater. Electron. 2015, 26, 2374–2379. [Google Scholar] [CrossRef]
  28. Wong, T.; Palmieri, F.; Reed, B.; Fenger, H.; Cohen, H.; Teshiba, K. Durability/reliability of BGA solder joints under vibration environment. In Proceedings of the 2000 Proceedings 50th Electronic Components and Technology Conference (Cat. No. 00CH37070), Las Vegas, NV, USA, 21–24 May 2000; pp. 1083–1088. [Google Scholar]
  29. Rebai, J.; El Hami, A.; Ghenam, S.; Ghorbel, A.; Feki, N.; Haddar, M. Fatigue life prediction of BGA solder joint of several alloy compositions under an isothermal harmonic vibration. Proc. Inst. Mech. Eng. Part C J. Mech. Eng. Sci. 2024. [Google Scholar] [CrossRef]
  30. Xie, D.; Zhang, A.; Kelly, B.; Lee, J.; Roucou, R.; Shi, X.; Doranga, S.; Khaldarov, V.; Hai, J. A New Vibration Test Method for Automotive and Consumer Electronic Devices: Calibration and Fatigue Test. In Proceedings of the 2023 IEEE 73rd Electronic Components and Technology Conference (ECTC), Orlando, FL, USA, 30 May–2 June 2023; pp. 289–296. [Google Scholar]
Figure 1. Detailed geometry of large test vehicle: (a) PCB and package (all dimensions are in mm) and (b) solder balls.
Figure 1. Detailed geometry of large test vehicle: (a) PCB and package (all dimensions are in mm) and (b) solder balls.
Electronics 14 00292 g001
Figure 2. Detailed geometry of small test vehicle.
Figure 2. Detailed geometry of small test vehicle.
Electronics 14 00292 g002
Figure 3. Detailed mesh model of the package: (a) global model, (b) local model, and (c) close-up view local model.
Figure 3. Detailed mesh model of the package: (a) global model, (b) local model, and (c) close-up view local model.
Electronics 14 00292 g003
Figure 4. Comparison of frequency response deformation for SAC305 and Innolot in large board at the center of the board.
Figure 4. Comparison of frequency response deformation for SAC305 and Innolot in large board at the center of the board.
Electronics 14 00292 g004
Figure 5. Comparison of frequency response deformation for SAC305 and Innolot in small board at the center of the board.
Figure 5. Comparison of frequency response deformation for SAC305 and Innolot in small board at the center of the board.
Electronics 14 00292 g005
Figure 6. Comparison of frequency response deformation for SAC305 and Innolot in large board at the solder ball.
Figure 6. Comparison of frequency response deformation for SAC305 and Innolot in large board at the solder ball.
Electronics 14 00292 g006
Figure 7. Comparison of frequency response deformation for SAC305 and Innolot in small board at the solder ball.
Figure 7. Comparison of frequency response deformation for SAC305 and Innolot in small board at the solder ball.
Electronics 14 00292 g007
Figure 8. Close-up view of frequency response deformation for SAC305 and Innolot in (a) small and (b) large boards at the center point of boards.
Figure 8. Close-up view of frequency response deformation for SAC305 and Innolot in (a) small and (b) large boards at the center point of boards.
Electronics 14 00292 g008
Figure 9. Input excitation for a global model at first mode resonance frequency.
Figure 9. Input excitation for a global model at first mode resonance frequency.
Electronics 14 00292 g009
Figure 10. Comparison of the steady state displacement for SAC305 and Innolot in (a) small board and (b) large board.
Figure 10. Comparison of the steady state displacement for SAC305 and Innolot in (a) small board and (b) large board.
Electronics 14 00292 g010
Figure 11. Von Mises stress distribution in MPa of solder balls of the packages under the random vibration. View of all solder balls and a close-up view of the corner.
Figure 11. Von Mises stress distribution in MPa of solder balls of the packages under the random vibration. View of all solder balls and a close-up view of the corner.
Electronics 14 00292 g011
Figure 12. Boundary of the local model of FEA. (a) Cut boundary, and (b) imported cut boundary constraint.
Figure 12. Boundary of the local model of FEA. (a) Cut boundary, and (b) imported cut boundary constraint.
Electronics 14 00292 g012
Figure 13. The stress counter of critical solder ball (MPa) on substrate interface in large board. (a) For SAC305 and (b) for Innolot.
Figure 13. The stress counter of critical solder ball (MPa) on substrate interface in large board. (a) For SAC305 and (b) for Innolot.
Electronics 14 00292 g013
Figure 14. The stress counter of critical solder ball (MPa) on PCB interface in large board. (a) For SAC305 and (b) for Innolot.
Figure 14. The stress counter of critical solder ball (MPa) on PCB interface in large board. (a) For SAC305 and (b) for Innolot.
