Noncontact Monitoring of Respiration and Heartbeat Based on Two-Wave Model Using a Millimeter-Wave MIMO FM-CW Radar
Abstract
1. Introduction
2. MIMO FM-CW Radar
3. The Principle of Measuring Heartbeat and Respiration Parameters
- (1)
- λsw becomes 0 and only the respiration parameters are estimated.
- (2)
- λsw becomes 1 and the respiration parameters estimated in the first step are used to represent . Then, the heartbeat parameters are estimated.
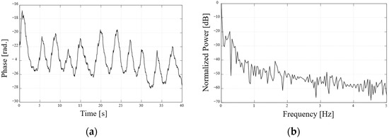
4. Reconstruction of Waveform
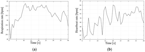
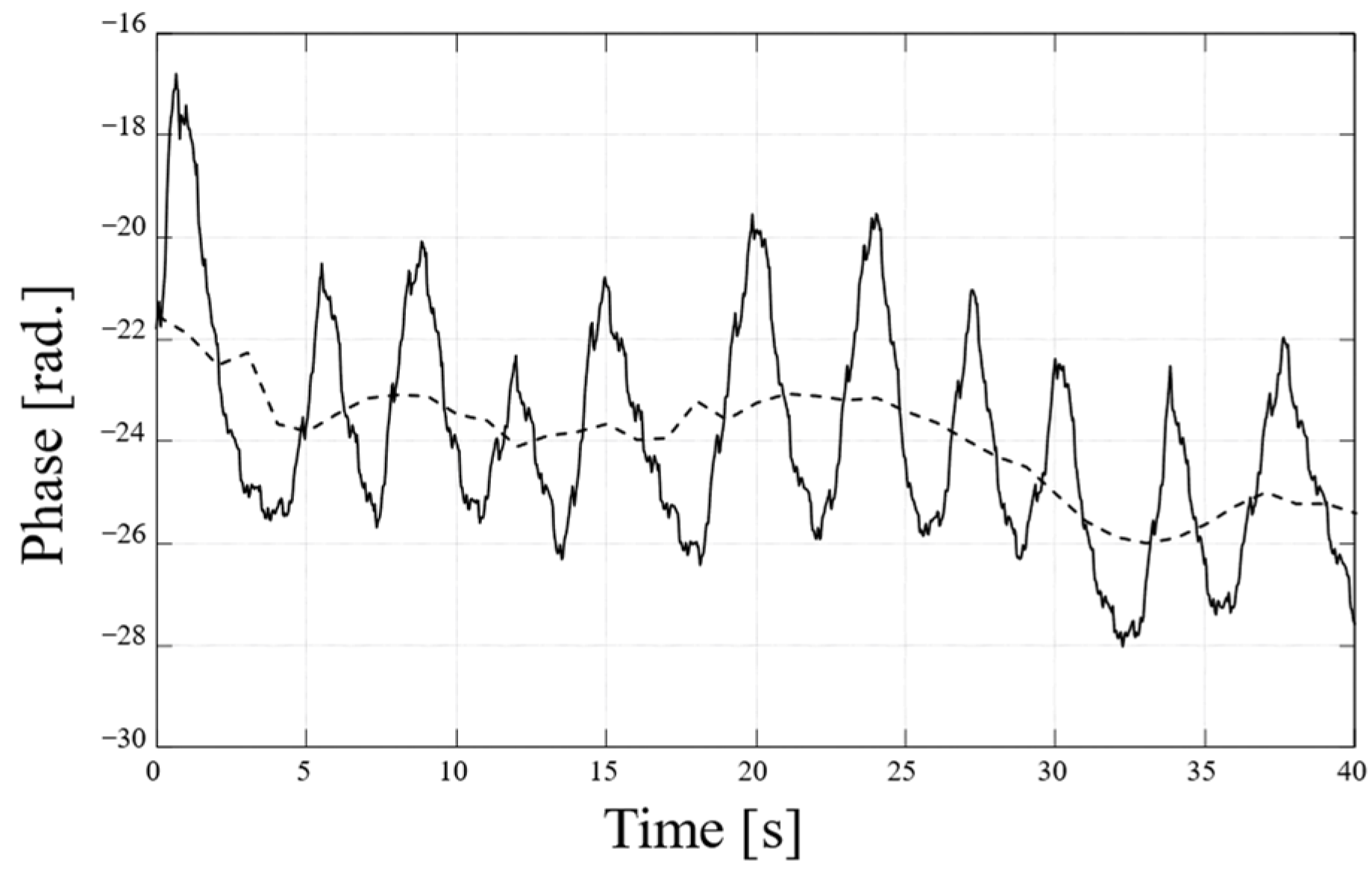
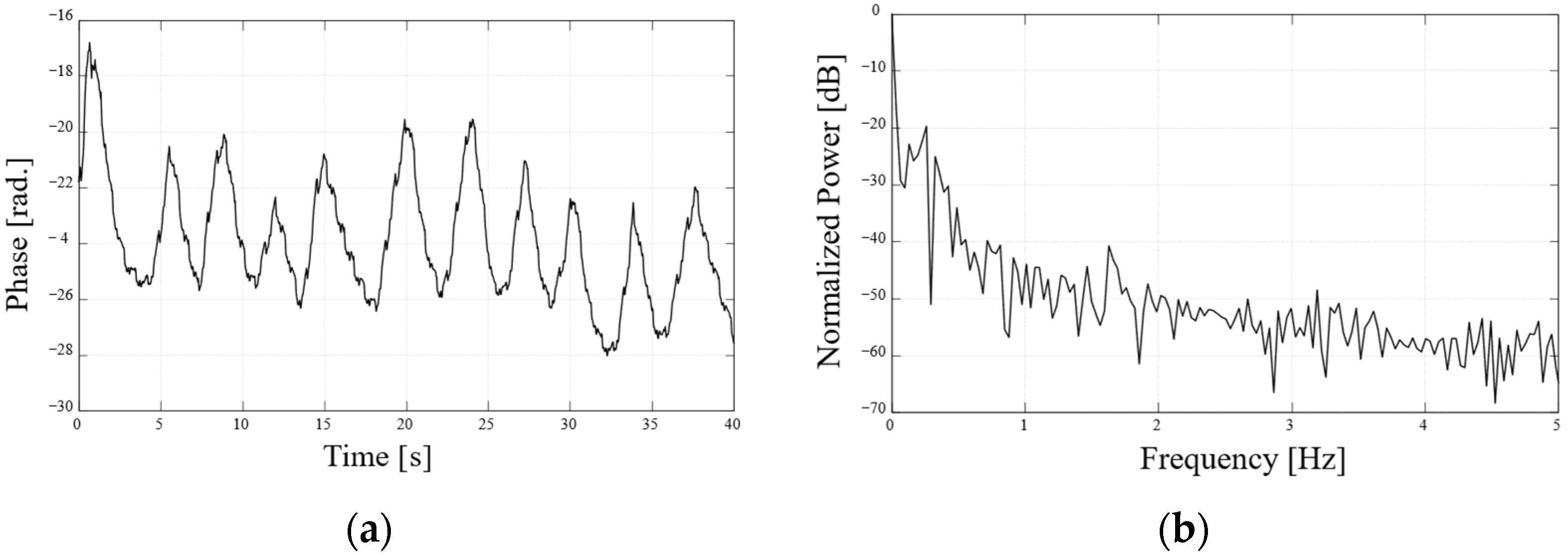
5. Experimental Results
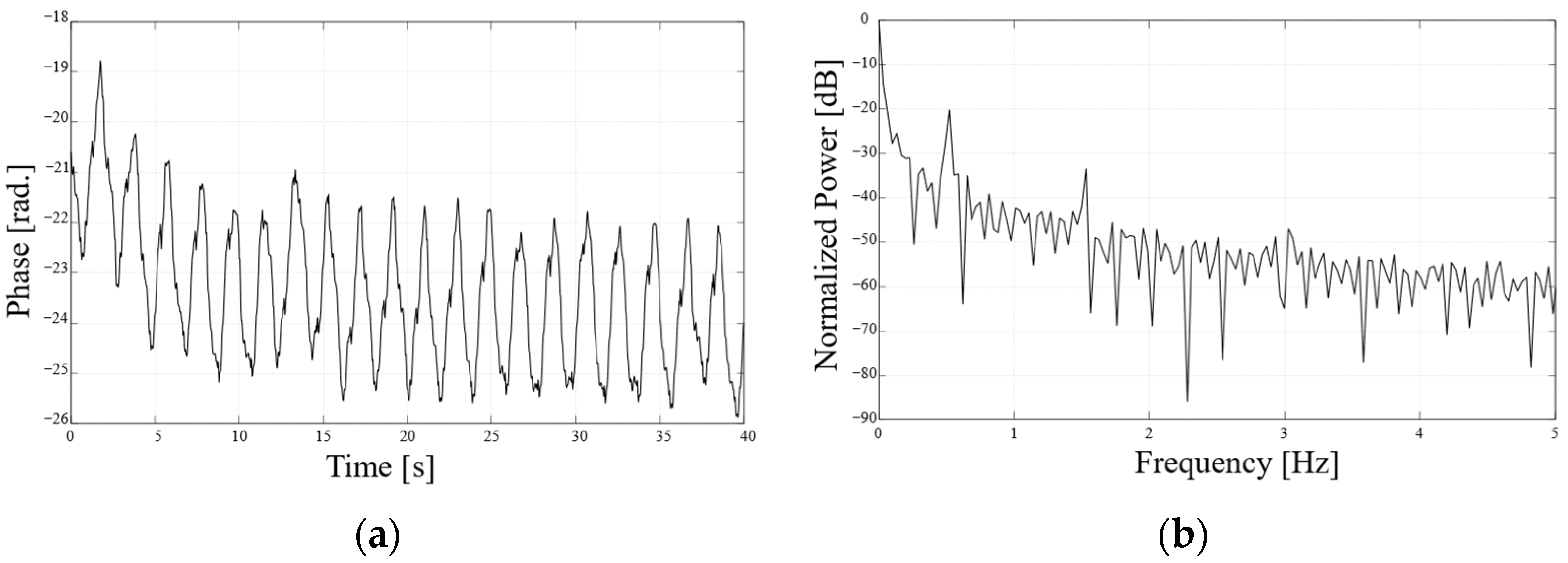
5.1. Data Analysis
5.2. Discussion
6. Conclusions
Author Contributions
Funding
Institutional Review Board Statement
Informed Consent Statement
Data Availability Statement
Acknowledgments
Conflicts of Interest
Correction Statement
References
- Hossain, M.S.; Uddin, S.D.; Islam, S.M. Heart rate variability assessment using single channel CW doppler radar. In Proceedings of the 2023 IEEE Microwaves, Antennas, and Propagation Conference (MAPCON), Ahmedabad, India, 11–14 December 2023; pp. 1–5. [Google Scholar]
- Horimoto, T.; Konishi, T.; Koyama, S.; Kawamura, H.; Goto, R.; Suzuki, T.; Hasegawa, M.; Hirobayashi, S.; Yoshida, K. Heartbeat Harmonics Detectability During Driving Simulation Using NHA and CW Doppler Radar. IEEE Access 2023, 11, 51502–51514. [Google Scholar] [CrossRef]
- Petrović, V.L.; Janković, M.M.; Lupšić, A.V.; Mihajlović, V.R.; Popović-Božović, J.S. High-Accuracy Real-Time Monitoring of Heart Rate Variability Using 24 GHz Continuous-Wave Doppler Radar. IEEE Access 2019, 7, 74721–74733. [Google Scholar] [CrossRef]
- Chian, D.-M.; Wen, C.-K.; Wang, F.-K.; Wong, K.-K. Signal Separation and Tracking Algorithm for Multi-Person Vital Signs by Using Doppler Radar. IEEE Trans. Biomed. Circuits Syst. 2020, 14, 1346–1361. [Google Scholar] [CrossRef]
