Memoization in Model Checking for Safety Properties with Multi-Swarm Particle Swarm Optimization
Abstract
1. Introduction
2. Related Works
3. Background
3.1. Automata-Theoretic Model Checking
3.2. Particle Swarm Optimization
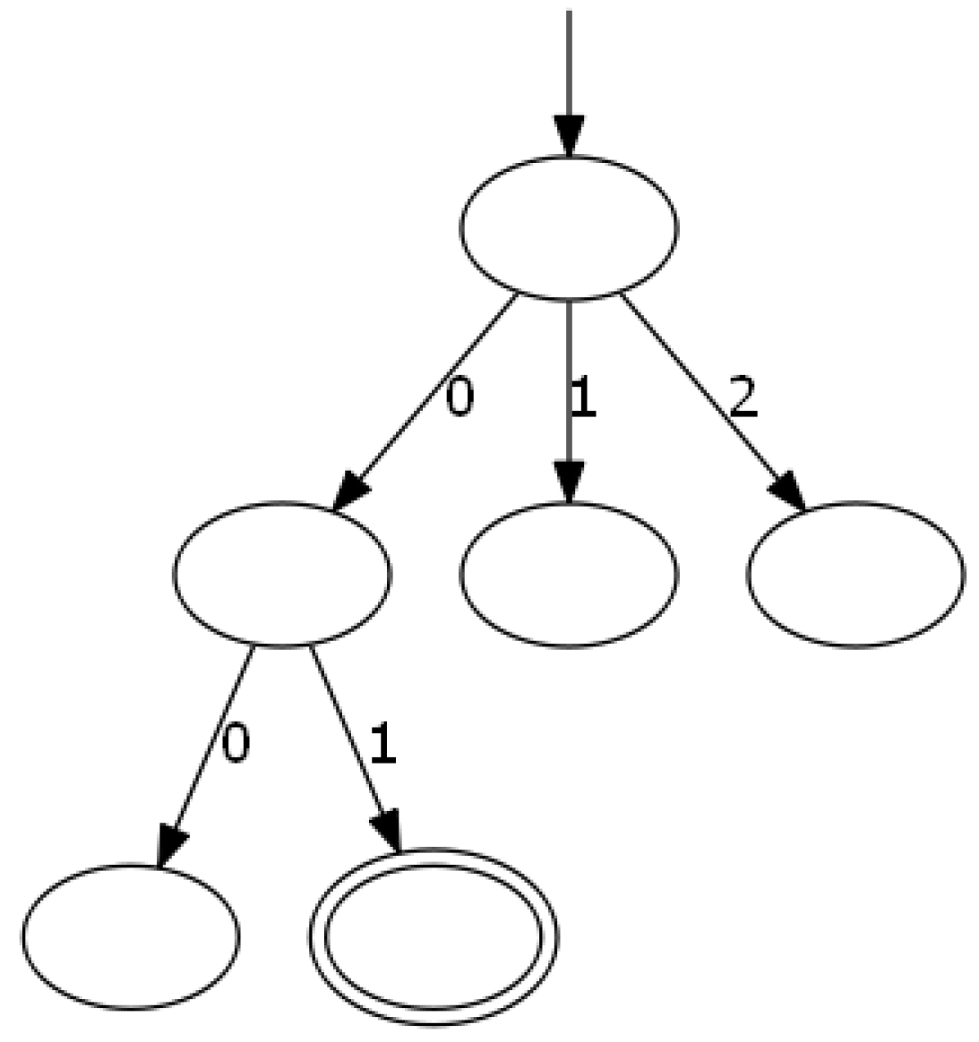
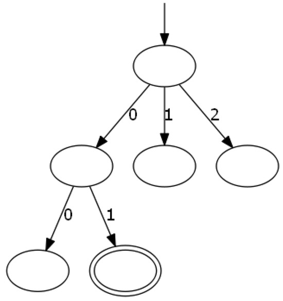
3.3. Path Representation
3.4. Safety Checking Based on Multi-Swarm PSO
- Initialization. As a first step, we set the values of PSO’s parameters and prepare the values necessary for computing Equation (3).
