Abstract
Binary metal oxide materials, such as nickel oxide, are widely used in flexible resistive variable memory devices due to advantages such as their easily controllable material composition, simple structural composition, and good compatibility between manufacturing processes and complementary metal oxide processes. In this work, a solution combustion method was employed to prepare NiOx thin films for use as a resistive switching layer of resistance random-access memory. The formation temperature of the NiOx layer in the RRAM device was kept as low as 175 °C, making the device compatible with flexible substrates. With polyethylene naphthalenediate as the substrate, the NiOx-based RRAM exhibited obvious bipolar resistance-switching properties, superb bending resistance, and good stability. Through theoretical fitting and structural characterization, the conduction mechanisms were attributed to the combination of the space-charge-limited current and Ohmic mechanisms, while the valence change mechanism was determined to be the resistive switching mechanism. This study demonstrates a low-temperature and scalable approach to constructing NiOx-based RRAM devices on flexible substrates.
1. Introduction
With the continuous development of information storage technology, traditional silicon-based floating gate memory is facing many physical limitations, promoting the emergence of many types of memory. At present, new memory storage devices like ferroelectric random-access memory (FRAM), phase change memory (PCM), magnetoresistive random-access memory (MRAM), and resistance random-access memory (RRAM) devices have been widely studied. The lower power consumption and faster reading and writing speeds of these devices enable them to become the last-level cache of future storage architectures, eliminating the “storage wall” between memory and external storage. Among the numerous memory devices available, resistance random-access memory devices are regarded as the technology that can break through these restrictions. RRAM devices possess several advantages, such as low cost, a simple device structure, an extremely small unit size, high speed and low power consumption, and compatibility with CMOS technology [1,2]. Their applications have been extended into many important areas, including non-volatile memory, logic computing, and brain-inspired neuromorphic computing. Moreover, they are considered the most suitable non-volatile memory devices for 3D integration.
Along with the rapid development of integrated RRAM devices, the rise of flexible electronic technology provides an opportunity for the development of new-type resistive variable storage devices. Flexible electronic technology is a new type of electronic technology that has emerged in recent years. It can combine electronic devices with flexible substrates or stretchable plastic substrates, allowing electronic devices to fold and bend like human skin. Due to the increasingly diverse demands for electronic products, flexible electronic devices will replace solid-state integrated circuits in many applications, especially in wearable and implantable electronic products with very strict requirements for bendability. In this regard, flexible memory devices have attracted much attention from academia and industry since they have been considered the core hardware of flexible electronic technology [3]. With these superior storage characteristics and rich new functions, RRAM devices have brought new opportunities for the development of flexible devices.
A great deal of effort has been put into building high-performance flexible RRAM devices by using various types of materials, such as metal oxides, organic compounds, and hybrid materials, as the resistive switching layer. The first flexible resistive memory device was first reported by Kim et al. in 2008, using AlOx thin film as the function layer. This RRAM device exhibited a significant switching window while operating normally at a bending radius of 27.5 mm [4]. It was found that inorganic materials such as TiOx [5], NiOx [6], and HfOx [7] displayed stable resistance conversion in RRAM devices but showed limited bending resistance. Organic materials like polyethylene glycol dimethacrylate (pEGDMA) [8], graphite oxide (GO) [9], and polyimide (PI) [10] have also been exploited as dielectric layers to construct flexible resistive memory devices. These devices showed excellent flexibility with mild preparation conditions but often displayed poor thermal and environmental stability. Another choice of resistive switching layer is a hybrid material, such as HKUST-1 [11], CH3NH3PbI3 [12], and PMMA/BPQDs/PMMA [13]. However, these hybrid materials often suffer from phase separation during preparation. Though these devices exhibit remarkable resistive characteristics, a deeper understanding of the switching mechanisms in different flexible RRAM devices is required.
NiOx is a wide-bandgap (Eg > 3.50 eV) p-type semiconductor with low cost, good electrical conductivity, and chemical stability. It has been widely applied as a hole transport layer for solar cells and as a switching layer for RRAM devices. The NiOx-based RRAM devices have manifested outstanding properties, such as a high ON/OFF ratio, low power consumption, and excellent compatibility with CMOS [14]. Nevertheless, the development of flexible NiOx-based RRAM devices faces some difficulties. One main obstacle is that the annealing temperature usually needs to be higher than 250 °C to achieve a high-quality NiOx thin film. Such a process destroys the organic flexible substrates. Therefore, it is highly beneficial to fabricate NiOx-based RRAM devices at low temperatures. For example, a solution-processed Al-In-O/InOx bilayer RRAM device was created at a temperature as low as 180 °C [15]. Hence, developing a convenient, low-temperature, and reliable method for creating high-quality NiOx thin films is of great significance for optimizing and expanding the performance of flexible memory.
Recent progress in the solution synthesis of nanomaterials has brought new insights into the preparation of high-quality semiconductors. In particular, to lower the crystallization temperature, the solution combustion method (SCS) was proposed [16]. This technology utilizes metal salts and suitable organic fuels to form aqueous solutions, which undergo automatically maintained, rapid, and exothermic combustion synthesis reactions at lower temperatures. Due to the fact that most of the heat required for synthesis is provided by the reaction itself, the temperature required for the reaction is significantly lower than the theoretical phase formation temperature. Such a synthetic strategy could be extended to the fabrication of NiOx films on flexible substrates if an exothermic reaction is involved in the formation of the oxides.
