RBFNN-Based Adaptive Integral Sliding Mode Feedback and Feedforward Control for a Lower Limb Exoskeleton Robot
Abstract
1. Introduction
- A novel PIDFF-ISMC control method is proposed by effectively integrating the RBF neural network-based ISMC feedforward control with the feedforward control. This binary control architecture of “feedforward + feedback” is implemented to enhance the trajectory tracking performance in the system.
- We introduce the RBF neural network to approximate the integral sliding mode term encompassing the uncertainty in the exoskeleton robot system, which is difficult to calculate in the ISMC method. Meanwhile, we adopt the ISMC instead of traditional SMC and utilize the saturation function instead of the traditional sign function, ultimately achieving the reduced trajectory tracking error and mitigated control chattering.
- We establish the feedforward control based on the inverse dynamic model, integrating it with the model-free RBF neural network-based ISMC, thereby reducing the response time of the exoskeleton robot system.
2. Exoskeleton Robot System Components
2.1. Exoskeleton Robot Structural Components
2.2. Exoskeleton Robot Dynamic Model
3. Trajectory Tracking Control Method
4. Experimental Results
4.1. Experimental Platform
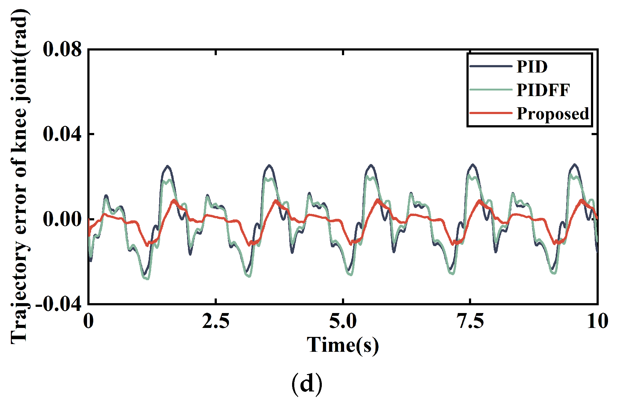
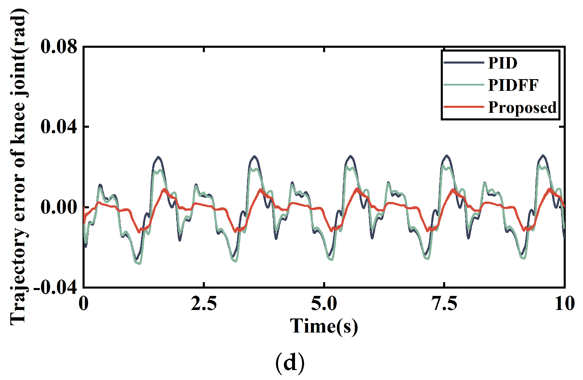
4.2. Experimental Results of Trajectory Tracking
4.3. Experimental Results of Control Input
5. Conclusions
Author Contributions
Funding
Institutional Review Board Statement
Informed Consent Statement
Data Availability Statement
Conflicts of Interest
References
- Meijneke, C.; van Oort, G.; Sluiter, V.; van Asseldonk, E.; Tagliamonte, N.L.; Tamburella, F.; Pisotta, I.; Masciullo, M.; Arquilla, M.; Molinari, M.; et al. Symbitron Exoskeleton: Design, Control, and Evaluation of a Modular Exoskeleton for Incomplete and Complete Spinal Cord Injured Individuals. IEEE Trans. Neural Syst. Rehabil. Eng. 2021, 29, 330–339. [Google Scholar] [CrossRef] [PubMed]
- Zhang, M.; Huang, J.; Cao, Y.; Xiong, C.H.; Mohammed, S. Echo State Network-Enhanced Super-Twisting Control of Passive Gait Training Exoskeleton Driven by Pneumatic Muscles. IEEE/ASME Trans. Mechatron. 2022, 27, 5107–5118. [Google Scholar] [CrossRef]
- Abbasimoshaei, A.; Chinnakkonda Ravi, A.K.; Kern, T.A. Development of a New Control System for a Rehabilitation Robot Using Electrical Impedance Tomography and Artificial Intelligence. Biomimetics 2023, 8, 420. [Google Scholar] [CrossRef] [PubMed]
- Rubio, J.d.J.; Hernandez, M.A.; Rosas, F.J.; Orozco, E.; Balcazar, R.; Pacheco, J. Genetic high-gain controller to improve the position perturbation attenuation and compact high-gain controller to improve the velocity perturbation attenuation in inverted pendulums. Neural Netw. 2024, 170, 32–45. [Google Scholar] [CrossRef] [PubMed]
- Ahmed, T.; Islam, M.R.; Brahmi, B.; Rahman, M.H. Robustness and Tracking Performance Evaluation of PID Motion Control of 7 DoF Anthropomorphic Exoskeleton Robot Assisted Upper Limb Rehabilitation. Sensors 2022, 22, 3747. [Google Scholar] [CrossRef] [PubMed]
- Soriano, L.A.; Zamora, E.; Vazquez-Nicolas, J.M.; Hernández, G.; Barraza Madrigal, J.A.; Balderas, D. PD Control Compensation Based on a Cascade Neural Network Applied to a Robot Manipulator. Front. Neurorobotics 2020, 14, 577749. [Google Scholar] [CrossRef] [PubMed]
- Sharifi, M.; Mehr, J.K.; Mushahwar, V.K.; Tavakoli, M. Autonomous Locomotion Trajectory Shaping and Nonlinear Control for Lower Limb Exoskeletons. IEEE/ASME Trans. Mechatron. 2022, 27, 645–655. [Google Scholar] [CrossRef]
