Abstract
Filtering high-variability and high-severity defect reports from large test report databases is a challenging task in crowdtesting. Traditional optimization algorithms based on clustering and distance techniques have made progress but are limited by initial parameter settings and significantly decrease in efficiency with an increasing number of reports. To address this issue, this paper proposes a method that integrates reinforcement learning with genetic algorithms for crowdsourced testing report optimization, called Reinforcement Learning-based Genetic Algorithm for Crowdsourced Testing Report Optimization (RLGA). Its core goal is to identify distinct, high-severity defect reports from a large set. The method uses genetic algorithms to generate the optimal report selection sequence and adjusts the crossover probability (Pc) and mutation probability (Pm) dynamically with reinforcement learning based on the population’s average fitness, best fitness, and diversity. The reinforcement learning component uses a hybrid SARSA and Q-Learning strategy to update the Q-value table, allowing the algorithm to learn quickly in early iterations and expand the search space later to avoid local optima, thereby improving efficiency. To validate the RLGA method, this paper uses four public datasets and compares RLGA with six classic methods. The results indicate that RLGA outperforms BDDIV in terms of execution time and is less sensitive to the total number of test reports. In terms of optimization objectives, the test reports selected by RLGA have higher levels of defect severity and diversity than those selected by the random choice, BDDIV, and TSE methods. Regarding population diversity, RLGA effectively enhances the uniformity and diversity of individuals compared to random initialization. In terms of convergence speed, RLGA is superior to the GA, GA-SARSA, and GA-Q methods.
1. Introduction
Crowdsourced testing has become a popular research direction in software engineering [1,2] that involves the recruitment of online testers to perform various testing tasks via an Internet platform. Unlike traditional software testing, crowdsourced testing can collect a large amount of test feedback in a short time to adapt to the rapid iterative development of software [3]. To leverage this advantage, various crowdsourced testing platforms, like those of Alibaba and Baidu, have emerged in recent years. These platforms often offer rewards based on the number of reports or defects found. While this mechanism produces many reports, it often leads to high levels of report duplication and fewer valuable reports [4]. Additionally, the severity of defects in test reports reflects their potential impact on software users [5]. Thus, selecting diverse and high-severity reports from a large number of test reports becomes an unavoidable challenge.
To tackle this challenge, researchers have proposed several test report optimization methods. For instance, Feng et al. [6]. proposed a method using a balanced formula to rank reports by combining reported images and information from BDDIV. This method filters reports with the largest differences from the current report by comparing them one by one. While it excels in optimizing report variance, it only addresses variance and is time-consuming with large-scale reports, making it less well suited for handling numerous crowdsourced test reports. Liu et al. [4]. proposed the TSE algorithm, which uses hierarchical clustering for report optimization. It performed well on APFD metrics across six datasets, like the Wonderland dataset. However, the results of this method are affected by the distance threshold; setting it too high leads to many clusters with minimal distinction between them, hindering report optimization. Recently, many researchers have used genetic algorithms for test-case optimization. For example, in 2022, Jia et al. [7] proposed the combination of clustering algorithms with multi-objective genetic algorithm NSGA2 for test-case selection. Experiments showed that this method yields a set of better Pareto-optimal solutions. In 2023, Anthony et al. [8] used genetic and bat algorithms for test report prioritization, showing that genetic algorithms performed better in APFD metrics. In 2024, Kamal et al. [9] introduced the MOTCP method for multi-objective test case prioritization based on fault sensitivity. Their experiments showed that MOTCP, using genetic algorithms, achieves better fault detection and cost-effectiveness than other methods. Despite the effective use of genetic algorithms in optimization, research on test reports is limited, and key parameters like crossover and mutation rates are often set based on experience rather than scientific methods.
To address this issue and improve test report optimization efficiency, this paper introduces a novel crowdsourced test report optimization method that combines reinforcement learning with genetic algorithms, termed RLGA. The method aims to select a set of test reports with high defect severity and diversity from a large pool. The core idea is to use a genetic algorithm (GA) to generate and iterate test report selection sequences while reinforcement learning adjusts the GA’s crossover probability (Pc) and mutation probability (Pm). The method has two main components, namely genetic and reinforcement components. The genetic component encodes test report selection sequences using a GA, evaluates fitness, selects reports via a ternary tournament, crosses with partial crossover mapping, and mutates with index mutation to generate the best sequences. The reinforcement component adjusts crossover and mutation probabilities based on the best individual fitness, diversity, and average fitness of the current population using Q values. To further enhance Q-table update efficiency, a hybrid update strategy combining SARSA and Q-Learning is designed. SARSA is used in the early iterations for its stability and quick learning, enabling fast convergence, while Q-Learning is employed in later iterations for its strong exploration capability to avoid local optima.
We tested RLGA on four public datasets and compared it with six baseline methods. RLGA required less time than BDDIV and TSE and was less impacted by the number of reports. It also achieved higher defect severity and diversity compared to the random, BDDIV, and TSE methods. Additionally, RLGA improved the convergence speed and solution quality of the genetic algorithms more effectively than the GA, GA-SARSA, and GA-Q methods.
The primary contributions of this paper are summarized as follows:
- To the best of our knowledge, this is the first attempt to combine genetic algorithms and reinforcement learning to address the problem of test report optimization. This approach effectively alleviates issues related to the inefficiency of processing large-scale test reports and offers a new perspective for optimizing crowdsourced test reports;
- This paper proposes a hybrid strategy combining the SARSA algorithm and the Q-Learning algorithm for Q-value updates. This hybrid strategy integrates the stability and fast learning of SARSA with the strong exploration capability of Q-Learning, allowing the algorithm to learn quickly in early iterations and expand the search space in later stages, providing a new model for Q-value updates in reinforcement learning.