In this work, we report our work on the fabrication of flexible NiOx-based RRAM devices using a low-temperature combustion method. By assembling a sandwich structure of Pt/NiOx/ITO RRAM, the devices’ resistance-switching properties as well as mechanisms were investigated. The RRAM devices exhibited obvious bipolar resistive switching behavior, an ON/OFF ratio of ~102 after mechanical bending, and reasonable stability. This work provides a low-temperature strategy for preparing NiOx-based RRAM devices and expanding their application to flexible electronics.
2. Experimental Details
The precursor solutions were synthesized by dissolving 581.6 mg of nickel nitrate hexahydrate (Ni(NO3)2·6H2O) in a solvent containing 15 μL of acetylacetone and 10 mL of 2-methoxyethanol. A spin-coating method was employed to fabricate a NiOx thin film on a flexible bottom electrode. Indium tin oxide (ITO)-coated thepolyethylene naphthalenediate (PEN) was used as the flexible substrate. The surfaces of the ITO substrates were subsequently washed with acetone and ultrapure water and sonicated for 10 min in ethanol. Finally, the clean ITO-PEN substrates were pretreated with O3 plasma for 30 min before being spin-coated, a process that helped to improve the surface wettability and adhesion of the film. After being aged at atmospheric conditions for 13 h, the precursor solution was spin-coated on PEN surface. In detail, 100 μL of the precursor solution was dropped onto the PEN substrates. The rotation speed was set at 1000 rpm for 10 s and then at 4000 rpm for 60 s. After being spin-coated, the substrates were heated to 60 °C for 2 min in an air atmosphere. The spin-coating and subsequent heating processes were repeated three times, and then the substrates were annealed in ambient atmosphere at 175 °C for 10 min. Finally, the NiOx films were treated using UV-Ozone for 20 min. The top electrodes of Pt were deposited on the NiOx thin film via DC magnetron sputtering. In the fabrication, the pressure was maintained at 2 × 10−6 torr in Ar2 vacuum conditions, wherein the sputtering power was 100 W and the sputtering time was maintained between 10 and 50 s. The resulting Pt electrode was 100–900 μm in diameter and had a thickness of 60 nm.
The electronic properties of the device were measured using a semiconductor characterization system (Agilent B1500A, Agilent Technologies, Santa Clara, CA, USA) at room temperature. In DC test of the device, the ITO electrode was grounded, while the voltage was applied on the Pt electrode. The surfaces and cross sections of the devices were observed using a JSM-7100 F (JEOL, Tokyo, Japan) scanning electron microscope. The composition of the NiOx thin films and valence states of nickel and oxygen ions were measured using X-ray photoelectric spectroscopy (XPS). All of XPS spectra of the Ni and O were calibrated in terms of the binding energies of surface C-C bonds at 284.8 eV.
3. Results and Discussion
Figure 1a displays the sandwich structure of the Pt/NiOx/ITO flexible device, which consisted of a top electrode made of Pt, a thin layer of NiOx, and a bottom electrode made of ITO. A cross-sectional SEM image of this device showed that the thickness of NiOx was about 60 nm, which kept the device from short-circuiting. The thickness of the Pt electrode is approximately 50 nm. To study the microstructure of the NiOx functional layer, SEM analyses were also performed before sputtering the Pt electrode onto the NiOx. As shown in Figure 1b, the surface of NiOx is quite flat, with a few pores, suggesting that the spin-coating and annealing procedures led to the creation of a compact film on the ITO surface. The reaction formula for preparing NiOx via the solution combustion method is shown in the following:
Ni(NO3)X·6H2O + CH3COCH2COCH3 → NiOx + N2 + H2O(g) + CO2 + Heat
Figure 1.
(a) SEM image of the Pt/NiOx/ITO flexible device. The inset is the schematic architecture of the Pt/NiOx/ITO flexible device. (b) Surface SEM image of the NiOx function layer. (c) XPS spectra of Ni 2p core levels of the NiOx thin film. (d) XPS spectra of O 1s core levels of the NiOx thin film.
During the formation of the NiOx layer, the reaction gases (N2, CO2, and H2O) were released from the surface of the thin film in the form of bubbles, leaving holes on the NiOx surface. However, by carefully controlling the reaction temperature and spin-coating process, one can obtain NiOx thin films with a uniform texture, making it possible for the device to exhibit excellent performance on PEN substrates.
