Next Article in Journal
Integrating Emotional Features for Stance Detection Aimed at Social Network Security: A Multi-Task Learning Approach
Previous Article in Journal
Ultra-Wideband High-Power GaN Rectifier with Extended Input Power Range Based on a Terminal Matching Network
 
 
Font Type:
Arial Georgia Verdana
Font Size:
Aa Aa Aa
Line Spacing:
Column Width:
Background:
Article

Multi-Label Text Classification Based on Label-Sentence Bi-Attention Fusion Network with Multi-Level Feature Extraction

College of Information Engineering, Shanghai Maritime University, Shanghai 201306, China
*
Author to whom correspondence should be addressed.
Electronics 2025, 14(1), 185; https://doi.org/10.3390/electronics14010185
Submission received: 5 December 2024 / Revised: 29 December 2024 / Accepted: 2 January 2025 / Published: 5 January 2025

Abstract

Multi-label text classification (MLTC) aims to assign the most appropriate label or labels to each input text. Previous studies have focused on mining textual information, ignoring the interdependence of labels and texts, thus leading to the loss of information about labels. In addition, previous studies have tended to focus on the single granularity of information in documents, ignoring the degree of inclination towards labels in different sentences in multi-labeled texts. In order to solve the above problems, this paper proposes a Label-Sentence Bi-Attention Fusion Network (LSBAFN) with multi-level feature extraction for mining multi-granularity information and label information in documents. Specifically, document-level and sentence-level word embeddings are first obtained. Then, the textual relevance of the labels to these two levels is utilized to construct sentence-level textual representations. Next, a multi-level feature extraction mechanism is utilized to acquire a sentence-level textual representation that incorporates contextual information and a document-level textual representation that reflects label features. Subsequently, the label-sentence bi-attention fusion mechanism is used to learn the feature relationships in the two text representations and fuse them. Label attention identifies text features related to labels from the document-level text representation, while sentence attention focuses on the tendency of sentences towards labels. Finally, the effective portion of the fused features is extracted for classification by a multi-layer perceptron. The experimental findings indicate that the LSBAFN can improve the effectiveness of the MLTC task. Compared with the baseline models, the LSBAFN obtains a significant improvement of 0.6% and 7.81% in Micro-F1 and Macro-F1 on the Article Topic dataset and improvements of 1.03% and 0.47% in P@k and 1.02% and 0.38% in nDCG@k on the Software Category dataset and RCV1 dataset.

1. Introduction

Text classification is one of the important tasks in the field of Natural Language Processing (NLP), with the goal of assigning the most suitable label to a given document. It is generally classified into single-label classification and multi-label classification. The former has one label for each document, with the latter specifying multiple labels for a given document, which is a great challenge for text classification tasks. In this paper, the main focus is on the MLTC (multi-label text classification) task because it has become one of the core topics in the field of NLP and has been used broadly in text summarization, medical analysis [1,2], patent classification [3], and sentiment analysis [4,5].
Current research on MLTC can be broadly categorized into two main areas: traditional machine learning methods and deep learning methods. Traditional machine learning methods include problem transformation methods and algorithmic adaptive methods. One of the commonly used problem transformation methods is the Binary Relevance [6] (BR), which converts a multi-label classification problem into multiple mutually independent binary classification problems, but ignores the correlation between labels. The Multi-Label K-Nearest Neighborhood [7] (ML-KNN) method is an algorithmic adaptive method, which is designed based on the traditional KNN (K-Nearest Neighborhood) algorithm. Its specific concept is to calculate the distance between unknown label samples and known label samples, and then to select the K closest known label samples. By maximizing the posterior probability, the label with the highest probability is selected as the label for the current sample. For the past few years, with deep learning being widely used for text representation, many studies have also applied deep learning methods to MLTC tasks [8,9,10]. Commonly used methods include CNNs [11] (Convolutional Neural Networks) and RNNs [12] (Recurrent Neural Networks). However, CNNs may lose critical information and are unskilled at capturing long-distance semantic information. RNNs also have some problems in dealing with long distance dependencies. Therefore, later studies [13,14] mostly use improved LSTM [15] (Long Short-Term Memory) and GRUs [16,17,18] (Gated Recurrent Units). LSTM can capture long distance dependencies well, but there is still a problem, in that it cannot encode the information from back to front. Therefore, semantic dependencies in both directions can be better captured using Bi-LSTM [19] (Bidirectional Long Short-Term Memory). The attention mechanism [20] is a crucial technique in deep learning that enables the model to learn the most essential features in the text, thus ignoring the unimportant ones. Utilizing the attention mechanism, the BERT [21] model solves the problem of the long-distance dependence of text, which greatly facilitates the development of text representation in the field of NLP. BERT generates word embeddings based on the context, so a word will obtain different vector representations in different contexts. Currently, BERT has been widely used in many text classification tasks [11,22,23,24].
In the task of MLTC, most of the research focus on mining the internal features of the text, but ignore the relevance of label features to the text, losing some information that can be used for classification. In fact, labels not only have important semantic information, but also have relevance to the textual information. In relevant text, a label phrase may act as a word in a document to prompt the reader of the category to which the document belongs. At this point, the contextualized word embeddings of the label phrases contain information about the text, which can be used to enrich the label semantics and also to feed back the connection between the text and the labels in the textual representation. Many researchers have explored the effect of label semantics in classification. Some studies [25,26,27] often use BERT or Bi-LSTM as a feature extraction tool. Xiao et al. [28] adaptively fused label attention and text attention to fully utilize both label information and text information to generate text representations.
In multi-label text, multiple labels can be assigned to the text. Thus, sentences in a text may have different propensities for labels. Most previous studies have ignored the effect of the labeling tendency of sentences on classification, focusing only on textual information at a single level of granularity. Multi-granularity information fusion using sentence information and overall text information can enable information at different levels to complement each other, thus fully exploring the deep category information in the text. Sentences have been widely used as a kind of important information in other fields of research. Huang et al. [29] extracted semantic correlations between sentences on top of word semantic correlations, which made the model more capable of extracting contextual semantics. Annamoradnejad et al. [30] decomposed the text into sentences to capture the potential features of the sentences and the inter-sentence relationships. All in all, existing multi-label text classification methods either focus on a richer representation of text semantics or ignore the more fine-grained textual information—the tendency of sentences to labels—when exploring the association between labels and text.
Based on the above observations, this study faces certain challenges as follows: (1) how to represent text and labels in order to fully acquire textual information, (2) how to acquire multi-granularity information in text and thus extract multi-level text features, and (3) how to learn the tendency of the different levels of information towards labels. To solve these problems, this paper proposes a Label-Sentence Bi-Attention Fusion Network (LSBAFN) with multi-level feature extraction, which aims to learn multi-level text representations, including document-level and sentence-level, in order to extract label-oriented text features at different levels. Compared with existing methods, the LSBAFN explores the connection between labels and text in depth and enhances the expression of text features through multi-granularity text information. First, the BERT model is used as a text embedding method to obtain averaged document-level contextualized word embeddings as well as sentence-level contextualized word embeddings. These vector representations contain multi-granularity semantic and contextual information. Then, the label-oriented sentence representation is constructed by expanding the label embedding using averaged document-level word embeddings and related words. Subsequently, the multi-head attention mechanism is integrated with Bi-LSTM to capture the contextual dependencies within sentence representations. Contextualized sentence information and label-oriented text information are extracted using a sentence-oriented local feature extraction mechanism and a label-oriented global feature extraction mechanism, respectively. Then, the label-sentence bi-attention fusion mechanism is used to capture feature associations between sentences and the overall text to labels and fuse these two features. Sentence attention focuses on the textual representations of each sentence in relation to the label, which are based on the degree of sentence-level inclination towards labels. Label attention recognizes textual representations in the text that are relevant to the label in terms of the overall text. Finally, a multi-layer perceptron is used to extract the effective part of the fused features to construct a multi-label text classification. The main contributions of this paper are as follows:
(1)
An LSBAFN model is proposed, which simultaneously considers the association between documents and labels as well as multi-granularity text information and incorporates multiple attention mechanisms and neural network models to deal with MLTC tasks.
(2)
A multi-level feature extraction mechanism is designed to obtain multi-granularity textual information at different levels using local and global attention. This mechanism allows the model to focus on the characteristics of the overall document representation with respect to labels while also focusing on the tendency of different sentences within the document with respect to labels, thus acquiring multi-level features in the text.
(3)
A label-sentence bi-attention fusion mechanism is designed to recognize label-related text features in document-level and sentence-level text representations, respectively. This allows the two levels of information to complement each other, resulting in the construction of textual representations with richer semantic and labeling features.
(4)
The proposed model is in comparison with other baseline models on three publicly available datasets, and the feasibility of the method is demonstrated on several evaluation metrics. The roles of the components and crucial parameters of LSBAFN were evaluated through ablation experiments.
This paper is structured as follows: in Section 2, we review the related work in the MLTC field. In Section 3, each component of the LSBAFN is described in detail, along with its structure and function. In Section 4, comparative analysis and ablation experiments are performed on the LSBAFN model and various baseline models across three datasets. Finally, in Section 5, we summarize the work, shortcomings, and future prospects.

2. Related Work

2.1. Multi-Label Text Classification

Many studies have been conducted to improve the traditional machine learning methods to adapt to the current multi-label classification task. Elisseeff and Weston et al. [31] proposed the use a Ranking Support Vector Machine (Rank-SVM) to deal with the multi-label classification task by improving the Support Vector Machine (SVM). The Rank-SVM transforms the multi-label classification problem into a large ranking system aiming to find an optimal hyperplane to separate data from different classes. Chiang et al. [32] proposed a method that combines the weighted KNN and learning to identify the most plausible neighbors of a sample to improve classification accuracy. Zhang et al. [33] used the KNN algorithm to retrieve nearest neighbor samples and output the KNN-predicted labels based on the sample similarity weights. Yang et al. [34] combined BR with a CNN network and compared this with a variety of BR variation models and label-dependent models for comparison. The results demonstrate the feasibility of BR combined with neural networks for multi-label classification.
Deep learning-based methods are the primary approach in the field of MLTC. CNN-Kim [35] was one of the first studies to apply CNNs to text classification. Subsequently, using CNNs to extract text features and predict labels [36] became a common approach in early studies of MLTC problems. Many researchers proposed new and improved models based on the CNN model. For instance, Liu et al. [37] proposed the XML-CNN model, which was improved for the CNN. The Bow-CNN [38] model incorporated a bag-of-words model in the convolutional layers and explored the method of combining multiple convolutional layers. However, the local information captured by different pooling strategies used in CNNs may lead to information loss. Therefore, Chen [39] and others proposed an integrated model of CNNs and RNNs to capture global and local text semantics.
With the wide application of the attention mechanism [20] in NLP, this mechanism has also been used to deal with MLTC tasks in conjunction with a variety of neural network models. Attention in text classification means identifying important classifying information from the input text and highlighting the weights of these important information. The weights represent how important the information is. The self-attention mechanism represents a modification of the attention mechanism that exhibits a reduced reliance on external information, while being more effective in capturing the internal dependencies and contextual relationships within the data or features. The multi-head mechanism splits the dimensions of the input vectors, realizing the decoupling operation on the data while not losing the original information. The segmented data are subjected to the simultaneous computation of attention in different subspaces without sharing parameters with each other. The final results are stitched together so that the model can learn relevant information in mutually independent representation subspaces. With different information learned by each head, richer feature information can be extracted. Du et al. [40] proposed an attention model based on CNNs combined with RNNs. Ma et al. [41] used co-attention between documents and labels to reduce the model error. Huang et al. [42] used a multi-label self-attention mechanism to determine how much each word contributes to the label. Chang et al. [43] used BERT to construct labeled representations for labels and text. Tang T et al. [4] proposed Fine-Tuning BERT for MLTC. Yan et al. [44] used the R-Transformer model to capture the global and local information of text sequences, while using Bi-LSTM + CRF to obtain the entity information to enhance the text representation. Liu W et al. [45] proposed a tALBERT-CNN-based method by combining different thematic and semantic information in the text. The study by Ameer I et al. [5] used LSTM and transfer learning to fine-tune the Transformer [20] and used single- and multi-attention networks for multi-label sentiment classification. The combination of neural network models with attention mechanisms improves the model classification efficiency.

