Secure Aggregation-Based Big Data Analysis and Power Prediction Model for Photovoltaic Systems: A Multi-Layered Approach
Abstract
1. Introduction
1.1. Research Background
1.1.1. Growth in Photovoltaic Power Generation and Big Data Demand
1.1.2. The Potential of Secure Aggregation in Photovoltaic Power Generation
1.2. Research Significance
Significance of Big Data and Secure Aggregation in PV Power Generation
2. Related Work
2.1. Data Processing and Power Forecasting in Photovoltaic Power Generation
2.2. Data Privacy Protection Techniques
3. Data Collection Phase of Photovoltaic Power Generation Systems Based on Homomorphic Encryption
3.1. The Structure of a Photovoltaic Power Generation System
3.2. Data Collection Objects and Content in a Photovoltaic Power Generation System
3.2.1. Equipment Information
- PV modules record information, such as manufacturer, model, specifications, installation location, factory date, etc., of each PV module.
- Inverter: the brand, model, specification, installation location, and operation status of the inverter.
- Monitoring equipment records the model, specification, installation location, data collection frequency, and other information of the monitoring equipment.
- Cables and distribution equipment, including the type, specification, length and laying method of cables, and the model and specification of distribution equipment.
3.2.2. Solar Panel Operation
- MPPT (maximum power point tracker): This is used to monitor the operation of the MPPT and guarantee that it efficiently optimizes the output power from the solar panel.
- Inverter: This keeps track of the inverter working and makes sure that DC electricity is converted to AC electricity in an efficient way.
- Controller: In order to guarantee that the controller is in good condition to manage everything in the system, it keeps track of its own operating status.
- Grid interface: This is used to verify the grid interface performance and to ensure that the interface is correctly connected to the grid.
3.2.3. Performance Data
- Power generation: records the total power generation per day, month, and year, as well as the power generation of each module and each inverter.
- Conversion efficiency: monitors the conversion efficiency of PV modules and inverters and identifies possible performance degradation or failures.
- Power factor: tracks the power factor of the PV system to ensure power quality.
3.2.4. Environmental Data
- Light intensity: Record daily and hourly light intensity to help assess the power generation potential of the PV power plant.
- Temperature: Monitor the ambient temperature and module temperature to identify the effect of temperature on power generation efficiency.
- Humidity: Record air humidity and understand its impact on module performance.
- Wind speed: Monitor wind speed and direction to assess the impact of wind on the safety and stability of PV modules.
3.2.5. Historical Operation Data
- Operation history: Record the operation time, downtime, fault time, etc., of the equipment.
- Failure records: Record the time, cause, handling process, and result of each failure in detail.
- Maintenance records: Record the time, content, participants, and maintenance effects of each maintenance.
3.2.6. Data Analysis and Visualization
- Power generation analysis: Generate daily, weekly, monthly, and yearly reports of power generation, as well as power generation analysis charts of each module and each inverter.
- Efficiency analysis: Generate the trend chart of conversion efficiency; identify the time period and reason for efficiency decline.
- Failure analysis: Generate failure distribution charts to identify high-failure areas and equipment.
- Environmental impact analysis: Generate correlation charts between environmental data and power generation to assess the impact of environmental factors on power generation efficiency.