The composition and valence states of the NiOx thin films were analyzed using XPS. Figure 1c shows the XPS spectra of the Ni 2p core levels of the NiOx films. The nickel ions possessed +2 valence states due to the existence of the Ni 2p1/2 peak (876.20 eV) and 2p3/2 peak (856.28 eV), with their satellite peaks located at 879.70 eV at 861.80 eV, respectively. Furthermore, the Ni 2p1/2 peak (876.20 eV), along with its satellite peak (883.20 eV), and the Ni 2p3/2 peak (858.34 eV), along with its satellite peak (864.70 eV), revealed the existence of Ni3+ [17]. These XPS analysis results indicated that the composition of Ni2+ and Ni3+ was 84.31% and 15.69%, respectively. As shown in Figure 1d, the spectrum of O could be resolved into two spin-orbit components at the O 1s core level, which was also attributed to the coexistence of NiO (531.55 eV) [18] and Ni2O3 (532.91 eV) [17,19], respectively. These results are consistent with a recent report stating that Ni2+ and Ni3+ coexisted due to UV treatment [20]. Therefore, the NiOx thin films were mainly composed of NiO, implying that the low-temperature combustion process succeeded in coating the NiOx thin films on the flexible substrate.
During the preparation of the NiOx layer, the experimental data had a great impact on the microstructure of the film, thereby affecting the overall performance of the device. This investigation began with examining the influence of precursor concentration and annealing time on the resistance-switching properties of a NiOx-RRAM device. Figure 2a shows the I–V curves of the NiOx-RRAM device prepared with different concentrations of Ni(NO3)2 solutions (0.10 mol/L, 0.15 mol/L, and 0.20 mol/L). It can be observed that at higher concentrations of nickel nitrate hexahydrate, the device exhibited a more obvious storage window, displaying little change in the low-resistance state but an obvious increase in the high-resistance state. A possible reason for this is that with higher concentrations of Ni(NO3)2, the oxidation reaction becomes more intense, causing more oxygen ions to fill oxygen vacancy defects in the film, resulting in higher resistance states. However, further increasing the concentration of Ni(NO3)2 solution led to poor crystallinity of the NiOx due to the insufficient fuel (acetylacetone) supply in the combustion process.
Figure 2.
The resistance−switching properties of the NiOx-RRAM device prepared with (a) different concentrations of Ni(NO3)2 and (b) different annealing times at 175 °C.
Annealing temperature has a great influence on the quality of the NiOx functional layer. Due to the tolerance of PEN, the annealing temperature was limited to 175 °C, which still allows for considerable toughness and wrinkle resistance. Under these conditions, the effect of annealing time on the resistance-switching properties of the NiOx-RRAM device was investigated. Figure 2b shows the I–V curves of the NiOx prepared at different annealing times at 175 °C. It was found that the storage window and operating voltage of the device remained stable at all annealing temperatures, with little variation in high- and low-resistance states, and the operating voltage remained almost unchanged. This observation suggests that an annealing time of 10 min is sufficient to obtain high-performance resistive devices, aiding in the development of resistive devices using low-temperature combustion methods.
With the optimized precursor concentration and annealing time (annealing time: 10 min; concentration of Ni(NO3)2: 0.20 mol/L), a Pt/NiOx/ITO flexible device was fabricated using ITO-coated PEN as the substrate. A photograph of the device is shown in Figure 3a. The fully transparent area shown above the photo is the ITO bottom electrode; the semi-transparent area was produced by the attachment of the NiOx film, and the silver square on the top layer is the Pt top electrode sputtered using a magnetron. To study the resistive-switching behaviors of the device, the I–V curve was measured without forming the process. Tests were conducted by applying a DC scanning voltage to the top electrode (0 V → 3 V → 0 V → −3 V → 0 V), with a compliance current of 1 mA. As exhibited in Figure 3b, the current rapidly increased at ~1 V (Vset) when increasing the voltage (0 V → 3 V) in the SET process. This indicates that the device transitioned from a high-resistance state (HRS) to a low-resistance state (LRS). As the negative voltage was scanned from 0 V to −3 V in the RESET process, a dramatic current decrease was observed at ~1 V (Vreset), indicating that the device had transitioned from an LRS to an HRS [21]. The overall I–V curves disclosed typical bipolar resistance-switching characteristics of the device. Figure 3c shows the resistance switching curves recorded at the 1st, 50th, and 100th cycles; the stable high- and low-resistance states prove that the device remained stable with no obvious decay for the storage window. To further demonstrate the stability of this device, an endurance test was performed with over 100 cycles. Figure 3d shows the endurance characteristics of the 175 °C-annealed NiOx RRAM device before bending. The device maintained an identifiable storage window after 100 cycles. However, increasing the number of switching cycles resulted in the decay of the endurance properties of the device due to the poor crystallization of the NiOx film. Increasing the annealing temperature might be a potential way to optimize the performance of flexible oxide-based RRAM devices, specifically by replacing flexible substrates with those with greater thermal stability (e.g., Kapton film).
Figure 3.
(a) Photograph of the Pt/NiOx/ITO flexible device. (b) I–V curve of the Pt/NiOx/ITO device. (c) Switching loops recorded after 1st, 5th, and 100th cycles, respectively. (d) The change in HRS and LRS of the device after 100 cycles read at 0.21 V.
