Next Article in Journal
Correction: Xu et al. Android Malware Detection Based on Behavioral-Level Features with Graph Convolutional Networks. Electronics 2023, 12, 4817
Next Article in Special Issue
Research on a Broadband Digital Receiver Based on Envelope Differentiation
Previous Article in Journal
RAP-Optimizer: Resource-Aware Predictive Model for Cost Optimization of Cloud AIaaS Applications
Previous Article in Special Issue
Research Progress of Wireless Positioning Methods Based on RSSI
 
 
Font Type:
Arial Georgia Verdana
Font Size:
Aa Aa Aa
Line Spacing:
Column Width:
Background:
Article

Design of High-Speed Thin-Film Lithium Niobate Modulator Utilizing Flip-Chip Bonding with Bump Contacts

1
Advanced Photonics Center, Southeast University, Nanjing 210096, China
2
Guangxi Key Laboratory of Precision Navigation Technology, Application Guilin University of Electronic Technology, Guilin 541004, China
3
The 34th Research Institute of China Electronics Technology Group Corporation, Guilin 541004, China
*
Author to whom correspondence should be addressed.
Electronics 2024, 13(22), 4463; https://doi.org/10.3390/electronics13224463
Submission received: 10 October 2024 / Revised: 1 November 2024 / Accepted: 13 November 2024 / Published: 14 November 2024
(This article belongs to the Special Issue Cognition and Utilization of Electromagnetic Space Signals)

Abstract

Currently, the high-speed performance of thin-film lithium niobate electro-optic modulator chips is evolving rapidly. Nevertheless, due to the inherent technical limitations imposed by the packaging design and material architecture, the intrinsic electro-optic bandwidth of thin-film lithium niobate electro-optic modulator chips often exceeds the bandwidth of their packaging interfaces, which can constrain the realization of modulation performance. Bump bonding emerges as a high-bandwidth EO interconnection technology, outperforming wire bonding for faster optical communication. In this paper, we present a high-speed thin-film lithium niobate modulator chip tailored for concave–convex bonding, alongside an analysis and design of the chip’s flip-chip bonding packaging. By exploiting the superior electrical characteristics of concave–convex bonding, we effectively mitigate the radio frequency losses of modulator chip and packaging. The simulated half-wave voltage (Vπ) of 3.5 V and E-O modulation bandwidth greater than 150 GHz is obtained for a 0.5 cm long modulator after flip-chip bonding packaging.

1. Introduction

Lithium niobates (LN), a material renowned for its ultra-broad transparency spectrum spanning from 350 to 5000 nm [1], coupled with its substantial second-order electro-optic coefficient of 30 pm/V and remarkable temperature stability, stands as a cornerstone for advanced photonic applications. The integration of LN’s exceptional material properties with the thin-film architecture of TFLN (thin-film lithium niobate) harnesses the benefits of robust optical confinement, enabling the realization of chip-scale LN photonic integrated circuits (PICs) with unprecedented capabilities. Recent demonstrations on TFLN platforms have showcased low-voltage, ultrahigh-bandwidth Mach–Zehnder modulators, underscoring the platform’s potential to revolutionize the field of high-performance optical modulation technologies [2,3,4,5,6,7,8,9].
Packaging design has always been a challenging issue in the field of high-speed thin-film lithium niobate electro-optic modulators. The packaging process generally consists of three parts: the first part involves the stabilization and low-loss connection of the optical link, the second part pertains to the high-speed and efficient transmission of radio-frequency electrical signals, and the third part focuses on the suppression of resonance within the package cavity. This paper focuses on the radio frequency (RF) electrical aspect of packaging design, which necessitates addressing two key issues: the RF high-performance transmission substrate and high-frequency electrical interconnect welding. Previous research has seen numerous efforts dedicated to high-frequency electrical interconnect welding techniques. Single gold wire bonding, being the most traditional bonding method, boasts a simple process but suffers from poor RF bandwidth. Subsequently, advancements have led to the development of dual gold wire bonding structures and gold ribbon bonding structures in recent years, these bonding methods have increased the operating bandwidth of the packaged devices to 110 GHz [1,10]. However, they still fall short of the electro-optic bandwidth of the device chips, thereby limiting the overall device performance.
The microstrip technology serves as a prime example of an RF transmission line, forming the cornerstone infrastructure for the development of traveling-wave electrodes and packaging design in thin-film lithium niobate electro-optic (EO) modulators [11,12]. This technology has a pivotal platform, facilitating myriad advanced packaging techniques, including wire bonding and bump bonding. Its essential role lies in efficiently routing the RF signal from the connector to the electrodes of EO modulators, thereby enabling the vital conversion process from electrical to optical signals [13,14,15]. Common methods for interconnecting these two devices are wire bonding or bump bonding. Notably, bump bonding frequently demonstrates superior packaging performance over wire bonding, positioning it as a highly advantageous and feasible choice within contemporary packaging architectures [16,17,18,19,20,21]. Despite the advantages of bump bonding technology over wire bonding in terms of packaging performance, its relatively complex process and higher cost for large-scale device fabrication currently limit its application, leading to wire bonding being the preferred method for modulator packaging. However, with the advancement of information technology and the increasing demand for high-speed devices in communication systems, bump bonding technology is gaining more attention. In this paper, bump bonding technology is applied to thin-film lithium niobate electro-optic modulators, and a flip-chip bump-bonded modulator bonding structure is designed. The performance of this structure is analyzed using a microstrip technology-based approach.
In the packaging procedure of a modulator, the fabrication of a 90° bent transition for the electrode structure at both the input and output extremities of the modulator electrode is typically deemed essential [22,23]. The purpose of this design is to avoid having the optical fiber and RF connection ports positioned on the same end of the device. The 90° curved electrode structure brings considerable bandwidth loss to the device. Reducing electrode RF loss is a crucial aspect of modulator chip design.
The design presented in this paper optimizes the operating bandwidth of the modulator in two aspects:
  • For the modulator chip, we have designed an embedded port suitable for bump and depression bonding, which avoids the 90° electrode bend and exhibits lower RF loss compared to conventional modulator ports.
  • In terms of chip bonding, we utilize bump and depression bonding in lieu of wire bonding to reduce parasitic parameters arising during RF transmission, thereby enhancing the bandwidth.
This paper first introduces the designed structure in detail. Subsequently, the electrical bonding between the thin-film lithium niobate electro-optic modulator chip and the RF chip is simulated and analyzed using the finite element method within the HFSS. The optical characteristics of the modulator are calculated using the FDTD method, while the electro-optic overlap factor of the modulator is computed using COMSOL_6.1. Then, the overall design is concluded. Finally, the thin-film lithium niobate modulator after the concave–convex bonding achieved in this paper exhibits a half-wave voltage of 3.5 V and an electro-optic bandwidth exceeding 150 GHz. This design provides a reference for the development of high-speed electro-optic modulators.

