Abstract
Strip steel is extensively utilized in industries such as automotive manufacturing and aerospace due to its superior machinability, economic benefits, and adaptability. However, defects on the surface of steel strips, such as inclusions, patches, and scratches, significantly affect the performance and service life of the product. Therefore, the salient object detection of surface defects on strip steel is crucial to ensure the quality of the final product. Many factors, such as the low contrast of surface defects on strip steel, the diversity of defect types, complex texture structures, and irregular defect distribution, hinder existing detection technologies from accurately identifying and segmenting defect areas against complex backgrounds. To address the above problems, we propose a novel detector called S3D-SOD for the salient object detection of strip steel surface defects. For the encoding stage, a residual self-attention block is proposed to explore semantic information cues of high-level features to locate and guide low-level feature information. In addition, we apply a general residual channel and spatial attention to low-level features, enabling the model to adaptively focus on the key channels and spatial areas of feature maps with high resolutions, thereby enhancing the encoder features and accelerating the convergence of the model. For the decoding stage, a simple residual decoder block with an upsampling operation is proposed to realize the integration and interaction of feature information between different layers. Here, the simple residual decoder block is used for feature integration due to the following observation: backbone networks like ResNet and the Swin Transformer, after being pretrained on the large dataset ImageNet and then fine-tuned on a smaller dataset for strip steel surface defects, are capable of extracting feature maps that contain both general image features and the specific characteristics required for the salient object detection of strip steel surface defects. The experimental results on the SD-saliency-900 dataset show that S3D-SOD is better than advanced methods, and it has strong generalization ability and robustness.
1. Introduction
Strip steel is an indispensable raw material in industrial production. Due to the unique properties of the strip steel, including strength, durability, and versatility, it has a wide range of applications in automotive manufacturing, aerospace, and other fields, promoting the progress and efficiency of industrial manufacturing [1]. However, during the manufacturing process, the surface quality of the strip steel is affected by a variety of factors, and thus various types of defects, such as inclusions, patches, and scratches, may occur [2]. These defects not only affect the appearance of the product but also its service life; therefore, the salient object detection of surface defects on strip steel is crucial to ensuring the quality of the final product [3].
Traditional strip surface defect detection methods primarily rely on manual visual inspection and some classical image processing methods [4]. For examples, Zhang et al. [5] used adaptive thresholding grayscale transformation for the enhancement of steel surface defect images. Achanta et al. [6] applied image processing to generate hyperpixels by calculating pixel point distance and color similarity to defect detection. Ma et al. [7] investigated the impact of hysteresis effects on the contrast of welding defect profiles in magneto-optical imaging under the influence of an alternating magnetic field. Their approach analyzed the dynamic variation cycles of different types of welding defects, such as cracks, pores, and lack of fusion, in magneto-optical images. The paper proposed a method for selecting the optimal magneto-optical image based on periodic changes to improve the accuracy of defect detection. Other manual feature-based methods for defect detection in industrial applications, such as solar modules [8], metals [9], and steel [10], have achieved good results in recent years. However, those artificially designed feature descriptors are relatively complex, and the extracted features are mostly shallow features (e.g., texture, color, edge, and contrast), which cannot effectively characterize the complex images with complicated backgrounds.
With the development of deep learning, significant breakthroughs have been achieved in salient steel defect detection. In particular, the application of convolutional neural networks (CNNs) and self-attention mechanisms has greatly improved the precision and robustness of defect detection [11,12]. Xia et al. [13] introduced a U-Net inspired approach that employs an end-to-end image salient object detection technique for the steel surface defect recognition. This method utilizes EfficientNet [14] as the encoder to extract multiscale feature maps and integrates the features of different scales through U-Net’s transfer learning mechanism. Li et al. [15] proposed a new Lightweight Fully Convolutional Network (L-FCN). The L-FCN integrates the traditional watershed algorithm with a fully convolutional network, employing the watershed algorithm as a preliminary step to transform the original image into a pre-segmented image. Since the watershed algorithm first processes the image and removes the useless non-edge pixels, the L-FCN avoids the complex network structure and redundant parameters and is able to achieve semantic detection similar to that of U-Net while considerably reducing memory consumption and computational cost.
Based on the discussion above, a novel detector named S3D-SOD is proposed, which employs a pre-trained PVTv2 [16] as the backbone network and integrates channel, spatial, and self-attention mechanisms alongside simple residual connections for precise salient object detection of defects on the steel strip surface. In the encoder stage, we first introduce residual channel–spatial attention (RCSA) blocks and apply the blocks to low-level features. RCSA significantly improves feature map representation by adaptively adjusting the weights of feature channels and spatial locations, thereby enhancing the encoder features and accelerating the convergence of the model. In addition, we designed a residual self-attention block (RSAB) that is applied to the high-level features to capture more semantic information of the high-level features to locate and guide low-level feature information. For the decoder stage, we propose a simple residual decoder block (DB), which consists of an upsampling module and a residual module, to realize the integration and interaction of features between different layers. The feature maps from the encoder are combined with the upsampled feature maps through a concatenation operation, forming a richer feature representation. The concept of DB is inspired by the observation that backbone networks such as ResNet [17] and the Swin Transformer [18], after pre-training on the large dataset ImageNet [19] and subsequent fine-tuning on a smaller dataset for strip steel surface defect salient object detection, are capable of extracting feature maps that encompass both general image features and the specific characteristics required for identifying strip steel surface defects.
In summary, the main contributions of this paper are as follows.
- For the encoding stage, a residual self-attention block is proposed to explore semantic information cues of high-level features. In addition, we apply a general residual channel and spatial attention to low-level features, enabling the model to adaptively focus on the key channels and spatial areas of feature maps with high resolutions.
- For the decoding stage, a simple residual decoder block with an upsampling operation is proposed to realize the integration and interaction of feature information between different layers.
- Based on the residual structure and the mechanisms of channel-, spatial-, and self-attention, a novel detector called S3D-SOD is proposed for precise salient object detection of defects on the steel strip surface. The experimental results show that S3D-SOD is better than advanced methods, and it has a strong generalization ability and robustness.
2. Related Work
2.1. Detection Methods
Detection methods have made significant advancements in recent years and can generally be categorized into two groups: (1) traditional detectors and (2) deep-learning-based detectors.
- Traditional detectors heavily rely on hand-designed features and conventional machine learning algorithms. These methods typically use low-level features such as color, texture, and shape to identify targets through algorithms including region growing, graph cuts, and random walking [20]. For instance, Murray et al. [21] proposed a saliency estimation method based on a non-parametric, low-level visual model, which improves detection precision by integrating multiple conventional features. Harel et al. [22] employed a graph-based saliency approach to extract salient targets by constructing a graph structure and applying a graph cut algorithm. Cheng et al. [23] introduced a global contrast-based method for detecting regions by calculating the global contrast of each region in the image. Although these techniques may capture salient regions in an image to some extent, they often struggle with complex backgrounds and multiscale targets. Chang et al. [24] proposed a hybrid defect detection method for identifying and detecting defects in compact camera lenses. The method combines a circular Hough transform, a weighted Sobel filter, and polar coordinate transformation to locate and inspect circular areas within the lens and applies a support vector machine classifier to accurately identify real defects.
