A Cascade Fractional-N Synthesizer Topology of DLL and Frequency Multiplier for 5G+ Communication Systems
Abstract
1. Introduction
2. Topology, Analysis, and Frequency Range
2.1. Synthesizer Topology, RF Range, and Channel Resolution
2.2. Phase Noise Analysis and No Jitter Accumulation
3. Design of the Proposed Synthesizer and Spur Analysis
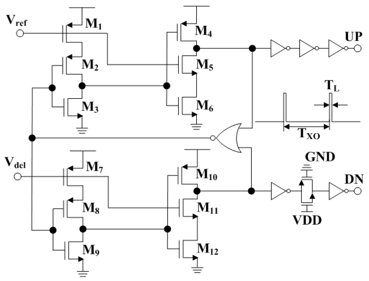
3.1. Low-Phase Noise PFD and CP
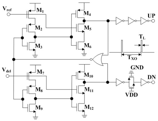
3.2. Delay Unit
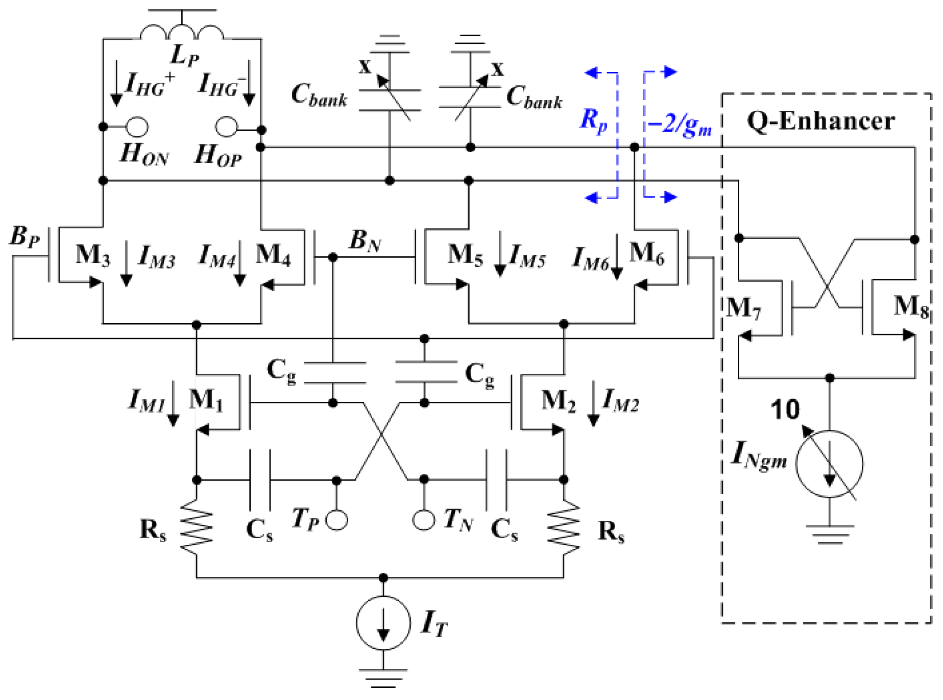
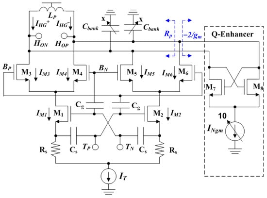
3.3. Programmable RFFM
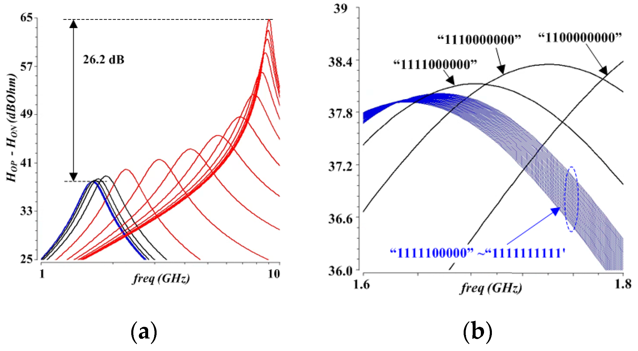
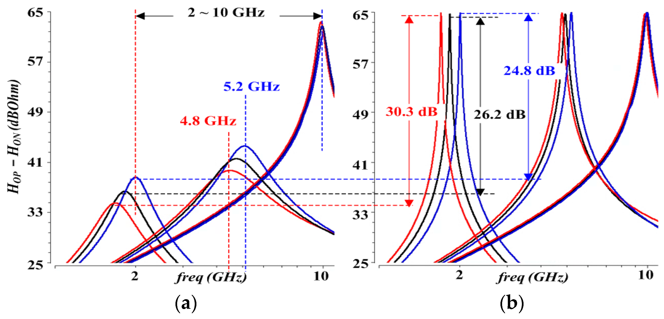
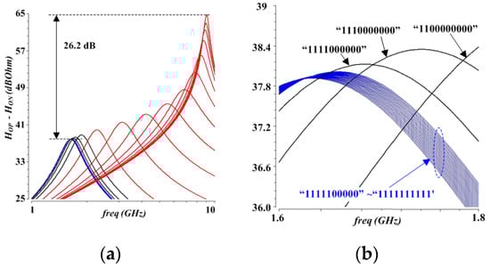
3.4. Adjacent HRR Simulation and Analysis
4. Fabrication, Measurement, and Comparison
5. Conclusions and Outlook
Author Contributions
Funding
Data Availability Statement
Acknowledgments
Conflicts of Interest
References
- El-Halwagy, W.; Nag, A.; Hisayasu, P.; Aryanfar, F.; Mousavi, P.; Hossain, M. A 28-GHz quadrature fractional-N frequency synthesizer for 5G transceivers with less than 100-fs jitter based on cascaded PLL architecture. IEEE Trans. Microw. Theory Tech. 2017, 65, 396–413. [Google Scholar] [CrossRef]
- Siriburanon, T.; Liu, H.; Nakata, K.; Deng, W.; Son, J.H.; Lee, D.Y.; Okada, K.; Matsuzawa, A. A 28-GHz fractional-N frequency synthesizer with reference and frequency doublers for 5G cellular. In Proceedings of the ESSCIRC Conference 2015—41st European Solid-State Circuits Conference, Graz, Austria, 14–18 September 2015. [Google Scholar]
- Kim, J.; Yoon, H.; Lim, Y.; Lee, Y.; Cho, Y.; Seong, T.; Choi, J. A 76fsrms jitter and −40 dBc integrated-phase-noise 28-to-31 GHz frequency synthesizer based on digital sub-sampling PLL using optimally spaced voltage comparators and background loop-gain optimization. In Proceedings of the 2019 IEEE International Solid-State Circuits Conference, San Francisco, CA, USA, 17–21 February 2019. [Google Scholar]
- Yoon, H.; Kim, J.; Park, S.; Lim, Y.; Lee, Y.; Bang, J.; Lim, K.; Choi, J. A −31 dBc integrated-phase-noise 29 GHz fractional-N frequency synthesizer supporting multiple frequency bands for backward-compatible 5G using a frequency doubler and injection-locked frequency multipliers. In Proceedings of the 2018 IEEE International Solid-State Circuits Conference, San Francisco, CA, USA, 11–15 February 2018. [Google Scholar]