2. Structure of High-Speed Thin-Film Lithium Niobate Modulator Utilizing Flip-Chip Bonding with Bump Contacts

In comparison to wire bonding, bump bonding significantly mitigates the parasitic capacitance introduced by the wire, achieving this through a substantial reduction in interconnection length. Consequently, it diminishes the delay associated with RC resistance and capacitance, thereby effectively enhancing the overall electrical performance. Bump bonding typically employs an inverted chip approach to facilitate the close proximity of electrode ports between chips, thereby enabling convenient interconnection through the bumps. Based on bump bonding, we designed a High-Speed Thin-Film Lithium Niobate Modulator Utilizing Flip-Chip Bonding with Bump Contacts. The overall structure is shown in Figure 1.
The structure consists of a modulator chip, an RF transition chip, and spherical bumps for bonding between them. As shown in Figure 1, the modulator chip designed in this paper is flip-chip mounted above the RF transition chip, with the RF signal input of the modulator chip utilizing an embedded port. The RF conversion chip is located at the bottom of the modulator chip, and they are perpendicular to each other in the x–y plane. Figure 2 presents the structural diagram of the modulation section of the lithium niobate electro-optic modulator utilized in this paper. Figure 3 displays the structural design of the flip-chip bonding with bump contacts.
As shown in Figure 2 and Figure 3, this paper employs a thin-film lithium niobate electro-optic modulator chip, with a lithium niobate thickness of 0.6 μm on the wafer. After etching, a lithium niobate ridge waveguide structure is formed, featuring a ridge width (Wrib) of 1.5 μm, a ridge height (Hrib) of 0.3 μm, a lithium niobate film thickness (Hslab) of 0.3 μm, and an etching inclination angle(θ) of 74 degrees. The thickness of the metal electrodes (H_1) is 1.1 μm, the width of the signal electrode (W_5) is 40 μm, and the width of the ground electrodes (W_4) located on both sides of the signal electrode is 200 μm. The distance (Gap) between the ground electrodes and the signal electrode is 5 μm. To adjust the microwave phase velocity of the traveling-wave electrode, the metal electrodes in this paper adopt a T-shaped slow-wave electrode structure, with specific structural parameters detailed in Table 1 [24,25,26].
The RF conversion chip utilizes a coplanar waveguide (GSG) electrode structure with an alumina substrate. The signal electrode (W_1) has a width of 150 μm, while the ground electrodes (W_3) on both sides of the signal electrode measure 175 μm in width. The metal thickness (H_5) is 10 μm, and the distance (W_2) between the ground electrodes and the signal electrode is 50 μm. The thickness of the alumina substrate (H_6) is 120 μm. The RF connections between the chips are achieved through the use of bonding pads and solder balls. The bonding pads, which are regularly distributed on the electrode surface of the modulator chip, have a thickness (H_7) of 10 μm and a radius (R_1) of 25 μm. The solder balls, with a radius (R_2) of 25 μm, connect the bonding pads to the RF conversion chip, enabling bump bonding.