The flexible property of the devices was tested by recording the I–V curve of the Pt/NiOx/ITO device after being bent by ten times. The bending of the device was induced by gently compressing the flexible substrate over the surface of a cylinder, allowing the device to flex upwards [22]. The bending radius of the device was 15 mm. Figure 4a shows a photograph and a schematic of the architecture of the bendable Pt/NiOx/ITO device, which displays good transparency and flexibility. As disclosed in Figure 4b, the switching characteristics of the devices were similar to those of the unbent devices under sweeping voltage (0 V → 3 V → 0 V → −3 V → 0 V), except at a larger switching voltage and higher resistance. In Figure 4c, the I–V curves after 100 cycles show no obvious change in terms of switching voltage and storage window, pointing out that the performance of the device remains stable after 10 folds. Figure 4d shows the endurance characteristics of the 175 °C-annealed NiOx RRAM device after being bent 10 times. As the number of cycles increased, only a small fluctuation was observed in the high- and low-resistance states of the device. The low-resistance state before and after bending was around 103 Ω, while the low-resistance state after bending showed less fluctuation than that before bending. The high-resistance state before bending was between 104 and 105 Ω, and the high-resistance state after bending was close to 105 Ω. The bent device showed even better endurance than the unbent one. However, further study showed that the I–V performance of the device decreased rapidly after more folds (50 folds). One possible reason for this is that more bending cycles resulted in interface cracking between the Pt/NiOx/ITO layers. However, such an obstacle could be overcome by reducing the size of each RRAM device. These results reveal the promising bending resistance of the NiOx layer and Pt electrode on flexible substrates, which provide great potential for the fabrication of a new generation of wearable devices.
Figure 4.
(a) Photograph of the Pt/NiOx/ITO device after being bent. Inset is the schematic architecture of the Pt/NiOx/ITO flexible device after being bent. (b) I–V curve of the Pt/NiOx/ITO device after being bent 10 times. (c) Switching loops at the 1st cycle and 5th and 100th cycles after the device was bent 10 times. (d) The change in HRS and LRS (at 0.21 V) over 100 cycles after the device was bent 10 times.
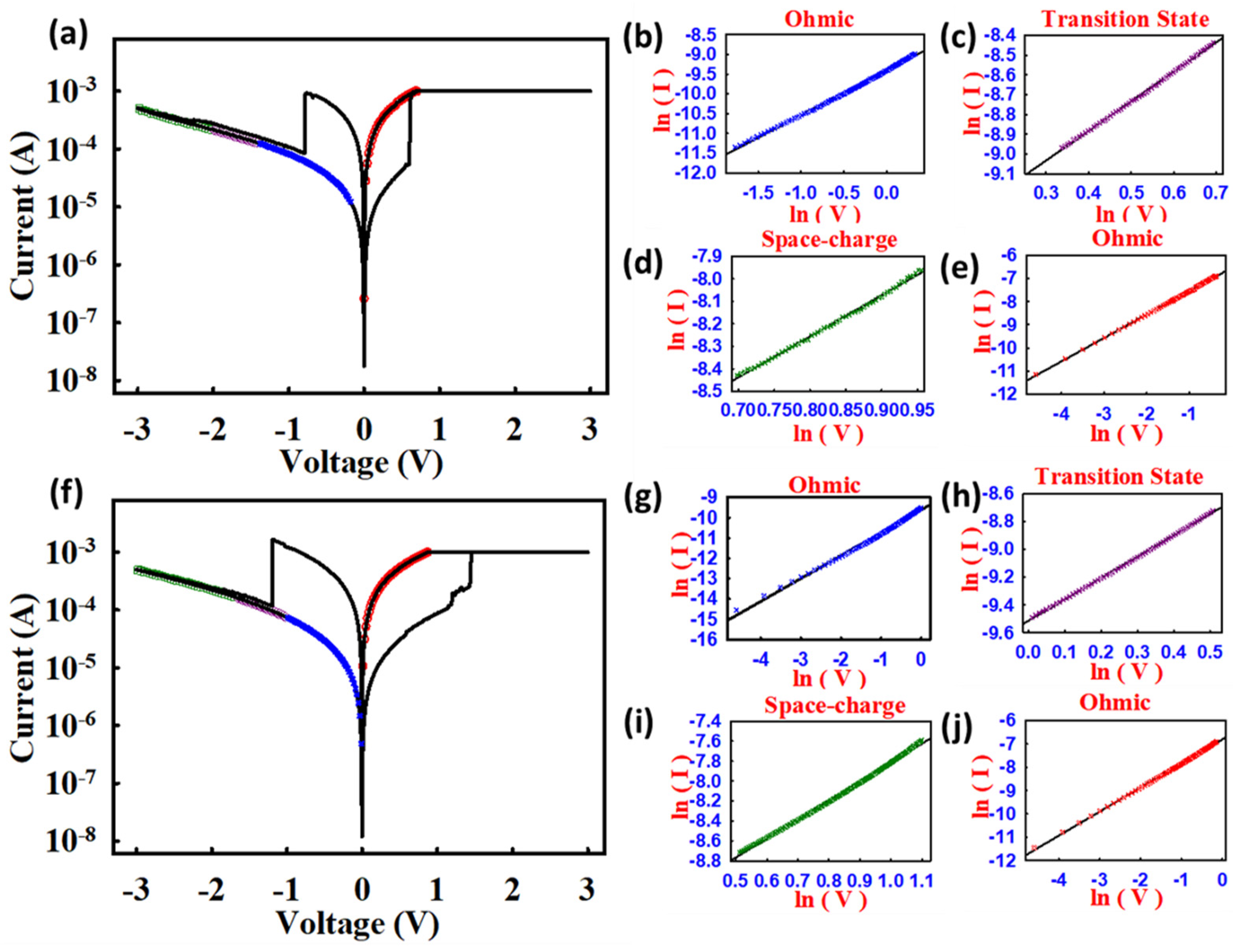
To further investigate the conducting mechanism of the Pt/NiOx/ITO device, the I–V curves were fitted with the results shown in Figure 5a. In the HRS region, there were three linear regions under the log(V)-log(I) coordinate, which match well with the space-charge-limited current (SCLC) mechanism [23]. When the voltage was in the range of −0.17 V to −1.39 V, the device was in the first region of Ohmic relationship (Figure 5b). In this region, a linear relationship was disclosed between current and voltage, and it (the slope of 1.14 ≈ 1) obeyed Ohm’s law (). This means that the applied electric field of the device is insufficient in this region such that the number of thermal excited free carriers was greater than that of the injected carriers, leading to insufficient filling of the trap sites [24]. Accordingly, the current was determined by the charge injection ability of the negative electrode. The J-V relationship is expressed in the following equation:
Figure 5.