- Deep-learning-based detectors utilize deep neural networks, specifically convolutional neural networks, trained on large-scale datasets to automatically acquire high-level features. These methods excel in complex background and multiscale target detection. In recent years, many novel deep learning models and frameworks have been proposed to improve the precision and robustness of models on object detection tasks. For example, Wang et al. [25] proposed a deep learning method for target prediction using image-level supervision, where features are automatically extracted from images through network learning. Lin et al. [26] proposed a lightweight network for the target detection of optical remote sensing images, which achieves accurate detection of targets through the fusion of multiscale context extraction and attention mechanisms, and the model is of moderate size, suitable for deployment on resource constrained devices. Fang et al. [27] proposed an uncertainty-aware deep network. The network aims to solve the uncertainty problem of deep-learning-based models in predicting the probability of contour pixels around targets.
In this paper, we propose a novel deep learning method called S3D-SOD based on a pyramid vision transformer. S3D-SOD uses residual channel–spatial attention mechanisms and residual self-attention to capture a richer set of spatial location details, thereby enhancing feature representation.
2.2. Attention Mechanism
In recent years, attention mechanisms have been widely used in computer vision tasks including salient target detection [28,29], image classification [30,31], and semantic detection [32,33]. These attention mechanism enables neural networks to focus on key parts of the input data, thereby improving the precision and efficiency of feature extraction and enhancing the model’s ability to process complex information. Conventional attention can be roughly grouped into three categories: channel attention, spatial attention, and self-attention [34].
The channel attention mechanism analyzes the feature responses across different channels, thereby identifying and emphasizing the features that are most important for the current task, whereas the spatial attention mechanism focuses on important spatial regions within the image, helping the model to capture and understand the details of these areas more accurately. By combining channel attention and spatial attention, the overall performance of the network is improved, enabling it to more effectively understand and process complex visual information. Zhong et al. [35] proposed the CSAM module, which enhances target features by cascading channel attention and spatial attention, solving the problem of small target information loss during the downsampling process. Feng et al. [36] proposed the PAMSNet, which uses pyramid attention and channel–spatial attention modules to enhance the network’s feature extraction capability. Li et al. [37] proposed ATCrack, which introduces channel–spatial attention to enhance the extraction of crack features and suppress background noise.
The self-attention mechanism tries to extract rich semantic information by considering long-range dependencies between tokens and thus enhance the feature representation capability of the model, enabling it to be more efficient and accurate in processing complex visual tasks. For example, Wu et al. [38] proposed a neural network, which utilizes a self-attention mechanism to improve image quality compared to traditional real-valued artificial neural networks based on convolutional neural networks. Zhou et al. [39] proposed a novel transformer detection model called GDALR for surface defect detection in industrial settings. This model employs a Dual-Attention Transformer as the backbone network, replacing traditional convolutional blocks with new self-attention blocks in the Spatial Reduction Attention module, thereby establishing a global view for each layer.
We designed a residual channel–spatial attention (RCSA) module to extract the details of strip surface defects and propose a residual self-attention block (RSAB) to capture semantic long dependencies of high-level features so as to uncover potential saliency information and improve model performance.
3. Methods
3.1. Overall Architecture
The architecture of our S3D-SOD is shown in Figure 1. In the encoder stage, we adopt the advanced pre-training model PVTv2 as the backbone, which efficiently extracts rich feature maps on multiple levels and lays a solid foundation for subsequent processing. In order to further enhance the feature extraction, we designed residual channel–spatial attention (RCSA) blocks and apply the blocks to low-level features for extracting the details of strip surface defects, thereby enhancing the encoder features and accelerating the convergence of the model. In addition, we designed a residual self-attention block (RSAB) to explore semantic long dependencies of high-level features. Here, both RCSA and RSAB incorporate a residual structure to solve the gradient problem in deep network training to ensure the training stability, thereby improving the expressive ability of the feature map and providing richer and more accurate feature information for the subsequent network layers. In the decoder stage, a simple residual fusion block with an upsampling operation is proposed to achieve the fusion and interaction of feature information between different layers. Specifically, the block combines the spatial information of high resolution and the semantic information of deep features by upsampling the high-level features and fusing them with the low-level features. In addition, the introduction of the upsampling block and the residual structure ensures the preservation of the original features and reduces the problems of information loss and gradient vanishing. This design enables the decoder not only to gradually recover the resolution of the input image but also to effectively combine different levels of features and ultimately generate fine-grained and semantically rich detection results. Compared with the traditional decoder structure, the decoder block achieves a better balance between accuracy and efficiency, allowing the model to achieve better performance in steel defect detection.
Figure 1.
The framework of our S3D-SOD.
3.2. Encoder Network
In steel defect detection, many factors, including noise interference, the complexity of textures, and the diversity of defect types, influence the detection precision. PVTv2 employs multiscale feature fusion technology to significantly enhance the recognition efficiency of complex textures and diverse defect patterns. Additionally, PVTv2 is specifically optimized to combat noise interference, thereby enhancing the model’s robustness. These improvements endow PVTv2 with high precision and strong stability for detecting various types of defects, making it an ideal foundational network architecture for steel defect detection. Additionally, by integrating the residual structure with channel attention, spatial attention, and self-attention, we designed new residual channel–spatial attention and residual self-attention modules, enhancing the model’s ability to capture key features. This fusion strategy effectively strengthens the recognition of critical defect areas on steel surfaces, thereby improving the model’s precision and robustness in the detection of complex steel surfaces.
3.2.1. Residual Self-Attention Block
Self-attention mechanisms play a significant role in research within the fields of image processing and computer vision, thereby enhancing the model’s ability to detect steel defects with complex characteristics in images. We propose a novel residual self-attention block (RSAB) that effectively captures global feature dependencies, thereby enhancing the model’s ability to detect steel defects with complex characteristics in images. As shown in Figure 2, the RSAB consists of three parallel branches and one residual join branch, aiming to extract the interaction information of the input tensor x in multiple dimensions. The attention weight matrix is defined as
where ⊗ indicates the matrix multiplication, C and s represent the number of channels and the scale factor, and and are the query and the key generated by convolutional operations with compression ratio r for dimensionality reduction. The weight matrix is then used to weight the output feature maps, which are subsequently processed through another convolution layer and added to the original input to produce the final output. Formally,
where ⊕ represents the element-wise addition.
Figure 2.
Architectural diagram of RSAB.
3.2.2. Residual Channel–Spatial Attention
The residual structure addresses the gradient vanishing problem in deep networks by introducing residual connections, whereas the attention mechanism captures critical information of the strip steel defects by focusing on important channels and spatial positions, thereby improving the model’s training stability and performance in the steel defect detection task. We designed a new residual channel–spatial attention (RCSA) block that combines channel–spatial attention with residual connections. Figure 3 shows the architecture of RCSA.