- Experiments show that the proposed RLGA method finds test reports with higher defect severity and diversity than the random, BDDIV, and TSE methods. Additionally, compared to the GA, GA-SARSA, and GA-Q methods, RLGA effectively accelerates the convergence speed and improves the quality of the final solution.
The content of this paper is arranged as follows: Section 2 provides an overview of related work. Section 3 discusses the background of genetic algorithms and reinforcement learning. Section 4 details the proposed RLGA method. Section 5 introduces the experimental setup. Section 6 discusses the experimental results. Section 7 analyzes threats to validity. Finally, the paper is concluded, and we propose directions for further research.
2. Related Work
2.1. Crowdsourced Testing Report Priority
Crowdsourced test report prioritization methods can be divided into text-based, image-based, and text-and-image-based approaches.
Text-based approaches: Yang et al. [10] used natural language processing (NLP) techniques to handle the text information of test reports and constructed a similarity matrix to prioritize test reports. Experimental results showed that this method achieved an APFD of 0.887.
Image-based approaches: Li et al. [11] integrated image features of test reports for classification and demonstrated in experiments that image features could enhance the classification performance of test reports.
Text-and-image-based approaches: Feng et al. [6] used text and screenshots to prioritize test reports, employing Spatial Pyramid Matching (SPM) to measure screenshot similarity. Liu et al. [4] built on this by proposing a clustering method for mobile app test reports using both text and image features. Wu et al. [12] introduced a multi-objective prioritization method considering defect diversity and severity, using text and image information to identify defect diversity.
In general, test reports typically consist of the following two parts: textual descriptions and screenshots. Although processing both images and text together may take more time than processing either text or images alone, this approach often yields higher-quality results. This is because images and text usually contain complementary information, and combining them can lead to a more comprehensive understanding of the report content, thereby enhancing the accuracy of report processing. The RLGA method proposed in this paper draws on the scholarly approach of integrating images and text for the processing of test reports, laying the foundation for subsequent work.
2.2. Application of Genetic Algorithms in the Field of Test Optimization
Test Reports: Zhu et al. [13] adapted test-case prioritization methods to prioritize crowdsourced test reports, using four ranking methods including a genetic algorithm. Experiments showed that the use of a genetic algorithm for report ranking achieved an average APFD value above 0.8.
Test Cases: Liu et al. [14] proposed a regression test-case prioritization method based on an improved genetic algorithm, incorporating a tabu search to enhance local search capability and improve efficiency. Zhu et al. [15] introduced a dual-population genetic algorithm for test-case sorting and demonstrated its superiority over single-population genetic algorithms in terms of APFD.
Test Worker Selection: Most researchers view crowdsourced worker recommendation as a multi-objective optimization problem. Cui et al. [16] proposed the ExReDiv method in 2017 for the selection of test workers, incorporating experience, relevance, and diversity strategies to effectively increase error detection rates. They also introduced the MOOSE method [17], which uses the NSGA-II algorithm to achieve Pareto optimality in test coverage, cost minimization, and error detection rate maximization.
Previous studies have demonstrated the effectiveness of genetic algorithms in optimization tasks within the testing domain. However, these studies often overlook in-depth exploration of the key parameters of genetic algorithms, namely Pc and Pm. These two parameters directly affect the search capability and convergence speed of the genetic algorithm, and their reasonable setting can enhance the efficiency and quality of the algorithm. In light of this, this paper proposes a method to dynamically adjust the Pc and Pm of the genetic algorithm using reinforcement learning.
2.3. Genetic Algorithms Combined with Reinforcement Learning
The combination of reinforcement learning and genetic algorithms excels in search and multi-objective optimization and is widely applied to scheduling problem solving [18]. In 2022, Köksa et al. [19] combined reinforcement learning and genetic algorithms for school bus scheduling optimization, reducing travel distance and time. In 2024, Yuan et al. [20] proposed the integration of reinforcement learning’s path selection capability with genetic algorithms’ global search strategy to solve the traveling salesman problem and find optimal solutions. The combination of reinforcement learning and genetic algorithms was also applied to test-case prioritization. In 2023, Yang and Wang [21] proposed a test-case prioritization algorithm using learning and genetic algorithms, which outperformed traditional methods.
In general, genetic algorithms and reinforcement learning each have a wide range of applications in different fields. Existing research has demonstrated that the combination of the two can significantly enhance the efficiency of algorithms. This paper is based on these research findings and proposes an approach that organically integrates reinforcement learning with genetic algorithms, applying it to the field of test report analysis.
3. Background
In this section, we introduce the algorithmic concepts involved in the RLGA method.
3.1. Genetic Algorithm
A Genetic Algorithm (GA), also known as an evolutionary algorithm, is a heuristic search algorithm inspired by Darwin’s theory. It finds optimal solutions by simulating biological evolution processes such as competition, selection, crossover, and mutation among individuals in a population [22]. The workflow of a genetic algorithm described as follows:
- Encoding: This step involves representing potential solutions as chromosomes (usually called individuals).
- Population Initialization: A set of chromosomes is randomly generated to form the initial population.
- Fitness Function: A function is defined to evaluate the quality of chromosomes (solutions).
- Selection: The fitness of individuals in the population is computed, and high-fitness chromosomes are prioritized.
- Crossover: Selected chromosomes are partially replaced to produce new chromosomes.
- Mutation: Chromosomes are randomly altered to maintain population diversity and avoid local optima.
- New-Generation Population: A new population is formed from selected, crossed, and mutated chromosomes.
- Termination Condition: The operations of the genetic algorithm are continued until conditions are met and the final result is output.
It is important to note that the crossover probability (Pc) and mutation probability (Pm) are key parameters in genetic algorithms, controlling the chances of crossover between individuals and the likelihood of mutation. These probabilities affect the solution quality and convergence speed of the GA [23].
