Next Article in Journal
AMFFNet: Adaptive Multi-Scale Feature Fusion Network for Urban Image Semantic Segmentation
Previous Article in Journal
Statistical Modeling of PPP-RTK Derived Ionospheric Residuals for Improved ARAIM MHSS Protection Level Calculation
 
 
Font Type:
Arial Georgia Verdana
Font Size:
Aa Aa Aa
Line Spacing:
Column Width:
Background:
Article

A Low-Loss and High-Bandwidth Horizontally Polarized Transition Between Rectangular Polymer Dielectric Waveguide and Microstrip Line for Array Application †

1
The State Key Laboratory of Radio Frequency Heterogeneous Integration, Shanghai Jiao Tong University, Shanghai 200240, China
2
The State Key Laboratory of Radio Frequency Heterogeneous Integration, Shenzhen University, Shenzhen 518060, China
*
Authors to whom correspondence should be addressed.
This paper is an extended version of our paper published in 2024 IEEE Asia-Pacific Microwave Conference under the title “Low-Loss Horizontally Polarized Transition Between Rectangular Dielectric Waveguide and Microstrip Line at W-Band”.
Electronics 2025, 14(12), 2345; https://doi.org/10.3390/electronics14122345
Submission received: 10 May 2025 / Revised: 3 June 2025 / Accepted: 4 June 2025 / Published: 8 June 2025
(This article belongs to the Section Circuit and Signal Processing)

Abstract

To achieve interconnects of rectangular polymer dielectric waveguides (PDWs) at the W-band, this paper presents a novel low-loss and high-bandwidth horizontally polarized transition between a rectangular PDW and a microstrip line (ML), which can achieve a rectangular PDW array. The proposed structure consists of a patch, a bent ridge waveguide, a tapered ridge waveguide, a dielectric-filled waveguide, and a tapered horn. An equivalent circuit model is established for synthesis design, and the transition is manufactured utilizing printed circuit board (PCB) and computerized numerical control (CNC) technologies. A rectangular PDW interconnect with two designed transitions is constructed and experiments are conducted. The measured results indicate that the rectangular PDW interconnect with two transitions operates within a frequency range (|S11| < −10 dB) of 81.9–108.2 GHz, and the insertion loss of the transition is 0.51–2.01 dB in this frequency range. Then, the designed transition is used to achieve a rectangular PDW array with two rectangular PDWs and two transitions, which has a far-end crosstalk (FEXT) of −55.4 to −21.7 dB in the frequency range of 78.1–110 GHz.

1. Introduction

With the advancement in 5G/6G communication, autonomous driving, artificial intelligence, and biomedical imaging, there has been an explosive surge in data volume [1,2]. To exploit extensive bandwidth, the operating frequency of high-speed interconnects has moved to the sub-terahertz (sub-THz) and terahertz (THz) bands. Recent studies have explored three primary types of high-speed interconnects: metal-based interconnects, optical fiber interconnects, and polymer dielectric waveguide (PDW) interconnects. Metal-based interconnects, compatible with technological progress, are widely utilized in microwave and millimeter-wave bands. Several research efforts have been conducted to enhance the bandwidth and data rate [3,4]. Nevertheless, for medium-distance transmission in sub-THz and THz bands, issues of metal loss and surface roughness remain significant [5]. Optical fiber interconnects, with the lowest loss and broadest bandwidth compared with other interconnects, are well suited for long-distance transmission. However, they face challenges of high photoelectric conversion loss and elevated costs, making them less suitable for medium-distance applications. Sub-THz and THz PDW interconnects address the limitations of metal-based and optical fiber interconnects in medium distance [6]. The use of materials such as flexible polymers [7,8,9] and high-permeability magnetic materials [10,11] facilitates the development of high-performance microwave/millimeter-wave devices. Sub-THz and THz PDW interconnects offer reduced loss and higher bandwidth compared with metal-based interconnects, and they are suitable for operation in sub-THz and THz bands, with lower transition loss and more cost-effective fabrication than optical fiber interconnects. Consequently, research on PDW interconnects has garnered growing interest.
A critical challenge for PDW interconnects lies in designing transitions with low insertion loss and high bandwidth between metal-based interconnects and PDWs, which includes transitions between on-chip interconnects [12,13,14] or on-board interconnects [15,16,17,18,19,20,21,22,23,24] and PDWs. In this research between on-board interconnects and PDWs, perpendicular transitions [15,16,17,18] were designed for PDWs that are vertical to the board, while horizontal transitions [19,20,21,22,23,24] were acquired for PDWs that are parallel to the board. As for horizontal transitions, the first type involves vertically polarized transitions [19,20,21], where the electric field vector in the PDW is perpendicular to the board with a substrate-integrated waveguide (SIW), a coplanar waveguide (CPW), or a microstrip line (ML). To reduce interference between two PDWs with the same vertical polarization mode, it is necessary to excite the horizontal polarization mode in one PDW. By leveraging the orthogonality between two modes, the interference between two PDWs can be reduced. Thus, the second type is horizontally polarized transitions [22,23,24], where the electric field vector in the PDW is parallel to the board. In Ref. [23], a horizontally polarized transition was designed between a ML and a hollow PDW, which incorporated a Yagi antenna-like structure with a tapered horn and achieved an insertion loss of 0.68–2.85 dB in the frequency range of 53–62.3 GHz. However, the limited bandwidth of the Yagi antenna-like structure constrains the bandwidth of the designed transition. The equivalent circuit model of the transition structure requires optimization to facilitate the transition design. Another research effort [24] focused on the design of a horizontally polarized transition between an ML and a rectangular PDW adopting a tapered slot line, with an insertion loss of 2–4.1 dB from 68 to 86 GHz. The lack of a shielding structure at the connection between the tapered slot line and the tapered PDW contributes to increased insertion loss due to undesired energy leakage and radiation. The design of this transition is carried out directly by performing a parameter sweep optimization for its structural dimensions. In summary, these horizontally polarized transitions reveal the research gap in achieving low loss and high bandwidth performance, and they are not employed in the PDW array. Moreover, their design method can be improved.
This work proposes a horizontally polarized transition with low loss and high bandwidth between an ML and a rectangular PDW. The proposed transition incorporates a patch, a bent ridge waveguide (BRW), a dielectric-filled waveguide (DW), and a tapered horn (TH). This work extends our previous work published at the conference [25], which showed the structure of the designed transition. In this article, the design procedure for the transition is proposed, which incorporates building the equivalent circuit model of the transition and then synthesizing the design of the transition based on the circuit model. It is implemented and manufactured by print circuit board (PCB) and computerized numerical control (CNC) technologies. Measurement results demonstrate that the proposed transition achieves an insertion loss of 0.51–2.01 dB in the frequency range (|S11| < −10 dB) of 81.9–108.2 GHz. Subsequently, two proposed transitions are applied for a rectangular PDW array with two adjacent rectangular PDWs. Measurement results show that the far-end crosstalk (FEXT) is from −55.4 to −21.7 dB in the frequency range of 78.1–110 GHz. Compared with the previous horizontally polarized transition, the innovations of this work to fill the research gap lie in the following three aspects: First, the insertion loss is reduced by employing a BRW with a high quality factor, and the coupling between the BRW and the patch is utilized to extend the bandwidth of the transition. Second, a coupled resonator circuit synthesis method is used for the transition design. Third, the designed transition is applied for a two-channel rectangular PDW array.