- Shin, D.; Koh, K.-J. An injection frequency-locked loop-autonomous injection frequency tracking loop with phase noise self-calibration for power-efficient mm-wave signal sources. IEEE J. Solid-State Circuits 2018, 53, 825–838. [Google Scholar] [CrossRef]
- Maulik, P.C.; Mercer, D.A. A DLL-based programmable clock multiplier in 0.18-μm CMOS with −70 dBc reference spur. IEEE J. Solid-State Circuits 2007, 42, 1642–1648. [Google Scholar] [CrossRef]
- Choi, J.; Kim, S.T.; Kim, W.; Kim, K.-W.; Lim, K.; Laskar, J. A low power and wide range programmable clock generator with a high multiplication factor. IEEE Trans. Very Large Scale Integr. (VLSI) Syst. 2011, 19, 701–705. [Google Scholar] [CrossRef]
- Koo, J.; Ok, S.; Kim, C. A low-power programmable DLL-based clock generator with wide-range antiharmonic lock. IEEE Trans. Circuits Syst. II Exp. Briefs 2009, 56, 21–25. [Google Scholar] [CrossRef]
- Liao, F.-R.; Lu, S.-S. A programmable edge-combining DLL with a current-splitting charge pump for spur suppression. IEEE Trans. Circuits Syst. II Exp. Briefs 2010, 57, 946–950. [Google Scholar] [CrossRef]
- Gao, X.; Klumperink, E.A.M.; Bohsali, M.; Nauta, B. A low noise sub-sampling PLL in which divider noise is eliminated and PD/CP noise is not multiplied by N2. IEEE J. Solid-State Circuits 2009, 44, 3253–3263. [Google Scholar] [CrossRef]
- Gao, X. Sub-sampling PLL for millimeter wave applications: An overview. In Proceedings of the 2019 IEEE MTT-S International Microwave Conference on Hardware and Systems for 5G and Beyond (IMC-5G), Atlanta, GA, USA, 15–16 August 2019. [Google Scholar]
- Peng, K.-C.; Lee, C.-H.; Wong, D.-G.; Wang, F.-K.; Horng, T.-S. An injection- and frequency-locked loop for reducing phase noise of wideband oscillators. IEEE Trans. Microw. Theory Tech. 2018, 66, 1374–1383. [Google Scholar] [CrossRef]
- Jin, X.; Park, W.; Kang, D.-S.; Ko, Y.; Kwon, K.-W.; Chun, J.-H. A 4-GHz sub-harmonically injection-locked phase-locked loop with self-calibrated injection timing and pulsewidth. IEEE J. Solid-State Circuits 2020, 55, 2724–2733. [Google Scholar] [CrossRef]
