Autonomous Navigation UAVs for Enhancing Information Freshness for Reconnaissance
Abstract
1. Introduction
2. System Model
2.1. Age of Reconnaissance Information and Information Urgency
2.2. Reconnaissance Data Collection Model
2.3. Integrated Data Collection with Beacon-Assisted Localization
2.4. Safe Flight of Autonomous Reconnaissance UAVs
3. Joint Planning Problem Formulation
3.1. Safety Flight Topological Road Map
3.2. Joint Optimization of Reconnaissance Task Assignment and Node Access Sequence
3.3. Optimization Problem Formulation for Different Navigation Modes
4. Algorithm Design
4.1. Calculation of Time Cost Matrix Based on A* Algorithm
| Algorithm 1: Calculation of UAV safe flight trajectories and time cost matrix between waypoints based on A* algorithm |
![]() |
4.2. Design of Heuristic Algorithm for Joint Optimization
| Algorithm 2: Encoding and fitness design for heuristic joint optimization algorithm |
![]() |
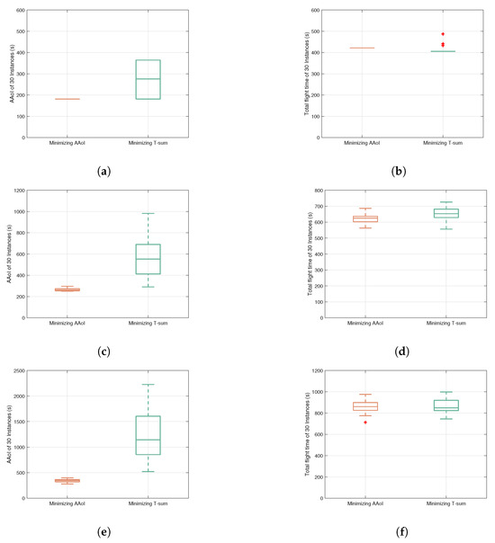
5. Numerical Results
5.1. Parameter Configuration and Generation of Safe Flight Topological Roadmap
5.2. Simulations of VIO + GPS Navigation Mode
5.3. Simulations of VIO + Data Collection and Beacon-Assisted Positioning Integration Mode
6. Conclusions
Author Contributions
Funding
Data Availability Statement
Conflicts of Interest
Abbreviations
| UAV | Unmanned aerial vehicle |
| IMU | Inertial measurement unit |
| SLMM | Simultaneous localization and mapping |
| UWB | Ultra-wideband |
| VIO | Visual–inertial odometry |
| ECTSP | Extended colored traveling salesman problem |
| AoI | Age of information |
| AAoI | Average age of information |
| LoS | Line-of-sight |
| NLoS | Non-line-of-sight |
| DEM | Digital elevation model |
| CTSP | Colored traveling salesman problem |
References
- Jiang, H.; Zhang, Z.; Dang, J.; Wu, L. Analysis of geometric multibounced virtual scattering channel model for dense urban street environments. IEEE Trans. Veh. Technol. 2017, 66, 1903–1912. [Google Scholar] [CrossRef]
- Jiang, H.; Zhang, Z.; Wu, L.; Dang, J. Novel 3-D irregular-shaped geometry-based channel modeling for semi-ellipsoid vehicle-to-vehicle scattering environments. IEEE Wireless Commun. Lett. 2018, 7, 836–839. [Google Scholar] [CrossRef]
- Lin, P.; Ning, Z.; Zhang, Z.; Liu, Y.; Yu, F.R.; Leung, V.C. Joint optimization of preference-aware caching and content migration in cost-efficient mobile edge networks. IEEE Trans. Wireless Commun. 2023. [Google Scholar] [CrossRef]
- Jiang, H.; Xiong, B.; Zhang, H.; Basar, E. Physics-based 3D end-to-end modeling for double-RIS assisted non-stationary UAV-to-ground communication channels. IEEE Trans. Commun. 2023, 71, 4247–4261. [Google Scholar] [CrossRef]
- Xiong, B.; Zhang, Z.; Jiang, H. Reconfigurable intelligent surface for mmwave mobile communications: What if LoS path exists? IEEE Wireless Commun. Lett. 2023, 12, 247–251. [Google Scholar] [CrossRef]
- Ruan, C.; Zhang, Z.; Jiang, H.; Dang, J.; Wu, L.; Zhang, H. Approximate message passing for channel estimation in reconfigurable intelligent surface aided MIMO multiuser systems. IEEE Trans. Commun. 2022, 70, 5469–5481. [Google Scholar] [CrossRef]