2. Structure of the Proposed Transition

The configuration of the proposed horizontally polarized transition between an ML and a rectangular PDW is given in Figure 1.
The transition is composed of a patch, a BRW, a TRW, a DW, and a TH. The three-dimensional diagram is shown in Figure 1a.
The longitudinal cross-section in Figure 1b reveals that the BRW, the TRW, the DW, and the TH have lengths hr +lr, lt, ld, and lh, respectively. The parameters hr and lr represent the vertical height and horizontal length of the BRW, respectively. The length hr +lr of the BRW affects its resonant frequency. The length lt of the TRW affects the coupling between the BRW and the DW. The length ld of the DW affect affects the impedance matching between the TRW and the TH. The length lh of the TH affects the impedance matching between the DW and the rectangular PDW.
There are three transverse cross sections, including T1 between the patch and the BRW, T2 between the TRW and the DW, and T3 between the TH and the rectangular PDW, as depicted in Figure 1c–e. In Figure 1c, the ML has width wm, the patch has width wp and length lp, and the gap has spacing dg. The rectangular patch in the pad has width wp and length ls. The step is between the ML and the patch. The BRW has width wt. Two ridges have spacing dr and width sr. The length lp of the patch affects its resonant frequency, and the width wp of the patch affects its coupling with the ML. The spacing dr of ridges in the BRW also affects its resonant frequency. The spacing dg of the gap affects the coupling between the patch and the BRW.
In Figure 1d, the TRW has cross-sectional size at × bt, and the ridges have width sr. Two ridges have the spacing changed from dr to dt. The spacing dt of the TRW also affects the coupling between the BRW and the DW.
In Figure 1e, the DW and the TH have cross-sectional sizes ar × br and ah × bh, respectively. The cross-sectional size ah × bh of the TH also affects the impedance matching between the DW and the rectangular PDW.

3. Equivalent Circuit Model and Design

3.1. Equicalent Circult Model

An equivalent circuit model of the proposed transition is established and shown in Figure 2. Since the topological structure is identical, the established equivalent circuit model was utilized in our previous work [18].
The equivalent circuit model primarily consists of two parallel resonant circuits, which form a second-order coupled resonant circuit.
The open-circuited patch is a half-wavelength transmission line resonator, and the BRW with one shorted end and one open end is similar to a short-circuited three-quarter- wavelength transmission line resonator. They are equivalent to two parallel resonant circuits [26].
Due to the existing impedance discontinuity and coupling between the ML and the patch resonator, as well as between the BRW resonator and the DW, the step and the TRW are equivalent to two transformers [27].
The coupling between the patch resonator and the BRW resonator can be modeled by a π-network with capacitors [28], which is a one implementation of an admittance inverter [26]. The gap is equivalent to an admittance inverter.
The patch is regarded as a parallel resonant circuit with capacitance Cp, inductance Lp, and resonant frequency fp. The BRW is regarded as a parallel resonant circuit with capacitance Cr, inductance Lr, and resonant frequency fr.
The step is regarded as a transformer with turn ratio N1. The external quality factor Qe1 of the LpCp resonant circuit at the ML with characteristic impedance Zm is [29]:
Q e 1 = Z m 2 π f p C p N 1 2
The TRW is regarded as a transformer with turn ratio N2. When the effect of the TH is ignored, the external quality factor Qe2 of the LrCr resonant circuit at the DW with characteristic impedance Zd is [29]:
Q e 2 = Z d 2 π f r C r N 2 2
The gap is regarded as an admittance inverter with characteristic admittance J. The coupling coefficient M12 between the two resonant circuits is [30]:
M 12 = J 2 π f p f r C p C r
The external quality factors Qe1 and Qe2, and the coupling coefficient M12 can be extracted from simulated S-parameters [18].