2.2. Label Representation Learning

In the MLTC task, besides textual representation, label semantics and relevance also provide very important information. Yang et al. [46] argued that labels are correlated with each other, which is ignored in many existing studies. In addition, various parts of the text contribute differently for predicting labels. Therefore, they propose the use of sequence generation to capture the correlation of labels and combine it with an attention mechanism to take into account the contribution of different parts of the text to the prediction of different labels. To make the most of label information, Wang et al. [47] proposed a Label Embedding Attentive Model (LEAM), which incorporating an attention mechanism for balancing text and label representations. Xiao et al. [28] proposed a label-specific attention network (LSAN) that uses document and label information to construct label-specific text representations. Some researchers use keywords as an aid to expand the label representation. Zhao et al. [48] proposed a model based on keyword extraction and the attention mechanism. The model uses keywords to represent labels and employs self-attention and interactive attention mechanisms between labels and text to extract text features. The study by Sadat et al. [49] points out that keywords in a paper provide fine-grained topic information that helps in predicting its categories. In addition, keywords can provide important information beyond the title and abstract.

3. The LSBAFN Model

3.1. Overview

In this section, the structure and functionality of the proposed LSBAFN model are described in detail. Figure 1 gives the structure of the model, which includes four parts: label-based multi-granularity sentence representation learning, a multi-level feature extraction mechanism, a label-sentence bi-attention fusion mechanism, and label prediction.
First, give the definition of the MLTC problem. Formally, let X = { x 1 , x 2 , , x i } be the set of documents and Y = { y 1 , y 2 , , y i } be the set of labels corresponding to the documents. There is a labeled training dataset D = { x i , y i     1     i     N } , where x i     X is the feature vector of document x i , y i     Y is the set of labels for x i , and N denotes the number of documents. In text classification, labels also contain text information, so each label can be represented as an embedding vector. Define the set of labels as y i = l 1 , l 2 , , l n , where n denotes the number of labels. The goal of MLTC is to learn a mapping function f   :   X     2 Y between text features and labels, so that each text can be assigned an appropriate label.

3.2. Label-Based Multi-Granularity Sentence Representation Learning

This section includes two components: multi-granularity word embedding and label-based sentence representation. Figure 2 illustrates the concrete implementation and connection between the two structures. Suppose the word “computer” appears in two different documents and is associated with distinct word representations in each of these document contexts. The static word embedding for “computer” can be computed by averaging these two different word representations, which captures the global information of the word. Next, the dynamic representation of each word is calculated at the sentence level. For instance, the word “science” has both a global static word embedding and a dynamic word embedding specific to the current sentence context. To generate label representations, we extract word vectors related to the label from the static word embeddings of the document. For example, the word embedding for the label “computer science” is obtained by averaging the static embeddings of “computer” and “science”. Subsequently, the label’s semantic representation is expanded by adding similar words, such as “computers”. Finally, to better integrate the static and sentence-level representations of each word, attention weights are computed for both types of representations with respect to the label. Each sentence representation is constructed by the weighted average of sentence-level embeddings.

3.2.1. Multi-Granularity Word Embedding

Static Word Embedding: The word embedding layer is the basis for building the model, so selecting an appropriate pre-trained language model is important for the research. Traditional word embedding methods include Word2Vec [50] and Glove [51]. Both methods can learn rich semantic information, but each word has only one fixed representation in all contexts, which ignores the phenomenon of “multiple meanings” of words. In addition, both methods learn a smaller range of contexts and focus more on word-level representations. They lack an understanding of sentence or document context and have limited ability to handle long-distance dependencies. In order to obtain better context-dependent text representation, this study uses BERT [21] for word embedding. BERT is able to generate dynamic word vectors that generate different representations according to the context, which can better understand the phenomenon of word polysemy. Distant dependency can be effectively addressed through the self-attention mechanism. Aharoni et al. [52] and Wang et al. [53] have proved that the contextualized word representations obtained using BERT are able to contain information about the topic of the document, i.e., the label to which the document belongs. Therefore, a static representation for each word was obtained by averaging its word embeddings across all contextual environments. In this study, a 12-layer BERT is used as a text representation tool and the maximum length of the text sequence is set to 256. Specifically, the static representation of a word w is defined as e w :
e w = x i j = w t i j x i j = w 1
where x i j denotes the j th word in the document x i and t i j is its contextualized word representation. The set D w = e 1 , e 2 , , e c     c × d of static representations of all words can be obtained, where c denotes the total number of words and d denotes the dimension of the word embedding.
Sentence-level Word Embedding: Multi-label text often contains feature information that points to multiple labels, meaning different sentences in a text may point to different labels. In order to utilize such fine-grained information as sentence text features to obtain text representations containing richer information, this study computes sentence-level word embeddings in a sentence-level contextual environment. Suppose there is a document x i = { S 1 , S 2 , , S i , } where S i represents the i th sentence in the document x i . BERT is used to compute the word representation in the contextual environment of S i . The sentence-level text representation is obtained as follows:
D s = f B E R T S
Here, f B E R T ( ) denotes the BERT model. Specifically, the text sequence of a sentence is transformed into a sequence of sentence-level word representations D s = s i 1 , s i 2 , , s i j , , where s i j denotes the j th word representation in a sentence S i .
After obtaining both static word embeddings and sentence-level word embeddings, each word in the text is represented by two distinct embeddings: a static word representation obtained by averaging the word’s contextual embeddings across all documents, and a sentence-level word embedding derived based on the specific contextual environment of each sentence. Static word embeddings consider the information in the entire text with global nature, while sentence-level word embeddings represent the effect of the information in the current sentence on the word with local nature. Each of the two word embedding approaches captures the potential multi-granularity information in the text (document-level, sentence-level) and learns a rich textual representation.

3.2.2. Label-Based Sentence Representation

Label Embedding: In a related document, a label may act as a word in the document, prompting the reader of the category to which this document belongs. In this study, we use the label representation estimation method in X-Class [53] to obtain text-related label representations, with keywords used to expand the label representations. Label representations are first obtained from a collection of static word representations. For labels consisting of multiple words, the representation of each word is obtained individually, and these word representations are summed and averaged as the initial label representation. Then, the label representation is enriched using keywords from the text. The most similar words to each label are selected stepwise for each label within a given number of rounds. These keywords are added to the corresponding label vocabulary, and the weighted average of all keywords is computed to obtain the new label representation. Specifically, the composite vector representation y l of a label l is defined as a weighted average representation, where the weights are determined by the rankings of the keyword list k l . According to Zipf’s law [54], the frequency of a word’s usage is inversely proportional to its rank. Assuming that the similarity between keywords and labels follows Zipf’s law, the rank of the i th keyword is defined as 1 / i . The composite vector representation y l of the label can be expressed as
y l = i = 1 k l 1 i γ k l i i = 1 k l 1 i
where k l denotes the number of keywords and γ k l i denotes the static representation of the i th . Keywords: The word representation obtained using BERT captures the contextual information of each word, meaning that the label representation derived from this approach incorporates the contextual information of the document associated with the label. In other words, it establishes a semantic connection between labels and their corresponding texts.
Label-based Sentence Representation: In a document, the i th word S i j = w in the j th sentence has two representations: the contextualized word representation s i j and the static representation of this word d w . These two types of word representations take into account the polysemy phenomenon caused by the different contextual contexts of the word in a sentence and the outliers of the global document, respectively. In order to better utilize these two types of information, X-Class introduces a hybrid attention mechanism that captures, for each type of word representation, both the maximum similarity between a word and a label, as well as the similarity between a word and the average representation of all labels. Word weights are computed using the four approaches and rely on rankings to form a ranked list of the four weights, which form a unified ranked list according to the mean of the rankings. This attention mechanism focuses on the maximum propensity of words to labels while taking into account the relevance of words to the general class. And it is capable of adequately capturing information implied by both word representations. Based on Zipf’s law, the word ranked r has weights 1 / r , and these weights are utilized to obtain the sentence representation E i from s i j as follows:
E i = j 1 r j s i j j 1 j

3.3. Multi-Level Feature Extraction

Previous studies have focused on information at a single level of granularity in texts, ignoring the different tendencies that sentences have in classification. In multi-label documents, each document can be assigned multiple labels. Multi-label documents usually contain distinct local structures. Different words and sentences in each document contribute differently to the label. Therefore, a document may simultaneously focus on one or more labels, with different sections of the document often corresponding to distinct labels. In this regard, a multi-level feature extraction mechanism including a sentence-oriented local feature extraction mechanism and a label-oriented global feature extraction mechanism is exploited in this study.
To capture the various components of the sentence representation with respect to labels, the multi-head attention mechanism is first used. It expands the model’s ability to pay attention to different locations. By splitting the attention mechanism into multiple heads, each of which independently learns different aspects of the text, the model can simultaneously capture text features from various perspectives, thereby acquiring richer and more diverse information. Specifically, let X     m × d be the text representation composed of sentence representations and m denote the maximum number of sentences. Then, the multi-head attention is calculated as follows:
O = M u l t i H e a d X = C o n c a t h e a d 1 , h e a d 2 , , h e a d h W 1
where O     m × d denotes the output vector obtained after multi-head attention computation, h denotes the number of attention heads, and h e a d i denotes the i th attention head. W 1 is the weight parameter of the linear projection. Each attention head is obtained through self-attention computation for Q     d × d , K     d × d , and V     d × d . Q , K , and V denote the d dimensional query, key, and value vectors, respectively. The specific computation formula is as follows:
A t t e n t i o n Q , K , V = S o f t m a x Q K T d k
where d k is the dimension size of K .
h e a d i = A t t e n t i o n X Q i , X K i , X V i , i = 1 , , h
Q i = X W i Q , K i = X W i K , V i = X W i V , i = 1 , , h
In the above equation, W Q     d × h q , W K     d × h k , W V     d × h v , and W 1     h d × d are the learned projection matrices.
To capture the contextual information before and after each sentence in this document representation, a Bi-LSTM is used as a document encoder to generate a new document representation. A layer of Bi-LSTM consists of two LSTM models combined. One layer of LSTM processes the input sequence forward, and the other layer of LSTM processes the input sequence in reverse. The vector obtained by concatenating the output vectors from these two layers of the LSTM represents the output of the Bi-LSTM model. At time step p , there are two types of input information: first is the hidden state g p 1 of the previous moment, and the second is the current input o p .
g p = L S T M g p 1 , o p
g p = L S T M g p 1 , o p
where o p is the embedding vector of the p th sentence in the document. g p and g p denote the forward and backward sentence context representations, respectively. By connecting the hidden states in both directions, the document can be represented as follows:
G = G , G
After the above calculation, the whole document can be represented as G m × 2 d r . Here, d r denotes the count of nodes in the Bi-LSTM hidden layer.
The combination of the multi-head attention mechanism and Bi-LSTM allows for the comprehensive capture of long-distance dependence and contextual information across sentences. It further enables the model to attend to pertinent feature information at various locations throughout the text. The multiple heads strengthen the model’s capacity to gather insights from diverse perspectives, boosting its expressive power.

3.3.1. Sentence-Oriented Local Feature Extraction

After the above calculations, the features are transformed linearly by a linear layer and activated nonlinearly by an activation function to obtain a sentence-oriented text feature matrix:
M S = T a n h G W 2
where W 2     2 d r × d a is the weight matrix of the linear layer, d a is the output dimension of the linear layer, and M S     m × d a is the sentence-level text representation matrix obtained after a sentence-oriented local feature extraction mechanism.