(a) Mechanism analysis of the HRS and LRS in Pt/NiOx/ITO device. (b) Ohmic mechanism with slope of 1.14 in the HRS (−0.17 V to −1.39 V). (c) Transition state with a slope of 1.49 in the HRS (−1.40 V to −2.00 V). (d) SCLC mechanism with slope of 1.81 in the HRS (−2.01 V to −2.60 V). (e) Ohmic conduction mechanism with slope of 1.01 in the LRS (0.00 V to 0.70 V). (f) Mechanism analysis of HRS and LRS of Pt/NiOx/ITO device after being bent 10 times. (g) Ohmic mechanism with slope of 1.26 in the HRS (−0.00 V to −1.00 V) after the device was bent 10 times. (h) Transition state with slope of 1.53 in the HRS (−1.01 V to −1.66 V) after the device was bent 10 times. (i) SCLC mechanism with slope of 1.81 in the HRS (−1.67 V to −3.00 V) after the device was bent 10 times. (j) Ohmic conduction mechanism with slope of 1.03 in the LRS (0.00 V to 0.85 V) after the device was bent 10 times.
In the equation above, J represents the transport current, n means the concentration of free charge carriers at thermal equilibrium, q means the electronic charge, μ represents the electronic mobility, ε is the dielectric constant, d is the thickness of the film, and v is the applied voltage [25]. Gradually, when the applied voltage decreased from −1.40 V to −2.00 V, the second region of SCLC acquired a slope of 1.49, as shown in Figure 5c, indicating that the device entered a transition state in which the trap sites were filling.
As shown in Figure 5d, in the voltage region of −2.01 V to −2.60 V, the slope of the fitting result was 1.81, very close to 2, indicating that the current and voltage obey Child’s law () in the third region of the SCLC. This means that when the electric field was adequate, the ability of the cathode and the number of injected carriers were greater than those of the thermally generated carriers, thus filling the trap sites. In this region, the leakage current changed from an injected-charge-limited current to a space-charge-limited current; the J-V formula is as follows:
In the LRS region, a linear relationship in the range of 0.0 V to 0.7 V was revealed, as shown in Figure 5e. This mechanism could be attributed to the Ohmic conduction, suggesting the formation of an electrical channel.
In order to further understand the impact of bending on the devices, the conducting mechanisms of the devices after bending were also studied. Through comparison with the corresponding regions of Figure 5a, it was deduced from Figure 5f–j that the conduction mechanisms of the HRS and LRS are quite similar to those of the unbent device, which are also attributed to the SCLC and Ohmic conduction, respectively. In summary, in the high-resistance state, the device always adheres to the SCLC conductive mechanism, indicating that bending has a small impact on defects within the film, and electrons are still transferred through traps. In the low-resistance state, the device exhibits an Ohmic conductivity mechanism, indicating that the conductive wire of the device is still intact after bending. Moreover, due to the small change in resistance compared to that before bending, the formation and fracture of the conductive wire are not significantly affected before and after bending. Therefore, after 10 bends, the internal structure of the thin film did not show significant changes, and the device had good tolerance to a certain number of bends, further proving that the device has good flexibility performance. Therefore, the low-temperature combustion method is a potential low-cost method for manufacturing large-area flexible RRAM devices.