3.2. Design of the Proposed Transition

Based on the equivalent circuit model, the circuit synthesis method is used to design the proposed transition between a rectangular PDW and an ML. The design procedure is depicted in Figure 3.
In the first step, the design objectives are determined, which have center frequency f0, maximum reflection coefficient |S11max|, and fractional bandwidth FBW.
In the second step, the external quality factors Qe1 and Qe2, and the coupling coefficient M12 are synthesized from the design objectives. Using the second-order coupled resonator circuit synthesis method [30], the synthesized parameters Qe1, Qe2, and M12 are given by:
Q e 1 = g 0 g 1 F B W
Q e 2 = g 1 g 2 F B W
M 12 = F B W g 1 g 2
where g0, g1, g2, and g3 are the element values of the Chebyshev lowpass prototype filter.
In the third step, an equivalent circuit model of the proposed transition is established, as shown in Figure 2. The parameters of the circuit model can be extracted from the full-wave simulated S-parameters of the patch, BRW, TRW, and gap.
In the fourth step, the design method in Ref. [18] is used. The dimensions of the patch are optimized by full-wave simulation to extract the resonant frequency fp and external quality factor Qe1. The dimensions of the BRW and TRW are optimized to extract the resonant frequency fr and external quality factor Qe2. The dimension of the gap is optimized to extract the coupling coefficient M12. The optimization of dimensions is completed when the extracted parameters fp, fr, Qe1, Qe2, and M12 match the center frequency f0 and synthesized parameters Qe1, Qe2, and M12 from Equations (4)–(6), and the optimized dimensions are adopted as the final design dimensions of the transition.
In the fifth step, the optimized TH [18,21] is connected to the DW. Full-wave simulation is carried out for the transition, and the length of the DW is optimized to achieve high return loss of the transition.
In the sixth step, the propagated modes and field distribution in the designed transition are analyzed by full-wave simulation.

4. Experiment

4.1. Implementation and Simulation

The pad, patch, and ML are implemented and manufactured by PCB technology with a single layer of RO3003 substrate. It has a dielectric constant of 3, a loss tangent of 0.001, and a thickness of 0.127 mm. Copper with a conductivity of 5.8 × 107 S/m is used. The BRW, TRW, DW, and TH are implemented and manufactured by CNC technology with the material of copper. The material of the rectangular PDW is high-density polyethylene (HDPE) with a relative permittivity of 2.25 and a loss tangent of 0.0005 at 85 GHz [31,32]. The width wm of the ML is 0.28 mm for a 50 Ω characteristic impedance. The cross-sectional size of the rectangular PDW is 2.4 × 1.2 mm2, which operates with the E 11 y mode at the W-band.
In the first step, the design objectives are set, with the center frequency f0 = 95 GHz, the maximum reflection coefficient |S11max| = −20 dB, and the fractional bandwidth FBW = 25%.
In the second step, the parameters Qe1, Qe2, and M12 are synthesized from the design objectives, including Qe1 = Qe2 = 2.667 and M12 = 0.415.
In the third step, an equivalent circuit model of the proposed transition is established with the parameters N1, Cp, Lp, J, Cr, Lr, N2, Qe1, fp, M12, fr, and Qe2, which can be extracted from full-wave simulated S-parameters of the patch, BRW, TRW, and gap. The full-wave simulation software HFSS 2020 is used in the design.
In the fourth step, the design method in Ref. [18] is used. The sizes of the patch, BRW, TRW, and gap are optimized by full-wave simulation to achieve fp = fr = 95 Ghz, Qe1 = 2.74, Qe2 = 2.91, and M12 = 0.41, which are extracted from the simulated S-parameters of the patch, BRW, TRW, and gap. The extracted resonant frequencies fp and fr equal the center frequency f0. The extracted parameters Qe1, Qe2, and M12 are close to the synthesized parameters Qe1, Qe2, and M12. The corresponding values of circuit parameters N1, Cp, Lp, J, Cr, Lr, and N2 are shown in Table 1. The optimized dimensions are shown in Table 2. The circuit analyzed and the full-wave simulated S-parameters of the transition without the TH are consistent with the design objectives, as shown in Figure 4. In the design, the designed parameters Qe1 and Qe2 exceed its corresponding synthesized values by 0.073 and 0.243, respectively, while the designed parameter M12 is 0.005 smaller than its synthesized value. The differences between the designed parameters and the synthesized parameters result in discrepancies between the circuit analyzed results and the design objectives. The errors between the full-wave simulated results and the circuit analyzed results are introduced by approximating the distributed elements as lumped elements and ignoring the dielectric loss and conductor loss in the circuit model. To reduce these errors, resistive components can be added to the circuit model to model the dielectric loss and conductor loss. The full-wave simulated results show that the return loss is larger than 14.3 dB in the frequency range of 83.7 to 107.2 GHz. The center frequency is 95.5 GHz, and the FBW is 24.6%.
In the fifth step, the optimized TH [18,21] is connected to the DW to form the transition. The simulated S-parameters of the transition with different lengths ld of the DW are shown in Figure 5. The variations in length ld have a minor impact on the insertion loss. Considering both bandwidth and return loss, the length ld is determined to be 1.5 mm. The return loss is larger than 16.2 dB in the frequency range of 84.8 to 104.8 GHz. The center frequency is 94.8 GHz, and the FBW is 21.1%. The designed results are close to the design objectives. The differences between the implemented results and the design objectives are due to the errors in the synthesis process and the presence of the TH. In addition, the implemented transition has a return loss larger than 10 dB in the frequency range of 82.1 to 110 GHz, an FBW of 29.1%, and an insertion loss of 0.42–1.01 dB in the frequency range.
The full-wave simulated E-field distributions from the sixth step are shown in Figure 6. Figure 6a is the transverse E-field distributions of the transition at 95 GHz. The quasi-TEM mode in the ML is transformed to the quasi-TE10 mode in the BRW, then the TE10 mode in the DW, the hybrid mode in the TH, and the E 11 y mode in the rectangular PDW. The horizontal polarization in the DW is achieved after the BRW, resulting in horizontal polarization in the rectangular PDW. Figure 6b shows the longitudinal E-field distribution of the transition at 95 GHz, which indicates that the energy is propagated from the ML to the rectangular PDW smoothly. So far, the implementation of the transition is completed.
To discuss the impact of manufacturing tolerances, the tolerances are set to ± 20 μm. The simulated S-parameters without tolerances (lines) and with tolerances (shadowed regions) are shown in Figure 7 by the method in Ref. [33]. Due to the impact of manufacturing tolerances, the most degraded frequency range of 83.4–107 GHz is achieved, which is still a high bandwidth for the second-order coupled resonator structure. Within the frequency range, the insertion loss varies between 0.37 and 1.03 dB. Hence, despite the influence introduced by manufacturing tolerances, the proposed design maintains low loss and high bandwidth performance.