3.3.2. Label-Oriented Global Feature Extraction

The sentence-oriented local feature extraction mechanism aims to mine contextual information from the sentence perspective and capture text features at the sentence granularity, which is a different kind of local feature from the full document information. To capture label features hidden in the global document information, the document representation is recomputed using a label-oriented global feature extraction mechanism. Specifically, to capture the different label components across all sentences, a self-attention mechanism [55] is utilized, which produces a label-oriented global feature matrix. The attention score ( τ     m × l ) of a labeled word can be expressed as
τ = S o f t m a x G W 3
where W 3     d a × l is the to-be-trained parameter for self-attention and l denotes the number of labels. denotes the attention score of the i th sentence to all labels. With the attention scores of all sentences to labels, the label-oriented document representation ( M L     l × d a ) can be obtained as follows:
M L = τ T M S
where M i L can be considered as the document representation along the i th label and the whole matrix represents the label-oriented global text features.

3.4. Label-Sentence Bi-Attention Fusion Mechanism

M S and M L are both representation matrices containing textual features, but they differ in terms of the information they focus on. The former focuses on the important information in a particular sentence, while the latter integrates the features of all sentences in a document about labels and extracts text features according to different labels. For example, consider a document consisting of the following two sentences: “Computer science is at the core of modern biotechnology. Biological research helps us understand the fundamental principles of life”. This document is associated with two labels: “Computer Science” and “Biology”. The sentence-level attention mechanism focuses on the important information within each individual sentence, such as “computer science” and “biology”. The label-level attention mechanism extracts key features related to the respective labels from the document. For instance, the “Biology” label will highlight features such as [biotechnology, biology] from both sentences.
In order to have a better utilization of these two parts of information, a label-sentence bi-attention fusion mechanism is designed for extracting information from these two parts independently and finally integrating them to form a unified fused document representation. The structure of the label-sentence bi-attention fusion mechanism is shown in Figure 3.

3.4.1. Sentence Attention

For the sentence-oriented text representation matrix M S , two weight vectors ( α     m , β     1 ) are introduced to determine the importance of a sentence, which are formulated as follows:
α = S i g m o i d M S W 4
β = 1 l i = 1 l α i 1
where W 4 d a is the parameter to be trained. α indicates the tendency of each sentence to the label. β is more concerned with the average tendency of all sentences in a document to the label. The computation of α and β enhances the weighting of the important sentences in the document representation and is supplemented using information about the non-directional sentences in the document.
Then, a new sentence-oriented document representation ( D S     m × d a ) can be obtained based on these two weight vectors:
D S = α M S + β M S

3.4.2. Label Attention

For the label-oriented document representation M L , a weight vector ( δ     l ) is introduced to determine the importance of labels. δ is formulated as follows:
δ = S i g m o i d M L W 5
where W 5     d a is the parameter to be trained. δ i indicates the significance of the i th label in the text representation. Using this weight, a new label-oriented document representation ( D L     l × d a ) can be obtained as follows:
D L = δ M L

3.4.3. Fusion Layer

After obtaining two new document representations, their different dimensions are aligned so as to integrate them into a final document representation that complements each other. Specifically, the embedding vectors are averaged over the dimensions of D S in sentence number and D L in label number to obtain matrices with the same dimensions. The two matrices are then summed to derive the final document representation matrix ( D     1 × d a ), calculated as follows:
D = 1 m i = 1 m D i S + 1 l j = 1 l D j L

3.5. Label Prediction

After obtaining a document representation based on the label-sentence bi-attention fusion mechanism, the multi-label text classifier is constructed by a multilayer perceptron with two hidden layers and one output layer. The formula for each hidden layer is presented as follows:
H 1 = R e L u ( D W 6 ) , H 2 = R e L u ( H 1 W 7 ) .
where W 6     d a × d z and W 7     d z × d z are the trainable parameters of the first and second fully connected layer. d z and d z are the dimensions of the two hidden layers. The prediction probability of the output layer for the possible labels assigned to each document is formulated as follows:
y ^ = S i g m o i d H 2 W 8
W 8     d z × l is the weight matrix of the output layer. The S i g m o i d function converts the output values into the predicted probability of the document for each label. The B C E L o s s , commonly used in MLTC tasks, is used here as the loss function [28], and its mathematical expression is shown below:
L o s s = 1 N i = 1 N y i l o g y i ^ + ( 1 y i ) l o g ( 1 y i ^ )
where N denotes the number of training documents, y i denotes the true label value of the document, and y i ^ denotes the predicted value of the document label.

4. Experiments

In this part, we perform experiments to assess the model’s effectiveness and analyze the obtained results. First, the dataset used for the experiment is described. Then, the metrics for evaluating the results, the parameter settings in the experiments, and the baseline models are presented. Finally, the results are in comparison with the baseline, and several ablation studies are conducted to demonstrate the validity of the present method.

4.1. Datasets

This study used three multi-labeled datasets with labeled texts, as follows:
  • Article Topic dataset (Multi-Label Classification Dataset (kaggle.com)) (AT for short) is a multi-label text dataset based on abstracts of papers. This dataset contains 20,972 data on different topics, each consisting of a title, abstract, and subject with 6 different labels.
  • Software Category Dataset (App/Software Category (Multi-Label) (kaggle.com)) (SC for short) is a multi-label text dataset for application software. The dataset consists of 33,770 data items, each of which contains a comprehensive description of the application software and the type it belongs to, with a total of 501 categories. Due to the existence of numerous tail labels in the dataset, 30 of these data-rich labels and their corresponding texts are selected from this dataset for experiments.
  • Reuters Corpus Volume I [56] (RCV1 for short) is a multi-label text dataset consisting of English news texts and corresponding categories. It contains a total of 804,414 texts with 103 labels.
Table 1 shows the details of the three datasets.

4.2. Evaluation Metrics

To assess the validity of the experimental results, M i c r o - P r e c i s i o n , M i c r o - R e c a l l , M i c r o - F 1 , M a c r o - F 1 , H a m m i n g   L o s s ( M i P , M i R , M i F 1 , M a F 1 ), P @ k , and n D C G @ k are used as assessment indicators. The detailed methodology for each indicator is described below.
  • M i c r o - P r e c i s i o n indicates the proportion of the sample with positive predictions whose actual values are also positive. This metric is used to measure how many of the samples with positive predictions were correctly predicted. The formula is as follows:
    M i c r o - P r e c i s i o n = i = 1 L T P i i = 1 L T P i + i = 1 L F P i
Here, L denotes the number of labels. T P i , F P i denote the true and false positive examples of the i th label, respectively. The highest value of M i P indicates the better model performance in classification.
  • M i c r o - R e c a l l indicates the actual count of positive cases within the sample that were predicted to be positive as a proportion of the positive cases in the full sample. This metric is used to evaluate the proportion of positive cases in the entire sample space that were correctly predicted. The formula for M i R is given below:
    M i c r o - R e c a l l = i = 1 L T P i i = 1 L T P i + i = 1 L F N i
Here, F N i denotes the false negative example of the i th label. Greater values of M i R correspond to enhanced performance in the model’s classification tasks.
  • M i c r o - F 1 is the harmonic mean of M i P and M i R . M i P reflects the model’s ability to discriminate between negative samples. M i R reflects the model’s ability to recognize positive samples. M i F 1 is a combination of the two metrics. The higher the value of M i F 1 , the more robust the model is. When the distribution of samples across different categories is imbalanced, the class with more samples is preferred for evaluation. M i F 1 is calculated by the following formula:
    M i c r o - F 1 = 2 × M i P × M i R M i P + M i R
A higher value of M i F 1 indicates an improved classification performance of the model.
  • M a c r o - F 1 is a metric of the performance of the model in MLTC. M a F 1 evaluates each label independently. In the computation process, the F 1 score is calculated for each label and then averaged arithmetically across all labels. This feature allows M a F 1 to provide a performance metric that does not depend on the size of the label sample size. It provides a fair measure of model performance for each label. The procedure for computing M a F 1 is as follows:
    M a c r o - F 1 = 1 L i = 1 L F 1 i
    where L denotes the total number of labels and F 1 i denotes the F 1 score of the i th label. A higher value of M a F 1 suggests that the model is more resilient to the category imbalance and performs better on different labels. This means that it not only performs well on labels with a high number of samples, but also achieves accurate predictions across multiple categories. Therefore, this is a very important evaluation metric, especially for contexts with imbalanced categories, as it avoids the excessive influence of a single category on the overall score.
  • H a m m i n g   L o s s is a metric used to evaluate the performance of an MLTC model. It measures the proportion of incorrectly predicted labels across all samples. Error types include labels that do not belong to the current sample and labels that belong to the current sample but are not predicted. The error rate of the predicted label can be measured using H L , which is calculated as follows:
    H a m m i n g   L o s s = 1 N L i = 1 N j = 1 L y i j     y ^ i j
Here, N and L denote the number of samples and labels, respectively. y i j and y ^ i j denote the true and predicted values of the i th sample on the j th label. The value of H L ranges from 0 , 1 . A smaller value of H L means a better predictive behavior of the model. This is because a small value means that the model predicts fewer labels incorrectly.
  • Precision at top k ( P @ k ) denotes the ratio of correctly identified examples within the top k predicted labels. This is calculated by first classifying each sample into one of the k possible classes and then checking that the classification is correct. The formula of P @ k is as follows:
    P @ k = 1 k l     r a n k k y ^ r e l l
Here, r a n k k y ^ denotes the index of the top k predictions in the current prediction. y ^ . r e l l denotes the relevance between the l th prediction label and the corresponding true label. P @ k measures what percentage of the top k predictions are relevant or correct. Higher values of P @ k indicate better model performance.
  • Normalized Discounted Cumulative Gain at top k ( n D C G @ k ) is a metric that evaluates the relevance of the model’s predictions in the previous k predicted results, taking into account the accuracy of the ranking. n D C G @ k is calculated by the following formula:
    D C G @ k = l     r a n k k y ^ r e l l l o g l + 1
    n D C G @ k = D C G @ k l = 1 m i n ( k , y 0 ) 1 log ( l + 1 )
Here, r a n k k y ^ denotes the index of the top k predicted rankings in the current prediction result y ^ . y 0 denotes the count of relevant labels in the ground truth labels. A greater value of n D C G @ k signifies the improved performance of the model.

4.3. Parameter Setting

The model uses a 12-layer BERT [21] for word embeddings with 768 dimensions for each word. For labels consisting of multiple words, the average word vector is utilized to represent the label. A single-layer Bi-LSTM model is applied in the experiments. The number of attention heads in the multi-head attention layer is 8. The output dimension of the linear layer is 384, and the maximum sentence length is 32. A total of 2 layers of MLP are set up. d r , d a , d z , and d z are 384 for the AT dataset and 768 for the SC dataset and the RCV1 dataset. After experimental validation, the binary cross-entropy loss is minimized using the AdamW [57] optimizer. The learning rate is 1 × 10−5 with a batch size of 64 for the AT dataset and the SC dataset and a batch size of 128 for the RCV1 dataset. The training time, testing efficiency, and number of model parameters of the model are shown in Table 2.