3.2. Reinforcement Learning
Reinforcement learning is a machine learning algorithm that optimizes behavior through trial, error, and feedback [24]. In reinforcement learning, an agent learns by trying different actions and adjusting its strategy based on feedback from the environment to achieve its goals. The key concepts of reinforcement learning are outlined as follows.
- Agent: The entity that learns and makes decisions;
- Environment: The external world that interacts with the agent;
- State: The specific condition of the environment at a given time;
- Action: The behavior the agent may perform in a given state;
- Reward: The feedback received from the environment after the agent performs an action (usually a numeric value);
- Policy: The mapping from state to action that the agent uses to choose actions;
- Q-table: A 2D array that stores the expected cumulative reward values for different actions in various states.
Figure 1 shows the framework of reinforcement learning. First, the agent observes the current state of the environment and chooses an action based on this state. Next, the environment changes the state based on the chosen action and provides a reward signal to the agent. Then, the agent updates the Q table based on the received reward signal. Finally, the agent selects actions based on the policy and Q table.
Figure 1.
Schematic representation of reinforcement learning.
The SARSA algorithm is an online learning algorithm in reinforcement learning that updates Q values based on the rewards received from the actions actually undertaken. It has the advantages of being fast and stable but also has the drawback of limited exploration. The specific update formula is expressed as follows:
In Equation (1), Q(s, a) represents the Q value of the current state–action pair, represents the learning rate, r represents the reward obtained after undertaking the action, and represents the depreciation function.
Q-Learning is an offline algorithm that updates by choosing the action with the highest expected reward, without considering the current action. It has the advantages of expanding exploration and avoiding local optima. The specific update formula is expressed as follows:
In Equation (2), represents the maximum value in the Q-value table of all possible actions in the next state (s).
4. RLGA
RLGA consists of the following two core components: a genetic component and a reinforcement component. The genetic component uses a genetic algorithm to generate the best sequence of test report selections and provides the current population state to the reinforcement component. The reinforcement component uses reinforcement learning to adjust the Pc and Pm in the genetic algorithm. Figure 2 illustrates the architecture diagram of RLGA.Furthermore, to enhance the understanding of RLGA, we have elaborated on the specific details in the following sections and provided pseudocode at the end of this chapter. For more details, please refer to Algorithm 1.
| Algorithm 1 RLGA |
|
Figure 2.
RLGA Architecture diagram.
4.1. Genetic Components
The core task of the genetic component is to use a genetic algorithm (GA) to generate and iterate the optimal test report selection sequence. The main steps include processing test reports, initializing the population, designing the fitness function, and performing genetic operations.
4.1.1. Processing Test Reports
The main task of this step is to use the text and screenshot information from crowdsourced test reports to build a discrepancy matrix, which provides a basis for subsequent fitness calculations. This step follows the image and text fusion method proposed by Xiao et al. [12], as shown in Figure 3. The process is outlined as follows: First, for text processing, text information is processed using the Harbin Institute of Technology NLP tool and the Word2Vec model to generate word vectors; then, a text distance matrix is built using Jaccard distance. Secondly, for image processing, image information is extracted and converted into feature vectors using SPM techniques, and an image distance matrix is constructed. In the final step, the two matrices are combined, and the distance between reports is calculated using a balanced distance formula to generate the report discrepancy matrix.
Figure 3.
Test report processing.
4.1.2. Initialize the Population
Encoding: The RLGA method uses decimal encoding, where each basic gene represents the number of a selected test report. Thus, each individual in the population corresponds to a combination of selected test reports. For example, an individual may contain nine test reports, as shown in Figure 4.
Figure 4.
Encoding of chromosomes.
Initialization: This paper uses clustering algorithms for initialization, grouping test reports into clusters based on similarity. The model randomly selects reports from each cluster to build the initial population, ensuring diversity among the individuals.
4.1.3. Design Fitness Function
The goal of the RLGA method is to find test reports with varying levels of severe defects from a large volume of reports. To achieve this, we designed the following fitness function (also called the objective function):
In Equation (3), n represents the number of selected reports, and and represents weights, with a total sum of 1. and are set to 0.6 and 0.4, respectively, in the RLGA method.
4.1.4. Genetic Manipulation
Genetic manipulation usually refers to selection, crossover, and variation.
Selection: This step aims to choose high-fitness individuals to produce offspring. Common selection algorithms include the roulette wheel, tournament, and elite selection algorithms. This paper uses a ternary tournament selection algorithm, which randomly selects three individuals, compares them, and chooses the best as parents.
Crossover: The purpose of this step is to produce new offspring by exchanging parts of the parent genes. This paper uses the partially mapped crossover algorithm, randomly selecting gene segments for exchange and performing conflict detection on the remaining genes, matching them according to the mapping. For example, using the pair of chromosomes shown in Figure 5 as parents, the crossover process includes random determination of exchange points, the exchanging of genes to produce offspring, checking of the non-exchanged genes for conflicts, and their replacement according to the mapping table (constructed based on the mapping relationships of the exchanged genes). Finally, a new pair of offspring genes is formed.
Figure 5.
Cross-process diagram.
Mutation: The aim of this step to increase genetic diversity in the population. This paper uses the index mutation method, which randomly selects a gene on a chromosome and replaces it with a random value from the solution space.
4.2. Reinforcement Components
The core task of the reinforcement component is to adjust the crossover probability (Pc) and mutation probability (Pm) in the genetic algorithm (GA) of genetic components using reinforcement learning (RL). The main steps include analyzing the population status, calculating the reward value, updating the Q table, and adjusting Pc and Pm.
4.2.1. Analyzing the Population Status
RLGA determines the current population status based on the average fitness of the population, the diversity of the population, and the best fitness information.