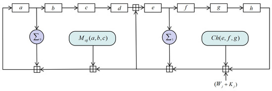
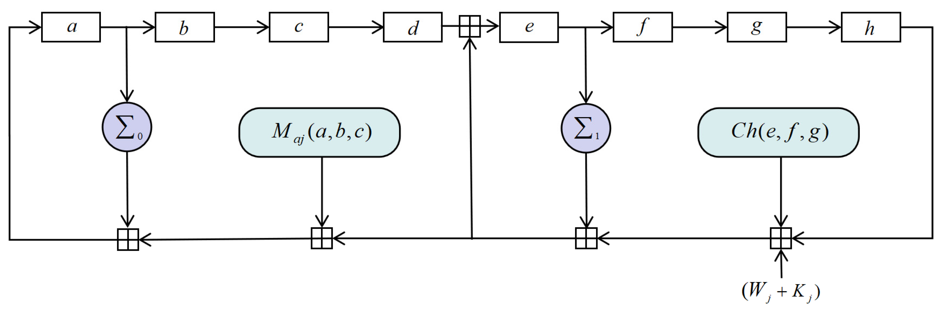
3.3. Operation Process of the Paillier Algorithm and BVG Algorithm
3.3.1. Key Generation for the Paillier Algorithm
3.3.2. Encryption Process for the Paillier Algorithm
3.3.3. Homomorphic Property
3.3.4. Key Generation for the BVG Algorithm
3.3.5. Encryption Process for the BVG Algorithm
3.3.6. Arbitrary Function Computation
4. Data Transmission Phase of Photovoltaic Power Generation Systems Based on Homomorphic Encryption
4.1. Edge Computing in the Context of the Paillier Algorithm
4.2. Application of the TLS Protocol in the Data Collection Phase
- (1)
- The message processing flow of the SHA-256 algorithm
- (2)
- The compression function of the SHA-256 algorithm
4.3. Two Different Kinds of Adversariess in the Data Collection Stage Countermeasures
4.3.1. Active Adversaries
4.3.2. Honest but Curious Adversaries
5. Data Storage Phase of Photovoltaic Power Generation Systems Based on Homomorphic Encryption
5.1. Limitations of Traditional Photovoltaic Power Generation Data Storage
5.1.1. Insufficient Data Privacy Protection
5.1.2. Inadequate Support for Big Data Processing
5.2. Two Feasible Technological Approaches: Analysis Based on Homomorphic Encryption
5.2.1. Key Management
5.2.2. Access Control and Auditing
6. Data Processing and Analysis Phase of Photovoltaic Power Generation Systems Based on Homomorphic Encryption
6.1. Data Preprocessing
6.1.1. Handling Missing Values with Mean Imputation
6.1.2. Decryption Process
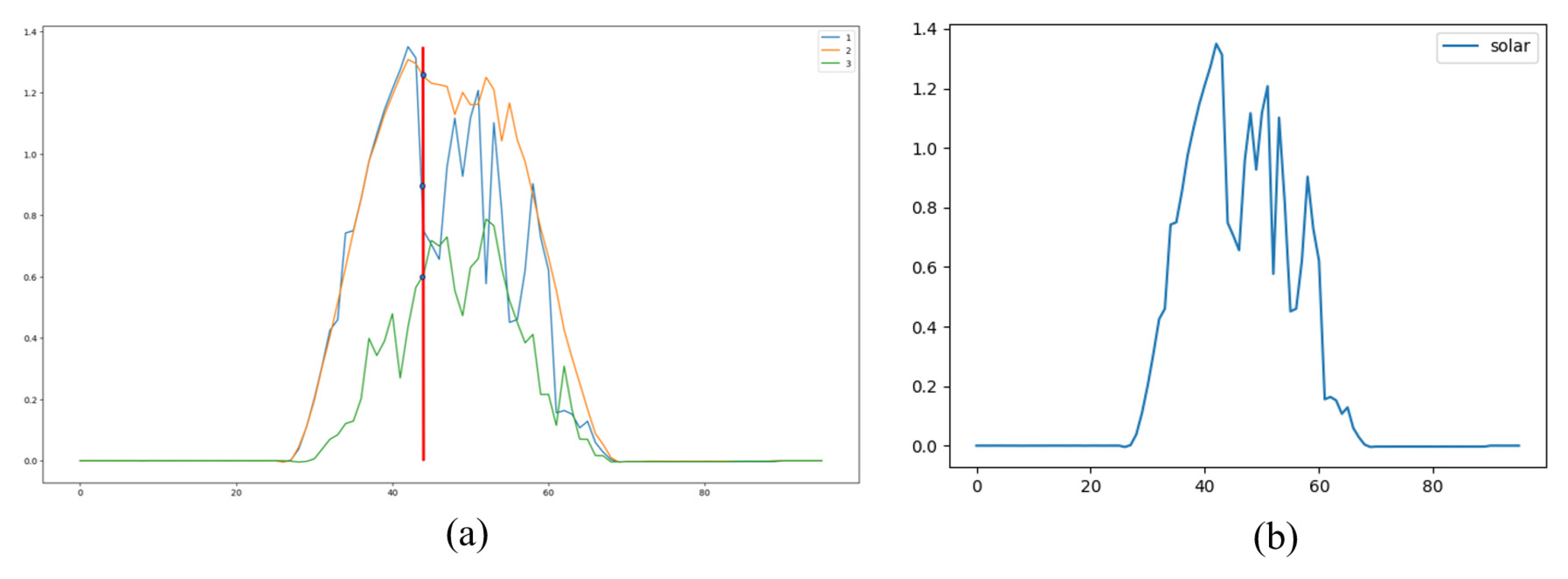
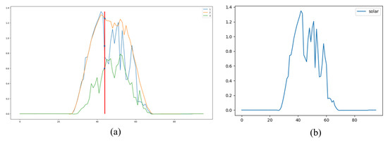
6.2. Clustering: Model Constructed with Improved K-Means++ Algorithm
6.3. Based on the Information Criterion Model of the Silhouette Coefficient Method
6.4. Adaptive Noise Ensemble Empirical Mode Decomposition Model
6.5. Long Short-Term Memory (LSTM) Network Model
7. Discussion and Future Outlook
7.1. Research Limitations
7.1.1. Challenges in PV Power Forecasting
7.1.2. Issues with Secure Data Aggregation
7.2. Future Work
7.2.1. Improve the Efficiency and Scale of Similarity Between Homogeneous Encryption Algorithm and Computing
7.2.2. Integration of Intelligent Prediction Models with Dynamic Security Strategies
8. Conclusions
Author Contributions
Funding
Data Availability Statement
Conflicts of Interest
References