3. Design of High-Speed Thin-Film Lithium Niobate Modulators Chip

The design of RF ports is a significant component in the electrode design of thin-film lithium niobate electro-optic modulators. Traditional modulators commonly employ linear tapered ports suitable for wire bonding or tapered ports featuring 90° sweep bends, which unfortunately introduce considerable RF loss. In this paper, we have designed an embedded RF signal input port that exhibits stable electrode relationships and introduces minimal parasitic capacitance and inductance during the transmission of high-frequency signals.
Figure 4 presents the electrode designs for three modulator chips with different port types, along with their corresponding electrical S-parameter result plots. Structurally, the input and output ports of the electrodes for the three modulators exhibit a symmetrical configuration, and their modulation regions all have a length of 1000 μm, adopting the structure illustrated in Figure 2. The electrical characteristics of the three traveling-wave electrodes depicted in Figure 4 were calculated using the three-dimensional electromagnetic simulation software HFSS_2022.R1. The mode-driven solution method was employed, and the wave port method was used to excite the electrode ports. Appropriate boundary conditions were set to simulate the placement of the device inside a metal casing. Suitable mesh accuracy was configured to satisfy the sweep frequency analysis requirements for the device from 1 GHz to 150 GHz.
The three simulated port types are as follows: embedded ports, tapered straight ports, and curved ports. In the embedded port, the signal electrode is embedded within the grounding electrode, enabling radio frequency RF signals to be vertically input from one end of the signal electrode through bump bonding. The tapered straight port is designed to achieve impedance matching and reserve bonding positions for gold wire bonding, with the signal electrode and grounding electrode gradually increasing in width towards the RF access direction. The RF signal transmission direction and the gold wire bonding direction are aligned with the port orientation, though this configuration may lead to leakage of high-frequency signal modes. Building upon the tapered straight port, the curved port introduces a swept curved electrode. This configuration aligns the fiber optic direction perpendicularly to the RF signal access direction, thereby simplifying the complexity of the packaging. However, it also introduces significant RF loss due to the curved electrode structure.
Table 2 presents the operating bandwidth and RF loss values introduced by three types of ports at a frequency of 150 GHz. Specifically, the embedded port exhibits an RF loss of 1.41 dB, the tapered straight port exhibits 11.31 dB, and the bent port exhibits 10.16 dB. Among these, only the embedded port operates normally at a frequency of 150 GHz.
By comparing the RF S-parameters and RF loss values among these modulators, it becomes evident that the embedded port exhibits a −3 dB bandwidth exceeding 150 GHz, while the tapered straight port achieves 120 GHz, and the curved port reaches 90 GHz. The embedded port design significantly outperforms the other two types by avoiding high-frequency signal leakage associated with tapered electrodes and RF loss due to curved electrodes, resulting in notably superior S-parameters. The embedded-type ports have demonstrated an improvement in operating bandwidth of 25% and 67%, respectively, when compared to the currently prevalent tapered straight ports and curved ports. By eliminating electrode bends and tapers, the embedded port design facilitates efficient RF signal transmission for the modulator, thereby laying a solid foundation for the development of wide-bandwidth thin-film lithium niobate electro-optic modulators.
The half-wave voltage and electro-optic response bandwidth are important performance indicators of thin-film lithium niobate electro-optic modulators. Below, we will specifically calculate and analyze these performance metrics for the modulator chip shown in Figure 2 of this paper.
We simulate the cross-sectional view of the modulation region of the modulator chip presented in Figure 2. Mode analysis of the waveguide structure was performed using the FDTD method, resulting in a calculated effective refractive index of 1.99 for the fundamental mode of the designed waveguide, and a group refractive index of 2.3 for the light. The half-wave voltage of a modulator is related to both the length of the modulation region and the overlap between the electric field applied by the metal within the modulation region to the optical waveguide and the fundamental mode optical spot. Therefore, by analyzing only the cross-section of the modulation region, the half-wave voltage of the modulator chip can be calculated. In the simulations of the optical-electric overlap factor presented in this section, we utilized the simulation software COMSOL for computations by establishing the required two-dimensional cross-sectional model, assigning material properties, generating an appropriate mesh, and performing calculations and solutions for mode analysis in the electromagnetic wave frequency domain (ewfd) as well as steady-state electrostatics(es).
V π L = λ n e 3 r 33 Γ
( Γ = S L N E z ( x , z ) V | e z ( x , z ) | 2 d x d z + + | e z ( x , z ) | 2 d x d z )
In the equation, Ez(x, z) represents the electric field along the z-axis direction, ez(x, z) is the electric field intensity of the TE mode, Γ denotes the optical confinement factor of the LiNbO3 region in the TE mode within the entire structure, ne is the refractive index of the LiNbO3 material in the z-axis direction, and r33 is the electro-optic coefficient of the LiNbO3 material in the z-axis direction.
This simulation reveals the TE fundamental mode optical spot pattern within the ridge-shaped optical waveguide of the modulation region, along with the electric field distribution applied by the electrodes in the same region, as shown in Figure 5. Based on the aforementioned simulation data, the numerator in Equation (2) is obtained by integrating the dataset derived from the product of the square of the electrostatic field and the modal electric field within the specified region. Meanwhile, integrating the square of the mode electric field across the entire domain yields the denominator in Equation (2). This allows us to calculate the optical confinement factor of the LiNbO3 region, subsequently enabling the computation of Vπ·L. For a push-pull MZ modulator, the actual Vπ·L reported in this paper needs to be further divided by 2. The calculated half-wave voltage product is 1.748 V/cm. Given that the modulation region length in this paper is 0.5 cm, the half-wave voltage is computed to be 3.5 V.
Next, we will calculate the electro-optic response bandwidth of the modulator chip.
Based on the analysis of the transmission line model, the formula for calculating the electro-optic bandwidth of the modulator is presented as follows.
M ( f ) = 20 log 10 { [ 1 ( Z o Z in   Z o + Z in   ) 2 ] 1 2 e α L 2 [ sinh 2 ( α L 2 ) + sin 2 ( b L 2 ) ( α L 2 ) 2 + ( b L 2 ) 2 ] 1 2 }
α = d b ( S 21 ) / 10 * lg e 2 / 1 c m
b = 2 π f c ( n p n g )
In the equation, Z0 represents the characteristic impedance of the transmission line, Zin is the input impedance of the external system, α is the loss of the CPW transmission line, b is the discrete parameter of optical waves and microwaves, ng is the group refractive index of light, and np is the phase refractive index of microwaves.
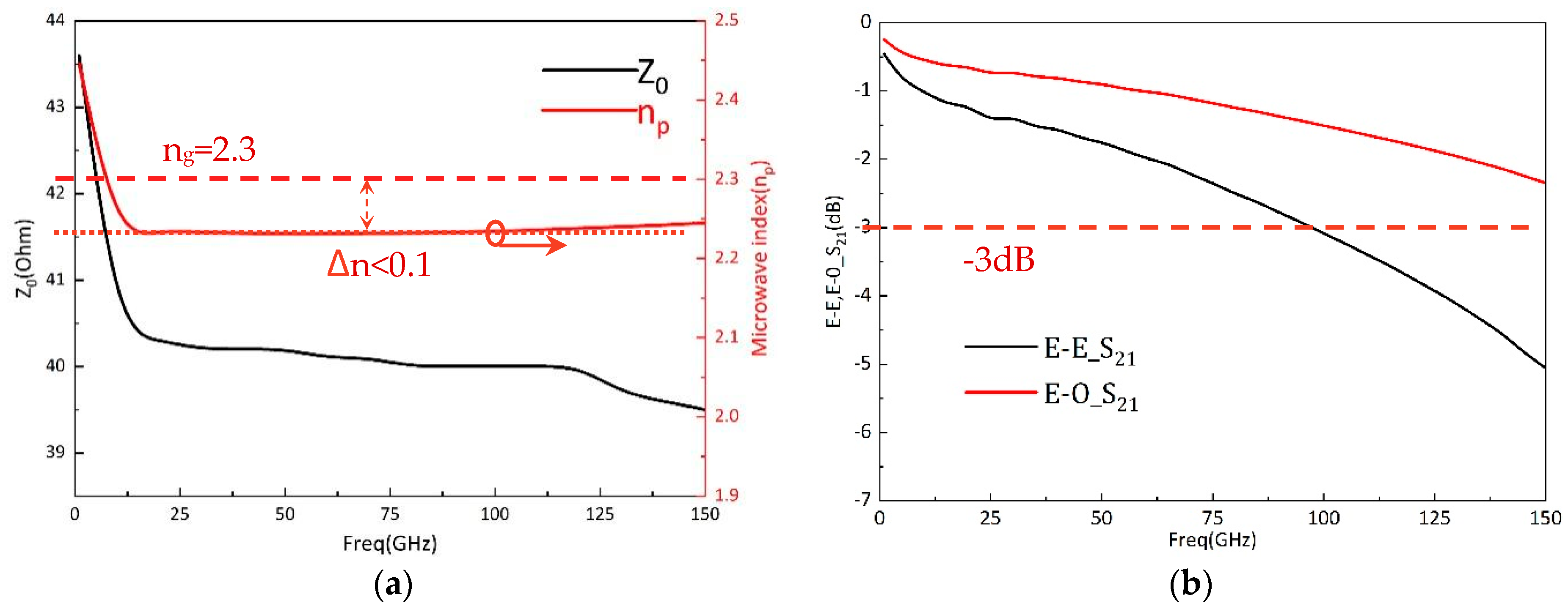
The working bandwidth of a modulator chip is determined by three key factors: (1) the degree of matching between the microwave phase velocity and the group velocity of light, (2) the RF loss within the modulator chip, and (3) the impedance matching. In this paper, we have simulated the modulator chip depicted in Figure 3 to obtain its microwave refractive index, characteristic impedance, and RF S21 (a measure of RF loss). The modulation region of this chip has a length of 5000 μm, the electrodes in the modulation region employ a T-shaped traveling-wave electrode design, the input port adopts an embedded configuration, while the output port is a GSG parallel port, the simulation software and methods utilized in this section are identical to those described in the port simulation section of Chapter 3. The microwave refractive index of this modulator chip differs from its optical group refractive index by less than 0.1, indicating a good degree of matching; the characteristic impedance is approximately 40 ohms and the RF S21 drops to −5 dB at 150 GHz. By employing Equations (3)–(5), we have calculated the electro-optic response −3 dB bandwidth of the modulator chip, which significantly exceeds 150 GHz, as illustrated in Figure 6.
Through the simulation and analysis of the aforementioned context, we have obtained a thin-film lithium niobate electro-optic modulator chip with a half-wave voltage of 3.5 V and an electro-optic response bandwidth exceeding 150 GHz, showcasing the remarkable electro-optic bandwidth performance of this chip.