4.4. Baselines

  • BR [6] converts a multi-label classification task into multiple binary classification tasks.
  • CC [58] considers label correlation to form a chain of classifiers.
  • LP [59] transforms a multi-label classification task into a multi-classification task by combining each label combination into a new category.
  • ML-KNN [7] counts the labels of the nearest neighbor samples and infers the labels of new instances by maximizing the posterior probability.
  • AttentionXML [60] proposes a multi-label attention mechanism that can capture the information related to labels in the original sample. It also designs label trees that can improve the effectiveness of tail label classification.
  • LSAN [28] proposes a label-specific attention network that computes semantic relationships between words and labels using semantic information about the labels.
  • MAGNET [61] (multi-label text classification using an attention-based graph neural network) proposes a labeled attention dependency network based on graph attention networks. The feature and correlation matrices from the graph attention network are used to capture label dependencies.
  • XML-CNN [37] proposes a CNN model for extreme multi-label text classification. It uses a dynamic maximum pooling scheme that captures richer information from different regions of the document.
  • LAHA [42] constructs a label-aware text representation using document content and label correlation.
  • EXAM [62] (EXplicit interAction Model) designs an interaction mechanism to compute word-level interaction signals in text classification using matching signals between labels and words.
  • NLP-Cap [63] (NLP-Capsule) proposes a method to optimize CapsNet. It employs an adaptive optimizer to improve routing reliability and boosts the scalability of capsule networks through capsule compression and partial routing.
  • HTTN [64] (Head-to-Tail Network) proposes a Head-to-Tail Network to solve the problem of insufficient training data for tail labels. It transfers meta-knowledge from head labels to data-poor tail labels, aiming to optimize the tail classifiers.
  • HG-Transformer [65] (Hierarchical Graph Transformer) proposes a novel hierarchical graph neural network for large-scale MLTC. It utilizes hierarchical relationships between labels to generate label representations.
  • Li-GCN [66] (Label-interpretable Graph Convolutional Network) proposes a labeled interpretable graph convolutional network model. It uses a link prediction task to solve the MLTC problem. This model is capable of providing token-level explanations for categorization and thus has improved label interpretability.

4.5. Experimental Results

This section describes a comparison result between the LSBAFN and baseline models on the AT, SC, and RCV1 datasets. Table 3, Table 4 and Table 5 show the comparison results of the LSBAFN on three datasets. The results of each comparison model are from the original paper or are obtained by experiments, and the experimental parameters are set according to the original paper. The results indicate that the LSBAFN outperforms other methods on all datasets.
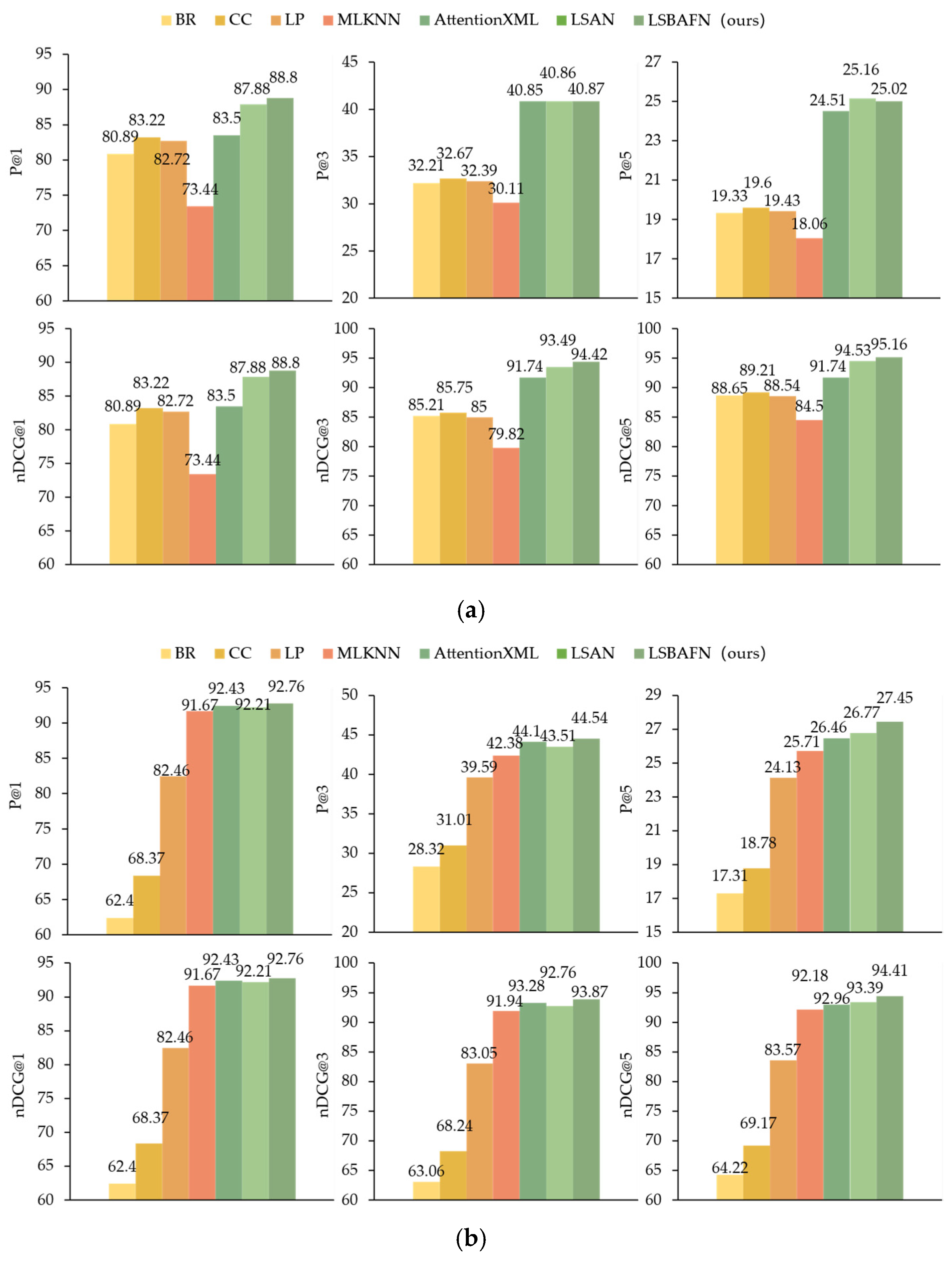
Based on the results in Table 3, the LSBAFN achieved the best performance on H L , M i P , M i F 1 , and M a F 1 , while AttentionXML and LSAN obtained the second-best results on certain evaluation metrics. Among the four traditional methods, the CC and LP approaches yielded relatively better outcomes. Compared to traditional machine learning methods, deep learning-based approaches demonstrated superior performance. AttentionXML employs a multi-label attention mechanism to capture the most relevant portions of the text with respect to the labels. However, it does not fully represent the text features. The LSBAFN model identifies label-relevant information at different text levels (document-level and sentence-level) and utilizes a multi-level feature extraction mechanism to extract text features from various perspectives. The text features obtained at different levels complement each other, thereby enhancing classification performance. Additionally, through the attention mechanism, AttentionXML is able to capture the most relevant features of the text related to the target label, making it more efficient in identifying label-relevant features. The LSAN achieved the second-best results on H L , M i P , and M i F 1 . The LSAN employs label attention and self-attention mechanisms to construct label-specific document representations while adopting an adaptive fusion strategy to adjust the weights of the two types of attention. In contrast, the LSBAFN model not only utilizes label attention but also integrates finer-grained sentence-level attention. It can simultaneously extract both global and local text features, constructing label-oriented text representations that combine sentence-level and document-level information. On the M a F 1 metric, the LSBAFN model achieved a maximum improvement of 7.81%, indicating that our model also performs well when handling imbalanced datasets.
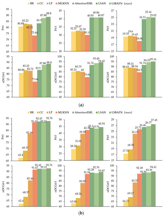
According to the results in Table 4 and Figure 4, the LSBAFN indicates excellent performance on AT and SC datasets. The effectiveness of the LSBAFN is confirmed by the evaluation of P @ k and n D C G @ k metrics. Compared to the second-best model, the LSBAFN achieved a maximum improvement of 0.92% ( P @ 1 ) and 0.93% ( n D C G @ 3 ) on the AT dataset. On the SC dataset, the LSBAFN achieved an improvement of 1.03% ( P @ 3 ) and 1.02% ( n D C G @ 5 ).
According to the results in Table 5 and Figure 5, the LSBAFN obtained the best performance on P @ k and n D C G @ k , while the LSAN and NLP-Cap obtained the second-best results on some indicators. The LSAN shows better results in almost all metrics (except P @ 1 ). The LSBAFN and LSAN incorporate both text and label information for classification. However, the LSBAFN demonstrates superior performance compared to the LSAN. NLP-Cap optimizes CapsNet to enhance the model’s reliability and scalability. However, it uses the CNN as the feature extraction network, which limits its ability to extract rich features. The LSBANF, on the other hand, employs a multi-level feature extraction mechanism and label-sentence attention to capture text features, extracting rich textual information at both the sentence and document levels. MAGNET uses a graph attention network to capture the dependencies between labels, while LSBANF enhances label semantics by incorporating static word embeddings that fuse document-level information, thereby embedding substantial textual information into the labels. XML-CNN, which relies solely on local text and CNNs for classification, has limited performance. The HTTN, inspired by transfer learning, leverages knowledge learned from head labels and the correlation between head and tail labels to classify the tail labels. However, the HTTN is constrained by its underlying methodology. In contrast, LSBANF enriches label representations by incorporating keywords from the text that are similar to the labels, thereby enriching the feature information of the tail labels. LiGCN constructs a graph network by simultaneously considering tokens and labels. The HG-Transformer model employs multi-level (word, sentence, and subgraph) Transformers to capture hierarchical and logical information within the document. In contrast, LSBANF not only uses word-level information but also incorporates sentence-level and document-level information in a complementary manner. By using BERT to obtain label-specific sentence representations and applying sentence attention to extract text features related to the labels, LSBANF enhances the role of sentence-level information in classification, thus obtaining more comprehensive textual feature information.
On the RCV1 dataset, the LSBAFN achieves a maximum improvement of 0.47% ( P @ 5 ) and 0.38% ( n D C G @ 5 ) compared to the second-best model.
Table 6 and Table 7 show the correlation statistics (maximum, mean, minimum, and standard deviation) of the LSBAFN model for each metric on the three datasets.
Additionally, Figure 6 illustrates the results of a t-SNE visualization analysis applied to the outputs of the final layer of the model, obtained from the test samples of the AT dataset after training. Six distinct colors are used to represent different categories. As observed, clear clusters are formed in the plot, indicating that samples with the same label exhibit similar feature representations after model training.

4.6. Further Experiments

To assess the contribution of each component of the LSBAFN, ablation experiments were conducted on the AT dataset. Furthermore, the effects of the number of layers and hidden layer nodes of Bi-LSTM, the number of heads of multi-head attention and label-sentence bi-attention, the size of the training data, and the maximum number of sentences on the performance of the model are also investigated.

4.6.1. Ablation Study

w/o Bi: Bi denotes the Bi-LSTM layer. This model does not use the Bi-LSTM model. After passing through the multi-head attention layer, the input data go directly to the label-oriented global feature extraction and sentence-oriented local feature extraction layers. Finally, after passing through the label-sentence bi-attention layer, the representation reaches the multilayer perceptron for classification. The model aims to investigate the impact of Bi-LSTM on the feature extraction performance.
w/o MHA: This model does not use the multi-head attention mechanism. The input data go through Bi-LSTM and directly enter the label-oriented global feature extraction and sentence-oriented local feature extraction layers, and after passing through the label-sentence bi-attention layer, this indicates that the data have reached the multilayer perceptual machine for classification. This model seeks to examine the effect of Bi-LSTM on the feature extraction performance.
w/o MA: MA denotes multi-level feature extraction and the bi-attention fusion mechanism. The model does not use a multilevel feature extraction mechanism, which is designed to extract sentence-level local features and document-level global features from the input text representation. This indicates that the model is no longer concerned with multi-level relationships in the text. This means that the label-sentence bi-attention mechanism is also invalidated. In this model, the input text passes through the multi-head attention layer and Bi-LSTM, and then directly enters the multilayer perceptron. This model aims to evaluate the role of the multi-level feature extraction mechanism combined with the label-sentence bi-attention mechanism in the model.
w/o MLP: MLP denotes the multilayer perceptual machine. Instead of using a multilayer perceptron to process text features, the model feeds the incorporated text features into the fully connected layer directly. The model aims to validate the role of multilayer perceptron in processing fused features and classification.
w/D: D denotes document-level features. Instead of using sentence-level word embeddings and sentence text representations, this model is based on document-level word embeddings and text representations. In this model, the original label-oriented global feature extraction mechanism and label attention are still valid, but the sentence feature extraction mechanism and sentence attention are disabled. This model goes through the original sentence feature extraction layer and sentence attention layer at the document level and changes them to document feature extraction layer and document attention. This model aims to explore the role of sentence-level text representation in the model.
Figure 7 presents the results of the ablation experiments. The results show that using only document-level textual representations does not adequately capture textual information. The sentence-level text representation plays a crucial role in the model. Moreover, the label-sentence bi-attention fusion mechanism is a critical part as it allows the model to study the local features of the sentences and the global features in the label-oriented text representation. These two types of information mutually reinforce each other, thus obtaining the most comprehensive information. Additionally, the multi-head attention mechanism is also crucial to the model, as it can capture label information from different perspectives in the text. Finally, the use of multilayer perceptron also affects the classification performance of the model.