Electronics 14 00292 g014
Figure 15. The stress counter of critical solder ball (MPa) on substrate interface in small board. (a) For SAC305 and (b) for Innolot.
Figure 15. The stress counter of critical solder ball (MPa) on substrate interface in small board. (a) For SAC305 and (b) for Innolot.
Electronics 14 00292 g015
Figure 16. The stress counter of critical solder ball (MPa) on PCB interface in small board. (a) For SAC305 and (b) for Innolot.
Figure 16. The stress counter of critical solder ball (MPa) on PCB interface in small board. (a) For SAC305 and (b) for Innolot.
Electronics 14 00292 g016
Figure 17. The equivalent stress of 1σ in small board. (a) For SAC305 and (b) for Innolot.
Figure 17. The equivalent stress of 1σ in small board. (a) For SAC305 and (b) for Innolot.
Electronics 14 00292 g017
Figure 18. The equivalent stress of 1σ in large board. (a) For SAC305 and (b) for Innolot.
Figure 18. The equivalent stress of 1σ in large board. (a) For SAC305 and (b) for Innolot.
Electronics 14 00292 g018
Table 1. Material properties used for the large board in FEA simulation [14].
Table 1. Material properties used for the large board in FEA simulation [14].
MaterialsYoung’s Modulus (Pa) Density   ( k g m 3 ) Poisson’s Ratio
PCB 1.56 × 10 10 19100.39
Substrate 1.65 × 10 10 19100.39
SAC305 5.1 × 10 10 74000.3
Silicon 6 × 10 10 23300.25
Table 2. Material properties used for the small board in FEA simulation [15].
Table 2. Material properties used for the small board in FEA simulation [15].
MaterialsYoung’s Modulus (Pa) Density   ( k g m 3 ) Poisson’s Ratio
PCB 1.56 × 10 10 19500.39
Substrate 1.5 × 10 10 19000.35
SAC305 5.1 × 10 10 74000.3
Silicon 6 × 10 10 23300.25
Table 3. Material properties for SAC305 and Innolot [16].
Table 3. Material properties for SAC305 and Innolot [16].
MaterialsYoung’s Modulus (Pa) Density   ( k g m 3 ) Poisson’s Ratio
SAC305 5.1 × 10 10 74000.3
Innolot 4 × 10 10 74000.36
Table 4. Comparison of displacement peaks for SAC305 and Innolot solder ball materials on large and small boards.
Table 4. Comparison of displacement peaks for SAC305 and Innolot solder ball materials on large and small boards.
Amplitude of VibrationsSmall BoardLarge Board
The Maximum Differences Between Two Peaks0.00024 mm0.0002 mm
Table 5. Maximum volume-averaged stress obtained from numerical simulations (a: large board, b: small board).
Table 5. Maximum volume-averaged stress obtained from numerical simulations (a: large board, b: small board).
Maximum Stress LocationsInnolotSAC305Maximum Stress LocationsInnolotSAC305
Maximum volume-averaged stress in the PCB side14.28 (MPa)11.42 (MPa)Maximum volume-average stress in the PCB side2.23 (MPa)2.14 (MPa)
Maximum volume-averaged stress in the package side13.24 (MPa)10.53 (MPa)Maximum volume-averaged stress in the package side2.034 (MPa)1.94 (MPa)
(a)(b)
Table 6. Lifetime prediction of SAC305 and Innolot-based solder alloy (failure location from the PCB side).
Table 6. Lifetime prediction of SAC305 and Innolot-based solder alloy (failure location from the PCB side).
Solder MaterialPC Board Used Stress   Amplitude   ( σ a ) Fatigue   Strength   Coefficient   ( σ f ) Fatigue Strength Exponent (b)No. of Cycles to Failure
InnolotSmall Board2.23 (MPa)56.94 (MPa)−0.11.1778 × 1014
Large Board14.28 (MPa)56.94 (MPa)−0.11.0523 × 106
SAC305Small Board2.14 (MPa)64.8 (MPa)−0.1443108,385 × 1010
Large Board11.42 (MPa)64.8 (MPa)−0.14431.6772 × 105
Table 7. Lifetime prediction of SAC305 and Innolot-based solder alloy (failure location from the package side).
Table 7. Lifetime prediction of SAC305 and Innolot-based solder alloy (failure location from the package side).
Solder MaterialPC Board UsedStress Amplitude (σa)Fatigue Strength Coefficient (σf)Fatigue Strength Exponent (b)No. of Cycles
InnolotSmall Board2.034 (MPa)56.94 (MPa)−0.12.9557 × 1014
Large Board13.24 (MPa)56.94 (MPa)−0.12.1642 × 106
SAC305Small Board1.94 (MPa)64.8 (MPa)−0.14433.6288 × 1010
Large Board10.53 (MPa)64.8 (MPa)−0.14432.943 × 105
Table 8. Ambient temperature mechanical properties of two solder alloys [16].
Table 8. Ambient temperature mechanical properties of two solder alloys [16].
AlloyYield Stress (MPa)UTS (MPa)Ductility %
SAC305 39.0 ± 3.1 50.8 ± 4.8 37.1 ± 2.4
Innolot 44.0 ± 4 81.2 ± 10.1 16.6 ± 1.3
Disclaimer/Publisher’s Note: The statements, opinions and data contained in all publications are solely those of the individual author(s) and contributor(s) and not of MDPI and/or the editor(s). MDPI and/or the editor(s) disclaim responsibility for any injury to people or property resulting from any ideas, methods, instructions or products referred to in the content.

