Gait Phase Recognition of Hip Exoskeleton System Based on CNN and HHO-SVM Model
Abstract
1. Introduction
2. Methods
2.1. Experimental Procedures
2.2. Data Collection
2.2.1. Wearable Device Overview
2.2.2. Data Collection and Preprocessing
2.2.3. Segmentation and Labeling
- Heel strike (HS): initial ipsilateral heel contact: FSR Heel > threshold1, FSR Thumb < threshold2, n above > 20
- Flatfoot (FF): Initial ipsilateral foot contact: FSR Heel > threshold2, FSR Thumb > threshold2, n above > 20
- Heel off the ground (HO): ipsilateral heel raise: FSR Heel < threshold2, FSR Thumb > threshold2, n above > 20
- Swing (SW): ipsilateral foot lift: FSR Heel < threshold2, FSR Thumb < threshold2, n above > 20
2.3. Gait Phase Estimator Model
2.3.1. SVM Classifier
2.3.2. CNN Classifier
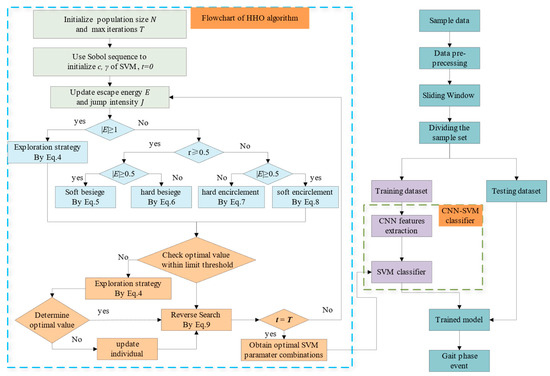
2.3.3. Improved Algorithm
- (1)
- Global search phase when : The Harris Hawk randomly perches and searches for prey using two strategies:where and are the positions of the individuals at the current and next iterations, respectively. is the position of the randomly selected individual. is the position of the prey, i.e., the position of the individual with optimal fitness. are random numbers between [0, 1]. is used to randomly select the strategy to be employed. is the average position of the individuals. are the upper and lower bounds of the Harris hawk population search space.
- (2)
- Local exploration phase when :
- (a)
- Development phase: define a random number between 0 and 1. When and , a soft siege strategy is adopted for position update:
- (b)
- When and , a hard siege is taken for a positional follow-up:
- (c)
- When and , an asymptotically fast swooping hard-envelope strategy is adopted for position updating:
- (d)
- When and , the soft envelopment strategy of asymptotic fast dive is adopted for position update:where is the cross-validation function of the support vector machine. is a 2-dimensional random vector, elements of which are random numbers between [0, 1], and LF is the mathematical expression for the Levy Flight.
2.4. Architecture of the CNN-HHO-SVM Combined Model
2.5. Statistical Analysis
3. Results
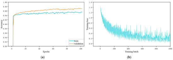
3.1. Performance Evaluation with Cross-Validation
3.2. Performance of Gait Phase Detection
4. Discussion
4.1. Analysis of Accuracy and Generalizability
4.2. Limitations and Potential Improvements
5. Conclusions
Author Contributions
Funding
Institutional Review Board Statement
Informed Consent Statement
Data Availability Statement
Conflicts of Interest
References
- Ma, Y.; Wu, X.; Yi, J.; Wang, C.; Chen, C. A review on human–exoskeleton coordination towards lower limb robotic exoskeleton systems. Int. J. Robot. Autom. 2019, 34, 431–451. [Google Scholar] [CrossRef]
- Bernhardt, M.; Frey, M.; Colombo, G.; Riener, R. Hybrid force-position control yields cooperative behaviour of the rehabilitation robot LOKOMAT. In Proceedings of the 9th International Conference on Rehabilitation Robotics, 2005. ICORR 2005, Chicago, IL, USA, 28 June–1 July 2005; pp. 536–539. [Google Scholar] [CrossRef]