- Exploration. We search for error states in the intersection with swarms. An initial PSO swarm starts its exploration with its start state as the initial state of the state space. When a swarm reaches an unvisited state, which is a member of the adjacent state group of the swarm’s start state, we dynamically run a new PSO swarm for that group.
- Path Composition. If an error state in the state space is found, we return the shortest complete path as a counterexample. Otherwise, we conclude that the target model is likely to be error-free.
4. Proposed Memoization Strategy
4.1. Basic Idea
4.2. Modifying Path Representation
4.3. Definitions of Position Vector Summaries
5. Experiments
5.1. Prototype Implementation
5.2. Experimental Settings
5.3. Benchmark Description
5.3.1. Semaphore Benchmark
5.3.2. Random Graph Benchmark
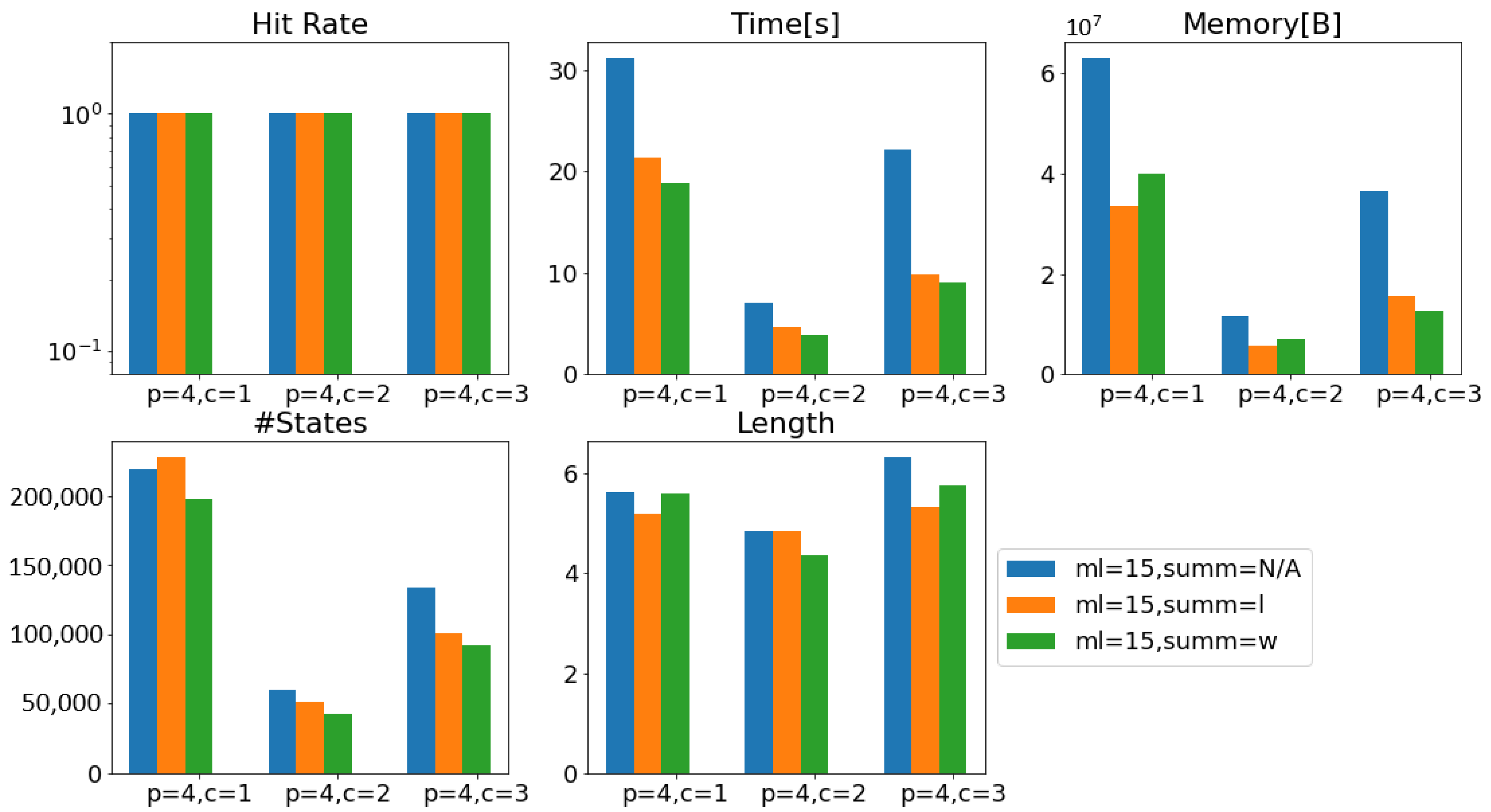
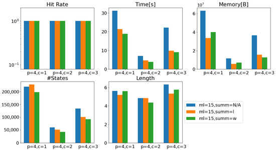
5.4. Results
5.4.1. Semaphore Benchmark
5.4.2. Random Graph Benchmark
5.5. Threats to Validity
6. Conclusions
Author Contributions
Funding
Data Availability Statement
Conflicts of Interest
References
- Tamai, T. Social Impact of Information System Failures. IEEE Comput. 2009, 42, 58–65. [Google Scholar] [CrossRef]
- Tamai, T. Software Engineering View of a Large-scale System Failure and the Following Lawsuit. In Proceedings of the Second International Workshop on Software Engineering Research and Industrial Practice, Florence, Italy, 16–24 May 2015; pp. 18–24. [Google Scholar] [CrossRef]
- Clarke, E.M.; Emerson, E.A. Design and Synthesis of Synchronization Skeletons Using Branching-Time Temporal Logic. In Proceedings of the Logic of Programs, Workshop, Yorktown Heights, NY, USA, 4–6 May 1981; pp. 52–71. [Google Scholar] [CrossRef]
- Clarke, E.M., Jr.; Grumberg, O.; Kroening, D.; Peled, D.; Veith, H. Model Checking, 2nd ed.; MIT Press: Cambridge, MA, USA, 2018. [Google Scholar]
- Peled, D.A. Formal Methods. In Handbook of Software Engineering; Cha, S., Taylor, R.N., Kang, K., Eds.; Springer International Publishing: Cham, Switzerland, 2019; pp. 193–222. [Google Scholar] [CrossRef]
- Lamport, L. Proving the Correctness of Multiprocess Programs. IEEE Trans. Softw. Eng. 1977, SE-3, 125–143. [Google Scholar] [CrossRef]
- Kumazawa, T.; Takimoto, M.; Kambayashi, Y. A Survey on the Applications of Swarm Intelligence to Software Verification. In Handbook of Research on Fireworks Algorithms and Swarm Intelligence; IGI Global: Hershey, PA, USA, 2020; pp. 376–398. [Google Scholar] [CrossRef]
- Kumazawa, T.; Takimoto, M.; Kambayashi, Y. Exploration Strategies for Model Checking with Ant Colony Optimization. In Proceedings of the Computational Collective Intelligence, Rhodes, Greece, 29 September–1 October 2021; Springer: Cham, Switzerland, 2021; pp. 264–276. [Google Scholar] [CrossRef]