- Choo, M.-S.; Song, Y.; Cho, S.-Y.; Ko, H.-G.; Park, K.; Jeong, D.-K. A 15-GHz, 17.8-mW, 213-fs injection-locked PLL with maximized injection strength using adjustment of phase domain response. IEEE Trans. Circuits Syst. II Exp. Briefs 2019, 66, 1932–1936. [Google Scholar] [CrossRef]
- Wang, H.; Momeni, O. Low-power and low-noise millimeter-wave SSPLL with subsampling lock detector for automatic dividerless frequency acquisition. IEEE Trans. Microw. Theory Tech. 2021, 69, 469–481. [Google Scholar] [CrossRef]
- Kim, J.; Jo, Y.; Lim, Y.; Seong, T.; Park, H.; Yoo, S.; Lee, Y.; Choi, S.; Choi, J. A 104 fsrms-Jitter and −61dBc-Fractional Spur 15 GHz Fractional-N Subsampling PLL Using a Voltage-Domain Quantization-Error Cancelation Technique. In Proceedings of the 2021 IEEE International Solid-State Circuits Conference (ISSCC), San Francisco, CA, USA, 13–22 February 2021. [Google Scholar]
- Razavi, B. The Delay-Locked Loop [A Circuit for All Seasons]. IEEE Solid-State Circuits Mag. 2018, 10, 9–15. [Google Scholar] [CrossRef]
- Lil, X.; Hong, J.; Shi, C.; Huang, L.; Liu, B.; Deng, H.; Chen, J.; Zhang, R. A 3.84 GHz 32 fs RMS Jitter Over-Sampling PLL with High-Gain Cross-Switching Phase Detector. In Proceedings of the 2023 IEEE International Symposium on Circuits and Systems (ISCAS), Monterey, CA, USA, 21–25 May 2023. [Google Scholar]
- Lim, Y.; Kim, J.; Jo, Y.; Bang, J.; Choi, J. A wide-lock-in-range and low-jitter 12–14.5 GHz SSPLL using a low-power frequency-disturbance-detecting and correcting loop. IEEE J. Solid-State Circuits 2022, 57, 480–491. [Google Scholar] [CrossRef]
- Buccoleri, F.; Dartizio, S.M.; Tesolin, F.; Avallone, L.; Santiccioli, A.; Iesurum, A.; Steffan, G.; Cherniak, D.; Bertulessi, L.; Bevilacqua, A.; et al. A 72-fs-Total-Integrated-Jitter Two-Core Fractional-N Digital PLL with Digital Period Averaging Calibration on Frequency Quadrupler and True-in-Phase Combiner. IEEE J. Solid-State Circuits 2023, 58, 634–646. [Google Scholar] [CrossRef]
- Mercandelli, M.; Santiccioli, A.; Parisi, A.; Bertulessi, L.; Cherniak, D.; Lacaita, A.L.; Samori, C.; Levantino, S. A 12.5-GHz Fractional-N Type-I Sampling PLL Achieving 58-fs Integrated Jitter. IEEE J. Solid-State Circuits 2022, 57, 505–517. [Google Scholar] [CrossRef]
- Jo, Y.; Kim, J.; Shin, Y.; Park, H.; Hwang, C.; Lim, Y.; Choi, J. A Wideband LO Generator for 5G FR1 Bands Using a Single LC-VCO-Based Subsampling PLL and a Ring-VCO-Based Fractional-Resolution Frequency Multiplier. IEEE J. Solid-State Circuits 2023, 58, 3338–3350. [Google Scholar] [CrossRef]