Considering the bipolar resistance-switching characteristics and the structure of the NiOx-based devices, an oxygen-vacancy-driven conductive filament is the appropriate model for explaining the switching effects of a device based on NiOx [26,27,28]. As plotted in Figure 6a, before the voltage was applied, the oxygen vacancies were disorderly distributed in the NiOx thin film in the HRS [29]. When a positive voltage was applied (Figure 6b), the Pt atom of the top electrode remained inert, while the oxygen ions nearby the top electrode (TE) could release themselves from the NiOx thin film and yield many oxygen vacancies (Vo+). Under a strong electric field, the oxygen vacancies in NiOx films were easily extracted to the bottom electrode. These oxygen vacancies gradually accumulated at the bottom electrode, forming conductive filaments composed of uncharged oxygen vacancies (Vo). As a consequence, the device changed from being in an HRS to an LRS, which is known as the Set process. Likewise, in the Reset process (Figure 6c), upon applying a negative voltage to the Pt electrode, namely, −3 V, the oxygen vacancy near the TE captured the oxygen ions, which broke the conductive filament. Thus, the current decreased, and the device changed from being in an LRS to an HRS [21,30]. According to the above mechanisms, the VCM theory explains the stable conductive and resistance switching behavior of the devices before and after bending, further demonstrating their flexibility. The annealing temperature has a significant impact on the performance of metal oxide-based RRAM devices. A number of investigations have been reported regarding the relationship between annealing temperature and the performance of RRAM devices, including Al2O3 [31], ZnO [32], and CuO RRAM devices [33]. In fact, we conducted comparative experiments on the NiOx RRAM device at higher annealing temperatures (500 °C). In the experiment, ITO-coated glass was used as a substrate, while other conditions were kept unchanged. As shown in Figure S1, the I–V loops of the Pt/NiOx/ITO RRAM device after annealing at 500 °C showed a stable bipolar resistive switching behavior after 500 sweeping cycles, indicating the enhanced stability of the devices. Meanwhile, as shown by comparing the I–V loops of the flexible Pt/NiOx/ITO annealed at 175 °C, the higher-temperature annealing resulted in higher operating voltages and greater RHR and LRS resistance. The observed phenomena can be explained by the following mechanisms: in general, high-temperature annealing not only enhances the crystallization of oxide thin films and leads to the growth of the grains but also decreases the concentration of oxygen vacancies. In the oxygen-vacancy-driven conductive filament model, grain boundaries in the oxide layer provide easy paths along which the oxygen vacancies can migrate [34,35]. Therefore, oxygen vacancies tend to gather around and grow along the grain boundaries, forming conductive filaments [36]. Under higher-temperature annealing, a decrease in the density of grain boundaries and fewer oxygen vacancies would prohibit the formation of redundant conducting filaments, resulting in higher Set and Reset voltages of the device. On the other hand, the improved interface quality and crystallization though annealing help to form stable conductive filaments in the switching layer, which enhance the endurance of the devices.
Figure 6.
A diagrammatic sketch of the oxygen vacancy filament model. (a) before the voltage was applied. (b) a positive voltage was applied to the Pt electrode. (c) a negative voltage was applied to the Pt electrode.
4. Conclusions
In summary, a NiOx thin film was prepared by employing a low-temperature solution combustion method. Prepared by integrating a sandwich structure of Pt/NiOx/ITO RRAM on a PEN substrate, the devices exhibited a proper bipolar resistive switching behavior, an ON/OFF ratio of ~102 after mechanical bending, and reasonable stability. Theoretical fitting of the I–V characteristics indicated that the HRS and LRS of the devices originated from the SCLC and ohmic mechanisms, respectively. The conductive mechanism and resistance-switching mechanism of the NiOx-based RRAM device showed no obvious changes after mechanical bending, implying effective flexible stability. This work provides a new approach for the preparation of a stable NiOx-based flexible RRAM device, which has broad application prospects with respect to the new-generation of memory devices.
Supplementary Materials
The following supporting information can be downloaded at https://www.mdpi.com/article/10.3390/electronics13061042/s1. Figure S1: I–V sweep curves of the Pt/NiOx/ITO device recorded during (a) 0–100 sweep cycles; (b) 101–200 sweep cycles; (c) 201–300 sweep cycles; (d) 301–400 sweep cycles; (e) 401–500 sweep cycles. The device was fabricated on glass substrates via annealing the NiOx at 500 °C for 1 h.
Author Contributions
Conceptualization, G.M.; methodology, J.H.; validation, H.W. (Houzhao Wan); formal analysis, L.S.; investigation, H.W. (Hanbin Wang); data curation, Y.R.; writing—original draft preparation, J.H.; writing—review and editing, H.W. (Hanbin Wang); supervision, H.W. (Hao Wang); project administration, G.M.; funding acquisition, H.W. (Hao Wang). All authors have read and agreed to the published version of the manuscript.
Funding
This work was supported by the Science and Technology Major Project of Hubei under Grant 2022AEA001.
Data Availability Statement
The original contributions presented in the study are included in the article/supplementary material, further inquiries can be directed to the corresponding authors.
Conflicts of Interest
The authors declare no conflict of interest.