- Harman, M.; Mansouri, S.A.; Zhang, Y. Search-based Software Engineering: Trends, Techniques and Applications. ACM Comput. Surv. 2012, 45, 11:1–11:61. [Google Scholar] [CrossRef]
- Kumazawa, T.; Takimoto, M.; Kambayashi, Y. A Safety Checking Algorithm with Multi-Swarm Particle Swarm Optimization. In Proceedings of the Genetic and Evolutionary Computation Conference Companion, New York, NY, USA, 3–19 July 2022; GECCO ’22. pp. 786–789. [Google Scholar] [CrossRef]
- Kennedy, J.; Eberhart, R. Particle Swarm Optimization. In Proceedings of the International Conference on Neural Networks, Perth, WA, Australia, 27 November–1 December 1995; pp. 1942–1948. [Google Scholar]
- Salimi, N.; Rafe, V.; Tabrizchi, H.; Mosavi, A. Fuzzy Particle Swarm Optimization Algorithm (NFPSO) for Reachability Analysis of Complex Software Systems. EasyChair 2020. [Google Scholar] [CrossRef]
- Freitas, D.; Lopes, L.G.; Morgado-Dias, F. Particle Swarm Optimisation: A Historical Review Up to the Current Developments. Entropy 2020, 22, 362. [Google Scholar] [CrossRef]
- Li, G.L.; Jing, S.Y.; Shen, Y.; Guo, B. Efficient Discrete Particle Swarm Optimization Algorithm for Process Mining from Event Logs. Int. J. Comput. Intell. Syst. 2022, 15, 21. [Google Scholar] [CrossRef]
- Shami, T.M.; El-Saleh, A.A.; Alswaitti, M.; Al-Tashi, Q.; Summakieh, M.A.; Mirjalili, S. Particle Swarm Optimization: A Comprehensive Survey. IEEE Access 2022, 10, 10031–10061. [Google Scholar] [CrossRef]
- Nayak, J.; Swapnarekha, H.; Naik, B.; Dhiman, G.; Vimal, S. 25 Years of Particle Swarm Optimization: Flourishing Voyage of Two Decades. Arch. Comput. Methods Eng. 2023, 30, 1663–1725. [Google Scholar] [CrossRef]
- Singh, N.; Chakrabarti, T.; Chakrabarti, P.; Margala, M.; Gupta, A.; Krishnan, S.B.; Unhelkar, B. A New PSO Technique Used for the Optimization of Multiobjective Economic Emission Dispatch. Electronics 2023, 12, 2960. [Google Scholar] [CrossRef]
- Zhou, Z.; Wang, L.; Wang, Y.; Zhou, X.; Tong, Y. Research on Active Disturbance Rejection Control with Parameter Tuning for Permanent Magnet Synchronous Motor Based on Improved PSO Algorithm. Electronics 2024, 13, 3436. [Google Scholar] [CrossRef]
- Ferreira, M.; Chicano, F.; Alba, E.; Gómez-Pulido, J.A. Detecting protocol errors using Particle Swarm Optimization with Java Pathfinder. In Proceedings of the High Performance Computing & Simulation Conference, Quebec City, QC, Canada, 9–11 June 2008; pp. 319–325. [Google Scholar]