4. Simulation and Analysis of Thin-Film Lithium Niobate Modulator Packaging Based on Flip-Chip Bump Bonding

The majority of modulators currently available in the market employ wire bonding. This bonding method introduces substantial parasitic capacitances and inductances during high-frequency signal transmission, leading to signal distortion. To achieve low-loss transmission of high-frequency signals in modulators, this paper adopts flip-chip bump bonding (Figure 7).
To compare the two bonding methods of wire bonding and bump bonding, the above simulations utilized identical modulator chips and RF conversion chips, subjecting them to different bonding approaches. To avoid the impact of RF losses at the modulation region and modulator chip ports on the simulation of bonding performance, the modulator chip used for testing in the above bonding simulation was replaced with a CPW with a length of 1000 um, a thickness of 1.1 μm, and a characteristic impedance of 50 ohms. Bump bonding utilizes vertical connections between the bonding pads and solder balls to interface the RF conversion chip with the embedded ports, enabling vertical input of RF signals into the modulator chip. In contrast, wire bonding employs gold wires to connect the RF conversion chip with the tapered straight ports, facilitating parallel signal input to the modulator chip along its direction. The simulation software and methods utilized in this section are identical to those described in the port simulation section of Section 3. Due to the structural characteristics of gold wires, wire bonding introduces significant parasitic parameters during high-frequency signal transmission. Moreover, wire bonding cannot be employed with embedded ports, necessitating the confrontation of adverse effects stemming from bent and tapered electrodes, thereby rendering bump bonding superior to wire bonding in the realm of RF transmission.
Table 3 presents the operating bandwidth and RF loss introduced by two bonding methods at a frequency of 150 GHz. Specifically, the operating bandwidth of bump bonding exceeds 150 GHz with an RF loss of 1.79 dB, while the operating bandwidth of wire bonding is 130 GHz with an RF loss of 18.13 dB. This implies that the bump bonding can operate normally at a frequency of 150 GHz, whereas the wire bonding cannot. Compared to the currently mainstream wire bonding, bump bonding offers an increase in operating bandwidth by 15.4%.
By individually optimizing and simulating the two models, it was found that the −3 dB bandwidth for the wire bonding model was 130 GHz, whereas the −3 dB bandwidth for the bump bonding model exceeded 150 GHz. By comparing the simulation results, we conclude that it is reasonable to employ bump bonding for flip-chip packaging to enhance transmission performance. Bump bonding exhibits significantly superior performance compared to wire bonding, albeit with more complex processing and higher costs. When the operating frequency requirement for the bonding structure in electronic devices does not exceed 130 GHz, wire bonding is sufficient and offers a more cost-effective solution. Conversely, when the operating frequency requirement for the bonding structure exceeds 130 GHz, bump bonding is considered a superior method.
Previously, we have conducted simulation and modeling for the modulator chip and the bonding section separately. Next, we will proceed with the simulation of the complete structure of the inverted chip bump-bonded modulator (which encompasses the modulator chip, the radio frequency transmission chip, and the bump bonding section) and compare it with the complete structure of the wire-bonded modulator. The thin-film lithium niobate modulator has a small electrode thickness and a complex electrode structure, which may affect the performance of the modulator after packaging, thereby posing a significant challenge to its packaging process.
Simulation calculations were conducted on the complete structures depicted in Figure 3 and Figure 8. This simulation utilized the mode-driven solution type in the HFSS simulation software. The RF transmission substrate of the complete structure was excited at the end away from the chip using a wave port. The output port was set at the end of the modulator chip away from the bonding section. Boundary conditions were configured to simulate the placement of the device at the bottom of a metal casing. Appropriate mesh refinement was implemented to satisfy the frequency sweep analysis ranging from 1 GHz to 150 GHz. The two simulated structures utilized identical RF transmission substrates and chip modulation area configurations. However, the structure depicted in Figure 3 employed a convex–concave bonding method and an embedded port, while the structure shown in Figure 8 utilized a wire bonding method and a tapered straight port. A comparison of the electrical characteristics of these two structures was conducted to validate the advantages of the structure designed in this paper.
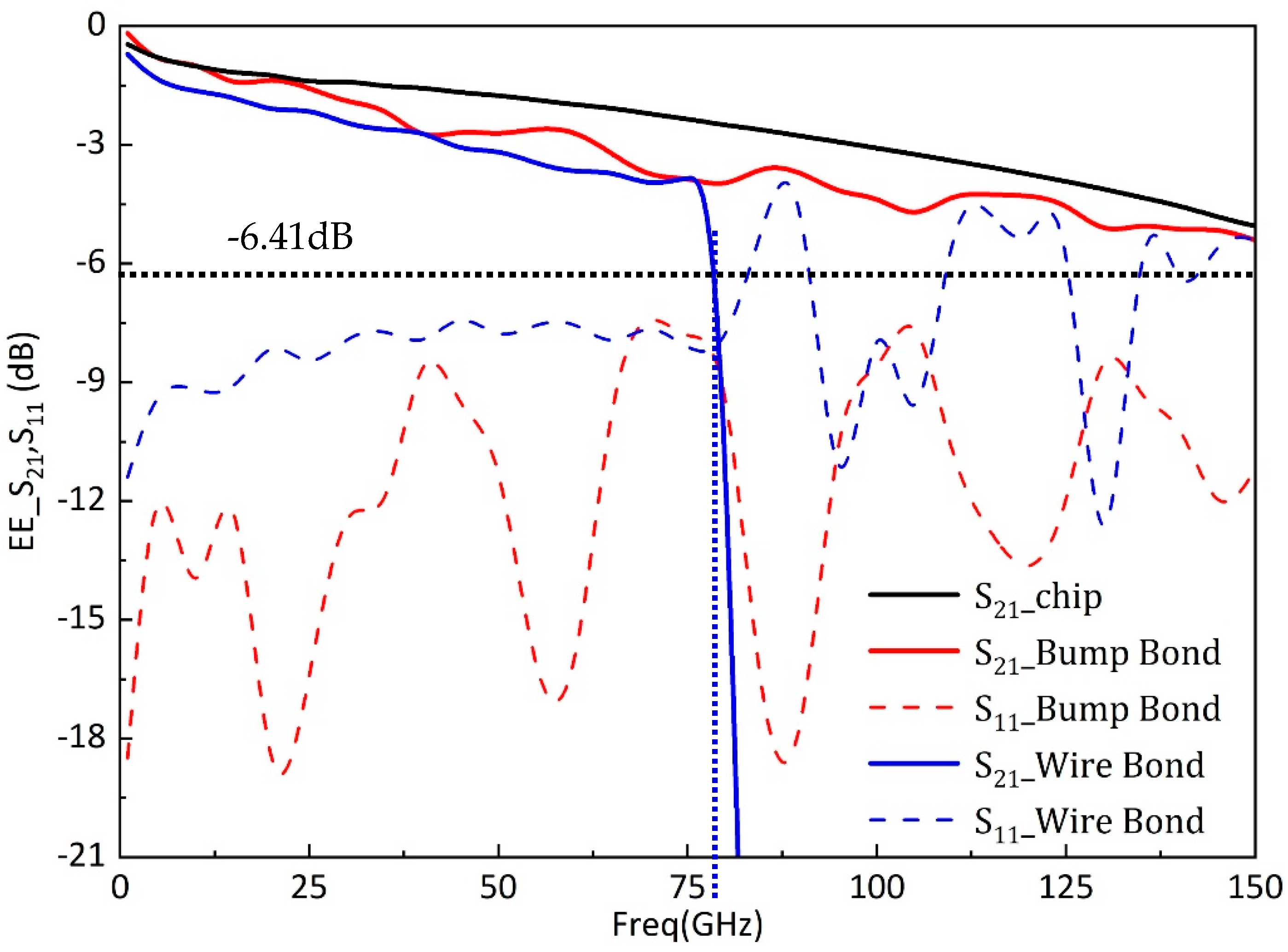
The simulation results are illustrated in Figure 9. The complete modulator bonding and packaging structure comprises a modulator chip, an RF conversion chip, and a chip bonding section. Initially, the overall structure of the flip-chip bump bonding modulator described in this paper was simulated, yielding an electrical S21 with a −6.41 dB operating bandwidth exceeding 150 Ghz. Subsequently, the overall structure of the wire-bonding modulator was simulated, revealing a sharp decline in its electrical S21 at 80 Ghz due to the adverse effects of the RF port and modulator chip, resulting in an operating bandwidth of only 85 Ghz. When comparing these two structures with the modulator chip, it is evident that the electrical S21 of the flip-chip bump bonding structure is closer to that of the modulator chip, demonstrating a reduced insertion loss.
In conclusion, the design presented in this paper can effectively reduce the radio frequency (RF) loss of the thin-film lithium niobate modulator chip and its bonding package, thereby enhancing the electro-optic response bandwidth of the modulator. Compared with the currently prevalent wire-bonded modulators, this design circumvents the RF loss incurred by electrode bending and tapering of the modulator chip. By employing metal bonding balls with superior electrical properties instead of metal wires, it minimizes RF loss, parasitic capacitance, and inductance during RF signal transmission, ultimately improving the RF performance of the modulator.