- Hosenuzzaman, M.; Rahim, N.A.; Selvaraj, J.; Hasanuzzaman, M.; Malek, A.A.; Nahar, A. Global prospects, progress, policies, and environmental impact of solar photovoltaic power generation. Renew. Sustain. Energy Rev. 2015, 41, 284–297. [Google Scholar] [CrossRef]
- Singh, G.K. Solar power generation by PV (photovoltaic) technology: A review. Energy 2013, 53, 1–13. [Google Scholar] [CrossRef]
- Das, U.K.; Tey, K.S.; Seyedmahmoudian, M.; Mekhilef, S.; Idris, M.Y.I.; Van Deventer, W.; Horan, B.; Stojcevski, A. Forecasting of photovoltaic power generation and model optimization: A review. Renew. Sustain. Energy Rev. 2018, 81, 912–928. [Google Scholar] [CrossRef]
- Arthur, D.; Vassilvitskii, S. K-Means++: The Advantages of Careful Seeding; Santa Clara County: Stanford, CA, USA, 2006. [Google Scholar]
- Gao, B.; Huang, X.; Shi, J.; Tai, Y.; Zhang, J. Hourly forecasting of solar irradiance based on CEEMDAN and multi-strategy CNN-LSTM neural networks. Renew. Energy 2020, 162, 1665–1683. [Google Scholar] [CrossRef]
- Xiong, H.; Qu, Z.; Huang, X.; Yeh, K.H. Revocable and Unbounded Attribute-based Encryption Scheme with Adaptive Security for Integrating Digital Twins in Internet of Things. IEEE J. Sel. Areas Commun. 2023, 41, 3306–3317. [Google Scholar] [CrossRef]
- Liu, C.H.; Lin, Q.; Wen, S. Blockchain-Enabled Data Collection and Sharing for Industrial IoT With Deep Reinforcement Learning. IEEE Trans. Ind. Inform 2019, 15, 3516–3526. [Google Scholar] [CrossRef]
- Bonawitz, K.; Ivanov, V.; Kreuter, B.; Marcedone, A.; McMahan, H.B.; Patel, S.; Ramage, D.; Segal, A.; Seth, K. Practical secure aggregation for privacy-preserving machine learning. In Proceedings of the 2017 ACM SIGSAC Conference on Computer and Communications Security, Dallas, TX, USA, 30 October 2017; pp. 1175–1191. [Google Scholar]
- Hu, L.; Evans, D. Secure aggregation for wireless networks. In Proceedings of the 2003 Symposium on Applications and the Internet Workshops, Orlando, FL, USA, 27–31 January2003; pp. 384–391. [Google Scholar]
- Bonawitz, K.; Ivanov, V.; Kreuter, B.; Marcedone, A.; McMahan, H.B.; Patel, S.; Ramage, D.; Segal, A.; Seth, K. Practical secure aggregation for federated learning on user-held data. arXiv 2016, arXiv:1611.04482. [Google Scholar]
- Fereidooni, H.; Marchal, S.; Miettinen, M.; Mirhoseini, A.; Möllering, H.; Nguyen, T.D.; Rieger, P.; Sadeghi, A.R.; Schneider, T.; Zeitouni, S.; et al. SAFELearn: Secure aggregation for private federated learning. In Proceedings of the 2021 IEEE Security and Privacy Workshops (SPW), San Francisco, CA, USA, 27 May 2021; pp. 56–62. [Google Scholar]