4.6.2. Effects of Bi-LSTM

To explore the effect of the number of Bi-LSTM layers and hidden layer nodes in capturing the contextual information of the text, experiments in this section are conducted using the AT dataset. The Bi-LSTM model captures the contextual information of the text by splicing the outputs of the forward and backward LSTM. The number of Bi-LSTM layers and hidden layer nodes have a considerable influence on the feature extraction effect. On the one hand, increasing the number of Bi-LSTM layers and hidden layer nodes can enhance its capacity and complexity. This will enable the model to learn more complex and diverse features and enhance the model’s expressive ability. It also enables the model to learn more contextual dependencies and enrich the text representation. However, when the number of Bi-LSTM layers or hidden layer nodes is too high, the model may capture additional noise and redundant information, which leads to a degradation of classification performance. Deeper networks and a larger number of hidden layer nodes may also cause the model to overfit the training data, resulting in the reduced generalization ability of the model. On the other hand, when the number of layers or hidden layer nodes is reduced, the complexity of the model computation decreases, thus improving the training efficiency. This reduction, however, may make the model’s expressive ability weaker and limit the model’s ability to extract text features. Therefore, the appropriate number of layers and hidden layer nodes of Bi-LSTM need to be determined experimentally. As shown in Figure 8 and Figure 9, experiments have been conducted with different numbers of layers and hidden layer nodes of the Bi-LSTM to determine the parameter settings that make the model perform optimally. As shown in Figure 8, the best results have been achieved when the number of layers is 1. The performance of the model decreases instead when the number of layers is increased. From Figure 9, it can be seen that when the number of hidden layer nodes is 384, the model has achieved the best results in H L , M i P , and M i F 1 .

4.6.3. Effects of the Multi-Head-Attention

In the experiments in this section, the effect of using different numbers of heads in the multi-head attention mechanism on the model is explored. The multi-head attention mechanism captures contextual information about different aspects of the input text. In MLTC, a text may be associated with multiple labels, each of which may correspond to a different part of the text. With the multi-head attention mechanism, the model is able to simultaneously focus on valid information about the labels from different parts of the text (e.g., keywords or sentences of the text). In addition, multi-head attention allows a more comprehensive understanding of the structure and semantics of the text by focusing on the long-distance dependencies of different parts of the text through multiple heads. It also allows the model to learn in parallel on multiple heads and can learn different attention patterns for each label. This means that the model can acquire information in different semantic spaces, which helps to capture the diversity and correlation between labels. On the one hand, a rise in the number of attention heads improves the model’s expressiveness. This enables the model to learn text features from multiple perspectives, thus capturing more dependencies and more fine-grained semantic features. However, too many heads can also make the scope of each head’s attention to the input text more limited. On the other hand, a small number of heads implies a larger dimension of the representation subspace for each head. Therefore, each head is able to capture more comprehensive information. However, when the count of heads is small, the model’s expressive power is limited, as each head can only learn a limited range of features and may miss important information in the text. Figure 10 demonstrates the results of the experiments conducted on the number of attention heads. As can be seen from Figure 10, when the number of heads is 10, the best results are achieved on all three H L , M i R , and M i F 1 metrics.

4.6.4. Effects of the Attention Mechanism

Experimentation in this section explores the label-sentence bi-attention fusion mechanism, and the attention of words in documents to labels is designed to demonstrate their effectiveness. Label-sentence attention is a fusion of the two attention mechanisms. Sentence attention (SA) mainly acquires the tendency of each sentence in the text towards the label, focusing on local features in the text. Label attention (LA) mainly acquires the information related to labels in the text and focuses on the overall features in the text. Within sentence attention, two weights (SA1 and SA2) were also used to assess the label propensity of individual sentences and the combined weight of all sentences’ attention to the label, respectively.
Figure 11 shows the results for the four metrics H L , M i P , M i R , and M i F 1 on the AC dataset. As can be seen from the figure, the best results were achieved by LA+SA on the H L , M i R , and M i F 1 metrics. The evaluation of the results obtained when using only LA attention is balanced, but the F1 value is the lowest. This indicates that the text features obtained using only LA attention are not comprehensive. It places greater emphasis on the association between the entire document with labels and ignores the tendency towards labels within the text, which does not satisfy the model’s classification needs.
Comparing SA1 attention with SA2 attention, it can be seen that the recall is low when using only SA1 attention, although the precision is high. This indicates that SA1 attention is more precise in predicting positive samples and that using each sentence’s attention to the label improves the model’s ability to predict positive samples. On the other hand, it also indicates that SA1 attention makes the model pay more attention to the local information in the sentence. Therefore, the model may become caught in the local perspective of the text and thus may miss the actual positive samples. SA2 attention improved in terms of recall compared to SA1 attention. SA2 attention represents the combined tendency of all sentences to labels, which gives it a tendency to predict positive samples, but also misclassifies some negative samples as positive. SA attention combines the strengths of both SA1 and SA2 attention, obtaining the second highest F1 value. This indicates that the model using SA attention both predicts positive samples better and does a better job of being correct with fewer misclassifications. In addition, it also shows that sentence attention can indeed identify the labels that sentences tend to have from a more fine-grained perspective, improving the model’s classification performance. The importance of sentences in classification is demonstrated. The combined metrics of M i F 1 show that LA+SA attention is better than the other attention combinations. Therefore, combining these two kinds of attention can complement each other and capture more text features related to labels.
To explore the semantic relationship between label representations and text, the attention of words to labels in the original document is visualized through a heatmap, as depicted in Figure 12.
Taking the AC dataset as an example, the sample document belongs to two categories: computer science and statistics. The X-axis represents the words in the text and the y-axis represents the labels. The depth of the color describes the strength of the association between the label and the word. Specifically, darker colors indicate that words and labels are more relevant. Lighter colors indicate a weaker correlation between the word and the label. It is clear from the figure that words in the text are more strongly correlated with the labels to which they belong (computer science and statistics). For the irrelevant labels, each word is weakly associated with it. This observation suggests that using the relationship between labels and text can effectively guide the model to learn label-related text features, thus enhancing its classification performance.

4.6.5. Effects of the Training Data Proportions

This section presents experiments for the model’s test results across varying proportions of training data to investigate the model’s sensitivity to the amount of data. In this study, AttentionXML and LSAN models were also selected as comparison models for evaluation. For these models, the parameters were set up as in the original paper. The comparative results of the models on the three metrics, P @ k , n D C G @ k , and M i F 1 , when the data scales are set to 0.05, 0.1, 0.25, 0.35, 0.5, and 0.75 are presented in Figure 13. As presented in Figure 11, the LSBAFN always surpasses the comparison models when the data volume is limited. This suggests that the LSBAFN is insensitive to the proportion of training data.

4.6.6. Effect of Maximum Sentence Length

This section presents experiments that examine the effect of an upper limit on the number of sentences within the input text on model performance. The input text for this model utilizes the maximum sentence count as an intermediate dimension, meaning that the number of sentences influences the amount of textual information retained. When more sentences are retained in the text, the model can capture text features and inter-sentence relationships for longer texts. More sentence information is also able to make more accurate predictions about the overall labeling tendencies of the text. However, a larger number of sentences also introduces more irrelevant information and noise to the model, leading to classification errors. Therefore, the most appropriate number of sentences for the input text needs to be verified through experiments. As shown in Figure 14, the model performs best when the number of sentences is 32.

4.6.7. Effect of Batch Size and Learning Rate

This section presents experiments on the AT and RCV1 datasets, where the changes in model performance (measured by F1 score) and the number of epochs is analyzed under varying batch sizes and learning rates. The batch sizes are set to 32, 64, 128, and 256, and the learning rates are set to 1 × 10−4, 1 × 10−5, and 5 × 10−5. The experimental results are shown in Figure 15.
Analysis of batch size variation: It can be observed that on the AT dataset, the model performance peaks at a batch size of 64 and then starts to decline. On the RCV1 dataset, the maximum performance is achieved at a batch size of 128, followed by a similar decreasing trend. This behavior can be attributed to the fact that the RCV1 dataset contains more data and longer text sequences compared to the AT dataset. Consequently, a larger batch size allows the model to better capture the global features of the data and long-range dependencies. Additionally, as the batch size increases, the number of epochs required for training also increases.
Analysis of learning rate variation: On both datasets, the model’s performance (F1 score) and the number of epochs achieve their highest values when the learning rate is set to 1 × 10−5, with performance declining under other learning rates. An optimal learning rate helps the model achieve the best balance between precision and recall, thus maximizing the F1 score. When the learning rate exceeds 1 × 10−5, it may cause larger updates during training, which accelerates progress but can lead the model to skip the optimal solution. Conversely, when the learning rate is too small, the model may become stuck in local minima. Both of these scenarios could trigger early stopping, leading to the premature termination of training.

4.6.8. Performance Analysis on Tail Labels

This section of the experiment further explores the impact of imbalanced label distribution on experimental results, using the AT dataset as an example. The focus is on comparing the F 1 score for the tail labels with those of other models. Figure 16 presents the F 1 score of the LSBAFN model for tail labels 4 (Quantitative Biology) and 5 (Quantitative Finance) in the AT dataset. Each score is the average of three independent training runs.
In the AT dataset, the number of documents in labels 4 and 5 is significantly lower than in other labels. Specifically, the document-to-other-label ratio for these labels range from 14.6 to 8.9 for label 4 and from 34.51 to 20.91 for label 5, indicating a highly imbalanced label distribution. Such imbalances typically lead to poor performance in most models when handling tail labels, as the scarcity of data hinders the model’s ability to effectively capture the feature information of these labels during training.
As shown in Figure 16, the LSBAFN model achieves significantly higher scores for both tail labels compared to other models. This suggests that the LSBAFN model is well-suited to handle label imbalance and demonstrates strong robustness in such scenarios. This is primarily because the LSBAFN effectively leverages fine-grained, sentence-level information to enhance feature extraction from the data. Additionally, the use of label embeddings that incorporate textual information further improves the model’s ability to recognize and classify tail labels.

4.6.9. Efficiency Analysis

This section of the experiment further compares the training time, model size, and inference speed of several models, building upon the parameter count and training time of the LSBAFN model. Table 8 presents a comparative analysis of the LSBAFN model and other methods across several metrics, including training duration, the number of test instances processed per millisecond, model size, and parameter count. In the AT dataset, the LSBAFN model achieves the optimal results in terms of parameter count, model size, and the number of test instances processed per millisecond. In contrast, the AttentionXML model exhibits the shortest training time. On the SC dataset, the LSBAFN model still outperforms others in terms of parameter count and test instances processed per millisecond, while the AttentionXML model excels in training time and model size. For the RCV1 dataset, a comparison with the R-Transformer_BiLSTM model [44] based on the metrics reported in the respective paper shows that the LSBAFN model has significant advantages in terms of model size and training time. Overall, the comparison across these three datasets demonstrates that the LSBAFN model offers certain advantages in terms of parameter count, the number of test instances processed per millisecond, and model size.