- Potter, M.A.; De Jong, K.A. A cooperative coevolutionary approach to function optimization. In Proceedings of the Parallel Problem Solving from Nature—PPSN III, Jerusalem, Israel, 9–14 October 1994; Davidor, Y., Schwefel, H.P., Männer, R., Eds.; Springer: Berlin/Heidelberg, Germany, 1994; pp. 249–257. [Google Scholar] [CrossRef]
- van den Bergh, F.; Engelbrecht, A. A Cooperative Approach to Particle Swarm Optimization. IEEE Trans. Evol. Comput. 2004, 8, 225–239. [Google Scholar] [CrossRef]
- Jie, J.; Wang, W.; Liu, C.; Hou, B. Multi-swarm particle swarm optimization based on mixed search behavior. In Proceedings of the 2010 5th IEEE Conference on Industrial Electronics and Applications, Taichung, Taiwan, 15–17 June 2010; pp. 605–610. [Google Scholar] [CrossRef]
- Yang, J.; Zhu, H.; Wang, Y. An Orthogonal Multi-Swarm Cooperative PSO Algorithm with a Particle Trajectory Knowledge Base. Symmetry 2017, 9, 15. [Google Scholar] [CrossRef]
- Xia, X.; Gui, L.; Zhan, Z.H. A multi-swarm particle swarm optimization algorithm based on dynamical topology and purposeful detecting. Appl. Soft Comput. 2018, 67, 126–140. [Google Scholar] [CrossRef]
- Zhou, H.; Zhan, Z.H.; Yang, Z.X.; Wei, X. AMPSO: Artificial Multi-Swarm Particle Swarm Optimization. arXiv 2020, arXiv:2004.07561. [Google Scholar]
- Song, L.; Shi, J.; Pan, A.; Yang, J.; Xie, J. A Dynamic Multi-Swarm Particle Swarm Optimizer for Multi-Objective Optimization of Machining Operations Considering Efficiency and Energy Consumption. Energies 2020, 13, 2616. [Google Scholar] [CrossRef]
- Feng, D.; Zhang, M.; Wang, S. Multipopulation Particle Swarm Optimization for Evolutionary Multitasking Sparse Unmixing. Electronics 2021, 10, 3034. [Google Scholar] [CrossRef]
- Neshat, M.; Mirjalili, S.; Sergiienko, N.Y.; Esmaeilzadeh, S.; Amini, E.; Heydari, A.; Garcia, D.A. Layout optimisation of offshore wave energy converters using a novel multi-swarm cooperative algorithm with backtracking strategy: A case study from coasts of Australia. Energy 2022, 239, 122463. [Google Scholar] [CrossRef]
- Liu, Q.; Zeng, L.; Bilal, M.; Song, H.; Liu, X.; Zhang, Y.; Cao, X. A Multi-Swarm PSO Approach to Large-Scale Task Scheduling in a Sustainable Supply Chain Datacenter. IEEE Trans. Green Commun. Netw. 2023, 7, 1667–1677. [Google Scholar] [CrossRef]
- Cormen, T.H.; Leiserson, C.E.; Rivest, R.L.; Stein, C. Introduction to Algorithms, 2nd ed.; The MIT Press: Cambridge, MA, USA, 2001. [Google Scholar]
- Alba, E.; Chicano, F. Finding Safety Errors with ACO. In Proceedings of the 9th Annual Conference on Genetic and Evolutionary Computation, London, UK, 7–11 July 2007; pp. 1066–1073. [Google Scholar] [CrossRef]
- Alba, E.; Chicano, F. ACOhg: Dealing with Huge Graphs. In Proceedings of the 9th Annual Conference on Genetic and Evolutionary Computation, London, UK, 7–11 July 2007; Association for Computing Machinery: New York, NY, USA, 2007; pp. 10–17. [Google Scholar] [CrossRef]