Figure 3.
Architectural diagram of RCSA.
Channel Attention: The channel attention (CA) block helps the model focus on key channels. Figure 3 (left) shows the structure of CA. The input features are first subjected to adaptive max pooling (AMP) to aggregate all channels of the feature map into a vector, representing the global information of each channel. This vector is then processed by two convolutional layers, followed by a ReLU activation function, and further refined through a Sigmoid function to generate a weight coefficient for each channel. Formally,
where is the Sigmoid function. Then, we use the weight vector to multiply the feature matrix x to guide the generation of a new feature matrix .
Spatial Attention: The spatial attention (SA) mechanism enhances the model’s focus on important regions within the image. The input features is first subjected to an adaptive max pooling operation to aggregate spatial information into a single-channel feature map. This feature map is passed through a standard convolutional layer followed by a Sigmoid activation to generate the spatial attention map . Formally,
Then, we use to adjust by element-wise multiplication. Formally,
Residual Connection: By introducing a residual connection, the original input feature is added to the feature processed by the channel and spatial attention modules to generate the final output feature map y. Formally,
The introduction of residual connections ensures stable information flow, reducing information loss during training and improving the model’s performance in handling complex defect patterns. This integrated design significantly boosts the model’s performance in steel defect detection, especially in handling subtle defects and complex textures, leading to improved detection accuracy and robustness.
3.3. Decoder Network
In the field of deep learning, continuous innovation in feature extraction and feature fusion techniques has provided strong support for enhancing model performance. This paper proposes a simple decoder block and an upsampling block for the decoder network, as shown in Figure 1. These two components work together to achieve feature enhancement and improve the robustness of our S3D-SOD.
3.3.1. Up Block
The Up Block (UB) enhances the resolution and feature representation of the feature map by combining upsampling and residual blocks. As shown in Figure 1 (bottom right), the Up Block first employs bilinear interpolation to scale the height and width of the feature maps, aligning them with the dimensions of the original input image, thereby recovering detailed information. Then, a residual block is used to enhance the feature expression of the defects, as shown in the inner of the Up Block (Figure 1 (bottom right)). Subsequently, a residual block is used to enhance the feature expression of defects, which includes a residual connection, allowing the network to learn more powerful representations. The advantage of this design is that it utilizes upsampling layers to gradually restore high-resolution details, thereby enhancing the performance of the decoder. At the same time, the residual block can effectively capture complex features, thereby improving the model’s stability and reliability in various environments. In summary, the UP block, through the integration of upsampling layers and residual blocks, enhances the resolution and feature representation of the feature map, thereby laying a solid foundation for high-quality steel image detection.
3.3.2. Decoder Block
The decoder block (DB) first performs bilinear upsampling on high-level features, doubling the spatial dimensions to recover more detailed semantic information, as shown in Figure 1 (right-upper). Then, the upsampled features are connected with low-level features from the encoder. Through multilayer upsampling and feature fusion, the decoder gradually restores high-resolution outputs. Subsequently, the concatenated feature maps are processed through a residual block to learn more powerful semantic features, thereby facilitating the generation of accurate detection masks. Residual blocks alleviate the problem of vanishing gradients by introducing identity mappings. This approach is highly effective in deep learning models, especially for semantic detection tasks, since it allows detailed information from the encoder to be transferred to the decoder, preserving high-resolution features, as discussed in Section 3.3.1. By progressively reconstructing high-resolution outputs through multi-layer upsampling and feature fusion, the decoder ultimately generates fine and accurate detection masks, improving the model’s detection performance.
3.4. Loss Function
For the proposed S3D-SOD, we adopt a combination of fusion loss for training. The fusion loss consisting of the Binary Cross Entropy (BCE) loss, Structural Similarity Index (SSIM) loss, and Intersection over Union (IOU) loss is used to guide the network to learn rich boundary and detail information. Formally, the proposed loss function is defined as
where , , and denote the BCE, SSIM, and IOU losses, respectively. BCE loss is commonly used for binary classification tasks and is defined as
where G is the ground truth with pixel value , and P is the corresponding predicted probability. The SSIM loss was originally proposed to capture the structural information of images by measuring the similarity between the images. Let and be the pixel values of the predicted probability map S and the ground truth G, respectively. The SSIM is defined as
where , and , are the mean and variance of a and b, respectively, and is the corresponding covariance. and are often set to and to avoid dividing by zero. The IoU loss is defined as follows:
where M represents the predicted detection mask.
4. Experiment and Results
4.1. Experimental Setup
We implemented our S3D-SOD using the PyTorch framework version 2.3.1 and conducted experiments on a system equipped with an NVIDIA-535 GPU (with 12 GB of memory). NVIDIA, a world-leading GPU (Graphics Processing Unit) manufacturer headquartered in Santa Clara, CA, USA, provided the GPU used in our experiments. The parameters of the encoder were initialized using PVTv2 [16] trained on ImageNet, while the remaining parameters were initialized with the default settings in PyTorch. Adam was chosen as the optimizer, with an initial learning rate set to , and the batch size was set to 8, with all other parameters kept at their default values. The training process was conducted over 600 epochs. Our code is available at https://github.com/hpguo1982/S3D-SOD accessed on 2 October 2024.
4.1.1. Datasets
To evaluate the performance of the proposed S3D-SOD method, we conducted experiments on the SD-saliency-900 dataset, a well-established benchmark for strip steel surface defect detection [40]. This dataset contains 900 cropped images with three types of defects: inclusions, patches, and scratches, as shown in Figure 4, and each image is associated with a pixel-level label of size 200 × 200. The SD-saliency-900 dataset is divided into 540 images for the training set and 360 images for the testing set. During the training phase, each image was resized to pixels and subsequently normalized using the Z-score method. In the testing phase, each image was adjusted to pixels, and the corresponding predicted saliency map was scaled to a resolution of for evaluation using bilinear interpolation.
Figure 4.
Three defects on SD-saliency-900.
4.1.2. Evaluation Metrics
To evaluate the performance of our S3D-SOD, several metrics were used, including [41], S-measure () [42], weighted F-measure (w-), Adp-Fmeasure (), Max-Fmeasure (), Mean-Fmeasure () [43], Adp-Emeasure (), Mean-Emeasure (), and Max-Emeasure () [44]. The MAE is a commonly used evaluation indicator to measure the average absolute difference between predicted maps P and the ground truth G, defined as
The S-measure is used to assess the structural similarity of image detection results, indicating the degree of structural consistency between the detection results and the true detection. We adopt mean S-measure as our evaluation metric. The S-measure is defined as
where represents the structural similarity of objects in the detection result, represents the structural similarity of regions in the detection result, and and present the weight coefficient, which is used to balance the contribution of different parts to the overall structural similarity.