- Lv, Q.; Chen, L.; An, K.; Wang, J.; Li, H.; Ye, D.; Huangfu, J.; Li, C.; Ran, L. Doppler Vital Signs Detection in the Presence of Large-Scale Random Body Movements. IEEE Trans. Microw. Theory Tech. 2018, 66, 4261–4270. [Google Scholar] [CrossRef]
- Arsalan, M.; Santra, A.; Will, C. Improved Contactless Heartbeat Estimation in FMCW Radar via Kalman Filter Tracking. IEEE Sens. Lett. 2020, 4, 1–4. [Google Scholar] [CrossRef]
- Al Ahmad, M.; Olule, L.J.A. Simultaneous measurements of multiple vital signs using non-contact frequency modulated continuous wave radar monitoring. Alex. Eng. J. 2023, 71, 609–617. [Google Scholar] [CrossRef]
- Zhang, D.; Kurata, M.; Inaba, T. FMCW Radar for Small Displacement Detection of Vital Signal Using Projection Matrix Method. Int. J. Antennas Propag. 2013, 2013, 571986. [Google Scholar] [CrossRef]
- Xiang, M.; Ren, W.; Li, W.; Xue, Z.; Jiang, X. High-Precision Vital Signs Monitoring Method Using a FMCW Millimeter-Wave Sensor. Sensors 2022, 22, 7543. [Google Scholar] [CrossRef] [PubMed]
- Liu, L.; Zhang, J.; Qu, Y.; Zhang, S.; Xiao, W. mmRH: Noncontact Vital Sign Detection with an FMCW mm-Wave Radar. IEEE Sens. J. 2023, 23, 8856–8866. [Google Scholar] [CrossRef]
- Xu, D.; Yu, W.; Wang, Y.; Chen, M. Vital Signs Detection in the Presence of Nonperiodic Body Movements. IEEE Trans. Instrum. Meas. 2024, 73, 1–16. [Google Scholar] [CrossRef]
- Kakouche, I.; Abadlia, H.; El Korso, M.N.; Mesloub, A.; Maali, A.; Azzaz, M.S. Joint Vital Signs and Position Estimation of Multiple Persons Using SIMO Radar. Electronics 2021, 10, 2805. [Google Scholar] [CrossRef]
- Shibao, M.; Kajiwara, A. Heart-rate Monitoring of Moving Persons Using 79 GHz Ultra-wideband Radar Sensor. IEICE Comex 2020, 9, 125–130. [Google Scholar] [CrossRef]