- Banala, S.K.; Kim, S.H.; Agrawal, S.K.; Scholz, J.P. Robot assisted gait training with active leg exoskeleton (ALEX). In Proceedings of the 2008 2nd IEEE RAS & EMBS International Conference on Biomedical Robotics and Biomechatronics, Scottsdale, AZ, USA, 19–22 October 2008; pp. 653–658. [Google Scholar] [CrossRef]
- Zeilig, G.; Weingarden, H.; Zwecker, M.; Dudkiewicz, I.; Bloch, A.; Esquenazi, A. Safety and tolerance of the ReWalkTM exoskeleton suit for ambulation by people with complete spinal cord injury: A pilot study. J. Spinal Cord Med. 2012, 35, 96–101. [Google Scholar] [CrossRef]
- Kawamoto, H.; Kandone, H.; Sakurai, T.; Ariyasu, R.; Ueno, Y.; Eguchi, K.; Sankai, Y. Development of an assist controller with robot suit HAL for hemiplegic patients using motion data on the unaffected side. In Proceedings of the 2014 36th Annual International Conference of the IEEE Engineering in Medicine and Biology Society, Chicago, IL, USA, 26–30 August 2014; pp. 3077–3080. [Google Scholar] [CrossRef]
- Kazerooni, H.; Racine, J.-L.; Huang, L.; Steger, R. On the Control of the Berkeley Lower Extremity Exoskeleton (BLEEX). In Proceedings of the 2005 IEEE International Conference on Robotics and Automation, Barcelona, Spain, 18–22 April 2005; pp. 4353–4360. [Google Scholar] [CrossRef]
- Xia, Y.; Li, J.; Yang, D.; Wei, W. Gait Phase Classification of Lower Limb Exoskeleton Based on a Compound Network Model. Symmetry 2023, 15, 163. [Google Scholar] [CrossRef]
- Manchola, M.D.S.; Bernal, M.J.P.; Munera, M.; Cifuentes, C.A. Gait Phase Detection for Lower-Limb Exoskeletons using Foot Motion Data from a Single Inertial Measurement Unit in Hemiparetic Individuals. Sensors 2019, 19, 2988. [Google Scholar] [CrossRef] [PubMed]
- Sánchez-Manchola, M.; Arciniegas-Mayag, L.; Múnera, M.; Bourgain, M.; Provot, T.; Cifuentes, C.A. Effects of stance control via hidden Markov model-based gait phase detection on healthy users of an active hip-knee exoskeleton. Front. Bioeng. Biotechnol. 2023, 11, 1021525. [Google Scholar] [CrossRef]
- Barker, S.; Craik, R.; Freedman, W.; Herrmann, N.; Hillstrom, H. Accuracy, reliability, and validity of a spatiotemporal gait analysis system. Med. Eng. Phys. 2006, 28, 460–467. [Google Scholar] [CrossRef] [PubMed]
- Prakash, C.; Kumar, R.; Mittal, N. Recent developments in human gait research: Parameters, approaches, applications, machine learning techniques, datasets and challenges. Artif. Intell. Rev. 2018, 49, 1–40. [Google Scholar] [CrossRef]
- Du, F.; Chen, J.; Wang, X. Human motion measurement and mechanism analysis during exoskeleton design. In Proceedings of the 2016 23rd International Conference on Mechatronics and Machine Vision in Practice (M2VIP), Nanjing, China, 28–30 November 2016; pp. 1–5. [Google Scholar] [CrossRef]
- Song, J.; Zhu, A.; Tu, Y.; Mao, H.; Zhang, X. Adaptive neural fuzzy reasoning method for recognizing human movement gait phase. Robot. Auton. Syst. 2022, 153, 104087. [Google Scholar] [CrossRef]
- Chinmilli, P.T.; Redkar, S.; Zhang, W.; Sugar, T. A review on wearable inertial tracking based human gait analysis and control strategies of lower-limb exoskeletons. Int. Robot. Autom. J. 2017, 3, 00080. [Google Scholar]