5. Conclusions

This paper proposes a thin-film lithium niobate electro-optic modulator design based on the flip-chip bump bonding technique, which optimizes both the modulator chip and its packaging.
For the modulator chip, we have devised an embedded port suitable for bump and depression bonding, which exhibits lower radio frequency (RF) loss compared to conventional modulator ports. The embedded-type ports have demonstrated an improvement in operating bandwidth of 25% and 67%, respectively, when compared to the currently prevalent tapered straight ports and curved ports. In terms of chip bonding, we utilize bump and depression bonding in lieu of wire bonding to reduce parasitic parameters arising during RF transmission, thereby enhancing the bandwidth. Compared to the currently mainstream wire bonding, bump bonding offers an increase in operating bandwidth of 15.4%.
In the field of optoelectronic devices, bump bonding technology is recognized as a future development trend, offering superior performance to devices through its efficiency and stability. However, from the current perspective, bump bonding technology is relatively complex in terms of process and still lacks presence in the large-scale production of optoelectronic devices. To apply bump bonding technology to optoelectronic devices, there is a need for the development of compatible high-precision processing equipment and measurement instruments. The establishment and industrialization of precision bonding platforms require significant costs, which has delayed the development of optoelectronic devices. Nevertheless, with the advancement of information technology, communication systems are increasingly demanding higher-speed devices. The development and industrialization of high-speed optoelectronic devices will bring immense profits, which will drive the process of applying bump bonding technology to optoelectronic devices.
In summary, the radio frequency transmission performance of the thin-film lithium niobate electro-optic modulator chip utilizing embedded ports and bump bonding has been enhanced. The simulated post-packaging modulator in this paper achieves a half-wave voltage of 3.5 V and an electro-optic response bandwidth of 150 GHz, demonstrating competitive performance. This design provides a reference for the development of high-speed electro-optic modulators.

Author Contributions

Conceptualization, Y.Y. and J.Y.; methodology, Y.Y.; software, J.Y.; validation, Y.Y., J.Y. and H.L. (Haiou Li); formal analysis, Y.Y.; investigation, J.Y.; resources, H.L. (Haiou Li); data curation, J.Y.; writing—original draft preparation, J.Y.; writing—review and editing, W.Y.; visualization, Y.L.; supervision, H.L. (Hanyu Li); project administration, Y.L.; funding acquisition, H.L. (Hanyu Li). All authors have read and agreed to the published version of the manuscript.

Funding

This research was funded by Research and Development of Thin-Film Lithium Niobate Modulator Chip and Its Industrialization of Guilin Municipal Fund Project grant number MY2326012 and The APC was funded by Research and Development of Thin-Film Lithium Niobate Modulator Chip and Its Industrialization of Guilin Municipal Fund Project.

Data Availability Statement

The data presented in this study are available upon request from the corresponding author.

Acknowledgments

This work was supported by the Development and Industrialization of Optoelectronic Hybrid Integrated Circuits and Microsystems Project of Guangxi Science and Technology Base and Talent Special Project (MY2426002). Research and Development of Thin-Film Lithium Niobate Modulator Chip and Its Industrialization of Guilin Municipal Fund Project (MY2326012).

Conflicts of Interest

Author Wanli Yang, Yue Li, Hanyu Li was employed by the company The 34th Research Institute of China Electronics Technology Group Corporation. The remaining authors declare that the research was conducted in the absence of any commercial or financial relationships that could be construed as a potential conflict of interest.