- Baier, C.; Katoen, J.P. Principles of Model Checking; MIT Press: Cambridge, MA, USA, 2008. [Google Scholar]
- Tarjan, R. Depth first search and linear graph algorithms. SIAM J. Comput. 1972, 1, 146–160. [Google Scholar] [CrossRef]
- Zakharov, I. A Survey of High-Performance Computing for Software Verification. In Proceedings of the Tools and Methods of Program Analysis, Moscow, Russia, 3–4 March 2017; Springer: Cham, Switzerland, 2018; pp. 196–208. [Google Scholar] [CrossRef]
- Schuppan, V.; Biere, A. Shortest Counterexamples for Symbolic Model Checking of LTL with Past. In Proceedings of the 11th International Conference on Tools and Algorithms for the Construction and Analysis of Systems, Edinburgh, UK, 4–8 April 2004; Springer: Cham, Switzerland, 2005; pp. 493–509. [Google Scholar] [CrossRef]
- Godefroid, P.; Jagadeesan, R. Automatic Abstraction Using Generalized Model Checking. In Proceedings of the 14th International Conference on Computer Aided Verification, Copenhagen, Denmark, 27–31 July 2002; CAV ’02. Springer: Berlin/Heidelberg, Germany, 2002; pp. 137–150. [Google Scholar]
- Clarke, E.; Grumberg, O.; Jha, S.; Lu, Y.; Veith, H. Counterexample-Guided Abstraction Refinement. In Proceedings of the Computer Aided Verification, Chicago, IL, USA, 15–19 July 2000; Springer: Berlin/Heidelberg, Germany, 2000; pp. 154–169. [Google Scholar] [CrossRef]
- Clarke, E.; Grumberg, O.; Jha, S.; Lu, Y.; Veith, H. Counterexample-Guided Abstraction Refinement for Symbolic Model Checking. J. ACM 2003, 50, 752–794. [Google Scholar] [CrossRef]
- Edelkamp, S.; Lluch-Lafuente, A. Abstraction in directed model checking. In Proceedings of the Workshop on Connecting Planning Theory with Practice, International Conference on Automated Planning and Scheduling, Whistler, BC, Canada, 3–7 June 2004; pp. 7–13. [Google Scholar]
- Groce, A.; Visser, W. Heuristics for model checking Java programs. Int. J. Softw. Tools Technol. Transf. 2004, 6, 260–276. [Google Scholar] [CrossRef]
- Edelkamp, S.; Schuppan, V.; Bosnacki, D.; Wijs, A.; Fehnker, A.; Aljazzar, H. Survey on Directed Model Checking. In Proceedings of the 5th International Workshop on Model Checking and Artificial Intelligence, Patras, Greece, 21 July 2008; Lecture Notes in Computer Science. Springer: Berlin/Heidelberg, Germany, 2008; Volume 5348, pp. 65–89. [Google Scholar] [CrossRef]
- Grosu, R.; Smolka, S.A. Monte Carlo Model Checking. In Proceedings of the 11th International Conference on Tools and Algorithms for the Construction and Analysis of Systems, Edinburgh, UK, 4–8 April 2004; TACAS’05. Springer: Berlin/Heidelberg, Germany, 2005; pp. 271–286. [Google Scholar] [CrossRef]