- Strick, J.A.; Farris, R.J.; Sawicki, J.T. A Novel Gait Event Detection Algorithm Using a Thigh-Worn Inertial Measurement Unit and Joint Angle Information. J. Biomech. Eng. 2024, 146, 044502. [Google Scholar] [CrossRef]
- Sun, M.; Cui, S.; Wang, Z.; Luo, H.; Yang, H.; Ouyang, X.; Xu, K. A laser-engraved wearable gait recognition sensor system for exoskeleton robots. Microsyst. Nanoeng. 2024, 10, 50. [Google Scholar] [CrossRef]
- Reza, S.M.T.; Ahmad, N.; Choudhury, I.A.; Ghazilla, R.A.R. A study on muscle activities through surface EMG for lower limb exoskeleton controller. In Proceedings of the 2013 IEEE Conference on Systems, Process & Control (ICSPC), Kuala Lumpur, Malaysia, 13–15 December 2013; pp. 159–163. [Google Scholar] [CrossRef]
- Zhang, Z.; Wang, Z.; Lei, H.; Gu, W. Gait phase recognition of lower limb exoskeleton system based on the integrated network model. Biomed. Signal Process. Control 2022, 76, 103693. [Google Scholar] [CrossRef]
- Chen, W.; Li, J.; Zhu, S.; Zhang, X.; Men, Y.; Wu, H. Gait Recognition for Lower Limb Exoskeletons Based on Interactive Information Fusion. Appl. Bionics Biomech. 2022, 2022, 9933018. [Google Scholar] [CrossRef]
- Kolaghassi, R.; Al-Hares, M.K.; Sirlantzis, K. Systematic Review of Intelligent Algorithms in Gait Analysis and Prediction for Lower Limb Robotic Systems. IEEE Access 2021, 9, 113788–113812. [Google Scholar] [CrossRef]
- Mutlag, W.K.; Ali, S.K.; Aydam, Z.M.; Taher, B.H. Feature Extraction Methods: A Review. J. Phys. Conf. Ser. 2020, 1591, 012028. [Google Scholar] [CrossRef]
- Lv, P.; Zhang, C.; Yi, F.; Yuan, T.; Li, S.; Zhang, M. A Novel FSVM with PSO for gait phase detection based on elastic pressure sensing insole system. Int. J. Intell. Robot. Appl. 2024, 8, 596–608. [Google Scholar] [CrossRef]
- Farah, J.D.; Baddour, N.; Lemaire, E.D. Gait phase detection from thigh kinematics using machine learning techniques. In Proceedings of the 2017 IEEE International Symposium on Medical Measurements and Applications (MeMeA), Rochester, MN, USA, 7–10 May 2017; pp. 263–268. [Google Scholar] [CrossRef]
- Ziegler, J.; Gattringer, H.; Mueller, A. Classification of Gait Phases Based on Bilateral EMG Data Using Support Vector Machines. In Proceedings of the 2018 7th IEEE International Conference on Biomedical Robotics and Biomechatronics (Biorob), Enschede, The Netherlands, 26–29 August 2018; pp. 978–983. [Google Scholar] [CrossRef]
- Gu, J.; Wang, Z.; Kuen, J.; Ma, L.; Shahroudy, A.; Shuai, B.; Liu, T.; Wang, X.; Wang, G.; Cai, J.; et al. Recent advances in convolutional neural networks. Pattern Recognit. 2018, 77, 354–377. [Google Scholar] [CrossRef]
- LeCun, Y.; Bengio, Y.; Hinton, G. Deep learning. Nature 2015, 521, 436–444. [Google Scholar] [CrossRef]
- Yang, J.B.; Nguyen, M.N.; San, P.P.; Li, X.L.; Krishnaswamy, S. Deep Convolutional Neural Networks on Multichannel Time Series for Human Activity Recognition. Ijcai 2015, 15, 3995–4001. [Google Scholar]
- Sawada, A.; Miyagawa, T.; Ebihara, A.; Yachida, S.; Hosoi, T. Convolutional Neural Networks for Time-dependent Classification of Variable-length Time Series. In Proceedings of the 2022 International Joint Conference on Neural Networks (IJCNN), Padua, Italy, 18–23 July 2022; pp. 1–8. [Google Scholar] [CrossRef]