5. Conclusions

In this paper, a Label-Sentence Bi-Attention Fusion Network (LSBAFN) with multi-level feature extraction mechanism is proposed. The model exploits semantic associations of text and labels to generate label representations and expand label features using similar words. This approach enables better utilization of the label information embedded in the text, thus enhancing the label-oriented text representation. In addition, the model uses a multi-level feature extraction mechanism and a label-sentence bi-attention fusion mechanism to extract textual information at different granularities from the sentence level and the document level, respectively. Label attention determines the importance of each label from the overall text and uses this weighting to identify text features required for classification. Sentence attention focuses on the tendency of the sentence towards the label, thus using both weights to identify sentence features related to the label. In this way, the model is able to mine both the sentence-to-label tendencies in the text and the label features in the overall text. These two features are fused so as to maximize the use of multi-granularity feature information in the text. Finally, a multilayer perceptron is used to capture the relationships between the fused features. The effectiveness of the LSBAFN is demonstrated through comparison experiments with the baseline models on three datasets.
In the future, we will further explore ways to enhance the performance of the LSBAFN and investigate how to more effectively leverage multi-granularity text information to achieve better text representations. In addition, we will further investigate the effects of using sentence-level features and bi-attention mechanisms on larger real datasets.

Author Contributions

Conceptualization, methodology, validation, data curation, writing—original draft preparation, writing—review and editing, visualization, A.L.; Supervision, L.Z. All authors have read and agreed to the published version of the manuscript.

Funding

This work is supported in part by Soft Science Project of Shanghai under Grant 24692106900. The funding organization did not participate in or influence the research design, data collection, analysis and interpretation, and manuscript writing.

Data Availability Statement

The open source dataset Article Topic dataset used in this study can be found at https://www.kaggle.com/datasets/shivanandmn/multilabel-classification-dataset, accessed on 3 January 2025. The open source dataset Software Category Dataset used in this study can be found at https://www.kaggle.com/datasets/aklimarimi/multi-label-classifier-dataset, accessed on 3 January 2025. Availability of the RCV1 dataset used in this study is limited. Data were obtained from the original authors and with permission from the authors, from https://trec.nist.gov/data/reuters/reuters.html, accessed on 3 January 2025.

Conflicts of Interest

The authors declare no conflicts of interest.