Weighted F-measure, Max-Fmeasure, Mean-Fmeasure, and Adp-Fmeasure all comprehensively consider the accuracy and recall of salience detection results. Weighted F-measure reflects the performance of certain key areas by assigning different weights to different regions. Max-Fmeasure reflects the model’s best performance across all threshold values. In contrast, Mean-Fmeasure provides an overall evaluation of the model’s performance at various thresholds. Unlike fixed thresholds, Adp-Fmeasure uses adaptive thresholds, which can better accommodate changes in the data, and they are formulated as
where is a parameter used to adjust the relative importance of and , and different values of can represent weighted F-measure, Max-Fmeasure, Mean-Fmeasure, and Adp-Fmeasure.
Adp-Emeasure, Mean-Emeasure, and Max-Emeasure are used to evaluate the similarity or matching degree between the predicted saliency map and the actual image. Max-Emeasure emphasizes the model’s visual consistency, particularly in region prediction. Mean-Emeasure reflects the model’s average performance in overall similarity across different thresholds. Meanwhile, Adp-Emeasure, with its adaptive thresholds, is better suited to accommodate specific data distributions. The formulas are proposed as follows:
where represents the enhanced alignment matrix, and different values of can represent Adp-Emeasure, Mean-Emeasure, and Max-Emeasure.
4.2. Comparison with State-of-the-Art Methods
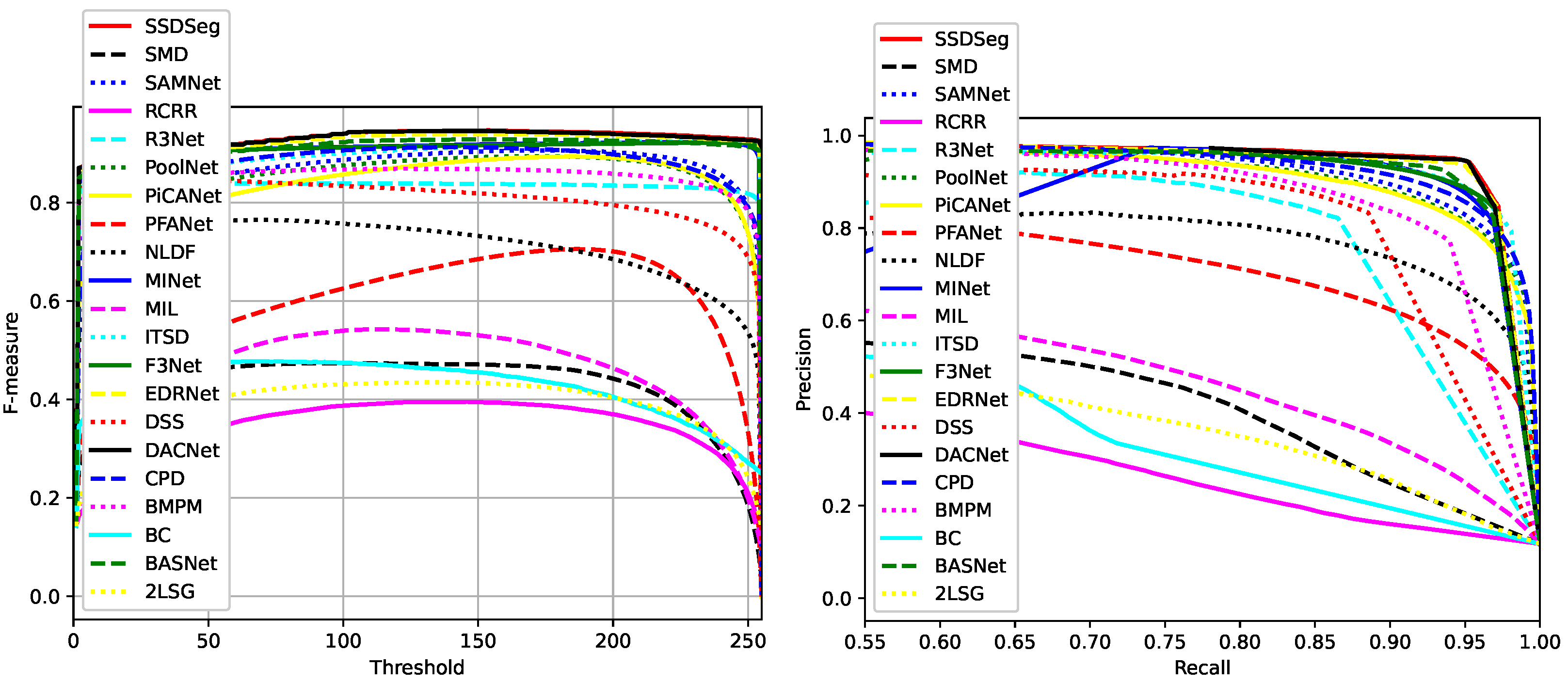
In order to further validate the effectiveness and robustness of our S3D-SOD for the surface defect detection on strip steel, we compared S3D-SOD with 16 state-of-the-art detection methods, i.e., 2LSG [45], BC [46], SMD [47], MIL [48], PFANet [49], NLDF [50], DSS [51], R3Net [52], BMPM [53], PoolNet [54], PiCANet [55], CPD [56], BASNet [57], ITSD [58], F3Net [59], RCRR [60], MINet [61], SAMNet [62], DACNet [63], and EDRNet [64]. To ensure fairness in the comparison, the source code or executables provided by the authors of each method were used, and all comparative models were retrained on the same training set. Additionally, all results were resized to match the original image sizes to ensure consistent and comparable evaluation. Figure 5 and Table 1 illustrate the performance of S3D-SOD across various evaluation metrics, highlighting its effectiveness in detecting strip surface defects from multiple angles.
Figure 5.
Quantitative evaluation of different models on SD-saliency-900.
Table 1.
The experimental results compare the performance of different methods in terms of MAE, SM, , and , with the best result in each column highlighted in bold. Note: ↑ and ↓ indicate that larger is better and smaller is better, respectively.
As shown in Figure 5, our S3D-SOD performed the best compared to the other 16 state-of-the-art models. In particular, the precision–recall curve of S3D-SOD was closest to the coordinate (1, 1), and its F-measure curve covered the curves of the other models. Furthermore, Figure 5 shows that S3D-SOD possessed excellent robustness. Compared with recently published models such as DACNet, F3Net, MINet, and EDRNet, our model still performed better. These results strongly confirmed the effectiveness and robustness of S3D-SOD.
Table 1 displays the quantitative results of different models in terms of MAE, SM, F-measure, E-measure, and parameters. As shown in Table 1, our S3D-SOD achieved the best performance comparing to other models. Specifically, compared to BASNet, S3D-SOD improved SM, , and by 1.0% (2.05%), 2.45% (2.4%), and 0.09% (0.98%), respectively, while reducing MAE by 0.1% (0.24%).