- Kadhe, S.; Rajaraman, N.; Koyluoglu, O.O.; Ramchandran, K. Fastsecagg: Scalable secure aggregation for privacy-preserving federated learning. arXiv 2020, arXiv:2009.11248. [Google Scholar]
- Acar, A.; Aksu, H.; Uluagac, A.S.; Conti, M. A survey on homomorphic encryption schemes: Theory and implementation. ACM Comput. Surv. 2018, 51, 1–35. [Google Scholar] [CrossRef]
- Naehrig, M.; Lauter, K.; Vaikuntanathan, V. Can homomorphic encryption be practical? In Proceedings of the 3rd ACM Workshop on Cloud Computing Security Workshop, Chicago, IL, USA, 21 October 2011; pp. 113–124. [Google Scholar]
- Gentry, C. Fully homomorphic encryption using ideal lattices. In Proceedings of the Forty-First Annual ACM Symposium on Theory of Computing, Bethesda, MD, USA, 31 May 2009; pp. 169–178. [Google Scholar]
- Fan, J.; Vercauteren, F. Somewhat practical fully homomorphic encryption. arXiv 2012, arXiv:hep-ph/9609357. [Google Scholar]
- Xiong, H.; Yan, H.; Obaidat, M.S.; Chen, J.; Cao, M.; Kumar, S.; Agarwal, K.; Kumari, S. Efficient and Privacy-Enhanced Asynchronous Federated Learning for Multimedia Data in Edge-based IoT. ACM Trans. Multimed. Comput. Commun. Appl. 2024. [Google Scholar] [CrossRef]
- Hazay, C.; Mikkelsen, G.L.; Rabin, T.; Toft, T. Efficient RSA key generation and threshold paillier in the two-party setting. In Topics in Cryptology–CT-RSA 2012: The Cryptographers’ Track at the RSA Conference 2012, San Francisco, CA, USA, 27 February–2 March 2012; Springer: Berlin/Heidelberg, Germany, 2009; pp. 313–331. [Google Scholar]
- Bahmani, B.; Moseley, B.; Vattani, A.; Kumar, R.; Vassilvitskii, S. Scalable k-means++. arXiv 2012, arXiv:1203.6402. [Google Scholar] [CrossRef]
- Yu, Y.; Si, X.; Hu, C.; Zhang, J. A review of recurrent neural networks: LSTM cells and network architectures. Neural Comput. 2019, 31, 1235–1270. [Google Scholar] [CrossRef] [PubMed]
- Sherstinsky, A. Fundamentals of recurrent neural network (RNN) and long short-term memory (LSTM) network. Phys. D Nonlinear Phenom. 2020, 404, 132306. [Google Scholar] [CrossRef]
- Staudemeyer, R.C.; Morris, E.R. Understanding LSTM--a tutorial into long short-term memory recurrent neural networks. arXiv 2019, arXiv:1909.09586. [Google Scholar]