- Brahmi, B.; Saad, M.; Ochoa-Luna, C.; Rahman, M.H.; Brahmi, A. Adaptive Tracking Control of an Exoskeleton Robot with Uncertain Dynamics Based on Estimated Time-Delay Control. IEEE-ASME Trans. Mechatron. 2018, 23, 575–585. [Google Scholar] [CrossRef]
- Zhang, P.; Zhang, J.; Elsabbagh, A. Fuzzy radial-based impedance controller design for lower limb exoskeleton robot. Robotica 2023, 41, 326–345. [Google Scholar] [CrossRef]
- Bian, S.; Garibaldi, J.M.; Li, Z. Reshaping Wearable Robots Using Fuzzy Intelligence: Integrating Type-2 Fuzzy Decision, Intelligent Control, and Origami Structure. IEEE Trans. Fuzzy Syst. 2023, 31, 3741–3761. [Google Scholar] [CrossRef]
- Rubio, J.D.J. Bat algorithm based control to decrease the control energy consumption and modified bat algorithm based control to increase the trajectory tracking accuracy in robots. Neural Netw. 2023, 161, 437–448. [Google Scholar] [CrossRef]
- Jammeli, I.; Chemori, A.; Moon, H.; Elloumi, S.; Mohammed, S. An Assistive Explicit Model Predictive Control Framework for a Knee Rehabilitation Exoskeleton. IEEE-ASME Trans. Mechatron. 2022, 27, 3636–3647. [Google Scholar] [CrossRef]
- Batkovic, I.; Ali, M.; Falcone, P.; Zanon, M. Safe Trajectory Tracking in Uncertain Environments. IEEE Trans. Autom. Control 2023, 68, 4204–4217. [Google Scholar] [CrossRef]
- Sun, J.; Wang, J.; Yang, P.; Guo, S. Fractional-Order Prescribed Performance Sliding-Mode Control With Time-Delay Estimation for Wearable Exoskeletons. IEEE Trans. Ind. Inform. 2023, 19, 8274–8284. [Google Scholar] [CrossRef]
- Teng, L.; Gull, M.A.; Bai, S. PD-Based Fuzzy Sliding Mode Control of a Wheelchair Exoskeleton Robot. IEEE-ASME Trans. Mechatron. 2020, 25, 2546–2555. [Google Scholar] [CrossRef]
- Yang, X.; Liu, H.; Xiao, J.; Zhu, W.; Liu, Q.; Gong, G.; Huang, T. Continuous Friction Feedforward Sliding Mode Controller for a TriMule Hybrid Robot. IEEE-ASME Trans. Mechatron. 2018, 23, 1673–1683. [Google Scholar] [CrossRef]
- Jiang, B.; Karimi, H.R.; Li, B. Adaptive sliding mode control of Markov jump systems with completely unknown mode information. Int. J. Robust Nonlinear Control 2023, 33, 3749–3763. [Google Scholar] [CrossRef]
- Yu, D.; Chen, C.L.P.; Xu, H. Fuzzy Swarm Control Based on Sliding-Mode Strategy With Self-Organized Omnidirectional Mobile Robots System. IEEE Trans. Syst. Man-Cybern.-Syst. 2022, 52, 2262–2274. [Google Scholar] [CrossRef]
- Truong, T.N.; Vo, A.T.; Kang, H.J. A model-free terminal sliding mode control for robots: Achieving fixed-time prescribed performance and convergence. ISA Trans. 2024, 144, 330–341. [Google Scholar] [CrossRef]
- Almaghout, K.; Tarvirdizadeh, B.; Alipour, K.; Hadi, A. RBF neural network-based admittance PD control for knee rehabilitation robot. Robotica 2022, 40, 4512–4534. [Google Scholar] [CrossRef]
- Wang, F.; Chao, Z.Q.; Huang, L.B.; Li, H.Y.; Zhang, C.Q. Trajectory tracking control of robot manipulator based on RBF neural network and fuzzy sliding mode. Clust.-Comput. J. Netw. Softw. Tools Appl. 2019, 22, S5799–S5809. [Google Scholar] [CrossRef]
- Zhao, J.; Yang, T.; Sun, X.; Dong, J.; Wang, Z.; Yang, C. Sliding mode control combined with extended state observer for an ankle exoskeleton driven by electrical motor. Mechatronics 2021, 76, 102554. [Google Scholar] [CrossRef]
- Fallaha, C.; Saad, M.; Ghommam, J.; Kali, Y. Sliding Mode Control With Model-Based Switching Functions Applied on a 7-DOF Exoskeleton Arm. IEEE/ASME Trans. Mechatron. 2021, 26, 539–550. [Google Scholar] [CrossRef]