4.2. Manufacture and Measurement

The manufactured and assembled transition is illustrated in Figure 8. The ML, patch, and pad are manufactured using PCB technology, as depicted in Figure 8a, while the BRW, TRW, DW, and TH are manufactured by CNC machining, as shown in Figure 8b. The assembly of the proposed transition utilizes screws, metallic dowel pins, and metallic sheets, as presented in Figure 8c.
Measurement of the proposed transition is conducted using the AV3672B vector network analyzer (VNA) with two AV3645A frequency extenders (Ceyear, Qingdao, China). Two designed transitions connecting a rectangular PDW are prepared for measurement in Figure 9a. The rectangular PDW has a length of 20 cm, which was measured in previous work [18,21]. The measurement setup of the rectangular PDW with two transitions is shown in Figure 9b. Two proposed transitions are connected to the two frequency extenders using MLs, end-launch connectors, coaxial cables, and waveguide–coaxial adapters. Plane 1 is located between the rectangular waveguide (RWG) and the adapter, and plane 2 is located between the ML and the transition.
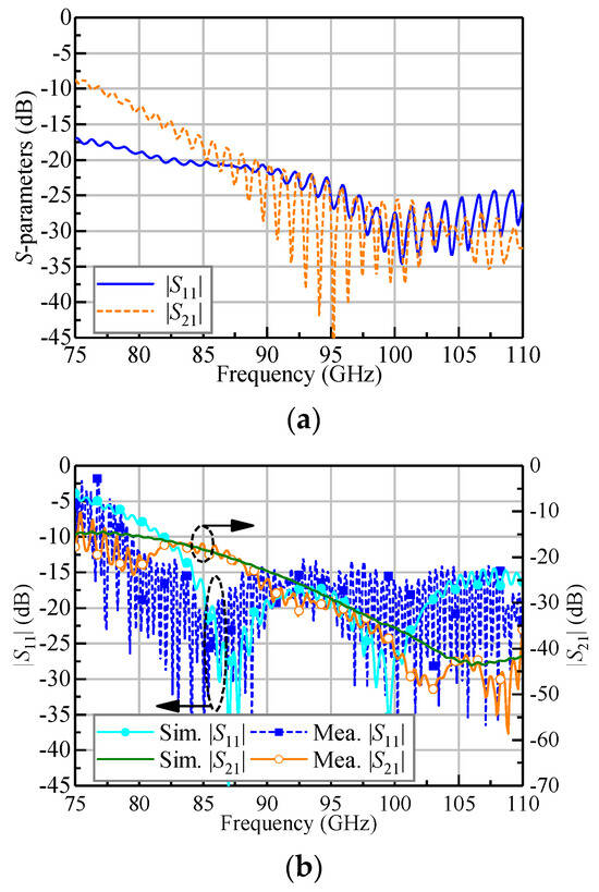
The measurement process is carried out in two steps. First, two proposed transitions connecting the rectangular PDW are measured. The VNA with two extenders is calibrated to the RWG port (plane 1) using the standard short-open-load-thru (SOLT) method. The S-parameters between two planes 1 are measured. Subsequently, ML structures of thru-reflect-line (TRL) calibration are manufactured and measured, which are used to de-embed the measured S-parameters (between two planes 1) to the ML port (plane 2). The influences of MLs, connectors, cables, and adapters are eliminated, and the measured S-parameters (between two planes 2) of two transitions with the rectangular PDW are obtained, as depicted in Figure 10a. The measurement results indicate the insertion loss of 2.1 dB at 96.9 GHz, with a frequency range (|S11| < −10 dB) of 81.9 to 108.2 GHz. Second, the |S21| of the proposed transition can be obtained by subtracting the channel loss of the rectangular PDW from the measured S-parameters of two transitions with the rectangular PDW, as shown in Figure 10b. Within the frequency range of 81.9–108.2 GHz, the transition exhibits an insertion loss of 0.51 to 2.01 dB, which is consistent with the simulated results. The deviation between the simulated and measured insertion loss is primarily attributed to errors in fabrication, assembly, and measurement.
To analyze the measurement uncertainty of the rectangular RDW with transitions, including contributions from the instrument precision and calibration, environmental conditions, and measurement procedure, multiple repeated measurements of the interconnect are conducted. The measured results of the prototype with the best overall performance (lines) and the prototype with measurement uncertainty (shadowed regions) are shown in Figure 11. Considering the measurement uncertainty, the frequency range of the rectangular RDW and transitions is limited to 82.3–107.3 GHz, and the insertion loss of the transition is from 0.42 to 2.23 dB in the frequency range. The results indicate that the measurement uncertainty has little impact on the measured results.
The FEXT measurement between two rectangular PDWs with two designed transitions is conducted using the same equipment and measurement process between the two planes 2 in Figure 9b. To avoid the necessity of a four-port VNA with four extenders, the FEXT measurement adopts the solution to leave the unused ports open [28,34]. By employing tapered open ends for rectangular PDWs, the electromagnetic wave can radiate efficiently into free space, effectively minimizing the reflection at the end. This behavior is functionally equivalent to a matched load. A two-port VNA with two extenders can meet measurement requirements. The measurement setup of the FEXT between two rectangular PDWs is shown in Figure 12, which includes two designed transitions and two rectangular PDWs with a length of 10 cm and a center-to-center spacing of 7 mm.
The simulated and measured S-parameters are depicted in Figure 13. In Figure 13a, the full-wave simulated results of two rectangular PDWs without transitions show that the FEXT is from −35.5 to −11.5 dB at the W-band. In Figure 13b, the measured S-parameters (between two planes 2) of two rectangular PDWs with two designed transitions show that the FEXT is from −55.4 to −21.7 dB in the frequency range (|S11| < −10 dB) of 78.1–110 GHz, which agrees with the simulated results. The simulated and measured results show that two rectangular PDWs with transitions exhibit lower FEXT compared with two rectangular PDWs without transitions.
To analyze the measurement uncertainty of two rectangular PDWs with transitions, multiple repeated measurements of the PDW array are conducted. The measured results of the prototype with the best overall performance (lines) and the prototype with measurement uncertainty (shadowed regions) are shown in Figure 14. Considering the measurement uncertainty, the frequency range of the rectangular RDW array is limited to 80.7–110 GHz, and FEXT is from −57.2 to −17.7 dB in the frequency range. The results indicate that the measurement uncertainty has little impact on the measured results.