References
- Yang, J.J.; Strukov, D.B.; Stewart, D.R. Memristive devices for computing. Nat. Nanotechnol. 2013, 8, 13–24. [Google Scholar] [CrossRef]
- Banerjee, W. Challenges and applications of emerging nonvolatile memory devices. Electronics 2020, 9, 1029. [Google Scholar] [CrossRef]
- Yu, Z.Y.; Zhao, J.Y.; Ma, G.K.; Chen, A.; Chen, D.L.; Rao, Y.H. High uniformity and stability of 1S1R directly stacked for high-density cross-point memory applications. Rare Met. 2022, 41, 3671–3676. [Google Scholar] [CrossRef]
- Kim, S.; Yang, K.C. Resistive switching of aluminum oxide for flexible memory. Appl. Phys. Lett. 2008, 92, 223508. [Google Scholar] [CrossRef]
- Kim, S.; Yarimaga, O.; Choi, S.J.; Choi, Y.K. Highly durable and flexible memory based on resistance switching. Solid-State Electron. 2010, 54, 392–396. [Google Scholar] [CrossRef]
- Zhou, G.D.; Xiao, L.H.; Zhang, S.J.; Wu, B.; Liu, X.Q.; Zhou, A.K. Mechanism for an enhanced resistive switching effect of bilayer NiOx/TiO2 for resistive random access memory. J. Alloys Compd. 2017, 722, 753–759. [Google Scholar] [CrossRef]
- Liu, C.F.; Tang, X.G.; Wang, L.Q.; Tang, H.; Jiang, Y.P.; Liu, Q.X. Resistive switching characteristics of HfO2 thin films on mica substrates prepared by sol-gel process. Nanomaterials 2019, 9, 81124. [Google Scholar] [CrossRef]
- Qian, K.; Tay, R.Y.; Lin, M.F.; Chen, J.; Li, H.; Lin, J. Direct observation of indium conductive filaments intransparent, flexible, and transferable resistive switching memory. ACS Nano 2017, 11, 1712–1718. [Google Scholar] [CrossRef] [PubMed]
- Nagareddy, V.K.; Barnes, M.D.; Zipoli, F.; Lai, K.T.; Alexeev, A.M.; Craciun, M.F. Multilevel ultrafast flexible nanoscale nonvolatile hybrid graphene oxide–titanium oxide memories. ACS Nano 2017, 11, 3010–3021. [Google Scholar] [CrossRef] [PubMed]
- Yu, A.D.; Kurosawa, T.; Lai, Y.C.; Higashihara, T.; Ueda, M.; Liu, C.L. Flexible polymer memory devices derived from triphenylamine–pyrene containing donor–acceptor polyimides. J. Mater. Chem. 2012, 22, 20754–20763. [Google Scholar] [CrossRef]
- Pan, L.; Ji, Z.; Yi, X.; Zhu, X.; Chen, X.; Shang, J. Metal-Organic Framework Nanofilm for Mechanically Flexible Information Storage Applications. Adv. Funct. Mater. 2015, 25, 2677–2685. [Google Scholar] [CrossRef]
- Gu, C.; Lee, J.S. Flexible hybrid organic–inorganic perovskite memory. ACS Nano 2016, 10, 5413–5418. [Google Scholar] [CrossRef] [PubMed]
- Han, S.T.; Hu, L.; Wang, X.; Zhou, Y.; Zeng, Y.J.; Ruan, S. Black phosphorus quantum dots with tunable memory properties and multilevel resistive switching characteristics. Adv. Sci. 2017, 4, 1600435. [Google Scholar] [CrossRef] [PubMed]
- Lee, J.H.; Park, J.H.; Dongale, T.D.; Kim, T.G. Vacancy-modulated self-rectifying characteristics of NiOx/Al2O3-based nanoscale ReRAM devices. J. Alloys Compd. 2020, 821, 153247. [Google Scholar] [CrossRef]
- Duan, W.J.; Tang, Y.; Liang, X.C.; Rao, C.; Chu, J.X.; Wang, G.; Pei, Y.L. Solution processed flexible resistive switching memory based on Al-In-O self-mixing layer. J. Appl. Phys. 2018, 124, 104501. [Google Scholar] [CrossRef]
- Rajeshwar, K.; De Tacconi, N.R. Solution combustion synthesis of oxide semiconductors for solar energy conversion and environmental remediation. Chem. Soc. Rev. 2009, 38, 1984–1998. [Google Scholar] [CrossRef] [PubMed]
- Rajendran, S.; Manoj, D.; Raju, K.; Dionysiou, D.D.; Naushad, M.U.; Gracia, F. Influence of mesoporous defect induced mixed-valent NiO (Ni2+/Ni3+)-TiO2 nanocomposite for non-enzymatic glucose biosensors. Sens. Actuators B Chem. 2018, 264, 27–37. [Google Scholar] [CrossRef]
- Agrawal, A.; Habibi, H.R.; Agrawal, R.K.; Cronin, J.P.; Robets, D.M.; Lampert, C.M. Effect of deposition pressure on the microstructure and electrochromic properties of electron-beam-evaporated nickel oxide films. Thin Solid Film. 1992, 221, 239–253. [Google Scholar] [CrossRef]
- Andersson, A.M.; Estrada, W.; Granqvist, C.G.; Gorenstein, A.; Decker, F. Characterization of electrochromic dc-sputtered nickel-oxide-based films. In Optical Materials Technology for Energy Efficiency and Solar Energy Conversion IX: The International Congress on Optical Science and Engineering, The Hague, Netherlands, 14–15 March 1990; SPIE: Bellingham, WA, USA, 1990; Volume 1272. [Google Scholar]