- Edanami, K.; Kurosawa, M.; Yen, H.T.; Kanazawa, T.; Abe, Y.; Kirimoto, T.; Yao, Y.; Matsui, T.; Sun, G. Remote sensing of vital signs by medical radar time-series signal using cardiac peak extraction and adaptive peak detection algorithm: Performance validation on healthy adults and application to neonatal monitoring at an NICU. Comput. Methods Programs Biomed. 2022, 226, 107163. [Google Scholar] [CrossRef]
- Park, B.K.; Boric-Lubecke, O.; Lubecke, V.M. Arctangent Demodulation with DC Offset Compensation in Quadrature Doppler Radar Receiver Systems. IEEE MTT 2007, 55, 1073–1079. [Google Scholar] [CrossRef]
- Sasaki, K.; Honma, N.; Iwai, M.; Kobayashi, K.; Sato, A.; Murata, K. Microwave Heartbeat Detection Using Quasi Arctangent Demodulation. J. IEICE 2022, 105, 489–496. [Google Scholar]
- Sakamoto, T.; Mitani, S.; Sato, T. Noncontact Monitoring of Heartbeat and Movements during Sleep Using a Pair of Millimeter-Wave Ultra-Wideband Radar Systems. IEICE Trans. Commun. 2021, 4, 463–471. [Google Scholar] [CrossRef]
- Sakamoto, T.; Okumura, S.; Imanishi, R.; Taki, H.; Sato, T.; Yoshioka, M.; Inoue, K.; Fukuda, T.; Sakai, H. Remote heartbeat monitoring from human soles using 60-GHz ultra-wideband radar. IEICE Elex 2015, 12, 1–6. [Google Scholar] [CrossRef]
- Nagae, D.; Mase, A. Measurement of heart rate variability and stress evaluation by using microwave reflectometric vital signal sensing. Rev. Sci. Instrum. 2010, 81, 094301. [Google Scholar] [CrossRef]
- Paterniani, G.; Sgreccia, D.; Davoli, A.; Guerzoni, G.; Di Viesti, P.; Valenti, A.C.; Vitolo, M.; Vitetta, G.M.; Boriani, G. Radar-Based Monitoring of Vital Signs: A Tutorial Overview. Proc. IEEE 2023, 111, 277–317. [Google Scholar] [CrossRef]
- Moriyama, T.; Kasahara, H.; Yamaguchi, Y.; Yamada, H. Advanced Polarimetric Subsurface FM-CW Radar. IEEE GRSS 1998, 36, 725–731. [Google Scholar] [CrossRef]
- Ghiglia, D.C.; Pritt, M.D. Two-Dimensional Phase Unwrapping Theory, Algorithms, and Software; Jhon Wiley & Sons: Hoboken, NJ, USA, 1998. [Google Scholar]