- The average fitness of the population reflects the overall fitness level of the population. A high level indicates that individuals are generally good, while a low level indicates that individuals are generally poor. The specific calculation method is expressed as follows:In Equation (4), N represents the number of individuals in the population and represents the fitness of the i-th individual.
- The diversity of the population reflects individual differences within the population. High diversity indicates that individuals are widely distributed in the solution space, which promotes algorithm exploration; low diversity may lead the algorithm to fall into local optima. Variance is often used to quantify population diversity. The specific calculation method is expressed as follows:In Equation (3), represents the average fitness of the population.
- The best fitness of the population reflects the level that the best-performing individual in the population can achieve. The calculation method is shown in Formula (6).
Considering the above three indicators comprehensively, we devised the state function presented in Formula (7). This function employs weights w1, w2, and w3 to modulate the significance of each indicator. In this paper, we assign w1 and w2 as 0.35, while w3 is set to 0.3. Additionally, for the sake of assessing state quality and facilitating calculations, we normalize the state function by comparing the current population’s average fitness, diversity, and best fitness against those of the first-generation population.
In addition, the test report selection balances the number of states. More states can improve accuracy but reduce convergence. Therefore, this paper sets a state set based on population changes, divided into 20 intervals, ranging from 0 to 0.10 with a step size of 0.05 [25]. Simply put, the RLGA method uses a state function to obtain the current population state and matches it with the preset state set. For example, when the state value falls in the range of [0, 0.05), state s(1) is selected, and so on.
4.2.2. Calculating the Reward Value
The reward function provides feedback on the immediate effect of undertaking a certain action in a given state. In the RLGA method, rewards are set based on the fitness of the best individual and the average fitness of the population. Specifically, if the adjusted Pc leads to an improvement in the best individual’s fitness over the previous generation, it is considered an effective exploration action, and the agent is rewarded. Similarly, if the adjustment of Pm enhances the average fitness of the population, the agent is also rewarded. Equation (7) provides the reward for the adjusted Pc, while Equation (8) gives the reward for the adjusted Pm.
4.2.3. Updating the Q Table
The RLGA method uses a hybrid strategy of SARSA and Q-Learning for Q-table updates. The reasons for using this hybrid strategy are listed as follows: The Pm value in the genetic algorithm can be any real number between 0 and 1, and the problem size is relatively small, so there is no need to use the relatively complex structures of DQN or policy gradients to solve it. Secondly, compared to other reinforcement learning methods, the SARSA and Q-Learning algorithms are simpler and require fewer computational resources and data samples; thus, integrating them into the GA algorithm does not considerably increase overhead. At the same time, many researchers have experimentally verified that using SARSA and Q-Learning to adjust the Pc and Pm of GA is effective. For example, in the field of job shop scheduling, Chen et al. [12] proposed the use of the Q-Learning and SARSA algorithms to adjust the Pc and Pm in the genetic algorithm, and experiments verified their effectiveness in improving the performance of a GA. In the field of aircraft scheduling, Wen et al. [26] proposed the use of the Q-Learning algorithm to adjust the Pc and Pm, and =experimental results showed that Q-Learning can effectively improve the convergence speed and search capability of the algorithm. Equation (8) describes the collaboration between SARSA and Q-Learning, which is inspired by the backward Q-Learning proposed by Wang et al. [27] and the hybrid strategy proposed by Chen et al. [25]. represent the number of states, represent the number of actions for both Pc and Pm, and denotes the current iteration count. The cooperation mechanism is expressed as follows: If is less than half the product of and , the SARSA strategy is used to update the Q table. Conversely, when is greater than or equal to half the product of and , the Q-Learning strategy takes over for Q-table updates. By employing this mechanism, SARSA and Q-Learning are integrated to work together on updating the same Q table. This approach leverages the strengths of both learning algorithms, combining their efforts for a more effective Q-table refinement process.
4.2.4. Adjust Pc and Pm
In the RLGA method, the aim of the actions in reinforcement learning is to adjust the crossover probability () and mutation probability (). We use the -greedy strategy for action selection, which balances exploration and exploitation. The specific selection method is detailed in Equation (10), where represents the greediness rate and r is a random value between 0 and 1. When is greater than the random value, the action with the highest Q value in the current state is chosen; otherwise, an action is chosen at random.
At the same time, balancing the number of probability values for Pc and Pm during adjustment is crucial. Too fine-grained probability values can improve precision but may also reduce convergence. Inspired by Shahrabi [28] and others, we constructed an action set for crossover probability, limiting the range of Pc to 0.4 to 0.9 with a step size of 0.05. Similarly, we set an action set for mutation probability, limiting the range of Pm to 0.01 to 0.21 with a step size of 0.02. For instance, action a1 randomly selects a Pc value from 0.4 to 0.45 and a Pm value from 0.01 to 0.03.
5. Empirical Research Design
5.1. Research Problems
In our experiments, we propose the following three research questions:
- RQ1
- What effectiveness does the RLGA method demonstrate in the problem of crowdsourced test report selection?
- RQ2
- Can the RLGA method effectively enhance the convergence speed of the genetic algorithm by dynamically adjusting Pc and Pm?
- RQ3
- By using clustering for population initialization, can the RLGA method improve the search capability of the genetic algorithm, enhance population diversity, and prevent premature convergence?
5.2. Datasets
To enhance the credibility of the algorithm, we use the public dataset from the Mooctest National Software Testing Competition, which simulates mobile crowdsourced testing. In the competition, participants test mobile applications developed by real companies and submit reports within 4 h, which are reviewed by over 10 experts. Four test datasets were meticulously selected for the experiment, covering various sectors, including education, tourism, and entertainment. These test reports were independently authored by different participants after they tested the same software; hence, the dataset includes some reports with similar descriptions. The specific dataset information is shown in Table 1. Here, represents the number of test reports, denotes the number of test reports with defect screenshots, indicates the number of test reports with defect severity level i, and |Defect Type| indicates the number of different defect categories contained in the dataset.