5. Discussion

The proposed transition is compared with the state of the art in Table 3. The vertically polarized transitions [19,20,21] are suitable for connections when the polarization in a PDW is vertical to a metal-based interconnect on board, and other horizontally polarized transitions [23,24] are suitable for connections when the polarization in a PDW is horizontal to a metal-based interconnect on board. The proposed transition employs an H-plane BRW instead of an E-plane BRW [21] to achieve the horizontally polarized transition, and they exhibit similar bandwidth and insertion loss. The horizontally polarized transition exhibits a limited bandwidth of 9.3 GHz due to the constraint of the narrowband Yagi antenna-like structure [23]. The proposed transition adopts the coupled patch resonator and BRW resonator to expand the transition bandwidth. The bandwidth of the proposed transition is 26.3 GHz, which achieves a 17 GHz improvement in bandwidth compared with the transition with the Yagi antenna-like structure. Another horizontally polarized transition with tapered structures lacks shielding structures in the connection between the tapered slot line and the tapered PDW, which results in energy leakage and increased loss [24]. The proposed transition adopts a BRW with a high quality factor and a TH to reduce energy leakage at connections, which results in a reduction in insertion loss of greater than 1.4 dB compared with the transition with tapered structures. Meanwhile, the proposed transition with a coupled resonator structure achieves an 8.3 GHz increase in bandwidth. Moreover, an equivalent circuit model is established to synthesize the design of the proposed transition. Compared with the state of the art, the proposed transition is applied to achieve a rectangular PDW array between boards.

6. Conclusions

In this paper, a low-loss and high-bandwidth horizontally polarized transition between an ML and a rectangular PDW is designed, which includes a patch, a BRW, a TRW, a DW, and a TH. The transition is implemented based on an equivalent circuit model and synthesis method. Measurement results show that the transition has an insertion loss of 0.51–2.01 dB from 81.9 to 108.2 GHz. Meanwhile, FEXT measurement between two rectangular PDWs can be achieved using the proposed horizontally polarized transition. The proposed transition with low insertion loss and high bandwidth is suited for rectangular PDW-based high-speed data transmission.

Author Contributions

Conceptualization, H.Z. and X.L.; methodology, H.Z.; validation, H.Z., X.L., C.S., and K.N.; formal analysis, H.Z., C.S., and K.N.; investigation, H.Z.; resources, X.L.; data curation, C.S. and K.N.; writing—original draft preparation, H.Z.; writing—review and editing, H.Z. and X.L.; funding acquisition, X.L. All authors have read and agreed to the published version of the manuscript.

Funding

This research was funded by the National Natural Science Foundation of China under grants 62371284 and 62188102.

Data Availability Statement

Data are contained within the article.

Conflicts of Interest

The authors declare no conflicts of interest.