- Hsieh, C.H.; Chiu, Y.F.; Shen, Y.H.; Chu, T.S.; Huang, Y.H. A UWB Radar Signal Processing Platform for Real-Time Human Respiratory Feature Extraction Based on Four-Segment Linear Waveform Model. IEEE Trans. Biomed. Circuits Syst. 2016, 10, 219–230. [Google Scholar] [CrossRef] [PubMed]
- Kennedy, J.; Eberhart, R. Particle swarm optimization. In Proceedings of the ICNN’95—International Conference on Neural Networks, Perth, WA, Australia, 27 November–1 December 1995; IEEE: New York, NY, USA, 1995; Volume 4, pp. 1942–1948. [Google Scholar]
- Tanaka, T.; Matsuoka, T.; Takenaka, T.; Moriyama, T. Estimation of Reinforcing bars by using Real GA with Discrete Chromosomes. PIERS Online 2011, 7, 466–470. [Google Scholar]
- Zhang, B.; Jiang, B.; Zheng, R.; Zhang, X.; Li, J.; Xu, Q. Pi-ViMo: Physiology-inspired Robust Vital Sign Monitoring using mmWave Radars. ACM Trans. Internet Things 2023, 4, 15. [Google Scholar] [CrossRef]
- Park, J.; Lee, H.; Kwon, H.H.; Hwang, Y.; Choi, W. Parallelized Particle Swarm Optimization on FPGA for Realtime Ballistic Target Tracking. Sensors 2023, 23, 8456. [Google Scholar] [CrossRef]
















| Radar Type | FM-CW |
|---|---|
| Center Frequency | 79 GHz |
| Bandwidth | 3 GHz |
| Sweep Time | 100 µs |
| PRI | 30 ms |
| MIMO Transmitting Antenna | 2 |
| MIMO Receiving Antenna | 4 |
| −23.46 | 0.06 | −1.43 | −0.99 | −0.99 | 0.24 | 0.31 | 0.17 |
| 0.04 | 0.27 | 0.07 | 1.71 |
| Reference | Signal | Freq. (GHz) | Key Technology | Vital Signs | % of Targets | Range (m) | Movement | Accuracy |
|---|---|---|---|---|---|---|---|---|
| [10] | FM-CW | 76.4 | ZA-SEFLMS | RR/HR | 1 | 0.5–3.0 | Static | Maximum mean error is less than 0.74 bpm (HR). Mean error is within 0.25 bpm (RR) |
| [12] | IR-UWB | 4.3 | LCMV | RR | 3 | 3 | Static | Respiration rate error: 2% |
| [4] | CW | 2.4 | DeepMining | RR/HR | 3 | 1 | Static | 85.3% |