References

  1. He, M.; Xu, M.; Ren, Y.; Jian, J.; Ruan, Z.; Xu, Y.; Gao, S.; Sun, S.; Wen, X.; Zhou, L.; et al. High-performance hybrid silicon and lithium niobate Mach–Zehnder modulators for 100 Gbit s−1 and beyond. Nat. Photonics 2019, 13, 359–364. [Google Scholar] [CrossRef]
  2. Reed, G.T.; Mashanovich, G.; Gardes, F.Y.; Thomson, D.J. Erratum: Silicon optical modulators. Nat. Photonics 2010, 4, 660. [Google Scholar] [CrossRef]
  3. Honardoost, A.; Juneghani, F.A.; Safian, R.; Fathpour, S. Towards subterahertz bandwidth ultracompact lithium niobate electrooptic modulators. Opt. Express 2019, 27, 6495–6501. [Google Scholar] [CrossRef] [PubMed]
  4. Jin, S.; Xu, L.; Zhang, H.; Li, Y. LiNbO3 Thin-Film Modulators Using Silicon Nitride Surface Ridge Waveguides. IEEE Photonics Technol. Lett. 2016, 28, 736–739. [Google Scholar] [CrossRef]
  5. Rao, A.; Patil, A.; Rabiei, P.; Honardoost, A.; Desalvo, R.; Paolella, A.; Fathpour, S. High-performance and linear thin-film lithium niobate Mach-Zehnder modulators on silicon up to 50 GHz. Opt. Lett. 2016, 41, 5700–5703. [Google Scholar] [CrossRef] [PubMed]
  6. Wang, C.; Zhang, M.; Stern, B.; Lipson, M.; Loncar, M. Nanophotonic lithium niobate electro-optic modulators. Opt. Express 2018, 26, 1547–1555. [Google Scholar] [CrossRef] [PubMed]
  7. Wang, C.; Zhang, M.; Chen, X.; Bertrand, M.; Shams-Ansari, A.; Chandrasekhar, S.; Winzer, P.; Loncar, M. Integrated lithium niobate electro-optic modulators operating at CMOS-compatible voltages. Nature 2018, 562, 101. [Google Scholar] [CrossRef] [PubMed]
  8. Weigel, P.O.; Zhao, J.; Fang, K.; Al-Rubaye, H.; Trotter, D.; Hood, D.; Mudrick, J.; Dallo, C.; Pomerene, A.T.; Starbuck, A.L.; et al. Bonded thin film lithium niobate modulator on a silicon photonics platform exceeding 100 GHz 3-dB electrical modulation bandwidth. Opt. Express 2018, 26, 23728–23739. [Google Scholar] [CrossRef] [PubMed]
  9. Xu, M.Y.; Chen, W.J.; He, M.B.; Wen, X.Q.; Ruan, Z.L.; Xu, J.; Chen, L.F.; Liu, L.; Yu, S.Y.; Cai, X.L. Michelson interferometer modulator based on hybrid silicon and lithium niobate platform. APL Photonics 2019, 4, 100802. [Google Scholar] [CrossRef]
  10. Macario, J.; Mercante, A.; Yao, P.; Zablocki, A.; Shi, S.; Prather, D.W. Ultra-Broadband Modulator Packaging for Millimeter-Wave Applications. IEEE Trans. Microw. Theory Tech. 2014, 62, 306–312. [Google Scholar] [CrossRef]
  11. Chen, Z.; Segev, M. Highlighting photonics: Looking into the next decade. eLight 2021, 1, 2. [Google Scholar] [CrossRef]
  12. Yu, L.; Shang, J.; Luo, K.; Lin, Q.; Chen, H.; Qiu, W.; Guan, H.; Lu, H. Design of High-Speed Mid-Infrared Electro-Optic Modulator Based on Thin Film Lithium Niobate. IEEE Photonics J. 2022, 14, 1–6. [Google Scholar] [CrossRef]
  13. Lim, J.; Kwon, D.; Rieh, J.S.; Kim, S.W.; Hwang, S. RF characterization and modeling of various wire bond transitions. IEEE Trans. Adv. Packag. 2005, 28, 772–778. [Google Scholar] [CrossRef]
  14. Röhrl, F.X.; Jakob, J.; Bogner, W.; Hageneder, D.; Zorn, S. Differential Wideband Interconnects for Organic Millimeter Wave Chip Packages An effort to design an all-purpose RF chip package. In Proceedings of the 46th European Microwave Conference (EuMC), London, UK, 4–6 October 2016; pp. 1465–1468. [Google Scholar]
  15. Issakov, V.; Wojnowski, M.; Knapp, H.; Trotta, S.; Forstner, H.P.; Pressel, K.; Hagelauer, A. Co-simulation and Co-design of Chip-Package-Board Interfaces in Highly- Integrated RF Systems. In Proceedings of the IEEE Bipolar/BiCMOS Circuits and Technology Meeting (BCTM), New Brunswick, NJ, USA, 25–27 September 2016; pp. 94–101. [Google Scholar]
  16. Qin, I.; Shah, A.; Xu, H.; Chylak, B.; Wong, N. Advances in Wire Bonding Technology for Different Bonding Wire Material. Int. Symp. Microelectron. 2015, 2015, 000406–000412. [Google Scholar] [CrossRef]
  17. Huang, C.Y.; Tang, W.L.; Zhang, L. The Bonding Forming Simulation and Reliability Research of the Flip-Chip Stacked Gold Stud Bump. Ieee Trans. Compon. Packag. Manuf. Technol. 2017, 7, 153–161. [Google Scholar] [CrossRef]
  18. Yong, Z.; Shopov, S.; Mikkelsen, J.C.; Mallard, R.; Mak, J.C.C.; Jeong, J.; Voinigescu, S.P.; Poon, J.K.S. RF and Thermal Considerations of a Flip-Chip Integrated 40+Gb/s Silicon Photonic Electro-Optic Transmitter. J. Light. Technol. 2018, 36, 245–251. [Google Scholar] [CrossRef]
  19. Kim, D.W.; Au, K.Y.; Luo, H.Y.L.X.; Ye, Y.L.; Bhattacharya, S.; Lo, G.Q. 2.5D Silicon optical interposer for 400 Gbps electronic-photonic integrated circuit platform packaging. In Proceedings of the 2017 IEEE 19th Electronics Packaging Technology Conference (EPTC), Singapore, 6–9 December 2017; pp. 1–4. [Google Scholar]
  20. Kim, D.W.; Yu, L.H.; Chang, K.F.; Leng, L.W.; Choong, C.S.; Hong, C.; Bhattacharya, S. 3D System-on-Packaging Using Through Silicon Via on SOI for High-Speed Optcal Interconnections with Silicon Photonics Devices for Application of 400 Gbps and Beyond. In Proceedings of the 68th IEEE Electronic Components and Technology Conference (ECTC), San Diego, CA, USA, 29 May–1 June 2018; pp. 834–840. [Google Scholar]
  21. Peng, J.H.; Wang, X.F.; Wang, L.B.; Li, Y.; Liu, R.H.; Deng, S.Y.; Guan, H.Y.; Lu, H.H. RF Interconnection Design of Bump Bonding with a Dislocation Package Structure towards Electro-Optic Modulation Applications. Photonics 2023, 10, 1348. [Google Scholar] [CrossRef]
  22. Liu, X.; Xiong, B.; Sun, C.; Hao, Z.; Wang, L.; Wang, J.; Han, Y.; Li, H.; Yu, J.; Luo, Y. Ultra-wide Bandwidth Thin-film LiNbO3 Modulator with Record-Low Half-wave-voltage Length Product. In Proceedings of the 2021 Optical Fiber Communications Conference and Exhibition (OFC), San Francisco, CA, USA, 6–10 June 2021; pp. 1–3. [Google Scholar]