- Lecun, Y.; Bottou, L.; Bengio, Y.; Haffner, P. Gradient-based learning applied to document recognition. Proc. IEEE 1998, 86, 2278–2324. [Google Scholar] [CrossRef]
- Niu, X.-X.; Suen, C.Y. A novel hybrid CNN–SVM classifier for recognizing handwritten digits. Pattern Recognit. 2012, 45, 1318–1325. [Google Scholar] [CrossRef]
- Athavale, V.A.; Gupta, S.C.; Kumar, D.; Savita, S. Human Action Recognition Using CNN-SVM Model. Adv. Sci. Technol. 2021, 105, 282–290. [Google Scholar] [CrossRef]
- Wu, X.; Zhao, L.; Guo, S.; Zhang, L. Pedestrian inertial navigation based on CNN-SVM gait recognition algorithm. J. Phys. Conf. Ser. 2021, 1903, 012043. [Google Scholar] [CrossRef]
- Agarap, A.F. An Architecture Combining Convolutional Neural Network (CNN) and Support Vector Machine (SVM) for Image Classification. arXiv 2019, arXiv:1712.03541. [Google Scholar] [CrossRef]
- Shi, L.-F.; Liu, Z.-Y.; Zhou, K.-J.; Shi, Y.; Jing, X. Novel Deep Learning Network for Gait Recognition Using Multimodal Inertial Sensors. Sensors 2023, 23, 849. [Google Scholar] [CrossRef]
- Kreuzer, D.; Munz, M. Deep Convolutional and LSTM Networks on Multi-Channel Time Series Data for Gait Phase Recognition. Sensors 2021, 21, 789. [Google Scholar] [CrossRef]
- You, Y.; Lin, J.; Zhang, S.; Huo, W.; Han, J.; Yu, N. An Adaptive Oscillator-Driven Gait Phase Model for Continuous Motion Estimation Across Speeds. IEEE Trans. Instrum. Meas. 2024, 73, 1–14. [Google Scholar] [CrossRef]
- Wang, E.; Chen, X.; Li, Y.; Fu, Z.; Huang, J. Lower limb Motion Intent Recognition Based on Sensor Fusion and Fuzzy Multi-task Learning. IEEE Trans. Fuzzy Syst. 2024, 32, 2903–2914. [Google Scholar] [CrossRef]
- Tang, L.; Shushtari, M.; Arami, A. IMU-Based Real-Time Estimation of Gait Phase Using Multi-Resolution Neural Networks. Sensors 2024, 24, 2390. [Google Scholar] [CrossRef]
- Xu, S.; Dong, H.; Xu, R.; Meng, L.; Ming, D. A Real-Time Gait Phase Detection Method Based on BiLSTM-Attention Model. In Proceedings of the 2023 45th Annual International Conference of the IEEE Engineering in Medicine & Biology Society (EMBC), Sydney, Australia, 24–27 July 2023. [Google Scholar]
- Kim, M.; Lee, D. Development of an IMU-based foot-ground contact detection (FGCD) algorithm. Ergonomics 2017, 60, 384–403. [Google Scholar] [CrossRef] [PubMed]
- Caldas, R.; Mundt, M.; Potthast, W.; de Lima Neto, F.B.; Markert, B. A systematic review of gait analysis methods based on inertial sensors and adaptive algorithms. Gait Posture 2017, 57, 204–210. [Google Scholar] [CrossRef] [PubMed]
- Liu, K.; Liu, Y.; Ji, S.; Gao, C.; Zhang, S.; Fu, J. A Novel Gait Phase Recognition Method Based on DPF-LSTM-CNN Using Wearable Inertial Sensors. Sensors 2023, 23, 5905. [Google Scholar] [CrossRef] [PubMed]
- Santurkar, S.; Tsipras, D.; Ilyas, A.; Madry, A. How Does Batch Normalization Help Optimization? In Advances in Neural Information Processing Systems; Curran Associates, Inc.: New York, NY, USA, 2018; Available online: https://proceedings.neurips.cc/paper/2018/hash/905056c1ac1dad141560467e0a99e1cf-Abstract.html (accessed on 30 July 2024).