References

  1. Gu, Q.J. Sub-THz/THz interconnect complement to electrical and optical interconnects: Addressing fundamental challenges related to communication distances. IEEE Solid State Circuits Mag. 2020, 12, 20–32. [Google Scholar] [CrossRef]
  2. Strömbeck, F.; Yan, Y.; Zirath, H. A Beyond 100-Gbps Polymer Microwave Fiber Communication Link at D-Band. IEEE Trans. Circuits Syst. I. Reg. Papers 2023, 70, 3017–3028. [Google Scholar] [CrossRef]
  3. Wang, Y.Y.; Ma, K.X.; Wang, Y.Q.; Xu, J.T. Wideband Millimeter-Wave Substrate Integrated Suspended Twisted Line for High-Speed Transmission. IEEE Trans. Compon. Packag. Manuf. Technol. 2022, 12, 1959–1968. [Google Scholar] [CrossRef]
  4. Shin, J.; Eslampour, H.; Jeong, S.; Kim, W.; Yong, S.; Ahn, S.; Park, E.; Song, S. Signal Integrity of Die-to-Die Interface with Advanced Packages for Co-Packaged Optics. In Proceedings of the 2024 IEEE 33rd Conference on Electrical Performance of Electronic Packaging and Systems (EPEPS), Toronto, ON, Canada, 6–9 October 2024; pp. 1–3. [Google Scholar]
  5. Holloway, J.W.; Dogiamis, G.C.; Han, R. Innovations in terahertz interconnects: High-speed data transport over fully electrical terahertz waveguide links. IEEE Microw. Mag. 2020, 21, 35–50. [Google Scholar] [CrossRef]
  6. Wit, M.D.; Ooms, S.; Philippe, B.; Zhang, Y.; Reynaert, P. Polymer microwave fibers: A new approach that blends wireline, optical, and wireless communication. IEEE Microw. Mag. 2020, 21, 51–66. [Google Scholar] [CrossRef]
  7. Geiger, M.; Grüner, P.; Fischer, M.; Dürr, A.; Chaloun, T.; Waldschmidt, C. A Multimodal Dielectric Waveguide-Based Monopulse Radar at 160 GHz. IEEE Trans. Microw. Theory Tech. 2020, 68, 4825–4834. [Google Scholar] [CrossRef]
  8. Lumia, M.; Bragaglia, M.; Nanni, F.; Valeri, M.; Bouzekri, O.; Calignano, F.; Manfredi, D.; Addamo, G.; Paonessa, F.; Peverini, O.A. Investigation into Applicability of 3D-Printed Composite Polymers with Enhanced Mechanical Properties in the Development of Microwave Components. Electronics 2025, 14, 1865. [Google Scholar] [CrossRef]
  9. Atanasov, N.T.; Atanasov, B.N.; Atanasova, G.L. Flexible Wearable Antenna for IoT-Based Plant Health Monitoring. Electronics 2024, 13, 2956. [Google Scholar] [CrossRef]
  10. Wu, Y.; Yeng, I.; Yu, H. The improvement of CoZrTaB thin films on different substrates for flexible device applications. AIP Adv. 2021, 11, 025139. [Google Scholar] [CrossRef]
  11. Sturcken, N.; Davies, R.; Wu, H.; Lekas, M.; Shepard, K.; Cheng, K.W.; Chen, C.C.; Su, Y.S.; Tsai, C.Y.; Wu, K.D.; et al. Magnetic thin-film inductors for monolithic integration with CMOS. In Proceedings of the 2015 IEEE International Electron Devices Meeting (IEDM), Washington, DC, USA, 7–9 December 2015; pp. 11.4.1–11.4.4. [Google Scholar]
  12. Geiger, M.; Hitzler, M.; Mayer, W.; Waldschmidt, C. Self-Aligning and Flexible Dielectric Waveguide Plug for MMICs at G-Band. IEEE Microw. Wirel. Compon. Lett. 2020, 30, 261–264. [Google Scholar] [CrossRef]
  13. Dogiamis, G.C.; Brown, T.W.; Gaunkar, N.P.; Nam, Y.S.; Rane, T.S.; Ravikumar, S.; Neeli, V.B.; Chou, J.C.; Rami, S.; Swan, J. A 120-Gb/s 100–145-GHz 16-QAM dual-band dielectric waveguide interconnect with package integrated diplexers in Intel 16. IEEE Solid-State Circuits Lett. 2022, 5, 178–181. [Google Scholar] [CrossRef]
  14. Galler, T.; Chaloun, T.; Mayer, W.; Kröhnert, K.; Ambrosius, N.; Schulz-Ruhtenberg, M.; Waldschmidt, C. MMIC-to-Dielectric Waveguide Transitions for Glass Packages Above 150 GHz. IEEE Trans. Microw. Theory Tech. 2023, 71, 2807–2817. [Google Scholar] [CrossRef]
  15. Wit, M.D.; Zhang, Y.; Reynaert, P. Analysis and design of a foam-cladded PMF link with phase tuning in 28-nm CMOS. IEEE J. Solid-State Circuits 2019, 54, 1960–1969. [Google Scholar] [CrossRef]
  16. Häseker, J.S.; Schneider, M. 90 Degree Microstrip to Rectangular Dielectric Waveguide Transition in the W-Band. IEEE Microw. Wirel. Compon. Lett. 2016, 26, 416–418. [Google Scholar] [CrossRef]
  17. Dorbath, B.; Distler, F.; Schür, J.; Vossiek, M. Ultra-low-loss interconnection between dielectric and planar transmission line technologies for millimeter-wave applications. In Proceedings of the 2020 German Microwave Conference (GeMiC), Cottbus, Germany, 9–11 March 2020; pp. 64–67. [Google Scholar]
  18. Zhan, H.B.; Li, X.C.; Sun, C.S.; Ning, K. Low-loss perpendicular transition between rectangular dielectric waveguide and microstrip line at W-band. IEEE Trans. Microw. Theory Tech. 2025, 73, 2823–2831. [Google Scholar] [CrossRef]
  19. Liu, C.Y.; Wu, T.L. Vertically Polarized Planar Transition for Hollow-Dielectric-Waveguide-Based 5G/6G High-Speed mm-Wave Interconnect. IEEE Microw. Wirel. Techn. Lett. 2023, 33, 7–10. [Google Scholar] [CrossRef]
  20. Tsai, W.L.; Ocket, I.; Vaes, J.; Cauwe, M.; Reynaert, P.; Nauwelaers, B. Novel broadband transition for rectangular dielectric waveguide to planar circuit board at d band. In Proceedings of the 2018 IEEE MTT-S International Microwave Symposium (IMS), Philadelphia, PA, USA, 10–15 June 2018; pp. 386–389. [Google Scholar]
  21. Zhan, H.B.; Li, X.C.; Sun, C.S. Low-Loss Horizontal Transition Between Rectangular Dielectric Waveguide and Microstrip Line at W-Band. IEEE Microw. Wirel. Techn. Lett. 2024, 34, 371–374. [Google Scholar] [CrossRef]
  22. Fukuda, S.; Hino, Y.; Ohashi, S.; Takeda, T.; Shinke, S.; Uno, M.; Komor, K.i; Akiyama, Y.; Kawasaki, K.; Hajimiri, A. A 12.5+12.5 Gb/s full-duplex plastic waveguide interconnect. IEEE J. Solid-State Circuits 2011, 46, 3113–3125. [Google Scholar] [CrossRef]
  23. Liu, C.Y.; Ding, H.E.; Wu, S.H.; Wu, T.L. Extremely low-loss planar transition from hollow dielectric waveguide to printed circuit board for millimeter-wave interconnect. IEEE Trans. Microw. Theory Tech. 2021, 69, 4010–4020. [Google Scholar] [CrossRef]
  24. Ocket, I.; Cauwe, M.; Nauwelaers, B. Millimeter wave planar transition from plastic rectangular waveguide to 1 mm coax. In Proceedings of the 2016 IEEE MTT-S International Microwave Symposium (IMS), San Francisco, CA, USA, 22–27 May 2016; pp. 1–4. [Google Scholar]
  25. Zhan, H.B.; Li, X.C.; Sun, C.S.; Ning, K. Low-Loss Horizontally Polarized Transition Between Rectangular Dielectric Waveguide and Microstrip Line at W-Band. In Proceedings of the 2024 IEEE Asia-Pacific Microwave Conference (APMC), Bali, Indonesia, 17–20 November 2024; pp. 1272–1274. [Google Scholar]
  26. Pozar, D.M. Microwave Engineering, 4th ed.; Wiley: Hoboken, NJ, USA, 2012; pp. 278–288. [Google Scholar]
  27. Yang, L.; Zhu, L.; Choi, W.W.; Tam, K.W. Analysis and design of wideband microstrip-to-microstrip equal ripple vertical transitions and their application to bandpass filters. IEEE Trans. Microw. Theory Tech. 2017, 65, 2866–2877. [Google Scholar] [CrossRef]