  23. Lange, S.; Wolf, S.; Lutz, J.; Altenhain, L.; Schmid, R.; Kaiser, R.; Koos, C.; Randel, S.; Schell, M. 100 GBd Intensity Modulation and Direct Detection with an InP-based Monolithic DFB Laser Mach-Zehnder Modulator. In Proceedings of the Optical Fiber Communications Conference and Exhibition (OFC), Los Angeles, CA, USA, 19–23 March 2017. [Google Scholar]
  24. Huang, X.R.; Liu, Y.; Li, Z.Z.; Guan, H.; Wei, Q.Q.; Yu, Z.G.; Li, Z.Y. Advanced Electrode Design for Low-Voltage High-Speed Thin-Film Lithium Niobate Modulators. IEEE Photonics J. 2021, 13, 1–9. [Google Scholar] [CrossRef]
  25. Yue, G.; Yang, H.; Zhang, Z.; Hao, T.; Xiao, L.; Li, Y. Dual-layer capacitance-loaded thin-film lithium niobate electro-optic modulator with high modulation efficiency. Opt. Express 2024, 32, 23161–23170. [Google Scholar] [CrossRef]
  26. Kharel, P.; Reimer, C.; Luke, K.J.; He, L.; Zhang, M. Breaking voltage–bandwidth limits in integrated lithium niobate modulators using micro-structured electrodes. Optica 2021, 8, 357–363. [Google Scholar] [CrossRef]
Figure 1. Overall structure of the High-Speed Thin-Film Lithium Niobate Modulator Utilizing Flip-Chip Bonding with Bump Contacts.
Figure 1. Overall structure of the High-Speed Thin-Film Lithium Niobate Modulator Utilizing Flip-Chip Bonding with Bump Contacts.
Electronics 13 04463 g001
Figure 2. (a) Schematic diagram of the three-dimensional model for the modulation region of a high-speed thin-film lithium niobate electro-optic modulator; (b) schematic diagram of the single-arm cross-section for the modulation region.
Figure 2. (a) Schematic diagram of the three-dimensional model for the modulation region of a high-speed thin-film lithium niobate electro-optic modulator; (b) schematic diagram of the single-arm cross-section for the modulation region.
Electronics 13 04463 g002
Figure 3. (a) y-z section view of the flip-chip bonding with bump contacts structure; (b) x–y top view of the flip-chip bonding with bump contacts structure; (c) schematic diagram of the embedded port and bump bonding positions; (d) schematic diagram of the T-shaped electrode structure in the modulation region.
Figure 3. (a) y-z section view of the flip-chip bonding with bump contacts structure; (b) x–y top view of the flip-chip bonding with bump contacts structure; (c) schematic diagram of the embedded port and bump bonding positions; (d) schematic diagram of the T-shaped electrode structure in the modulation region.
Electronics 13 04463 g003
Figure 4. (a) Embedded port structure and electrical S-parameters obtained by simulation. (b) Linearly tapered port structure and electrical S-parameters obtained by simulation. (c) Curved port structure and electrical S-parameters obtained by simulation.
Figure 4. (a) Embedded port structure and electrical S-parameters obtained by simulation. (b) Linearly tapered port structure and electrical S-parameters obtained by simulation. (c) Curved port structure and electrical S-parameters obtained by simulation.
Electronics 13 04463 g004
Figure 5. (a) Simulation of the TE optical mode in a ridge waveguide. (b) Simulation of the electric field distribution with an electrode spacing of 5 μm.
Figure 5. (a) Simulation of the TE optical mode in a ridge waveguide. (b) Simulation of the electric field distribution with an electrode spacing of 5 μm.
Electronics 13 04463 g005
Figure 6. (a) The characteristic impedance (left y-axis) and microwave refractive index (right y-axis) of the modulator chip. (b) Simulated RF S21 and E-O S21 of 0.5-cm-long modulator chip.
Figure 6. (a) The characteristic impedance (left y-axis) and microwave refractive index (right y-axis) of the modulator chip. (b) Simulated RF S21 and E-O S21 of 0.5-cm-long modulator chip.
Electronics 13 04463 g006
Figure 7. (a) Three-dimensional diagram of flip-chip bonding with bump contacts. (b) Three-dimensional diagram of wire bonding. (c) The S-parameters for the two bonding methods mentioned above.
Figure 7. (a) Three-dimensional diagram of flip-chip bonding with bump contacts. (b) Three-dimensional diagram of wire bonding. (c) The S-parameters for the two bonding methods mentioned above.
Electronics 13 04463 g007
Figure 8. Overall structure of the wire-bonded modulator structure (straight electrode).
Figure 8. Overall structure of the wire-bonded modulator structure (straight electrode).
Electronics 13 04463 g008
Figure 9. The S-parameter plots for the modulator chip, overall structure of the bump-bonded modulator depicted in Figure 2 and the wire-bonded modulator presented in Figure 8.
Figure 9. The S-parameter plots for the modulator chip, overall structure of the bump-bonded modulator depicted in Figure 2 and the wire-bonded modulator presented in Figure 8.
Electronics 13 04463 g009
Table 1. Structural parameters of the chip and bonding section.
Table 1. Structural parameters of the chip and bonding section.
Parameter SymbolsValue (μm)Parameter SymbolsValue (μm)
H_11.1W_1150
H_20.3W_250
H_35W_3175
H_4200W_4200
H_510W_550
H_6120W_615
H_715W_710
R_123W_81
R_223W_91
L_12000W_106
L_25000
Table 2. Performance comparison of three types of ports.
Table 2. Performance comparison of three types of ports.
Port TypesEmbedded PortLinearly Tapered PortsCurved Port
Operating bandwidth>150 (Ghz)120 (Ghz)90 (Ghz)
Radio Frequency Loss (in 150 Ghz)1.41 (dB)11.31 (dB)10.16 (dB)
Table 3. Performance comparison between two bonding methods.
Table 3. Performance comparison between two bonding methods.
Bonding MethodsBump BondingWire Bonding
Operating bandwidth>150 (GHz)130 (Ghz)
Radio Frequency Loss
(in 150 Ghz)
1.79 (dB)18.13 (dB)
Disclaimer/Publisher’s Note: The statements, opinions and data contained in all publications are solely those of the individual author(s) and contributor(s) and not of MDPI and/or the editor(s). MDPI and/or the editor(s) disclaim responsibility for any injury to people or property resulting from any ideas, methods, instructions or products referred to in the content.