- Islam, R.; Chen, G.; Ramesh, P.; Suh, J.; Fuchigami, N.; Lee, D. Investigation of the Changes in Electronic Properties of Nickel Oxide (NiOx) Due to UV/Ozone Treatment. ACS Appl. Mater. Interfaces 2017, 9, 17201–17207. [Google Scholar] [CrossRef]
- Jeong, D.S.; Schroeder, H.; Breuer, U.; Waser, R. Characteristic electroforming behavior in Pt/TiO2/Pt resistive switching cells depending on atmosphere. J. Appl. Phys. 2008, 104, 123716. [Google Scholar] [CrossRef]
- Salah, R.; Barth, M.; Eberhardt, W.; Zimmermann, A. Bending Setups for Reliability Investigation of Flexible Electronics. Micromachines 2021, 12, 78. [Google Scholar] [CrossRef]
- Kim, K.M.; Hang, S.; Hwang, C.S. Electronic bipolar resistance switching in an anti-serially connected Pt/TiO2/Pt structure for improved reliability. Nanotechnology 2012, 23, 035201. [Google Scholar] [CrossRef]
- Hwang, B.; Lee, J.S. Lead-free, air-stable hybrid organic–inorganic perovskite resistive switching memory with ultrafast switching and multilevel data storage. Nanoscale 2018, 10, 8578–8584. [Google Scholar] [CrossRef]
- He, Y.; Ma, G.; Zhou, X.; Cai, H.; Liu, C.; Zhang, J. Impact of chemical doping on resistive switching behavior in zirconium-doped CH3NH3PbI3 based RRAM. Org. Electron. 2019, 68, 230–235. [Google Scholar] [CrossRef]
- Cai, H.; Ma, G.; He, Y.; Lu, L.; Zhang, J.; Wang, H. Compact pure phase CsPbBr3 perovskite film with significantly improved stability for high-performance memory. Ceram. Int. 2019, 45, 1150–1155. [Google Scholar] [CrossRef]
- Wu, C.H.; Pan, C.H.; Chen, P.H.; Chang, T.C.; Tsai, T.M.; Chang, K.C. Inert Pt electrode switching mechanism after controlled polarity-forming process in In2O3-based resistive random access memory. Appl. Phys. Express 2017, 10, 094102. [Google Scholar] [CrossRef]
- Tang, H.-H.; Whang, T.-J.; Su, Y.K. Interpretations for coexistence of unipolar and bipolar resistive switching behaviors in Pt/NiO/ITO structure. Jpn. J. Appl. Phys. 2019, 58, SDDE14. [Google Scholar] [CrossRef]
- He, L.; Liao, Z.M.; Wu, H.C.; Tian, X.X.; Xu, D.S.; Cross, G.L.W. Memory and threshold resistance switching in Ni/NiO core–shell nanowires. Nano Lett. 2011, 11, 4601–4606. [Google Scholar] [CrossRef] [PubMed]
- Ahn, S.E.; Kang, B.S. Bipolar resistance switching of NiO/indium tin oxide heterojunction. Curr. Appl. Phys. 2011, 11, S349–S351. [Google Scholar] [CrossRef]
- Shen, Z.J.; Qi, Y.F.; Mitrovic, I.Z.; Zhao, C.Z.; Hall, S.; Yang, L.; Luo, T.; Huang, Y.B.; Zhao, C. The annealing temperature has significant impact on the performance of metal oxides based RRAM. Micromachines 2019, 10, 446–457. [Google Scholar] [CrossRef]
- Kaushik, S.; Pandey, S.; Singhal, R. Effect of Annealing on Morphological, Structural and Electrical Characteristics of Zinc Oxide Layer for RRAM Applications. ECS J. Solid State Sci. Technol. 2022, 11, 035003. [Google Scholar] [CrossRef]
- Hsu, C.C.; Lin, Y.S.; Cheng, C.W.; Jhang, W.C. Annealing Effect on the Performance of Copper Oxide Resistive Memory Devices. IEEE Trans. Electron Devices 2020, 67, 976–983. [Google Scholar] [CrossRef]
- Szot, K.; Speier, W.; Carius, R.; Zastrow, U.; Beyer, W. Localized metallic conductivity and self-healing during thermal reduction of SrTiO3. Phys. Rev. Lett. 2002, 88, 075508–075512. [Google Scholar] [CrossRef] [PubMed]
- Chang, W.Y.; Lai, Y.C.; Wu, T.B.; Wang, S.F.; Chen, F.; Tsai, M.J. Unipolar resistive switching characteristics of ZnO thin films for nonvolatile memory applications. Appl. Phys. Lett. 2008, 92, 022110. [Google Scholar] [CrossRef]
- Zhuge, F.; Peng, S.S.; He, C.L.; Zhu, X.J.; Chen, X.X.; Liu, Y.W.; Li, R.W. Improvement of resistive switching in Cu/ZnO/Pt sandwiches by weakening the randomicity of the formation/rupture of Cu filaments. Nanotechnology 2011, 22, 275204. [Google Scholar] [CrossRef]
Disclaimer/Publisher’s Note: The statements, opinions and data contained in all publications are solely those of the individual author(s) and contributor(s) and not of MDPI and/or the editor(s). MDPI and/or the editor(s) disclaim responsibility for any injury to people or property resulting from any ideas, methods, instructions or products referred to in the content. |
© 2024 by the authors. Licensee MDPI, Basel, Switzerland. This article is an open access article distributed under the terms and conditions of the Creative Commons Attribution (CC BY) license (https://creativecommons.org/licenses/by/4.0/).