Table 1.
Statistical information of the datasets.
5.3. Baseline Setting
To evaluate the performance of the RLGA method in terms of APFDsv and time, we introduce three baselines. “RANDOM” simulates the approach of most crowdsourced testing platforms by randomly selecting test reports. We run “RANDOM” 300 times and recorded the average value as its performance. To further assess the RLGA method, we also introduce two common ranking baselines, namely “BDDIV”[6] and TSE [7]. “BDDIV” uses text descriptions and screenshot information to rank test reports by balancing distance and recommends the highest-ranked reports. “TSE” combines text and images, using a hierarchical clustering algorithm to rank test reports and recommends the highest-ranked reports. Additionally, to assess the convergence speed of the RLGA method, we also introduce three baselines. “GA” is a genetic algorithm without any reinforcement learning. “GA-SARSA” is an algorithm that uses the SARSA algorithm to adjust the crossover and mutation probabilities of GA, while “GA-Q” uses the Q-Learning algorithm for the same purpose.
5.4. Evaluation Indicators
In the task of test report selection, we use the Average Percentage of Faults Detected based on severity (APFDsv) as the evaluation criterion. This metric is widely used in the field of crowdsourced test report selection, and its calculation method is shown in Equation (12). A higher APFDsv value indicates a higher efficiency of detection of high-severity faults in the selection process.
In addition, for better comparison with the baseline method, the same APFD evaluation metric as for the baseline method is adopted. The calculation of APFD is shown in Formula (13).
6. Analysis of Experimental Results
In this section, we present and analyze the experimental results. To minimize the interference of algorithm randomness on the outcomes, we conducted multiple experiments on RLGA and comparable methods, recording the average values.
6.1. Answering Question 1
[RQ1]: What effectiveness does the RLGA method demonstrate in the problem of crowdsourced test report selection?
For question 1, we conducted three sets of experiments to observe the performance of RLGA in different scenarios. Additionally, to ensure the accuracy and comparability of the experimental results, we compared RLGA with the state-of-the-art (SOTA) BDDIV method in the field of test report optimization, as well as two other classic methods.
The goal of Experiment 1 was to evaluate the performance of RLGA when executing the test report selection task across different datasets, specifically including aspects such as the required time, types of identified defects, and APFDsv, in order to demonstrate the applicability of RLGA. In Experiment 1, we utilized four methods to conduct report selection tasks on four datasets. The task required the selection one-third of the reports with high diversity and defect severity from the original test reports. To ensure the reliability and accuracy of the experimental results, the experiment was conducted 100 times, and the obtained results were averaged. Table 2 and Table 3 presents the final experimental data.
Table 2.
Experimental results of four methods in test report selection.
Table 3.
t test of four methods in test report selection.
The goal of Experiment 2 was to assess the specific performance of RLGA in terms of report diversity and defect severity. In Experiment 2, to more intuitively compare the diversity and severity of defects in the reports selected by RLGA with those selected by other methods, we set the number of selected reports to a fixed value of 30, ran the experiment 300 times, and recorded the average severity and diversity data every 50 runs. The results of the experiment are shown in Figure 6.
Figure 6.
Distribution of the mean.
Figure 6 shows that RLGA’s performance in report diversity is not as good as that of BDDIV. However, the reports chosen by RLGA are better than those chosen by the other three methods in terms of defect severity. This is because RLGA considers both diversity and severity when making selections, not just diversity. In real-world applications, there is no direct connection between the severity of defects and the diversity of reports. Reports with high defect severity do not always have high diversity. Therefore, finding the best balance between severity and diversity is a difficult problem.
The goal of Experiment 3 was to assess the extent to which the execution time of RLGA and comparable methods is affected by the total number of test reports. In the experiment, we applied four methods to datasets containing varying numbers of reports. To emphasize the sensitivity of the methods to the total number of reports, we deliberately set the number of selected reports to a fixed value of 30. Figure 7 presents the specific outcomes.
Figure 7.
Runtime comparison chart.
It is not difficult to see from Figure 7 that, compared to the other three methods, RLGA is less affected by the total number of test reports. This is due to the integration of genetic algorithms and reinforcement learning in RLGA. The execution time of genetic algorithms is related not only to the problem size but also to factors such as mutation probability, crossover probability, and population size. First, the total number of test reports represents the problem size; the more reports, the larger the size, the greater the search space, and the longer the time consumed. Secondly, to reduce the impact of the problem size on execution time, we set a fixed population size based on experimental resources and problem complexity. The population size determines the number of individuals in each generation. The larger the population size, the greater the search space, but more individuals’ fitness values need to be evaluated, increasing computational complexity and affecting execution time. Therefore, improving execution efficiency requires the setting of a reasonable population size. Lastly, a fixed population size may lead to a reduction in population diversity, affecting the search space and potentially resulting in locally optimal solutions. Consequently, RLGA uses reinforcement learning to dynamically adjust Pc and Pm based on factors such as population diversity, ensuring increased population diversity while maintaining a stable population size. Although the RLGA method is not sensitive to the total number of reports, its execution efficiency is affected by the number of selected reports; the more reports that need to be selected, the greater the time cost for the calculation of individual fitness and the longer the overall execution time.