Share and Cite

MDPI and ACS Style

Yin, Y.; Yang, J.; Li, H.; Yang, W.; Li, Y.; Li, H. Design of High-Speed Thin-Film Lithium Niobate Modulator Utilizing Flip-Chip Bonding with Bump Contacts. Electronics 2024, 13, 4463. https://doi.org/10.3390/electronics13224463

AMA Style

Yin Y, Yang J, Li H, Yang W, Li Y, Li H. Design of High-Speed Thin-Film Lithium Niobate Modulator Utilizing Flip-Chip Bonding with Bump Contacts. Electronics. 2024; 13(22):4463. https://doi.org/10.3390/electronics13224463

Chicago/Turabian Style

Yin, Yihui, Jiayu Yang, Haiou Li, Wanli Yang, Yue Li, and Hanyu Li. 2024. "Design of High-Speed Thin-Film Lithium Niobate Modulator Utilizing Flip-Chip Bonding with Bump Contacts" Electronics 13, no. 22: 4463. https://doi.org/10.3390/electronics13224463

APA Style

Yin, Y., Yang, J., Li, H., Yang, W., Li, Y., & Li, H. (2024). Design of High-Speed Thin-Film Lithium Niobate Modulator Utilizing Flip-Chip Bonding with Bump Contacts. Electronics, 13(22), 4463. https://doi.org/10.3390/electronics13224463

Note that from the first issue of 2016, this journal uses article numbers instead of page numbers. See further details here.

Article Metrics

Back to TopTop