- Zhou, Q.; Shan, J.; Fang, B.; Zhang, S.; Sun, F.; Ding, W.; Wang, C.; Zhang, Q. Personal-specific gait recognition based on latent orthogonal feature space. Cogn. Comput. Syst. 2021, 3, 61–69. [Google Scholar] [CrossRef]
- Taborri, J.; Palermo, E.; Rossi, S.; Cappa, P. Gait Partitioning Methods: A Systematic Review. Sensors 2016, 16, 66. [Google Scholar] [CrossRef] [PubMed]
- Hearst, M.A.; Dumais, S.T.; Osuna, E.; Platt, J.; Scholkopf, B. Support vector machines. IEEE Intell. Syst. Their Appl. 1998, 13, 18–28. [Google Scholar] [CrossRef]
- Srivastava, N.; Hinton, G.; Krizhevsky, A.; Sutskever, I.; Salakhutdinov, R. Dropout: A Simple Way to Prevent Neural Networks from Overfitting. J. Mach. Learn. Res. 2014, 15, 1929–1958. [Google Scholar]
- Wang, X.; Gu, Y. Classification of macular abnormalities using a lightweight CNN-SVM framework. Meas. Sci. Technol. 2022, 33, 065702. [Google Scholar] [CrossRef]
- Mirjalili, S.; Lewis, A. The Whale Optimization Algorithm. Adv. Eng. Softw. 2016, 95, 51–67. [Google Scholar] [CrossRef]
- Heidari, A.A.; Mirjalili, S.; Faris, H.; Aljarah, I.; Mafarja, M.; Chen, H. Harris hawks optimization: Algorithm and applications. Future Gener. Comput. Syst. 2019, 97, 849–872. [Google Scholar] [CrossRef]
- Shehab, M.; Mashal, I.; Momani, Z.; Shambour, M.K.Y.; Al-Badareen, A.; Al-Dabet, S.; Bataina, N.; Alsoud, A.R.; Abualigah, L. Harris Hawks Optimization Algorithm: Variants and Applications. Arch. Comput. Methods Eng. 2022, 29, 5579–5603. [Google Scholar] [CrossRef]
- Issa, M.; Samn, A. Passive vehicle suspension system optimization using Harris Hawk Optimization algorithm. Math. Comput. Simul. 2022, 191, 328–345. [Google Scholar] [CrossRef]
- Karaboga, D. Artificial bee colony algorithm. Scholarpedia 2010, 5, 6915. [Google Scholar] [CrossRef]
- Tizhoosh, H.R. Opposition-Based Learning: A New Scheme for Machine Intelligence. In Proceedings of the International Conference on Computational Intelligence for Modelling, Control and Automation and International Conference on Intelligent Agents, Web Technologies and Internet Commerce (CIMCA-IAWTIC’06), Vienna, Austria, 28–30 November 2005; pp. 695–701. [Google Scholar] [CrossRef]












| Layer | Input Size (Height × Weight × Channels) | Output Size |
|---|---|---|
| Input | 1 × 12 × 6 | 1 × 12 × 6 |
| Conv1 | 1 × 12 × 6 | 1 × 24 × 6 |
| Pool1 | 1 × 24 × 6 | 1 × 24 × 3 |
| Conv1 | 1 × 24 × 3 | 1 × 48 × 3 |
| Pool1 | 1 × 48 × 3 | 1 × 48 × 2 |
| FC (Hidden) | 96 | 192 |
| FC (Output) | 192 | 4 |
| Model | Phase | Precision (%) | Recall (%) | F1-Score (%) |
|---|---|---|---|---|