- Parízek, P.; Lhoták, O. Fast detection of concurrency errors by state space traversal with randomization and early backtracking. Int. J. Softw. Tools Technol. Transf. 2019, 21, 365–400. [Google Scholar] [CrossRef]
- Daszczuk, W.B. Non-exhaustive Verification in Integrated Model of Distributed Systems (IMDS) Using Vagabond Algorithm. In Proceedings of the Theory and Engineering of Dependable Computer Systems and Networks, Wrocław, Poland, 28 June–2 July 2021; Springer: Berlin/Heidelberg, Germany, 2021; pp. 32–43. [Google Scholar] [CrossRef]
- Holzmann, G.J.; Joshi, R.; Groce, A. Swarm Verification Techniques. IEEE Trans. Softw. Eng. 2011, 37, 845–857. [Google Scholar] [CrossRef]
- DeFrancisco, R.; Cho, S.; Ferdman, M.; Smolka, S.A. Swarm model checking on the GPU. Int. J. Softw. Tools Technol. Transf. 2020, 22, 583–599. [Google Scholar] [CrossRef]
- Alba, E.; Troya, J.M. Genetic Algorithms for Protocol Validation. In Proceedings of the 4th International Conference on Parallel Problem Solving from Nature, Berlin, Germany, 22–26 September 1996; pp. 870–879. [Google Scholar] [CrossRef]
- Godefroid, P.; Khurshid, S. Exploring Very Large State Spaces Using Genetic Algorithms. Int. J. Softw. Tools Technol. Transf. 2004, 6, 117–127. [Google Scholar] [CrossRef]
- Yousefian, R.; Rafe, V.; Rahmani, M. A heuristic solution for model checking graph transformation systems. Appl. Soft Comput. 2014, 24, 169–180. [Google Scholar] [CrossRef]
- Staunton, J.; Clark, J.A. Searching for Safety Violations Using Estimation of Distribution Algorithms. In Proceedings of the 2010 Third International Conference on Software Testing, Verification, and Validation Workshops, Paris, France, 6–10 April 2010; pp. 212–221. [Google Scholar] [CrossRef]
- Staunton, J.; Clark, J.A. Finding Short Counterexamples in Promela Models Using Estimation of Distribution Algorithms. In Proceedings of the 13th Annual Conference on Genetic and Evolutionary Computation, New York, NY, USA, 12–16 July 2011; pp. 1923–1930. [Google Scholar] [CrossRef]
- Pira, E.; Rafe, V.; Nikanjam, A. Deadlock detection in complex software systems specified through graph transformation using Bayesian optimization algorithm. J. Syst. Softw. 2017, 131, 181–200. [Google Scholar] [CrossRef]
- Nejati, F.; Abdul Hamid, N.A.W.; Koohi, S.Z.; Zadeh, Z.R. An Incremental Optimization Algorithm for Efficient Verification of Graph Transformation Systems. IEEE Access 2023, 11, 75748–75760. [Google Scholar] [CrossRef]
- Dorigo, M.; Stützle, T. Ant Colony Optimization; Bradford Company, MIT Press: Cambridge, MA, USA, 2004. [Google Scholar]