- Geng, X.; Ye, Z.; Xiao, Y.; Tian, Y.; Xie, Q.; Wang, Z. A 25.8-GHz Integer-N CPPLL Achieving 60-fs rms Jitter and Robust Lock Acquisition Based on a Time–Amplifying Phase–Frequency Detector. IEEE Trans. Microw. Theory Tech. 2023, 71, 4869–4881. [Google Scholar] [CrossRef]
- Zhang, Z.; Yang, J.; Liu, L.; Qi, N.; Feng, P.; Liu, J.; Wu, N. 0.1–5 GHz wideband ΔΣ fractional-N frequency synthesizer for software-defined radio application. IET Circuits Devices Syst. 2019, 13, 1071–1077. [Google Scholar] [CrossRef]
- Homayoun, A.; Razavi, B. Analysis of phase noise in phase/frequency detectors. IEEE Trans. Circuits Syst. I Reg. Paper 2013, 60, 529–539. [Google Scholar] [CrossRef]
- Hong, N.-P.; Nam, K.-H.; Park, J.-S. A Fractional-N Synthesizer Based on Programmable Frequency Multiplier for 5G+ Communication System. IEEE Trans. Microw. Theory Tech. 2023, 71, 1518–1535. [Google Scholar] [CrossRef]
- Nam, K.-H.; Hong, N.-P.; Park, J.-S. A 16-times frequency multiplier for 5G synthesizer. IEEE Trans. Microw. Theory Tech. 2021, 69, 4961–4976. [Google Scholar] [CrossRef]
- Lan, H.; Chen, T.; Chui, C.; Nikaeen, P.; Kim, J.; Dutton, R. Synthesized Compact Models and Experimental Verifications for Substrate Noise Coupling in Mixed-Signal ICs. IEEE J. Solid-State Circuits 2006, 41, 1817–1829. [Google Scholar] [CrossRef]

































| Cbank D10–D1 | Cal12-Cal1 Magnitude in Decimal (Caldec) | ||||
|---|---|---|---|---|---|
| Chip#1 | Chip#2 | Chip#3 | Chip#4 | Chip#5 | |
| 1101010101 | 2561 | 2562 | 2561 | 2560 | 2560 |
| 1100101011 | 2499 | 2498 | 2499 | 2499 | 2499 |
| 1100000101 | 2400 | 2400 | 2439 | 2438 | 2439 |
| 1011100001 | 2382 | 2383 | 2382 | 2382 | 2383 |
| 1011000000 | 2328 | 2328 | 2328 | 2329 | 2327 |
| Chip#1 | Chip#2 | Chip#3 | Chip#4 | Chip#5 | |
|---|---|---|---|---|---|
| RMS Jitter [fs] @ 1.89 [GHz] | 82.65 1 | 83.12 1 | 82.14 1 | 81.84 1 | 83.74 1 |
| 107.6 2 | 107.9 2 | 107.43 2 | 107.12 2 | 107.98 2 | |
| RMS Jitter [fs] @ 9.96 [GHz] | 82.72 1 | 83.54 1 | 82.34 1 | 82.21 1 | 84.13 1 |
| 107.57 2 | 107.83 2 | 107.48 2 | 107.24 2 | 108.05 2 |
| Parameter | [19] | [20] | [21] | [22] | [23] | [24] | This Work |
|---|---|---|---|---|---|---|---|