| [5] | CW | 24/5.8 | Polynomial fitting + Matched filter | RR/HR | 1 | 1 | RBMs | - |
| [11] | FM-CW | 77–81 | Kalman filter | RR/HR | 1 | 0.5–2.0 | RBMs | Still: Measured errors of RR and HR were, respectively, less than 2 bpm and 3 bpm. Moving: Measured errors of RR and HR were less than 5 bpm. |
| This work | FM-CW | 79 | Two-wave model | RR/HR | 1 | 0.7 | Slow RBM | 97.09% |
Disclaimer/Publisher’s Note: The statements, opinions and data contained in all publications are solely those of the individual author(s) and contributor(s) and not of MDPI and/or the editor(s). MDPI and/or the editor(s) disclaim responsibility for any injury to people or property resulting from any ideas, methods, instructions or products referred to in the content. |
© 2024 by the authors. Licensee MDPI, Basel, Switzerland. This article is an open access article distributed under the terms and conditions of the Creative Commons Attribution (CC BY) license (https://creativecommons.org/licenses/by/4.0/).
Share and Cite
Ko, M.M.; Moriyama, T. Noncontact Monitoring of Respiration and Heartbeat Based on Two-Wave Model Using a Millimeter-Wave MIMO FM-CW Radar. Electronics 2024, 13, 4308. https://doi.org/10.3390/electronics13214308
Ko MM, Moriyama T. Noncontact Monitoring of Respiration and Heartbeat Based on Two-Wave Model Using a Millimeter-Wave MIMO FM-CW Radar. Electronics. 2024; 13(21):4308. https://doi.org/10.3390/electronics13214308
Chicago/Turabian StyleKo, Mie Mie, and Toshifumi Moriyama. 2024. "Noncontact Monitoring of Respiration and Heartbeat Based on Two-Wave Model Using a Millimeter-Wave MIMO FM-CW Radar" Electronics 13, no. 21: 4308. https://doi.org/10.3390/electronics13214308
APA StyleKo, M. M., & Moriyama, T. (2024). Noncontact Monitoring of Respiration and Heartbeat Based on Two-Wave Model Using a Millimeter-Wave MIMO FM-CW Radar. Electronics, 13(21), 4308. https://doi.org/10.3390/electronics13214308