- Wu, B.; Guo, D.; Zhang, B.; Zhang, X.; Wang, H.; Wang, H.; Jiang, H. Completion time minimization for UAV enabled data collection with communication link constrained. IET Commun. 2022, 16, 1025–1040. [Google Scholar] [CrossRef]
- Wu, B.; Zhang, B.; Guo, D.; Wang, H.; Jiang, H. Anti-jamming trajectory design for UAV-enabled wireless sensor networks using communication flight corridor. China Commun. 2022, 19, 37–52. [Google Scholar] [CrossRef]
- Zhou, X.; Wen, X.; Wang, Z.; Gao, Y.; Li, H.; Wang, Q.; Yang, T.; Lu, H.; Cao, Y.; Xu, C.; et al. Swarm of micro flying robots in the wild. Sci. Robot. 2022, 7, eabm5954. [Google Scholar] [CrossRef] [PubMed]
- Wu, B.; Zhang, B.; Ma, W.; Xie, C.; Guo, D.; Jiang, H. Motion planning in UAV-aided data collection with dynamic jamming. Electronics 2023, 12, 1841. [Google Scholar] [CrossRef]
- Zhou, B.; Pan, J.; Gao, F.; Shen, S. RAPTOR: Robust and perception-aware trajectory replanning for quadrotor fast flight. IEEE Trans. Robot. 2021, 37, 1992–2009. [Google Scholar] [CrossRef]
- Xu, H.; Zhang, Y.; Zhou, B.; Wang, L.; Yao, X.; Meng, G.; Shen, S. Omni-swarm: A decentralized omnidirectional visual–inertial–UWB state estimation system for aerial swarms. IEEE Trans. Robot. 2022, 38, 3374–3394. [Google Scholar] [CrossRef]
- Jiang, H.; Zhang, Z.; Wu, L.; Dang, J.; Gui, G. A 3-D non-stationary wideband geometry-based channel model for MIMO vehicle-to-vehicle communications in tunnel environments. IEEE Trans. Veh. Technol. 2019, 68, 6257–6271. [Google Scholar] [CrossRef]
- Jiang, H.; Zhang, Z.; Dang, J.; Wu, L. A novel 3-D massive MIMO channel model for vehicle-to-vehicle communication environments. IEEE Trans. Commun. 2018, 66, 79–90. [Google Scholar] [CrossRef]
- Zeng, L.; Liao, X.; Ma, Z.; Xiong, B.; Jiang, H.; Chen, Z. Three-dimensional UAV-to-UAV channels: Modeling, simulation, and capacity analysis. IEEE Internet Things J. 2023, 11, 10054–10068. [Google Scholar] [CrossRef]
- Miloradović, B.; Çürüklü, B.; Ekström, M.; Papadopoulos, A.V. GMP: A genetic mission planner for heterogeneous multirobot system applications. IEEE Trans. Cybern. 2022, 52, 10627–10638. [Google Scholar] [CrossRef] [PubMed]
- Hu, H.; Xiong, K.; Qu, G.; Ni, Q.; Fan, P.; Letaief, K.B. AoI-minimal trajectory planning and data collection in UAV-assisted wireless powered IoT networks. IEEE Internet Things J. 2021, 8, 1211–1223. [Google Scholar] [CrossRef]
- Xiong, B.; Zhang, Z.; Jiang, H.; Zhang, J.; Wu, L.; Dang, J. A 3D non-stationary MIMO channel model for reconfigurable intelligent surface auxiliary UAV-to-ground mmwave communications. IEEE Trans. Wireless Commun. 2022, 21, 5658–5672. [Google Scholar] [CrossRef]
- Fu, J.; Sun, G.; Liu, J.; Yao, W.; Wu, L. On hierarchical multi-UAV dubins traveling salesman problem paths in a complex obstacle environment. IEEE Trans. Cybern. 2023, 54, 123–135. [Google Scholar] [CrossRef] [PubMed]
- Miridakis, N.I.; Tsiftsis, T.A.; Yang, G. Non-linear age of information: An energy efficient receiver-centric approach. IEEE Wireless Commun. Lett. 2022, 11, 655–659. [Google Scholar] [CrossRef]