| CNN | Heel Strike | 94.10 | 97.00 | 95.53 |
| Foot Flat | 78.57 | 74.58 | 76.52 | |
| Heel Off | 95.03 | 92.66 | 93.83 | |
| Swing Phase | 98.44 | 98.37 | 98.41 | |
| CNN-SVM | Heel Strike | 94.36 | 96.04 | 9519 |
| Foot Flat | 81.54 | 81.95 | 81.42 | |
| Heel Off | 93.91 | 94.33 | 94.12 | |
| Swing Phase | 98.61 | 96.70 | 97.65 | |
| CNN-LSTM | Heel Strike | 92.42 | 95.77 | 94.06 |
| Foot Flat | 79.46 | 84.45 | 80.45 | |
| Heel Off | 94.60 | 93.55 | 94.07 | |
| Swing Phase | 98.55 | 95.81 | 97.16 | |
| CNN-GA-SVM | Heel Strike | 95.77 | 95.77 | 95.41 |
| Foot Flat | 82.35 | 82.95 | 81.65 | |
| Heel Off | 94.37 | 95.11 | 94.74 | |
| Swing Phase | 98.58 | 98.06 | 98.32 | |
| CNN-HHO-SVM | Heel Strike | 97.41 | 96.66 | 96.84 |
| Foot Flat | 85.11 | 84.71 | 83.15 | |
| Heel Off | 94.98 | 94.66 | 94.82 | |
| Swing Phase | 98.58 | 98.22 | 98.40 |
| Model | 95% Confidence Interval (Lower, Upper) |
|---|---|
| CNN | (86.69%, 90.63%) |
| CNN-SVM | (90.15%, 92.14%) |
| CNN-LSTM | (87.87%, 92.19%) |
| CNN-GA-SVM | (91.68%, 94.74%) |
| CNN-HHO-SVM | (93.03%, 94.61%) |
Disclaimer/Publisher’s Note: The statements, opinions and data contained in all publications are solely those of the individual author(s) and contributor(s) and not of MDPI and/or the editor(s). MDPI and/or the editor(s) disclaim responsibility for any injury to people or property resulting from any ideas, methods, instructions or products referred to in the content. |
© 2024 by the authors. Licensee MDPI, Basel, Switzerland. This article is an open access article distributed under the terms and conditions of the Creative Commons Attribution (CC BY) license (https://creativecommons.org/licenses/by/4.0/).
Share and Cite
Wang, H.; Wang, M.; Li, D.; Deng, F.; Pan, Z.; Song, Y. Gait Phase Recognition of Hip Exoskeleton System Based on CNN and HHO-SVM Model. Electronics 2025, 14, 107. https://doi.org/10.3390/electronics14010107
Wang H, Wang M, Li D, Deng F, Pan Z, Song Y. Gait Phase Recognition of Hip Exoskeleton System Based on CNN and HHO-SVM Model. Electronics. 2025; 14(1):107. https://doi.org/10.3390/electronics14010107
Chicago/Turabian StyleWang, Hongmin, Meng Wang, Dagang Li, Fuqin Deng, Zengxi Pan, and Yingying Song. 2025. "Gait Phase Recognition of Hip Exoskeleton System Based on CNN and HHO-SVM Model" Electronics 14, no. 1: 107. https://doi.org/10.3390/electronics14010107
APA StyleWang, H., Wang, M., Li, D., Deng, F., Pan, Z., & Song, Y. (2025). Gait Phase Recognition of Hip Exoskeleton System Based on CNN and HHO-SVM Model. Electronics, 14(1), 107. https://doi.org/10.3390/electronics14010107