4.3. Visualization Analysis
Figure 6 illustrates the visualization of our S3D-SOD compared to other state-of-the-art methods across various images. It was evident that our S3D-SOD, shown in the last column of Figure 6, delivered the most accurate defect detection results, fully and precisely segmenting the defect areas. Specifically, for the top three rows of images with low contrast between defect areas and the background, some models erroneously highlighted background regions, while others produced incomplete defect detection’s results. In contrast, S3D-SOD accurately and comprehensively segmented the defect areas without incorporating any background information. In the middle three rows of images, which displayed defects with fine details, some models yielded detections with blurred boundaries, while our model produced results with clear and well-defined boundaries. Finally, the existing models produced subpar saliency maps for the bottom three rows of images, which featured challenging scenes with intricate backgrounds. These maps often exhibited blurred edges and inaccurately highlighted target areas. In contrast, S3D-SOD successfully identified defect regions with precision. Overall, the proposed S3D-SOD accomplished comprehensive detection of defect areas across diverse scenarios, further confirming its efficacy in defect detection tasks.
Figure 6.
Visualization comparison of different models on SD-saliency-900. (a) Input images, (b) ground truth, (c) RCRR, (d) 2LSG, (e) BC, (f) SMD, (g) MIL, (h) PFANet, (i) NLDF, (j) DSS, (k) R3Net, (l) BMPM, (m) PoolNet, (n) PiCANet, (o) CPD, (p) BASNet, (q) SAMNet, (r) ITSD, (s) F3Net, (t) MINet, (u) EDRNet, (v) DACNet, and (w) ours.
4.4. Ablation Study
We conducted a series of ablation experiments to evaluate the effectiveness of the key components in our S3D-SOD on the SD saliency-900 dataset, using MAE, SM, , and as evaluation metrics. The quantitative evaluation results were reported in Table 2, and the details of the experiments were as follows:
Table 2.
Ablation experiments to validate the effectiveness of key components of the proposed model using MAE, SM, , and . Note: ↑ and ↓ indicate that larger is better and smaller is better, respectively.
(1) Architecture Ablation: To verify the necessity of key components in S3D-SOD, we performed several experiments. The baseline network used PVTv2 to extract multiscale feature maps, followed by average pooling to generate salience maps, and fused the feature maps to obtain the final prediction. The first row in Table 2 shows the result of this baseline. We also provide results for five different variations based on the baseline network.
- Baseline: S3D-SOD uses the PVTv2 to extract multiscale feature maps, followed by average pooling layers to generate salience maps, and then fuses the feature maps to obtain the final prediction.
- DB: S3D-SOD uses a decoder block to decode the feature maps in order to generate the segment’s results.
- RCSA: S3D-SOD employs a RCSA to further extract channel and spatial information from the feature maps, followed by average pooling layers to generate final prediction.
- RCSA + RSAB: S3D-SOD employs RCSA and the RSAB to further extract channel, spatial, and self-attention information from the feature maps, followed by average pooling layers to generate final prediction.
- RCSA + RSAB + DB: S3D-SOD uses DB through residual blocks, multi-layer upsampling, and feature fusion, allowing the decoder to progressively restore high-resolution outputs.
- RCSA + RSAB + DB + UB: Our S3D-SOD with all components.
Table 2 shows the corresponding results of S3D-SOD with basic components. As shown in Table 2, S3D-SOD with all components, i.e., the RCSA, RSAB, decoder block, and Up Block, achieved the best performance in terms of in terms of MAE, SM, , and , verifying the effectiveness of these key components. It was worth noting that the performance improvement of S3D-SOD with RCSA is not significant and is even worse than the baseline network. This further demonstrated that the RSAB and RCSA are complementary modules that need to be considered together for optimal results.
(2) Loss Ablation: We conducted the following experiments to verify the rationality of the constructed hybrid loss. Starting with BCE loss as the base, we gradually added other losses to form the hybrid loss. Compared with the model trained with the BCE loss, the model trained with the hybrid loss (i.e., ours) obtains average improvements of 3.24%, 1.27%, 0.97%, and 1.7% over the baseline on MAE, SM, , and , respectively. This highlights the importance of the hybrid loss in improving the model’s performance across all metrics.
4.5. Robust Validation
Due to the SD-saliency-900 dataset containing only three categories of steel surface defects, it may not cover all possible defect scenarios. Furthermore, potential biases in data collection and labeling, such as a focus on images from particular production environments, could impact the model’s ability to generalize effectively to different industrial settings. To further demonstrate the effectiveness and robustness of the proposed S3D-SOD, we conducted detailed and rich experiments on the ESDIs-SOD dataset. Our training set contained 3600 images (1200 images per class). Since the dataset was not strictly divided into training and test sets, as in previous studies, we used the remaining 1200 images from the ESDIs-SOD dataset as the test set. We compared S3D-SOD with 10 state-of-the-art SOD methods. As shown in Table 3, our method achieved the best results on four evaluation metrics, namely, MAE, SM, , , and parameters, which strongly demonstrated the effectiveness and robustness of our method. The above results also show that the proposed S3D-SOD can handle the ESDI-SOD task well.
Table 3.
Quantitative and computational complexity comparisons with 10 state-of-the-art methods on ESDIs-SOD, with the best results in black bold. Note: ↑ and ↓ indicate that larger is better and smaller is better, respectively.
5. Conclusions
This paper introduces a novel detector, S3D-SOD, designed specifically for segmenting strip steel surface defects. S3D-SOD employs an encoder–decoder architecture to achieve this task effectively. In the encoding stage, we propose a residual self-attention block that captures semantic cues from high-level features, helping to locate and guide the low-level features. Additionally, we implement a general residual channel and spatial attention mechanisms for low-level features, allowing the model to adaptively focus on the crucial channels and spatial regions of high-resolution feature maps. This approach enhances the encoder features and accelerates model convergence. During the decoding stage, we present a straightforward residual decoder block (DB) equipped with an upsampling operation. This block facilitates the integration and interaction of feature information across different layers, ensuring effective detection of the defects.
S3D-SOD stands out from existing methods by integrating these modules, which work together to enhance feature extraction and improve the accuracy of surface defect detection. However, S3D-SOD may require significant computational resources, presenting a limitation in resource-constrained environments. Future research could focus on refining the attention mechanisms to enhance selectivity or locality, thereby reducing the computational overhead of processing the entire input space. Extensive experiments on the SD saliency-900 dataset demonstrate that S3D-SOD outperforms current state-of-the-art methods, providing a significant solution for accurate industrial defect detection.
Author Contributions
Y.S.: Methodology, original draft, writing; S.G.: Formal analysis, resources, writing; H.G.: Review and editing, visualization; C.Z.: Review and editing, supervision; L.Z.: Review and editing, resources. All authors have read and agreed to the published version of the manuscript.
Funding
This research was funded in part by the Key Scientific Research Projects of Colleges and Universities in Henan Province (25B520004), in part by the Postgraduate Education Reform and Quality Improvement Project of Henan Province (YJS2023SZ23), in part by the Science and Technology Plan Project of Henan Province (242102210092), in part by the Teacher Education Curriculum Reform Projects of Henan Province (2024-JSJYZD-008), and in part by the Nanhu Scholars Program for Young Scholars of XYNU.