References

  1. He, Y.; Xiong, Q.; Ke, C.; Wang, Y.; Yang, Z.; Yi, H.; Fan, Q. MCICT: Graph Convolutional Network-Based End-to-End Model for Multi-Label Classification of Imbalanced Clinical Text. Biomed. Signal Process. Control 2024, 91, 105873. [Google Scholar] [CrossRef]
  2. Al-Smadi, B.S. DeBERTa-BiLSTM: A Multi-Label Classification Model of Arabic Medical Questions Using Pre-Trained Models and Deep Learning. Comput. Biol. Med. 2024, 170, 107921. [Google Scholar] [CrossRef]
  3. Haghighian Roudsari, A.; Afshar, J.; Lee, W.; Lee, S. PatentNet: Multi-Label Classification of Patent Documents Using Deep Learning Based Language Understanding. Scientometrics 2022, 127, 207–231. [Google Scholar] [CrossRef]
  4. Tang, T.; Tang, X.; Yuan, T. Fine-Tuning BERT for Multi-Label Sentiment Analysis in Unbalanced Code-Switching Text. IEEE Access 2020, 8, 193248–193256. [Google Scholar] [CrossRef]
  5. Ameer, I.; Bölücü, N.; Siddiqui, M.H.F.; Can, B.; Sidorov, G.; Gelbukh, A. Multi-Label Emotion Classification in Texts Using Transfer Learning. Expert Syst. Appl. 2023, 213, 118534. [Google Scholar] [CrossRef]
  6. Boutell, M.R.; Luo, J.; Shen, X.; Brown, C.M. Learning Multi-Label Scene Classification. Pattern Recognit. 2004, 37, 1757–1771. [Google Scholar] [CrossRef]
  7. Zhang, M.-L.; Zhou, Z.-H. ML-KNN: A Lazy Learning Approach to Multi-Label Learning. Pattern Recognit. 2007, 40, 2038–2048. [Google Scholar] [CrossRef]
  8. Prabhu, Y.; Varma, M. FastXML: A Fast, Accurate and Stable Tree-Classifier for Extreme Multi-Label Learning. In Proceedings of the 20th ACM SIGKDD International Conference on Knowledge Discovery and Data Mining, New York, NY, USA, 24–27 August 2014; ACM: New York, NY, USA, 24 August 2014; pp. 263–272. [Google Scholar]
  9. Kurata, G.; Xiang, B.; Zhou, B. Improved Neural Network-Based Multi-Label Classification with Better Initialization Leveraging Label Co-Occurrence. In Proceedings of the 2016 Conference of the North American Chapter of the Association for Computational Linguistics: Human Language Technologies, San Diego, CA, USA, 12–17 June 2016; Association for Computational Linguistics: Stroudsburg, PA, USA, 2016; pp. 521–526. [Google Scholar]
  10. Liu, P.; Qiu, X.; Huang, X. Recurrent Neural Network for Text Classification with Multi-Task Learning. In Proceedings of the Twenty-Fifth International Joint Conference on Artificial Intelligence, New York, NY, USA, 9–15 July 2016; AAAI Press: Washington, DC, USA, 2016; pp. 2873–2879. [Google Scholar]
  11. Zhou, Y.; Li, J.; Chi, J.; Tang, W.; Zheng, Y. Set-CNN: A Text Convolutional Neural Network Based on Semantic Extension for Short Text Classification. Knowl. Based Syst. 2022, 257, 109948. [Google Scholar] [CrossRef]
  12. He, S.; Schomaker, L. GR-RNN: Global-Context Residual Recurrent Neural Networks for Writer Identification. Pattern Recognit. 2021, 117, 107975. [Google Scholar] [CrossRef]
  13. Liang, M.; Niu, T. Research on Text Classification Techniques Based on Improved TF-IDF Algorithm and LSTM Inputs. Procedia Comput. Sci. 2022, 208, 460–470. [Google Scholar] [CrossRef]
  14. Zhang, Y.; Wang, J.; Zhang, X. Conciseness Is Better: Recurrent Attention LSTM Model for Document-Level Sentiment Analysis. Neurocomputing 2021, 462, 101–112. [Google Scholar] [CrossRef]
  15. Hochreiter, S.; Schmidhuber, J. Long Short-Term Memory. Neural Comput. 1997, 9, 1735–1780. [Google Scholar] [CrossRef] [PubMed]
  16. Zhu, B.; Pan, W. Chinese Text Classification Method Based on Sentence Information Enhancement and Feature Fusion. Heliyon 2024, 10, e36861. [Google Scholar] [CrossRef] [PubMed]
  17. Onan, A. Bidirectional Convolutional Recurrent Neural Network Architecture with Group-Wise Enhancement Mechanism for Text Sentiment Classification. J. King Saud. Univ. Comput. Inf. Sci. 2022, 34, 2098–2117. [Google Scholar] [CrossRef]
  18. Wang, J.; Zhang, Y.; Yu, L.-C.; Zhang, X. Contextual Sentiment Embeddings via Bi-Directional GRU Language Model. Knowl. Based Syst. 2022, 235, 107663. [Google Scholar] [CrossRef]
  19. Mahadevaswamy, U.B.; Swathi, P. Sentiment Analysis Using Bidirectional LSTM Network. Procedia Comput. Sci. 2023, 218, 45–56. [Google Scholar] [CrossRef]
  20. Vaswani, A.; Shazeer, N.; Parmar, N.; Uszkoreit, J.; Jones, L.; Gomez, A.N.; Kaiser, L.; Polosukhin, I. Attention Is All You Need. arXiv 2017, arXiv:1706.03762. [Google Scholar]
  21. Devlin, J.; Chang, M.-W.; Lee, K.; Toutanova, K. BERT: Pre-Training of Deep Bidirectional Transformers for Language Understanding. arXiv 2019, arXiv:1810.04805. [Google Scholar]
  22. Nithya, K.; Krishnamoorthi, M.; Easwaramoorthy, S.V.; Dhivyaa, C.R.; Yoo, S.; Cho, J. Hybrid Approach of Deep Feature Extraction Using BERT–OPCNN & FIAC with Customized Bi-LSTM for Rumor Text Classification. Alex. Eng. J. 2024, 90, 65–75. [Google Scholar] [CrossRef]
  23. Rai, N.; Kumar, D.; Kaushik, N.; Raj, C.; Ali, A. Fake News Classification Using Transformer Based Enhanced LSTM and BERT. Int. J. Cogn. Comput. Eng. 2022, 3, 98–105. [Google Scholar] [CrossRef]
  24. Luo, X.; Yu, Z.; Zhao, Z.; Zhao, W.; Wang, J.-H. Effective Short Text Classification via the Fusion of Hybrid Features for IoT Social Data. Digit. Commun. Netw. 2022, 8, 942–954. [Google Scholar] [CrossRef]
  25. Liu, S.; Liu, D.; Zhang, J. CNDA: Chinese Multi-Label Classification Model Based on Dual Attention. In Proceedings of the 2024 4th Asia Conference on Information Engineering (ACIE), Singapore, 26 January 2024; pp. 35–40. [Google Scholar]
  26. Ahanin, Z.; Ismail, M.A.; Singh, N.S.S.; AL-Ashmori, A. Hybrid Feature Extraction for Multi-Label Emotion Classification in English Text Messages. Sustainability 2023, 15, 12539. [Google Scholar] [CrossRef]
  27. Arslan, M.; Cruz, C. Imbalanced Multi-Label Classification for Business- Related Text with Moderately Large Label Spaces. arXiv 2023, arXiv:2306.07046. [Google Scholar]
  28. Xiao, L.; Huang, X.; Chen, B.; Jing, L. Label-Specific Document Representation for Multi-Label Text Classification. In Proceedings of the 2019 Conference on Empirical Methods in Natural Language Processing and the 9th International Joint Conference on Natural Language Processing (EMNLP-IJCNLP), Hong Kong, China, 3–7 November 2019; pp. 466–475. [Google Scholar]
  29. Huang, Y.; Bai, X.; Liu, Q.; Peng, H.; Yang, Q.; Wang, J. Sentence-Level Sentiment Classification Based on Multi-Attention Bidirectional Gated Spiking Neural P Systems. Appl. Soft Comput. 2024, 152, 111231. [Google Scholar] [CrossRef]
  30. Annamoradnejad, I.; Zoghi, G. ColBERT: Using BERT Sentence Embedding in Parallel Neural Networks for Computational Humor. Expert Syst. Appl. 2024, 249, 123685. [Google Scholar] [CrossRef]
  31. Elisseeff, A.; Weston, J. A Kernel Method for Multi-Labelled Classification. In Advances in Neural Information Processing Systems; MIT Press: Cambridge, MA, USA, 2001; Volume 14. [Google Scholar]
  32. Chiang, T.-H.; Lo, H.-Y.; Lin, S.-D. A Ranking-Based KNN Approach for Multi-Label Classification. In Proceedings of the Asian Conference on Machine Learning, New York, NY, USA, 17 November 2012; Volume 25, pp. 81–96. [Google Scholar]
  33. Zhang, J.; Li, Y.; Shen, F.; He, Y.; Tan, H.; He, Y. Hierarchical Text Classification with Multi-Label Contrastive Learning and KNN. Neurocomputing 2024, 577, 127323. [Google Scholar] [CrossRef]
  34. Yang, Z.; Emmert-Streib, F. Optimal Performance of Binary Relevance CNN in Targeted Multi-Label Text Classification. Knowl. Based Syst. 2024, 284, 111286. [Google Scholar] [CrossRef]
  35. Kim, Y. Convolutional Neural Networks for Sentence Classification. In Proceedings of the 2014 Conference on Empirical Methods in Natural Language Processing (EMNLP), Doha, Qatar, 25–29 October 2014; Moschitti, A., Pang, B., Daelemans, W., Eds.; Association for Computational Linguistics: Stroudsburg, PA, USA, October 2014; pp. 1746–1751. [Google Scholar]
  36. Chen, W.; Xu, B. Semi-Supervised Chinese Word Segmentation Based on Bilingual Information. In Proceedings of the 2015 Conference on Empirical Methods in Natural Language Processing, Lisbon, Portugal, 17–21 September 2015; Association for Computational Linguistics: Stroudsburg, PA, USA, 2015; pp. 1207–1216. [Google Scholar]
  37. Liu, J.; Chang, W.-C.; Wu, Y.; Yang, Y. Deep Learning for Extreme Multi-Label Text Classification. In Proceedings of the 40th International ACM SIGIR Conference on Research and Development in Information Retrieval, Shinjuku, Tokyo, Japan, 7 August 2017; pp. 115–124. [Google Scholar]
  38. Johnson, R.; Zhang, T. Effective Use of Word Order for Text Categorization with Convolutional Neural Networks. In Proceedings of the 2015 Conference of the North American Chapter of the Association for Computational Linguistics: Human Language Technologies, Denver, CO, USA, 31 May 2015; Mihalcea, R., Chai, J., Sarkar, A., Eds.; Association for Computational Linguistics: Stroudsburg, PA, USA, May 2015; pp. 103–112. [Google Scholar]
  39. Chen, G.; Ye, D.; Xing, Z.; Chen, J.; Cambria, E. Ensemble Application of Convolutional and Recurrent Neural Networks for Multi-Label Text Categorization. In Proceedings of the 2017 International Joint Conference on Neural Networks (IJCNN), Anchorage, AK, USA, 14–17 May 2017; pp. 2377–2383. [Google Scholar]
  40. Du, J.; Gui, L.; Xu, R.; He, Y. A Convolutional Attention Model for Text Classification. In Natural Language Processing and Chinese Computing; Huang, X., Jiang, J., Zhao, D., Feng, Y., Hong, Y., Eds.; Lecture Notes in Computer Science; Springer International Publishing: Cham, Switzerland, 2018; Volume 10619, pp. 183–195. ISBN 978-3-319-73617-4. [Google Scholar]
  41. Ma, H.; Li, Y.; Ji, X.; Han, J.; Li, Z. MsCoa: Multi-Step Co-Attention Model for Multi-Label Classification. IEEE Access 2019, 7, 109635–109645. [Google Scholar] [CrossRef]
  42. Huang, X.; Chen, B.; Xiao, L.; Yu, J.; Jing, L. Label-Aware Document Representation via Hybrid Attention for Extreme Multi-Label Text Classification. Neural Process. Lett. 2022, 54, 3601–3617. [Google Scholar] [CrossRef]
  43. Chang, W.-C.; Yu, H.-F.; Zhong, K.; Yang, Y.; Dhillon, I.S. Taming Pretrained Transformers for Extreme Multi-Label Text Classification. In Proceedings of the 26th ACM SIGKDD International Conference on Knowledge Discovery & Data Mining, Virtual Event, CA, USA, 23 August 2020; pp. 3163–3171. [Google Scholar]
  44. Yan, Y.; Liu, F.; Zhuang, X.; Ju, J. An R-Transformer_BiLSTM Model Based on Attention for Multi-Label Text Classification. Neural Process. Lett. 2023, 55, 1293–1316. [Google Scholar] [CrossRef]
  45. Liu, W.; Pang, J.; Li, N.; Zhou, X.; Yue, F. Research on Multi-Label Text Classification Method Based on tALBERT-CNN. Int. J. Comput. Intell. Syst. 2021, 14, 201. [Google Scholar] [CrossRef]
  46. Yang, P.; Sun, X.; Li, W.; Ma, S.; Wu, W.; Wang, H. SGM: Sequence Generation Model for Multi-Label Classification. In Proceedings of the 27th International Conference on Computational Linguistics, Santa Fe, NM, USA, 20–26 August 2018; Bender, E.M., Derczynski, L., Isabelle, P., Eds.; Association for Computational Linguistics: Stroudsburg, PA, USA, August 2018; pp. 3915–3926. [Google Scholar]
  47. Wang, G.; Li, C.; Wang, W.; Zhang, Y.; Shen, D.; Zhang, X.; Henao, R.; Carin, L. Joint Embedding of Words and Labels for Text Classification. arXiv 2018, arXiv:1805.04174. [Google Scholar]
  48. Zhao, H.; Li, X.; Wang, F.; Zeng, Q.; Diao, X. Incorporating Keyword Extraction and Attention for Multi-Label Text Classification. J. Intell. Fuzzy Syst. 2023, 45, 2083–2093. [Google Scholar] [CrossRef]
  49. Sadat, M.; Caragea, C. Hierarchical Multi-Label Classification of Scientific Documents. In Proceedings of the 2022 Conference on Empirical Methods in Natural Language Processing, Abu Dhabi, United Arab Emirates, 7–11 December 2022; pp. 8923–8937. [Google Scholar]
  50. Mikolov, T.; Chen, K.; Corrado, G.; Dean, J. Efficient Estimation of Word Representations in Vector Space. arXiv 2013, arXiv:1301.3781. [Google Scholar]
  51. Pennington, J.; Socher, R.; Manning, C. Glove: Global Vectors for Word Representation. In Proceedings of the 2014 Conference on Empirical Methods in Natural Language Processing (EMNLP), Doha, Qatar, 25–29 October 2014; Association for Computational Linguistics: Stroudsburg, PA, USA, 2014; pp. 1532–1543. [Google Scholar]
  52. Aharoni, R.; Goldberg, Y. Unsupervised Domain Clusters in Pretrained Language Models. In Proceedings of the 58th Annual Meeting of the Association for Computational Linguistics, Online, 5–10 July 2020; Jurafsky, D., Chai, J., Schluter, N., Tetreault, J., Eds.; Association for Computational Linguistics: Online, 2020; pp. 7747–7763. [Google Scholar]
  53. Wang, Z.; Mekala, D.; Shang, J. X-Class: Text Classification with Extremely Weak Supervision. In Proceedings of the 2021 Conference of the North American Chapter of the Association for Computational Linguistics: Human Language Technologies, Online, 6–11 June 2021; Association for Computational Linguistics: Online, 2021; pp. 3043–3053. [Google Scholar]
  54. Powers, D.M.W. Applications and Explanations of Zipf’s Law. In Proceedings of the New Methods in Language Processing and Computational Natural Language Learning, Sydney, Australia, 11–17 January 1998. [Google Scholar]
  55. Lin, Z.; Feng, M.; Santos, C.N.D.; Yu, M.; Xiang, B.; Zhou, B.; Bengio, Y. A Structured Self-Attentive Sentence Embedding. arXiv 2017, arXiv:1703.03130. [Google Scholar]
  56. Lewis, D.D.; Com, D.; Yang, Y.; Rose, T.G.; Net, T.; Li, F. RCV1: A New Benchmark Collection for Text Categorization Research. J. Mach. Learn. Res. 2004, 5, 361–397. [Google Scholar]
  57. Loshchilov, I.; Hutter, F. Fixing Weight Decay Regularization in Adam. arXiv 2017, arXiv:1711.05101v2. [Google Scholar]