6.2. Answering Question 2
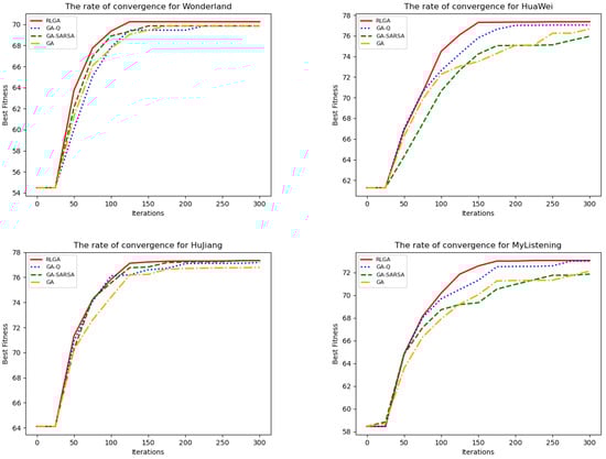
[RQ2]: Can the RLGA method effectively enhance the convergence speed of the genetic algorithm by dynamically adjusting Pc and Pm?
For question 2, we designed and implemented a series of experiments to verify the performance of RLGA in terms of convergence. In the experiments, to ensure the consistency of the experimental conditions, we set the following fixed parameters: the initialization of the population, the number of selected reports, the size of the population, and the number of iterations. On this basis, we used the following four algorithms to perform test report selection tasks on four datasets: a traditional genetic algorithm (GA); GA-Q, which integrates Q-Learning to adjust Pc and Pm; GA-SARSA, which integrates SARSA to adjust Pc and Pm; and RLGA, which integrates a hybrid strategy combining SARSA and Q-Learning to adjust Pc and Pm. Concurrently, to more intuitively compare the improvement effects of the four methods on the convergence performance of the genetic algorithm, we recorded the average fitness of the population during the iteration process and plotted the data in convergence curves, as shown in Figure 8.
Figure 8.
Comparison of fitness trends.
The convergence curves shown in Figure 8 indicate that, with the same initial population and a consistent population size, RLGA demonstrates the best convergence among the four compared algorithms. Specifically, the convergence curve of RLGA has a steeper overall slope, which suggests that its convergence rate is faster than that of the other algorithms. In terms of the number of iterations, RLGA requires fewer iterations to reach a certain fitness level (average fitness) than the other algorithms, further indicating its faster convergence. Regarding fitness, since our goal is to identify a set of test reports with high defect severity and high diversity, higher fitness is desirable in this experiment. It is evident from the graph that RLGA achieves a higher final stable fitness than the other methods, demonstrating that while enhancing convergence speed, RLGA also ensures the quality of the solution.
The significant advantages of RLGA, as shown in the experimental results presented in Figure 8, are primarily due to its use of reinforcement learning to dynamically adjust key parameters in the genetic algorithm (GA), namely Pc and Pm. Firstly, RLGA employs a hybrid strategy combining SARSA and Q-Learning, allowing the algorithm to utilize SARSA for rapid learning in the initial phase and Q-Learning to enhance optimization and exploration in later stages, thereby improving the algorithm’s convergence rate and ensuring the quality of the final solution. Secondly, RLGA designs a state function that takes into account factors such as the average fitness of the population, the best fitness, and population diversity (variance) to monitor the current state of the population. Concurrently, RLGA also devises a reward function based on the improvement of the average and best fitness between the current and previous generations to evaluate the effectiveness of the Pc and Pm decision actions. Lastly, RLGA uses an -greedy strategy for the selection of Pc and Pm actions—a strategy that balances exploration and exploitation, ensuring probabilities for both random and optimal selections. Overall, RLGA effectively enhances the algorithm’s convergence rate and prevents premature convergence and entrapment in local optima through the organic integration of these three strategies.
6.3. Answering Question 3
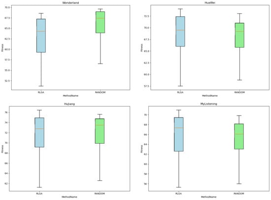
[RQ3]: By using clustering for population initialization, can the RLGA method improve the search capability of the genetic algorithm, enhance population diversity, and prevent premature convergence?
For question 3, we conducted a experiment to compare the RLGA with a randomly initialized algorithm. To enhance the credibility of the experiments, we ensured the consistency of the population size, crossover probability, and mutation probability throughout the experimental process and conducted 100 trials for each algorithm, taking the average fitness value as the result. The box plot in Figure 9 displays the results. The red line within the box represents the median, and the length of the box indicates the dispersion of the data. As shown in Figure 9, across the four datasets, the RLGA method produced a longer box length and a more centrally located median line than the random algorithm in the box plot, implying that the population generated by RLGA was not only more uniformly distributed but also had higher diversity. This outcome is due to RLGA’s use of a clustering method for initialization, where k-means clustering was performed based on the textual descriptions of the reports and a certain number of test reports was drawn proportionally from each cluster to ensure the diversity of the initial population, laying a solid foundation for the subsequent search process.
Figure 9.
Comparison of box plots.
7. Effectiveness Threat
In our empirical research, we face several key validity challenges.
Firstly, the homogeneity of participants poses a significant threat, as the experimental subjects were limited to students participating in a national software testing competition rather than a diverse crowd of crowdsourced software testers, which may limit the representativeness and applicability of the experimental results in a broader crowdsourcing environment. Secondly, the limitations of the experimental datasets cannot be overlooked, as the experiment was only validated based on four open-source crowdsourced testing datasets, without covering important fields such as finance and health care, which undermines the universality and credibility of the experimental results in cross-domain applications. Furthermore, the setting of weights in the fitness function relies on experience and carries the risk of subjective bias, which may affect the objectivity and accuracy of the research findings.
To address the aforementioned validity threats, we have plans to explore the following research directions in the future. Specifically, we will work on expanding the scope of our research to include datasets from multiple real-world crowdsourcing platforms and a wide range of fields, enhancing the comprehensiveness and representativeness of our study. Additionally, we will design and conduct multiple comparative experiments, optimizing and adjusting weight parameters with a rigorous scientific approach to overcome their limitations and improve the accuracy and applicability of our research findings in practical applications.