Data Availability Statement
Our code and experimental results are available at https://github.com/hpguo1982/S3D-SOD accessed on 2 October 2024.
Conflicts of Interest
The authors declare no conflicts of interest.
References
- Chen, H.; Du, Y.; Fu, Y.; Zhu, J.; Zeng, H. DCAM-Net: A Rapid Detection Network for Strip Steel Surface Defects Based on Deformable Convolution and Attention Mechanism. IEEE Trans. Instrum. Meas. 2023, 72, 5005312. [Google Scholar] [CrossRef]
- Li, G.; Bai, Z.; Liu, Z.; Zhang, X.; Ling, H. Salient object detection in optical remote sensing images driven by transformer. IEEE Trans. Image Process. 2023, 32, 5257–5269. [Google Scholar] [CrossRef] [PubMed]
- Feng, H.; Song, K.; Cui, W.; Zhang, Y.; Yan, Y. Cross Position Aggregation Network for Few-Shot Strip Steel Surface Defect Segmentation. IEEE Trans. Instrum. Meas. 2023, 72, 5007410. [Google Scholar] [CrossRef]
- Cui, W.; Song, K.; Feng, H.; Jia, X.; Liu, S.; Yan, Y. Autocorrelation Aware Aggregation Network for Salient Object Detection of Strip Steel Surface Defects. IEEE Trans. Instrum. Meas. 2023, 72, 5019412. [Google Scholar] [CrossRef]
- Zhang, M.; Sun, W.; Wang, J. Steel Surface Defect Detection Based on Adaptive Threshold Gray Transformation. In Proceedings of the 2021 IEEE International Conference on Power, Intelligent Computing and Systems (ICPICS), Shenyang, China, 29–31 July 2021; IEEE: New York, NY, USA, 2021; pp. 280–283. [Google Scholar]
- Achanta, R.; Shaji, A.; Smith, K.; Lucchi, A.; Fua, P.; Süsstrunk, S. SLIC Superpixels Compared to State-of-the-Art Superpixel Methods. IEEE Trans. Pattern Anal. Mach. Intell. 2012, 34, 2274–2282. [Google Scholar] [CrossRef]
- Ma, N.; Gao, X.; Wang, C.; Zhang, Y.; You, D.; Zhang, N. Influence of hysteresis effect on contrast of welding defects profile in magneto-optical image. IEEE Sens. J. 2020, 20, 15034–15042. [Google Scholar] [CrossRef]
- Umar, S.; Qureshi, M.S.; Nawaz, M.U. Thermal Imaging and AI in Solar Panel Defect Identification. Int. J. Adv. Eng. Technol. Innov. 2024, 1, 73–95. [Google Scholar]
- Fang, X.; Luo, Q.; Zhou, B.; Li, C.; Tian, L. Research Progress of Automated Visual Surface Defect Detection for Industrial Metal Planar Materials. Sensors 2020, 20, 5136. [Google Scholar] [CrossRef]
- Zhao, B.; Chen, Y.; Jia, X.; Ma, T. Steel Surface Defect Detection Algorithm in Complex Background Scenarios. Measurement 2024, 237, 115189. [Google Scholar] [CrossRef]
- Dong, H.; Song, K.; He, Y.; Xu, J.; Yan, Y.; Meng, Q. PGA-Net: Pyramid Feature Fusion and Global Context Attention Network for Automated Surface Defect Detection. IEEE Trans. Ind. Inform. 2019, 16, 7448–7458. [Google Scholar] [CrossRef]
- Amirgan, B.; Erener, A. Semantic Segmentation of Satellite Images with Different Building Types Using Deep Learning Methods. Remote Sens. Appl. Soc. Environ. 2024, 34, 101176. [Google Scholar] [CrossRef]
- Xia, X.; Wang, S.; Liu, S.; Ye, L.; Yang, B. Surface Defect Detection Using U-net and transfer learning. In Proceedings of the 2020 13th International Conference on Intelligent Computation Technology and Automation (ICICTA), Xi’an, China, 24–25 October 2020; IEEE: New York, NY, USA, 2020; pp. 249–253. [Google Scholar]
- Tan, M.; Le, Q. EfficientNet: Rethinking Model Scaling for Convolutional Neural Networks. In Proceedings of the International Conference on Machine Learning, Long Beach, CA, USA, 9–15 June 2019; PMLR: Long Beach, CA, USA, 2019; pp. 6105–6114. [Google Scholar]
- Li, K.; Ding, G.; Wang, H. L-FCN: A Lightweight Fully Convolutional Network for Biomedical Semantic Segmentation. In Proceedings of the 2018 IEEE International Conference on Bioinformatics and Biomedicine (BIBM), Madrid, Spain, 3–6 December 2018; IEEE: New York, NY, USA, 2018; pp. 2363–2367. [Google Scholar]
- Wang, W.; Xie, E.; Li, X.; Fan, D.P.; Song, K.; Liang, D.; Lu, T.; Luo, P.; Shao, L. PVT v2: Improved Baselines with Pyramid Vision Transformer. Comput. Vis. Media 2022, 8, 415–424. [Google Scholar] [CrossRef]
- He, K.; Zhang, X.; Ren, S.; Sun, J. Deep Residual Learning for Image Recognition. In Proceedings of the IEEE Conference on Computer Vision and Pattern Recognition, Las Vegas, NV, USA, 27–30 June 2016; pp. 770–778. [Google Scholar]
- Liu, Z.; Lin, Y.; Cao, Y.; Hu, H.; Wei, Y.; Zhang, Z.; Lin, S.; Guo, B. Swin Transformer: Hierarchical Vision Transformer Using Shifted Windows. In Proceedings of the IEEE/CVF International Conference on Computer Vision, Montreal, QC, Canada, 10–17 October 2021; pp. 10012–10022. [Google Scholar]
- Deng, J.; Dong, W.; Socher, R.; Li, L.J.; Li, K.; Fei-Fei, L. ImageNet: A Large-Scale Hierarchical Image Database. In Proceedings of the 2009 IEEE Conference on Computer Vision and Pattern Recognition, Miami, FL, USA, 20–25 June 2009; IEEE: New York, NY, USA, 2009; pp. 248–255. [Google Scholar]
- Rodríguez, R.; Curado, M.; Rodríguez, F.D.; Vicent, J.F. Influential Yield Strength of Steel Materials with Return Random Walk Gravity Centrality. Mathematics 2024, 12, 439. [Google Scholar] [CrossRef]
- Murray, N.; Vanrell, M.; Otazu, X.; Parraga, C.A. Saliency Estimation Using a Non-Parametric Low-Level Vision Model. In Proceedings of the CVPR 2011, Colorado Springs, CO, USA, 20–25 June 2011; IEEE: New York, NY, USA, 2011; pp. 433–440. [Google Scholar]
- Harel, J.; Koch, C.; Perona, P. Graph-Based Visual Saliency. Adv. Neural Inf. Process. Syst. 2006, 19, 433–440. [Google Scholar]