  58. Read, J.; Pfahringer, B.; Holmes, G.; Frank, E. Classifier Chains for Multi-Label Classification. Mach. Learn. 2011, 85, 333–359. [Google Scholar] [CrossRef]
  59. Tsoumakas, G.; Katakis, I.; Vlahavas, I. Mining Multi-Label Data. In Data Mining and Knowledge Discovery Handbook; Maimon, O., Rokach, L., Eds.; Springer: Boston, MA, USA, 2009; pp. 667–685. ISBN 978-0-387-09822-7. [Google Scholar]
  60. You, R.; Zhang, Z.; Wang, Z.; Dai, S.; Mamitsuka, H.; Zhu, S. AttentionXML: Label Tree-Based Attention-Aware Deep Model for High-Performance Extreme Multi-Label Text Classification. arXiv 2019, arXiv:1811.01727. [Google Scholar]
  61. Pal, A.; Selvakumar, M.; Sankarasubbu, M. Multi-Label Text Classification Using Attention-Based Graph Neural Network. In Proceedings of the International Conference on Agents and Artificial Intelligence, Valletta, Malta, 22–24 February 2020. [Google Scholar]
  62. Du, C.; Chen, Z.; Feng, F.; Zhu, L.; Gan, T.; Nie, L. Explicit Interaction Model towards Text Classification. In Proceedings of the AAAI Conference on Artificial Intelligence, Honolulu, HI, USA, 17 July 2019; Volume 33, pp. 6359–6366. [Google Scholar]
  63. Zhao, W.; Peng, H.; Eger, S.; Cambria, E.; Yang, M. Towards Scalable and Reliable Capsule Networks for Challenging NLP Applications. In Proceedings of the 57th Annual Meeting of the Association for Computational Linguistics, Florence, Italy, 28 July–2 August 2019; Korhonen, A., Traum, D., Màrquez, L., Eds.; Association for Computational Linguistics: Stroudsburg, PA, USA, 2019; pp. 1549–1559. [Google Scholar]
  64. Xiao, L.; Zhang, X.; Jing, L.; Huang, C.; Song, M. Does Head Label Help for Long-Tailed Multi-Label Text Classification. arXiv 2021, arXiv:2101.09704. [Google Scholar] [CrossRef]
  65. Gong, J.; Teng, Z.; Teng, Q.; Zhang, H.; Du, L.; Chen, S.; Bhuiyan, M.Z.A.; Li, J.; Liu, M.; Ma, H. Hierarchical Graph Transformer-Based Deep Learning Model for Large-Scale Multi-Label Text Classification. IEEE Access 2020, 8, 30885–30896. [Google Scholar] [CrossRef]
  66. Li, I.; Feng, A.; Wu, H.; Li, T.; Suzumura, T.; Dong, R. LiGCN: Label-Interpretable Graph Convolutional Networks for Multi-Label Text Classification. In Proceedings of the 2nd Workshop on Deep Learning on Graphs for Natural Language Processing (DLG4NLP 2022), Seattle, DC, USA, 15 July 2022; Wu, L., Liu, B., Mihalcea, R., Pei, J., Zhang, Y., Li, Y., Eds.; Association for Computational Linguistics: Stroudsburg, PA, USA, 2022; pp. 60–70. [Google Scholar]
Figure 1. Structure of the LSBAFN model.
Figure 1. Structure of the LSBAFN model.
Electronics 14 00185 g001
Figure 2. Structure of the label-based multi-granularity sentence representation learning.
Figure 2. Structure of the label-based multi-granularity sentence representation learning.
Electronics 14 00185 g002
Figure 3. Illustration of label-sentence bi-attention fusion mechanism.
Figure 3. Illustration of label-sentence bi-attention fusion mechanism.
Electronics 14 00185 g003
Figure 4. Performance evaluation of P@k (k = 1, 3, 5) and nDCG@k (k = 3, 5) on the Article Topic dataset and the Software Category Dataset. (a) Article Topic; (b) Software Category.
Figure 4. Performance evaluation of P@k (k = 1, 3, 5) and nDCG@k (k = 3, 5) on the Article Topic dataset and the Software Category Dataset. (a) Article Topic; (b) Software Category.
Electronics 14 00185 g004
Figure 5. Performance evaluation of P@k (k = 1, 3, 5) and nDCG@k (k = 3, 5) on the RCV1 dataset.
Figure 5. Performance evaluation of P@k (k = 1, 3, 5) and nDCG@k (k = 3, 5) on the RCV1 dataset.
Electronics 14 00185 g005
Figure 6. Visualization of t-SNE on AT dataset.
Figure 6. Visualization of t-SNE on AT dataset.
Electronics 14 00185 g006
Figure 7. Results of ablation experiments w/ and w/o denote the use or non-use of a module, respectively. Bi denotes Bi-LSTM layer, MHA denotes multi-head attention layer, MA denotes multi-level feature extraction and label-sentence attention, MLP denotes multi-layer perceptron layer, and D denotes the use of document-level features.
Figure 7. Results of ablation experiments w/ and w/o denote the use or non-use of a module, respectively. Bi denotes Bi-LSTM layer, MHA denotes multi-head attention layer, MA denotes multi-level feature extraction and label-sentence attention, MLP denotes multi-layer perceptron layer, and D denotes the use of document-level features.
Electronics 14 00185 g007
Figure 8. Effect of Bi-LSTM layers.
Figure 8. Effect of Bi-LSTM layers.
Electronics 14 00185 g008
Figure 9. Effect of the number of Bi-LSTM hidden layer nodes.
Figure 9. Effect of the number of Bi-LSTM hidden layer nodes.
Electronics 14 00185 g009
Figure 10. Effect of Multi-Head-Attention heads.
Figure 10. Effect of Multi-Head-Attention heads.
Electronics 14 00185 g010
Figure 11. Effect of label-sentence bi-attention mechanism. LA denotes label attention, SA denotes sentence attention, SA1 denotes individual sentence attention to the label, and SA2 denotes the combine.
Figure 11. Effect of label-sentence bi-attention mechanism. LA denotes label attention, SA denotes sentence attention, SA1 denotes individual sentence attention to the label, and SA2 denotes the combine.
Electronics 14 00185 g011
Figure 12. A heat map showing the correlation between words and labels in an AT document that belongs to two categories: computer science and statistics. Darker colors represent stronger associations.
Figure 12. A heat map showing the correlation between words and labels in an AT document that belongs to two categories: computer science and statistics. Darker colors represent stronger associations.
Electronics 14 00185 g012
Figure 13. Test performance by varying training data proportions.
Figure 13. Test performance by varying training data proportions.
Electronics 14 00185 g013
Figure 14. Effect of maximum number of sentences.
Figure 14. Effect of maximum number of sentences.
Electronics 14 00185 g014
Figure 15. Effect of batch size and learning rate on AT dataset and RCV1 dataset.
Figure 15. Effect of batch size and learning rate on AT dataset and RCV1 dataset.
Electronics 14 00185 g015
Figure 16. Comparison of F1 scores for tail labels.
Figure 16. Comparison of F1 scores for tail labels.
Electronics 14 00185 g016
Table 1. Statistics of the datasets.
Table 1. Statistics of the datasets.
Datasets D N M L A V S
AT20,97216,777419561571.256.66
SC 20,41016,328408230891.425.06
RCV1804,41423,149781,2651032503.2418.84
D is the number of documents, N is the number of training documents, M is the number of test documents, L is the number of labels, A is the average number of words, V is the average number of labels in a document, and S is the average number of sentences.
Table 2. Hyperparameter settings, computation time, and model parameters for the three datasets.
Table 2. Hyperparameter settings, computation time, and model parameters for the three datasets.
Datasets B T H H ^ f c H ^ m l p L M ^ Train
(Hours)
Test
(ms/Sample)
Params
(MB)
AT183843843846320.193.0824.82
SC1876876876830320.652.554.34
RCV118768768768103320.353.5354.99
B is the number of Bi-LSTM layers, T is the number of multi-head attention heads, H is the hidden size of Bi-LSTM, H ^ f c is the hidden size of linear layers, H ^ m l p is the hidden size of MLP layers, L is the number of labels, and M ^ is the average number of sentences.
Table 3. Performance comparison of different methods on the Article Topic dataset, evaluated by Hamming Loss (HL), Micro-Precision (MiP), Micro-Recall (MiR), Micro-F1 (MiF1), and Macro-F1 (MaF1).
Table 3. Performance comparison of different methods on the Article Topic dataset, evaluated by Hamming Loss (HL), Micro-Precision (MiP), Micro-Recall (MiR), Micro-F1 (MiF1), and Macro-F1 (MaF1).
Methods H L (−) M i P (+) M i R (+) M i F 1 (+) M a F 1 (+)
BR0.085490.81070.77090.79030.6819
CC0.084660.81200.77710.79420.6894
LP0.090900.78160.78010.78080.7024
MLKNN0.121060.70820.71830.71320.5849
AttentionXML0.302220.40850.96930.57480.5387
LSAN0.071510.83540.82190.82860.6338
LSBAFN (ours)0.068990.83560.83370.83460.7805
The best result is marked in bold, and the second-best result is marked with an underline. (–) indicates that the model works better when the indicator is lower. (+) indicates that the model works better when the indicator is higher.
Table 4. Performance evaluation of P@k (k = 1, 3, 5) and nDCG@k (k = 3, 5) on the Article Topic dataset and the Software Category Dataset.
Table 4. Performance evaluation of P@k (k = 1, 3, 5) and nDCG@k (k = 3, 5) on the Article Topic dataset and the Software Category Dataset.
DatasetsMetrics (+)BRCCLPMLKNNAttentionXMLLSANLSBAFN (Ours)
Article TopicP@1 80.8983.2282.7273.4483.5087.8888.80
P@3 32.2132.6732.3930.1140.8540.8640.87
P@5 19.3319.6019.4318.0624.5125.1625.02
nDCG@3 85.2185.7585.0079.8291.7493.4994.42
nDCG@5 88.6589.2188.5484.5091.7494.5395.16
Software CategoryP@1 62.4068.3782.4691.6792.4392.2192.76
P@328.3231.0139.5942.3844.1043.5144.54
P@517.3118.7824.1325.7126.4626.7727.45
nDCG@3 63.0668.2483.0591.9493.2892.7693.87
nDCG@5 64.2269.1783.5792.1892.9693.3994.41
The best result is marked in bold, and the second-best result is marked with an underline. (+) indicates that the model works better when the indicator is higher. Data in the table are expressed in percentage (%).
Table 5. Performance evaluation of P@k (k = 1, 3, 5) and nDCG@k (k = 3, 5) on the RCV1 dataset.
Table 5. Performance evaluation of P@k (k = 1, 3, 5) and nDCG@k (k = 3, 5) on the RCV1 dataset.
Methods P @ 1 (+) P @ 3 (+) P @ 5 (+) n D C G @ 3 (+) n D C G @ 5 (+)
MAGNET96.7781.3856.5992.5893.15
EXAM93.6775.8052.7386.8587.71
XML-CNN96.8681.1156.0792.2292.63
AttentionXML96.4180.9156.3891.8892.70
LSAN96.8181.8956.9292.8393.43
LAHA96.9581.4356.4492.6993.01
NLP-Cap97.0581.2756.3392.4793.11
HTTN95.8678.9255.2789.6190.86
HR-DGCNN95.2980.3255.3890.0290.28
HG-Transformer95.8080.9855.9690.0391.96
BERT-LiGCN94.4280.9855.4891.9391.94
LSBAFN (ours)97.1982.1357.3993.0193.81
The best result is marked in bold, and the second-best result is marked with an underline. (+) indicates that the model works better when the indicator is higher. Data in the table are expressed in percentage (%).
Table 6. Statistics for Hamming Loss (HL), Micro-Precision (MiP), Micro-Recall (MiR), Micro-F1 (MiF1), and Macro-F1 (MaF1) for the Article Topic dataset on the LSBAFN model.
Table 6. Statistics for Hamming Loss (HL), Micro-Precision (MiP), Micro-Recall (MiR), Micro-F1 (MiF1), and Macro-F1 (MaF1) for the Article Topic dataset on the LSBAFN model.
DatasetsStatistical Indicators H L M i P M i R M i F 1 M a F 1
ATmax0.068990.83560.83480.83460.7805
avg0.069470.83350.83400.83380.7771
min0.070150.83120.83360.83240.7723
std6 × 10−42.2 × 10−46 × 10−41.2 × 10−44.3 × 10−4
Max denotes the maximum value, avg denotes the mean value, min denotes the minimum value, and std denotes the standard deviation of the indicator.
Table 7. Statistics for P@k (k = 1, 3, 5) and nDCG@k (k = 3, 5) for three datasets on the LSBAFN model.
Table 7. Statistics for P@k (k = 1, 3, 5) and nDCG@k (k = 3, 5) for three datasets on the LSBAFN model.
DatasetsStatistical Indicators P @ 1 P @ 3 P @ 5 n D C G @ 3 n D C G @ 5
ATmax88.8040.9325.0694.4295.16
avg88.7240.9125.0594.3895.14
min88.6040.8725.0294.3395.09
std1 × 10−43 × 10−42 × 10−47 × 10−44 × 10−4
SCmax92.7644.5727.5193.8894.41
avg92.4644.3827.3993.7194.31
min92.0444.0527.1993.5394.20
std3.7 × 10−42.9 × 10−41.7 × 10−41.8 × 10−51.1 × 10−4
RCV1max97.1282.1457.4093.0193.81
avg97.1382.1357.4092.9993.80
min97.0782.1057.3992.9693.78
std6 × 10−42 × 10−45.7 × 10−53 × 10−42 × 10−4
Max denotes the maximum value, avg denotes the mean value, min denotes the minimum value, and std denotes the standard deviation of the indicator. Data in the table are expressed in percentage (%).
Table 8. Efficiency, number of parameters, and model size of different models on three datasets.
Table 8. Efficiency, number of parameters, and model size of different models on three datasets.
DatasetsMethodTrain
(Hours)
Test
(ms/Sample)
Model Size
(MB)
Params
(MB)
ATBR0.231.68--
AttentionXML0.111.40192.32183.41
LSAN0.151.44670.96216.96
LSBAFN0.193.0878.1124.82
SCBR0.250.59--
AttentionXML0.101.5676.2972.75
LSAN0.461.43243.1180.97
LSBAFN0.652.50170.9754.34
RCV1R-Transformer_BiLSTM3.11 4.283194.88-
LSBAFN0.403.53172.9954.99
Disclaimer/Publisher’s Note: The statements, opinions and data contained in all publications are solely those of the individual author(s) and contributor(s) and not of MDPI and/or the editor(s). MDPI and/or the editor(s) disclaim responsibility for any injury to people or property resulting from any ideas, methods, instructions or products referred to in the content.

Share and Cite

MDPI and ACS Style

Li, A.; Zhang, L. Multi-Label Text Classification Based on Label-Sentence Bi-Attention Fusion Network with Multi-Level Feature Extraction. Electronics 2025, 14, 185. https://doi.org/10.3390/electronics14010185

AMA Style

Li A, Zhang L. Multi-Label Text Classification Based on Label-Sentence Bi-Attention Fusion Network with Multi-Level Feature Extraction. Electronics. 2025; 14(1):185. https://doi.org/10.3390/electronics14010185

Chicago/Turabian Style

Li, Anqi, and Lin Zhang. 2025. "Multi-Label Text Classification Based on Label-Sentence Bi-Attention Fusion Network with Multi-Level Feature Extraction" Electronics 14, no. 1: 185. https://doi.org/10.3390/electronics14010185

APA Style

Li, A., & Zhang, L. (2025). Multi-Label Text Classification Based on Label-Sentence Bi-Attention Fusion Network with Multi-Level Feature Extraction. Electronics, 14(1), 185. https://doi.org/10.3390/electronics14010185

Note that from the first issue of 2016, this journal uses article numbers instead of page numbers. See further details here.

Article Metrics

Back to TopTop