8. Summary
This paper innovatively introduces the RLGA method, which integrates reinforcement learning with genetic algorithms to effectively filter reports with significant differences and severe defects from a vast array of crowdsourced testing reports. To the best of our knowledge, this is the first work to apply genetic algorithms and reinforcement learning to address the issue of crowdsourced testing report selection. To validate the effectiveness of the experiment, we conducted multiple comparative experiments and made the following observations: First, when selecting the same number of reports from the same dataset, RLGA, which takes into account both severity and diversity, not only performs similarly in terms of similarity but also selects reports with higher defect severity and better APFDsv values compared to the BDDIV, TSE, and random selection methods. Secondly, RLGA dynamically adjusts the probabilities of Pc and Pm based on the population state (best fitness, average fitness, and diversity) using a hybrid learning strategy that combines Q-Learning and SARSA. Compared to other methods, for the same dataset and with the same initial population and the same number of selected reports, RLGA can significantly improve the convergence speed of the genetic algorithm and the quality of the final solution. Lastly, the execution time of RLGA is mainly affected by the population size, the number of iterations, and the number of selected reports and has less to do with the quantity of the original test reports. This characteristic allows RLGA to maintain stable and efficient performance, even when faced with a large number of test reports.
In summary, RLGA is suitable for the screening of test reports with high diversity and high severity from a large number of reports. Nonetheless, RLGA also has some limitations, which are specifically manifested in the following aspects: First, RLGA adjusts the probabilities of Pc and Pm through reinforcement learning, which, despite effectively improving the algorithm’s convergence speed and avoiding falling into local optima, also incurs additional computational costs, such as in the calculation of reward values, updating the Q table, and adjusting probabilities based on the state. Secondly, RLGA employs a fixed population-size strategy, which, to some extent, helps to make rational use of computing resources, maintain diversity, and reduce the risk of premature convergence of the algorithm. However, the current population size is mainly based on specific problems and data characteristics in the field of test reports and may lack universality. Thirdly, in the objective function of RLGA, the weights for diversity and severity are set to 6:4. This ratio is mainly determined by experience and lacks a solid theoretical foundation. In light of the existing limitations, future research directions can be expanded in two main areas. First, the reinforcement learning module can be improved by optimizing the reward mechanism and Q-table update strategy to reduce the computational burden of the algorithm. Secondly, experiments can be conducted on a broader range of datasets to more comprehensively evaluate the performance of the algorithm. At the same time, a deeper investigation into the impact of population size on the efficiency of the algorithm in terms of time can help determine a more scientifically reasonable population size, thereby enhancing the universality and adaptability of the algorithm.
Author Contributions
Conceptualization, R.B. and R.C.; data curation, R.B.; formal analysis, R.B.; funding acquisition, R.C.; investigation, R.B.; methodology, R.B.; project administration, R.C.; resources, R.C.; software, R.B. and X.L.; supervision, R.C.; validation, R.C. and R.B.; visualization, X.L., K.W., R.C. and R.B.; writing—original draft preparation, R.B.; writing—review and editing, R.C., X.L. and K.W. All authors have read and agreed to the published version of the manuscript.
Funding
This research was supported by the Natural Science Foundation of Fujian Province under grant No. 2022J011238, the Xiamen Major Public Technology Service Platform under grant No. 3502Z20231042, Research on Key Technologies of Intelligent and Cloud Service Testing (2022 Central Government Guide Local Development Science and Technology Special Project) under grant No. 2022L3029, and the Ship Scientific Research Project—Key technology and demonstration of type 2030 green and intelligent ship in Fujian region grant number No. CBG4N21-4-4.
Data Availability Statement
Data are contained within the article.
Conflicts of Interest
The authors declare no conflicts of interest.
References
- Wang, J.; Cui, Q.; Wang, S.; Wang, Q. Domain adaptation for test report classification in crowdsourced testing. In Proceedings of the 2017 IEEE/ACM 39th International Conference on Software Engineering: Software Engineering in Practice Track (ICSE-SEIP), Buenos Aires, Argentina, 20–28 May 2017; pp. 83–92. [Google Scholar]
- Hao, R.; Feng, Y.; Jones, J.A.; Li, Y.; Chen, Z. CTRAS: Crowdsourced test report aggregation and summarization. In Proceedings of the 2019 IEEE/ACM 41st International Conference on Software Engineering (ICSE), Montreal, QC, Canada, 25–31 May 2019; pp. 900–911. [Google Scholar]
- Fazzini, M.; Prammer, M.; d’Amorim, M.; Orso, A. Automatically translating bug reports into test cases for mobile apps. In Proceedings of the 27th ACM SIGSOFT International Symposium on Software Testing and Analysis, Amsterdam, The Netherlands, 16–21 July 2018; pp. 141–152. [Google Scholar]