- Gentry, C.; Halevi, S. Implementing gentry’s fully-homomorphic encryption scheme. In Proceedings of the Annual International Conference on the Theory and Applications of Cryptographic Techniques, Berlin/Heidelberg, Germany, 15–19 May 2011; Springer: Berlin/Heidelberg, Germany, 2009; pp. 129–148. [Google Scholar]
- Xiong, H.; Yao, T.; Zhao, Y.; Gong, L.; Yeh, K.H. A Conditional Privacy-Preserving Mutual Authentication Protocol With Fine-Grained Forward and Backward Security in IoV. IEEE Trans. Intell. Transp. Syst. 2024, 25, 15493–15511. [Google Scholar] [CrossRef]


















| Cluster 0 | Cluster 1 | Cluster 2 | Cluster 3 | Cluster 4 | |
|---|---|---|---|---|---|
| Temperature | 296 | 286 | 288 | 296 | 289 |
| Irradiance | 213 | 68 | 162 | 242 | 103 |
| Cloud Cover | 0.75 | 0.95 | 0.59 | 0.51 | 0.86 |
| precipitation | 0.0071 | 0.0115 | 0.0034 | 0.0022 | 0.0113 |
| Cluster 0 | Cluster 1 | Cluster 2 | Cluster 3 | Cluster 4 | |
|---|---|---|---|---|---|
| Error rate | 5.32% | 1.55% | 1.34% | 4.37% | 2.61% |
Disclaimer/Publisher’s Note: The statements, opinions and data contained in all publications are solely those of the individual author(s) and contributor(s) and not of MDPI and/or the editor(s). MDPI and/or the editor(s) disclaim responsibility for any injury to people or property resulting from any ideas, methods, instructions or products referred to in the content. |
© 2024 by the authors. Licensee MDPI, Basel, Switzerland. This article is an open access article distributed under the terms and conditions of the Creative Commons Attribution (CC BY) license (https://creativecommons.org/licenses/by/4.0/).
Share and Cite
Huang, Q.; Wahaballa, A. Secure Aggregation-Based Big Data Analysis and Power Prediction Model for Photovoltaic Systems: A Multi-Layered Approach. Electronics 2024, 13, 4869. https://doi.org/10.3390/electronics13244869
Huang Q, Wahaballa A. Secure Aggregation-Based Big Data Analysis and Power Prediction Model for Photovoltaic Systems: A Multi-Layered Approach. Electronics. 2024; 13(24):4869. https://doi.org/10.3390/electronics13244869
Chicago/Turabian StyleHuang, Qiwei, and Abubaker Wahaballa. 2024. "Secure Aggregation-Based Big Data Analysis and Power Prediction Model for Photovoltaic Systems: A Multi-Layered Approach" Electronics 13, no. 24: 4869. https://doi.org/10.3390/electronics13244869
APA StyleHuang, Q., & Wahaballa, A. (2024). Secure Aggregation-Based Big Data Analysis and Power Prediction Model for Photovoltaic Systems: A Multi-Layered Approach. Electronics, 13(24), 4869. https://doi.org/10.3390/electronics13244869