- Xu, Z.; Huang, W.; Li, Z.; Hu, L.; Lu, P. Nonlinear Nonsingular Fast Terminal Sliding Mode Control Using Deep Deterministic Policy Gradient. Appl. Sci. 2021, 11, 4685. [Google Scholar] [CrossRef]
- Lee, J.; Chang, P.H.; Jin, M. Adaptive Integral Sliding Mode Control With Time-Delay Estimation for Robot Manipulators. IEEE Trans. Ind. Electron. 2017, 64, 6796–6804. [Google Scholar] [CrossRef]
- Esmaeili, B.; Madani, S.S.; Salim, M.; Baradarannia, M.; Khanmohammadi, S. Model-free adaptive iterative learning integral terminal sliding mode control of exoskeleton robots. J. Vib. Control. 2022, 28, 3120–3139. [Google Scholar] [CrossRef]
- Wu, J.; Zhang, B.; Wang, L.; Yu, G. An iterative learning method for realizing accurate dynamic feedforward control of an industrial hybrid robot. Sci. China Technol. Sci. 2021, 64, 1177–1188. [Google Scholar] [CrossRef]
- Yao, Q. Disturbance observer-based robust fixed-time integrated trajectory tracking control for space manipulator. Robotica 2022, 40, 3214–3232. [Google Scholar] [CrossRef]











| Type | MAE (Rad) | MAXE (Rad) | RMSE (Rad) | ||
|---|---|---|---|---|---|
| Method | |||||
| PID | Hip | 0.01336 | 0.03858 | 0.01585 | |
| Knee | 0.01076 | 0.02599 | 0.01309 | ||
| PIDFF | Hip | 0.01133 | 0.02927 | 0.01367 | |
| Knee | 0.01109 | 0.02834 | 0.01287 | ||
| Proposed | Hip | 0.00193 | 0.00809 | 0.00273 | |
| Knee | 0.00392 | 0.01257 | 0.00533 | ||
| Type | MAE (Rad) | MAXE (Rad) | RMSE (Rad) | ||
|---|---|---|---|---|---|
| Method | |||||
| PID | Hip | 0.00787 | 0.0207 | 0.00888 | |
| Knee | 0.01961 | 0.04431 | 0.02246 | ||
| PIDFF | Hip | 0.01018 | 0.02275 | 0.01174 | |
| Knee | 0.0083 | 0.01633 | 0.00902 | ||
| Proposed | Hip | 0.00132 | 0.00313 | 0.00159 | |
| Knee | 8.79041 | 0.0029 | 0.00112 | ||
Disclaimer/Publisher’s Note: The statements, opinions and data contained in all publications are solely those of the individual author(s) and contributor(s) and not of MDPI and/or the editor(s). MDPI and/or the editor(s) disclaim responsibility for any injury to people or property resulting from any ideas, methods, instructions or products referred to in the content. |
© 2024 by the authors. Licensee MDPI, Basel, Switzerland. This article is an open access article distributed under the terms and conditions of the Creative Commons Attribution (CC BY) license (https://creativecommons.org/licenses/by/4.0/).
Share and Cite
Yuan, T.; Zhang, C.; Yi, F.; Lv, P.; Zhang, M.; Li, S. RBFNN-Based Adaptive Integral Sliding Mode Feedback and Feedforward Control for a Lower Limb Exoskeleton Robot. Electronics 2024, 13, 1043. https://doi.org/10.3390/electronics13061043
Yuan T, Zhang C, Yi F, Lv P, Zhang M, Li S. RBFNN-Based Adaptive Integral Sliding Mode Feedback and Feedforward Control for a Lower Limb Exoskeleton Robot. Electronics. 2024; 13(6):1043. https://doi.org/10.3390/electronics13061043
Chicago/Turabian StyleYuan, Ting, Chi Zhang, Feng Yi, Pingping Lv, Meitong Zhang, and Shupei Li. 2024. "RBFNN-Based Adaptive Integral Sliding Mode Feedback and Feedforward Control for a Lower Limb Exoskeleton Robot" Electronics 13, no. 6: 1043. https://doi.org/10.3390/electronics13061043
APA StyleYuan, T., Zhang, C., Yi, F., Lv, P., Zhang, M., & Li, S. (2024). RBFNN-Based Adaptive Integral Sliding Mode Feedback and Feedforward Control for a Lower Limb Exoskeleton Robot. Electronics, 13(6), 1043. https://doi.org/10.3390/electronics13061043