| Tech. | 65 mm CMOS | 28 mm CMOS | 28 mm CMOS | 65 mm CMOS | 65 mm CMOS | 65 mm CMOS | 65 mm CMOS |
| fref [MHz] | 50.0 | 125.0 | 500.0 | 150.0 | 200.0 | 10 | 156.3 |
| fout [GHz] | 12–14.5 | 18.9–22.3 | 11.9–14.1 | 3–3.7 | 24–28.2 | 0.1–5 | 1.88–9.96 |
| Frequency Bandwidth [%] | 18.9 | 16.5 | 16.9 | 20.9 | 16.1 | 192.2 | 136.5 |
| rms jitter [fs] | 83.0 (1 k–100 M) | 71.8 (1 k–100 M) | 58.2 (1 k–100 M) | 135.0 (1 k–100 M) | 65.4 (10 k–30 M) | 960 1 (10 k–30 M) | 107.6 (1 k–100 M) |
| Active die area [mm2] | 0.2 | 0.5 | 0.2 | 0.4 | 0.5 | 1.44 | 0.6 |
| Power consumption [mW] | 7.7 | 36.0 | 18.0 | 9.5 | 14.5 | 21 | 15.0 |
| FoM1 2 | −252.8 | −247.3 | −252.1 | −247.6 | −252.1 | −227.1 | −247.6 |
| FoM2 3 | −265.5 | −259.5 | −264.4 | −260.8 | −264.1 | −250.0 | −269.00 |
Disclaimer/Publisher’s Note: The statements, opinions and data contained in all publications are solely those of the individual author(s) and contributor(s) and not of MDPI and/or the editor(s). MDPI and/or the editor(s) disclaim responsibility for any injury to people or property resulting from any ideas, methods, instructions or products referred to in the content. |
© 2024 by the authors. Licensee MDPI, Basel, Switzerland. This article is an open access article distributed under the terms and conditions of the Creative Commons Attribution (CC BY) license (https://creativecommons.org/licenses/by/4.0/).
Share and Cite
Nam, K.-H.; Hong, N.-P.; Park, J.-S. A Cascade Fractional-N Synthesizer Topology of DLL and Frequency Multiplier for 5G+ Communication Systems. Electronics 2024, 13, 4685. https://doi.org/10.3390/electronics13234685
Nam K-H, Hong N-P, Park J-S. A Cascade Fractional-N Synthesizer Topology of DLL and Frequency Multiplier for 5G+ Communication Systems. Electronics. 2024; 13(23):4685. https://doi.org/10.3390/electronics13234685
Chicago/Turabian StyleNam, Kyu-Hyun, Nam-Pyo Hong, and Jun-Seok Park. 2024. "A Cascade Fractional-N Synthesizer Topology of DLL and Frequency Multiplier for 5G+ Communication Systems" Electronics 13, no. 23: 4685. https://doi.org/10.3390/electronics13234685
APA StyleNam, K.-H., Hong, N.-P., & Park, J.-S. (2024). A Cascade Fractional-N Synthesizer Topology of DLL and Frequency Multiplier for 5G+ Communication Systems. Electronics, 13(23), 4685. https://doi.org/10.3390/electronics13234685