  28. Dey, U.; Hesselbarth, J. Millimeter-Wave Dielectric Slab-Based Chip-to-Chip Interconnect Network Allowing for Relaxed Assembly Tolerances. IEEE Trans. Compon. Packag. Manuf. Technol. 2021, 11, 493–503. [Google Scholar] [CrossRef]
  29. Sun, J.X.; Cheng, Y.J.; Wang, L.; Fan, Y. Three-dimensional interconnection with magnetically coupled transition for W-Band integration applications. IEEE Trans. Microw. Theory Tech. 2023, 71, 112–121. [Google Scholar] [CrossRef]
  30. Hong, J.S.; Lancaster, M.J. Microstrip Filters for RF/Microwave Applications, 2nd ed.; Wiley: Hoboken, NJ, USA, 2001; pp. 131–132. [Google Scholar]
  31. Elhawil, A.; Zhang, L.; Stiens, J.; Vounckx, R. A quasi-optical free-space method for dielectric constant characterization of polymer materials in mm-wave band. In Proceedings of the Symposium IEEE LEOS Benelux Chapter, Brussels, Belgium, 17–18 December 2007; pp. 187–190. [Google Scholar]
  32. Distler, F.; Oppelt, D.; Schür, J.; Vossiek, M. Design and characterization of a compact and robust shielded dielectric waveguide for mmw applications. In Proceedings of the 2018 11th German Microwave Conference (GeMiC), Freiburg, Germany, 12–14 March 2018; pp. 375–378. [Google Scholar]
  33. Meyer, A.; Schneider, M. Robust design of a broadband dual-polarized transition from PCB to circular dielectric waveguide for mm-wave applications. Int. J. Microw. Wirel. Tech. 2020, 12, 559–566. [Google Scholar] [CrossRef]
  34. Liu, C.Y.; Ding, H.E.; Wu, S.H.; Wu, T.L. Significant Crosstalk Reduction in High-Density Hollow Dielectric Waveguides by Photonic Crystal Fence. IEEE Trans. Microw. Theory Tech. 2021, 69, 1316–1326. [Google Scholar] [CrossRef]
Figure 1. The proposed transition: (a) three-dimensional diagram; (b) longitudinal cross-section; (c) transverse cross-section T1; (d) transverse cross-section T2; (e) transverse cross-section T3.
Figure 1. The proposed transition: (a) three-dimensional diagram; (b) longitudinal cross-section; (c) transverse cross-section T1; (d) transverse cross-section T2; (e) transverse cross-section T3.
Electronics 14 02345 g001
Figure 2. Equivalent circuit model of the proposed transition [18].
Figure 2. Equivalent circuit model of the proposed transition [18].
Electronics 14 02345 g002
Figure 3. Design procedure of the transition.
Figure 3. Design procedure of the transition.
Electronics 14 02345 g003
Figure 4. The design objectives and S-parameters of the transition without the TH.
Figure 4. The design objectives and S-parameters of the transition without the TH.
Electronics 14 02345 g004
Figure 5. Full-wave simulated S-parameters of the transition with different lengths of DW.
Figure 5. Full-wave simulated S-parameters of the transition with different lengths of DW.
Electronics 14 02345 g005
Figure 6. Simulated E-field distributions: (a) transverse E-field; (b) longitudinal E-field.
Figure 6. Simulated E-field distributions: (a) transverse E-field; (b) longitudinal E-field.
Electronics 14 02345 g006
Figure 7. Simulated results without tolerances (lines) and with tolerances (shadowed regions).
Figure 7. Simulated results without tolerances (lines) and with tolerances (shadowed regions).
Electronics 14 02345 g007
Figure 8. Manufactured transition: (a) ML, patch, and pad; (b) BRW, TRW, DW, and TH; (c) assembly.
Figure 8. Manufactured transition: (a) ML, patch, and pad; (b) BRW, TRW, DW, and TH; (c) assembly.
Electronics 14 02345 g008
Figure 9. Measurement: (a) two transitions connecting a rectangular PDW; (b) measurement setup.
Figure 9. Measurement: (a) two transitions connecting a rectangular PDW; (b) measurement setup.
Electronics 14 02345 g009
Figure 10. Simulated and measured results: (a) rectangular PDW with two transitions; (b) transition.
Figure 10. Simulated and measured results: (a) rectangular PDW with two transitions; (b) transition.
Electronics 14 02345 g010
Figure 11. Measured results of the prototype with the best overall performance (lines) and the prototype with measurement uncertainty (shadowed regions): (a) rectangular PDW with two transitions; (b) transition.
Figure 11. Measured results of the prototype with the best overall performance (lines) and the prototype with measurement uncertainty (shadowed regions): (a) rectangular PDW with two transitions; (b) transition.
Electronics 14 02345 g011
Figure 12. Measurement setup of two rectangular PDWs with transitions.
Figure 12. Measurement setup of two rectangular PDWs with transitions.
Electronics 14 02345 g012
Figure 13. Simulated and measured results: (a) two rectangular PDWs; (b) two rectangular PDWs with two transitions.
Figure 13. Simulated and measured results: (a) two rectangular PDWs; (b) two rectangular PDWs with two transitions.
Electronics 14 02345 g013
Figure 14. Measured results of the prototype with the best overall performance (lines) and the prototype with measurement uncertainty (shadowed regions) for two rectangular PDWs with transitions.
Figure 14. Measured results of the prototype with the best overall performance (lines) and the prototype with measurement uncertainty (shadowed regions) for two rectangular PDWs with transitions.
Electronics 14 02345 g014
Table 1. Parameters of the equivalent circuit model.
Table 1. Parameters of the equivalent circuit model.
ParametersValuesParametersValuesParametersValues
N11.068Cr5.0999 × 10−14 Ffp95 GHz
Cp1.0526 × 10−13 FLr5.5034 × 10−11 HM120.41
Lp2.6663 × 10−11 HN21.31fr95 GHz
J0.017 SQe12.74Qe22.91
Table 2. Dimensions of the implemented transition. Unit: mm.
Table 2. Dimensions of the implemented transition. Unit: mm.
ParametersValuesParametersValuesParametersValuesParametersValues
wm0.28ar2.4br1.2wp0.8
lp0.88dr0.1sr0.4wt2
dt0.6at2bt1.2hr1.4
lr0.9lt1.2dg0.1lh8
ah6.5bh6.5ld1.5--
Table 3. Comparison of the proposed transition and the state of the art.
Table 3. Comparison of the proposed transition and the state of the art.
TypePolarizationSubstrateSubstrate
Thickness (mm)
MetalFrequency Range 1 (GHz)Return Loss 2 (dB)Insertion Loss 3 (dB)
SIW-HDW 4 [19]VerticallyTU933+0.75Copper, Al54–66100.48–1.87
CPW-RDW 5 [20]VerticallyRogers 58800.508Copper, Al128–139102.0–2.7
ML-RDW [21]VerticallyRogers 30030.127Copper, Al79–108100.52–2.36
ML-HDW [23]Horizontally-0.2Copper, Al53–62.3100.68–2.85
ML-RDW [24]HorizontallyLCP0.1Copper68–86102.0–4.1
Proposed ML-RDWHorizontallyRogers 30030.127Copper, Al81.9–108.2100.51–2.01
1 Frequency range of PDW with two transitions. 2 Return loss of PDW with two transitions. 3 Insertion loss of transition. 4 Hollow PDW. 5 Rectangular PDW.
Disclaimer/Publisher’s Note: The statements, opinions and data contained in all publications are solely those of the individual author(s) and contributor(s) and not of MDPI and/or the editor(s). MDPI and/or the editor(s) disclaim responsibility for any injury to people or property resulting from any ideas, methods, instructions or products referred to in the content.