- Cheng, M.M.; Mitra, N.J.; Huang, X.; Torr, P.H.; Hu, S.M. Global Contrast Based Salient Region Detection. IEEE Trans. Pattern Anal. Mach. Intell. 2014, 37, 569–582. [Google Scholar] [CrossRef]
- Chang, C.F.; Wu, J.L.; Chen, K.J.; Hsu, M.C. A hybrid defect detection method for compact camera lens. Adv. Mech. Eng. 2017, 9, 1687814017722949. [Google Scholar] [CrossRef]
- Wang, L.; Lu, H.; Wang, Y.; Feng, M.; Wang, D.; Yin, B.; Ruan, X. Learning to Detect Salient Objects With Image-Level Supervision. In Proceedings of the IEEE Conference on Computer Vision and Pattern Recognition, Honolulu, HI, USA, 21–26 July 2017; pp. 136–145. [Google Scholar]
- Lin, Y.; Sun, H.; Liu, N.; Bian, Y.; Cen, J.; Zhou, H. A Lightweight Multi-Scale Context Network for Salient Object Detection in Optical Remote Sensing Images. In Proceedings of the 2022 26th International Conference on Pattern Recognition (ICPR), Montreal, QC, Canada, 21–25 August 2022; IEEE: New York, NY, USA, 2022; pp. 238–244. [Google Scholar]
- Fang, Y.; Zhang, H.; Yan, J.; Jiang, W.; Liu, Y. UDNet: Uncertainty-Aware Deep Network for Salient Object Detection. Pattern Recognit. 2023, 134, 109099. [Google Scholar] [CrossRef]
- Li, J.; Pan, Z.; Liu, Q.; Wang, Z. Stacked U-Shape Network With Channel-Wise Attention for Salient Object Detection. IEEE Trans. Multimed. 2020, 23, 1397–1409. [Google Scholar] [CrossRef]
- Li, G.; Bai, Z.; Liu, Z. Texture-semantic collaboration network for ORSI salient object detection. IEEE Trans. Circuits Syst. II Express Briefs 2023, 71, 2464–2468. [Google Scholar] [CrossRef]
- Bhattacharjee, S.; Shanmugam, P.; Das, S. Attention-Guided Convolution Neural Network Assisted With Handcrafted Features for Ship Classification in Low-Resolution Sentinel-1 SAR Image Data. IEEE Access 2024, 12, 48668–48685. [Google Scholar] [CrossRef]
- Chen, F.; Ma, S.; Hao, J.; Liu, M.; Gu, Y.; Yi, Q.; Zhang, J.; Zhao, Y. Dual-Path and Multi-Scale Enhanced Attention Network for Retinal Diseases Classification Using Ultra-Wide-Field Images. IEEE Access 2023, 11, 45405–45415. [Google Scholar] [CrossRef]
- Zhou, Y.; Yang, Z.; Bai, X.; Li, C.; Wang, S.; Peng, G.; Li, G.; Wang, Q.; Chang, H. Semantic Segmentation of Surface Cracks in Urban Comprehensive Pipe Galleries Based on Global Attention. Sensors 2024, 24, 1005. [Google Scholar] [CrossRef] [PubMed]
- Zhou, T.; Wang, W. Cross-Image Pixel Contrasting for Semantic Segmentation. IEEE Trans. Pattern Anal. Mach. Intell. 2024. [Google Scholar] [CrossRef] [PubMed]
- Li, G.; Han, C.; Liu, Z. No-service rail surface defect segmentation via normalized attention and dual-scale interaction. IEEE Trans. Instrum. Meas. 2023, 46, 5398–5412. [Google Scholar] [CrossRef]
- Zhong, Y.; Shi, Z.; Zhang, Y.; Zhang, Y.; Li, H. CSAN-UNet: Channel Spatial Attention Nested UNet for Infrared Small Target Detection. Remote Sens. 2024, 16, 1894. [Google Scholar] [CrossRef]
- Feng, Y.; Zhu, X.; Zhang, X.; Li, Y.; Lu, H. PAMSNet: A Medical Image Segmentation Network Based on Spatial Pyramid and Attention Mechanism. Biomed. Signal Process. Control 2024, 94, 106285. [Google Scholar] [CrossRef]
- Li, Y.; Yu, M.; Wu, D.; Li, R.; Xu, K.; Cheng, L. Automatic Pixel-Level Detection Method for Concrete Crack with Channel-Spatial Attention Convolution Neural Network. Struct. Health Monit. 2023, 22, 1460–1477. [Google Scholar] [CrossRef]
- Wu, G.; Sun, Y.; Yin, L.; Song, Z.; Yu, W. High-Definition Image Transmission Through Dynamically Perturbed Multimode Fiber by a Self-Attention Based Neural Network. Opt. Lett. 2023, 48, 2764–2767. [Google Scholar] [CrossRef]
- Zhou, X.; Zhou, S.; Zhang, Y.; Ren, Z.; Jiang, Z.; Luo, H. GDALR: Global Dual Attention and Local Representations in transformer for surface defect detection. Measurement 2024, 229, 114398. [Google Scholar] [CrossRef]
- Song, G.; Song, K.; Yan, Y. Saliency Detection for Strip Steel Surface Defects Using Multiple Constraints and Improved Texture Features. Opt. Lasers Eng. 2020, 128, 106000. [Google Scholar] [CrossRef]
- Perazzi, F.; Krähenbühl, P.; Pritch, Y.; Hornung, A. Saliency Filters: Contrast-Based Filtering for Salient Region Detection. In Proceedings of the 2012 IEEE Conference on Computer Vision and Pattern Recognition, Providence, RI, USA, 16–21 June 2012; IEEE: New York, NY, USA, 2012; pp. 733–740. [Google Scholar]
- Cheng, M.M.; Fan, D.P. Structure-Measure: A New Way to Evaluate Foreground Maps. Int. J. Comput. Vis. 2021, 129, 2622–2638. [Google Scholar] [CrossRef]
- Achanta, R.; Hemami, S.; Estrada, F.; Susstrunk, S. Frequency-Tuned Salient Region Detection. In Proceedings of the 2009 IEEE Conference on Computer Vision and Pattern Recognition, Miami, FL, USA, 20–25 June 2009; IEEE: New York, NY, USA, 2009; pp. 1597–1604. [Google Scholar]
- Fan, D.P.; Gong, C.; Cao, Y.; Ren, B.; Cheng, M.M.; Borji, A. Enhanced-Alignment Measure for Binary Foreground Map Evaluation. arXiv 2018, arXiv:1805.10421. [Google Scholar]
- Zhou, L.; Yang, Z.; Zhou, Z.; Hu, D. Salient Region Detection Using Diffusion Process on a Two-Layer Sparse Graph. IEEE Trans. Image Process. 2017, 26, 5882–5894. [Google Scholar] [CrossRef] [PubMed]
- Zhu, W.; Liang, S.; Wei, Y.; Sun, J. Saliency Optimization From Robust Background Detection. In Proceedings of the IEEE Conference on Computer Vision and Pattern Recognition, Columbus, OH, USA, 23–28 June 2014; pp. 2814–2821. [Google Scholar]