- Liu, D.; Feng, Y.; Zhang, X.; Jones, J.; Chen, Z. Clustering crowdsourced test reports of mobile applications using image understanding. IEEE Trans. Softw. Eng. 2020, 48, 1290–1308. [Google Scholar] [CrossRef]
- Tong, Y.; Zhang, X.F. Crowdsourced test report prioritization considering bug severity. Inf. Softw. Technol. 2021, 139, 106668. [Google Scholar] [CrossRef]
- Feng, Y.; Jones, J.A.; Chen, Z.; Fang, C. Multi-objective test report prioritization using image understanding. In Proceedings of the 31st IEEE/ACM International Conference on Automated Software Engineering, Singapore, 3–7 September 2016; pp. 202–213. [Google Scholar]
- Jia, H.; Zhang, C.; Wu, S. Multi-objective software test case selection based on density analysis. In Proceedings of the 5th International Conference on Computer Science and Software Engineering, Guilin, China, 21–23 October 2022; pp. 140–147. [Google Scholar]
- Wambua, A.; Wambugu, G.M. A Comparative Analysis of Bat and Genetic Algorithms for Test Case Prioritization in Regression Testing. Int. J. Intell. Syst. Appl. 2023, 15, 13–21. [Google Scholar] [CrossRef]
- Garg, K.; Shekhar, S. Fault sensitivity index-based multi-objective testcase prioritization. J. Electr. Eng. 2024, 75, 151–160. [Google Scholar] [CrossRef]
- Yang, Y.; Chen, X. Crowdsourced test report prioritization based on text classification. IEEE Access 2021, 10, 92692–92705. [Google Scholar] [CrossRef]
- Li, Y.; Feng, Y.; Hao, R.; Liu, D.; Fang, C.; Chen, Z. Classifying crowdsourced mobile test reports with image features: An empirical study. J. Syst. Softw. 2022, 184, 111121. [Google Scholar] [CrossRef]
- Wu, Y.H.; Xiao, L. Severity-Oriented Multi-Objective Crowdsourced Test Reports Prioritization. Int. J. Image Graph. 2024, 2550065. [Google Scholar] [CrossRef]
- Zhu, P.; Li, Y.; Li, T.; Ren, H.; Sun, X. Advanced crowdsourced test report prioritization based on adaptive strategy. IEEE Access 2022, 10, 142–149. [Google Scholar] [CrossRef]
- Liu, Y. Priority Ranking of Regression Test Cases Based on Improved Genetic Algorithm. Comput. Simulatio 2021, 2, 273–277. [Google Scholar]
- Zhu, Y.; Liu, F. Test case prioritization based on dual population genetic algorithm. Highlights Sci. Online 2023, 16, 223–232. [Google Scholar]
- Cui, Q.; Wang, J.; Yang, G.; Xie, M.; Wang, Q.; Li, M. Who should be selected to perform a task in crowdsourced testing? In Proceedings of the 2017 IEEE 41st Annual Computer Software and Applications Conference (COMPSAC), Turin, Italy, 4–8 July 2017; pp. 75–84. [Google Scholar]
- Ikotun, A.M.; Ezugwu, A.E.; Abualigah, L.; Abuhaija, B.; Heming, J. K-means clustering algorithms: A comprehensive review, variants analysis, and advances in the era of big data. Inf. Sci. 2023, 622, 178–210. [Google Scholar] [CrossRef]
- AWang, J.; Yang, Y.; Wang, S.; Hu, J.; Wang, Q. Context-and fairness-aware in-process crowdworker recommendation. In ACM Transactions on Software Engineering and Methodology (TOSEM); ACM: New York, NY, USA, 2022; pp. 1–31. [Google Scholar]
- Köksal Ahmed, E.; Li, Z.; Veeravalli, B.; Ren, S. Reinforcement learning-enabled genetic algorithm for school bus scheduling. J. Intell. Transp. Syst. 2022, 26, 269–283. [Google Scholar] [CrossRef]
- Ruan, Y.; Cai, W.; Wang, J. Combining reinforcement learning algorithm and genetic algorithm to solve the traveling salesman problem. J. Eng. 2024, 6, e12393. [Google Scholar] [CrossRef]
- Yang, Y.; Wang, L.; Cha, N.; Li, H. A Test Case Prioritization Based on Genetic Algorithm with Ant Colony and Reinforcement Learning Improvement. In Proceedings of the 2023 IEEE 47th Annual Computers, Software, and Applications Conference (COMPSAC), Torino, Italy, 27–29 June 2023; pp. 1588–1593. [Google Scholar]
- Xia, C.Y.; Wang, X.Y.; Zhang, Y. Test Case Prioritization Based on Multi-objective Optimization. Comput. Sci. 2020, 47, 38–43. [Google Scholar]
- Singh, G.; Gupta, N. A study of crossover operators in genetic algorithms. In Frontiers in Nature-Inspired Industrial Optimization; Springer: Singapore, 2022; pp. 17–32. [Google Scholar]
- Wang, H.; Gu, M.; Yu, Q.; Tao, Y.; Li, J.; Fei, H.; Yan, J.; Zhao, W.; Hong, T. Adaptive and large-scale service composition based on deep reinforcement learning. Knowl.-Based Syst. 2019, 180, 75–90. [Google Scholar] [CrossRef]
- Chen, R.; Yang, B.; Li, S.; Wang, S. A self-learning genetic algorithm based on reinforcement learning for flexible job-shop scheduling problem. Comput. Ind. Eng. 2020, 149, 106778. [Google Scholar] [CrossRef]
- Wen, X.; Zhang, X.; Xing, H.; Ye, G.; Li, H.; Zhang, Y.; Wang, H. An Improved Genetic Algorithm Based on Reinforcement Learning for Aircraft Assembly Scheduling Problem. Comput. Ind. Eng. 2024, 193, 110263. [Google Scholar] [CrossRef]
- Wang, Y.M.; Yin, H.L.; Qin, K.D. A novel genetic algorithm for flexible job shop scheduling problems with machine disruptions. Int. J. Adv. Manuf. Technol. 2013, 68, 1317–1326. [Google Scholar] [CrossRef]
- Shahrabi, J.; Adibi, M.A.; Mahootchi, M. A reinforcement learning approach to parameter estimation in dynamic job shop scheduling. Comput. Ind. Eng. 2017, 110, 75–82. [Google Scholar] [CrossRef]
Disclaimer/Publisher’s Note: The statements, opinions and data contained in all publications are solely those of the individual author(s) and contributor(s) and not of MDPI and/or the editor(s). MDPI and/or the editor(s) disclaim responsibility for any injury to people or property resulting from any ideas, methods, instructions or products referred to in the content. |
© 2024 by the authors. Licensee MDPI, Basel, Switzerland. This article is an open access article distributed under the terms and conditions of the Creative Commons Attribution (CC BY) license (https://creativecommons.org/licenses/by/4.0/).