Share and Cite

MDPI and ACS Style

Ferdowsi, S.B.; Doranga, S.; Li, Y. Comparison of the Reliability of SAC305 and Innolot-Based Solder Alloy in a Board-Level BGA Package Considering Harmonic and Random Vibration Environment. Electronics 2025, 14, 292. https://doi.org/10.3390/electronics14020292

AMA Style

Ferdowsi SB, Doranga S, Li Y. Comparison of the Reliability of SAC305 and Innolot-Based Solder Alloy in a Board-Level BGA Package Considering Harmonic and Random Vibration Environment. Electronics. 2025; 14(2):292. https://doi.org/10.3390/electronics14020292

Chicago/Turabian Style

Ferdowsi, Sima Besharat, Sushil Doranga, and Yueqing Li. 2025. "Comparison of the Reliability of SAC305 and Innolot-Based Solder Alloy in a Board-Level BGA Package Considering Harmonic and Random Vibration Environment" Electronics 14, no. 2: 292. https://doi.org/10.3390/electronics14020292

APA Style

Ferdowsi, S. B., Doranga, S., & Li, Y. (2025). Comparison of the Reliability of SAC305 and Innolot-Based Solder Alloy in a Board-Level BGA Package Considering Harmonic and Random Vibration Environment. Electronics, 14(2), 292. https://doi.org/10.3390/electronics14020292

Note that from the first issue of 2016, this journal uses article numbers instead of page numbers. See further details here.

Article Metrics

Back to TopTop