- Jiang, H.; Zhang, Z.; Wu, L.; Dang, J. Three-dimensional geometry-based UAV-MIMO channel modeling for A2G communication environments. IEEE Commun. Lett. 2018, 22, 1438–1441. [Google Scholar] [CrossRef]
- Xiong, B.; Zhang, Z.; Ge, Y.; Wang, H.; Jiang, H.; Wu, L.; Zhang, Z. Channel modeling for heterogeneous vehicular ISAC system with shared clusters. In Proceedings of the IEEE 98th Vehicular Technology Conference (VTC2023-Fall), Hong Kong, 10–13 October 2023; pp. 1–6. [Google Scholar] [CrossRef]
- Liu, T.; Jiang, H.; Chen, Z.; Zhang, H.; Yang, X.; Shu, F. Nonlinear channel estimation and signal detection for quantized OFDM system. IEEE Commun. Lett. 2023, 27, 2772–2776. [Google Scholar] [CrossRef]
- Jiang, H.; Zhang, Z.; Wang, C.X.; Zhang, J.; Dang, J.; Wu, L.; Zhang, H. A novel 3D UAV channel model for A2G communication environments using AoD and AoA estimation algorithms. IEEE Trans. Commun. 2020, 68, 7232–7246. [Google Scholar] [CrossRef]
- Gong, Z.; Wu, L.; Zhang, Z.; Dang, J.; Zhu, B.; Jiang, H.; Li, G.Y. Joint TOA and DOA estimation with CFO compensation using large-scale array. IEEE Trans. Signal Process. 2021, 69, 4204–4218. [Google Scholar] [CrossRef]












| Number of Nodes | Optimization Scheme | Planning Success Rate |
|---|---|---|
| 15 | Minimizing AAoI | 20% |
| Minimizing T-sum | 73% | |
| Combined Scheme | 67% | |
| 30 | Minimizing AAoI | 53% |
| Minimizing T-sum | 100% | |
| Combined Scheme | 100% | |
| 45 | Minimizing AAoI | 27% |
| Minimizing T-sum | 100% | |
| Combined Scheme | 100% |
| Number of Nodes | Optimization Scheme | Planning Success Rate |
|---|---|---|
| 45 | Minimizing AAoI | 0% |
| Minimizing T-sum | 90% | |
| Minimizing T-max | 100% | |
| Joint scheme 1 | 83% | |
| Joint scheme 2 | 37% | |
| Joint scheme 3 | 73% | |
| Joint scheme 4 | 77% |
Disclaimer/Publisher’s Note: The statements, opinions and data contained in all publications are solely those of the individual author(s) and contributor(s) and not of MDPI and/or the editor(s). MDPI and/or the editor(s) disclaim responsibility for any injury to people or property resulting from any ideas, methods, instructions or products referred to in the content. |
© 2024 by the authors. Licensee MDPI, Basel, Switzerland. This article is an open access article distributed under the terms and conditions of the Creative Commons Attribution (CC BY) license (https://creativecommons.org/licenses/by/4.0/).
Share and Cite
Xie, C.; Wu, B.; Guo, D.; Chen, X. Autonomous Navigation UAVs for Enhancing Information Freshness for Reconnaissance. Electronics 2024, 13, 1354. https://doi.org/10.3390/electronics13071354
Xie C, Wu B, Guo D, Chen X. Autonomous Navigation UAVs for Enhancing Information Freshness for Reconnaissance. Electronics. 2024; 13(7):1354. https://doi.org/10.3390/electronics13071354
Chicago/Turabian StyleXie, Chen, Binbin Wu, Daoxing Guo, and Xiao Chen. 2024. "Autonomous Navigation UAVs for Enhancing Information Freshness for Reconnaissance" Electronics 13, no. 7: 1354. https://doi.org/10.3390/electronics13071354
APA StyleXie, C., Wu, B., Guo, D., & Chen, X. (2024). Autonomous Navigation UAVs for Enhancing Information Freshness for Reconnaissance. Electronics, 13(7), 1354. https://doi.org/10.3390/electronics13071354