Share and Cite

MDPI and ACS Style

Zhan, H.; Li, X.; Sun, C.; Ning, K. A Low-Loss and High-Bandwidth Horizontally Polarized Transition Between Rectangular Polymer Dielectric Waveguide and Microstrip Line for Array Application. Electronics 2025, 14, 2345. https://doi.org/10.3390/electronics14122345

AMA Style

Zhan H, Li X, Sun C, Ning K. A Low-Loss and High-Bandwidth Horizontally Polarized Transition Between Rectangular Polymer Dielectric Waveguide and Microstrip Line for Array Application. Electronics. 2025; 14(12):2345. https://doi.org/10.3390/electronics14122345

Chicago/Turabian Style

Zhan, Haibing, Xiaochun Li, Changsheng Sun, and Ken Ning. 2025. "A Low-Loss and High-Bandwidth Horizontally Polarized Transition Between Rectangular Polymer Dielectric Waveguide and Microstrip Line for Array Application" Electronics 14, no. 12: 2345. https://doi.org/10.3390/electronics14122345

APA Style

Zhan, H., Li, X., Sun, C., & Ning, K. (2025). A Low-Loss and High-Bandwidth Horizontally Polarized Transition Between Rectangular Polymer Dielectric Waveguide and Microstrip Line for Array Application. Electronics, 14(12), 2345. https://doi.org/10.3390/electronics14122345

Note that from the first issue of 2016, this journal uses article numbers instead of page numbers. See further details here.

Article Metrics

Back to TopTop