- Peng, H.; Li, B.; Ling, H.; Hu, W.; Xiong, W.; Maybank, S.J. Salient Object Detection Via Structured Matrix Decomposition. IEEE Trans. Pattern Anal. Mach. Intell. 2016, 39, 818–832. [Google Scholar] [CrossRef]
- Huang, F.; Qi, J.; Lu, H.; Zhang, L.; Ruan, X. Salient Object Detection Via Multiple Instance Learning. IEEE Trans. Image Process. 2017, 26, 1911–1922. [Google Scholar] [CrossRef]
- Zhao, T.; Wu, X. Pyramid Feature Attention Network for Saliency Detection. In Proceedings of the IEEE/CVF Conference on Computer Vision and Pattern Recognition, Long Beach, CA, USA, 15–20 June 2019; pp. 3085–3094. [Google Scholar]
- Luo, Z.; Mishra, A.; Achkar, A.; Eichel, J.; Li, S.; Jodoin, P.M. Non-Local Deep Features for Salient Object Detection. In Proceedings of the IEEE Conference on Computer Vision and Pattern Recognition, Honolulu, HI, USA, 21–26 July 2017; pp. 6609–6617. [Google Scholar]
- Hou, Q.; Cheng, M.M.; Hu, X.; Borji, A.; Tu, Z.; Torr, P.H. Deeply Supervised Salient Object Detection With Short Connections. In Proceedings of the IEEE Conference on Computer Vision and Pattern Recognition, Honolulu, HI, USA, 21–26 July 2017; pp. 3203–3212. [Google Scholar]
- Deng, Z.; Hu, X.; Zhu, L.; Xu, X.; Qin, J.; Han, G.; Heng, P.A. R3Net: Recurrent Residual Refinement Network for Saliency Detection. In Proceedings of the 27th International Joint Conference on Artificial Intelligence, Stockholm, Sweden, 13–19 July 2018; AAAI Press: Menlo Park, CA, USA, 2018; Volume 684690. [Google Scholar]
- Zhang, L.; Dai, J.; Lu, H.; He, Y.; Wang, G. A Bi-Directional Message Passing Model for Salient Object Detection. In Proceedings of the IEEE Conference on Computer Vision and Pattern Recognition, Salt Lake City, UT, USA, 18–23 June 2018; pp. 1741–1750. [Google Scholar]
- Liu, J.J.; Hou, Q.; Cheng, M.M.; Feng, J.; Jiang, J. A Simple Pooling-Based Design for Real-Time Salient Object Detection. In Proceedings of the IEEE/CVF Conference on Computer Vision and Pattern Recognition, Long Beach, CA, USA, 15–20 June 2019; pp. 3917–3926. [Google Scholar]
- Liu, N.; Han, J.; Yang, M.H. PiCANet: Learning Pixel-Wise Contextual Attention for Saliency Detection. In Proceedings of the IEEE Conference on Computer Vision and Pattern Recognition, Salt Lake City, UT, USA, 18–23 June 2018; pp. 3089–3098. [Google Scholar]
- Wu, Z.; Su, L.; Huang, Q. Cascaded Partial Decoder for Fast and Accurate Salient Object Detection. In Proceedings of the IEEE/CVF Conference on Computer Vision and Pattern Recognition, Long Beach, CA, USA, 15–20 June 2019; pp. 3907–3916. [Google Scholar]
- Qin, X.; Zhang, Z.; Huang, C.; Gao, C.; Dehghan, M.; Jagersand, M. BASNet: Boundary-Aware Salient Object Detection. In Proceedings of the IEEE/CVF Conference on Computer Vision and Pattern Recognition, Long Beach, CA, USA, 15–20 June 2019; pp. 7479–7489. [Google Scholar]
- Zhou, H.; Xie, X.; Lai, J.H.; Chen, Z.; Yang, L. Interactive Two-Stream Decoder for Accurate and Fast Saliency Detection. In Proceedings of the IEEE/CVF Conference on Computer Vision and Pattern Recognition, Seattle, WA, USA, 14–19 June 2020; pp. 9141–9150. [Google Scholar]
- Wei, J.; Wang, S.; Huang, Q. F3Net: Fusion, Feedback, and Focus for Salient Object Detection. In Proceedings of the AAAI Conference on Artificial Intelligence, New York, NY, USA, 7–12 February 2020; Volume 34, pp. 12321–12328. [Google Scholar]
- Yuan, Y.; Li, C.; Kim, J.; Cai, W.; Feng, D.D. Reversion Correction and Regularized Random Walk Ranking for Saliency Detection. IEEE Trans. Image Process. 2017, 27, 1311–1322. [Google Scholar] [CrossRef]
- Pang, Y.; Zhao, X.; Zhang, L.; Lu, H. Multi-Scale Interactive Network for Salient Object Detection. In Proceedings of the IEEE/CVF Conference on Computer Vision and Pattern Recognition, Seattle, WA, USA, 14–19 June 2020; pp. 9413–9422. [Google Scholar]
- Liu, Y.; Zhang, X.Y.; Bian, J.W.; Zhang, L.; Cheng, M.M. SAMNet: Stereoscopically Attentive Multi-Scale Network for Lightweight Salient Object Detection. IEEE Trans. Image Process. 2021, 30, 3804–3814. [Google Scholar] [CrossRef]
- Zhou, X.; Fang, H.; Liu, Z.; Zheng, B.; Sun, Y.; Zhang, J.; Yan, C. Dense Attention-Guided Cascaded Network for Salient Object Detection of Strip Steel Surface Defects. IEEE Trans. Instrum. Meas. 2021, 71, 1–14. [Google Scholar] [CrossRef]
- Song, G.; Song, K.; Yan, Y. EDRNet: Encoder-Decoder Residual Network for Salient Object Detection of Strip Steel Surface Defects. IEEE Trans. Instrum. Meas. 2020, 69, 9709–9719. [Google Scholar] [CrossRef]
- Sun, Y.; Chen, G.; Zhou, T.; Zhang, Y.; Liu, N. Context-aware cross-level fusion network for camouflaged object detection. arXiv 2021, arXiv:2105.12555. [Google Scholar]
- GongyangLi, Z.; Bai, Z.; Lin, W.; Ling, H. Lightweight salient object detection in optical remote sensing images via feature correlation. IEEE Trans. Geosci. Remote Sens. 2022, 60, 5617712. [Google Scholar]
Disclaimer/Publisher’s Note: The statements, opinions and data contained in all publications are solely those of the individual author(s) and contributor(s) and not of MDPI and/or the editor(s). MDPI and/or the editor(s) disclaim responsibility for any injury to people or property resulting from any ideas, methods, instructions or products referred to in the content. |
© 2024 by the authors. Licensee MDPI, Basel, Switzerland. This article is an open access article distributed under the terms and conditions of the Creative Commons Attribution (CC BY) license (https://creativecommons.org/licenses/by/4.0/).