- Rebiha, R.; Ciampaglia, G.L. An Ant Colony Verification Algorithm. In Proceedings of the Seventh International Conference on Intelligent Systems Design and Applications, Rio de Janeiro, Brazil, 20–24 October 2007; pp. 901–906. [Google Scholar] [CrossRef]
- Wu, X.; Hu, C.; Wang, Y. Model Checking Algorithm Based on Ant Colony Swarm Intelligence. In Proceedings of the Computational Intelligence and Intelligent Systems, Huangshi, China, 23–25 October 2009; Cai, Z., Li, Z., Kang, Z., Liu, Y., Eds.; Springer: Berlin/Heidelberg, Germany, 2009; pp. 361–368. [Google Scholar] [CrossRef]
- Francesca, G.; Santone, A.; Vaglini, G.; Villani, M.L. Ant Colony Optimization for Deadlock Detection in Concurrent Systems. In Proceedings of the IEEE 35th Annual Computer Software and Applications Conference, Munich, Germany, 18–22 July 2011; pp. 108–117. [Google Scholar] [CrossRef]
- Rafe, V.; Darghayedi, M.; Pira, E. MS-ACO: A Multi-Stage Ant Colony Optimization to Refute Complex Software Systems Specified through Graph Transformation. Soft Comput. 2019, 23, 4531–4556. [Google Scholar] [CrossRef]
- Chicano, F.; Alba, E. Ant colony optimization with partial order reduction for discovering safety property violations in concurrent models. Inf. Process. Lett. 2008, 106, 221–231. [Google Scholar] [CrossRef]
- Kumazawa, T.; Yokoyama, C.; Takimoto, M.; Kambayashi, Y. Ant Colony Optimization Based Model Checking Extended by Smell-like Pheromone. EAI Endorsed Trans. Ind. Netw. Intell. Syst. 2016, 16, e1. [Google Scholar] [CrossRef][Green Version]
- Kumazawa, T.; Takada, K.; Takimoto, M.; Kambayashi, Y. Ant Colony Optimization based model checking extended by smell-like pheromone with hop counts. Swarm Evol. Comput. 2019, 44, 511–521. [Google Scholar] [CrossRef]
- Chicano, F.; Alba, E. Finding liveness errors with ACO. In Proceedings of the IEEE Congress on Evolutionary Computation, Hong Kong, China, 1–6 June 2008; pp. 2997–3004. [Google Scholar] [CrossRef]
- Kumazawa, T.; Takimoto, M.; Kodama, Y.; Kambayashi, Y. Enhancing Safety Checking Coverage with Multi-Swarm Particle Swarm Optimization. In Proceedings of the Advances in Practical Applications of Agents, Multi-Agent Systems, and Cognitive Mimetics. The PAAMS Collection: 21st International Conference, PAAMS 2023, Guimarães, Portugal, 12–14 July 2023; Proceedings. Springer: Berlin/Heidelberg, Germany, 2023; pp. 137–148. [Google Scholar] [CrossRef]
- Chicano, F.; Ferreira, M.; Alba, E. Comparing Metaheuristic Algorithms for Error Detection in Java Programs. In Proceedings of the Third International Conference on Search Based Software Engineering, Szeged, Hungary, 10–12 September 2011; pp. 82–96. [Google Scholar] [CrossRef]
- Araragi, T.; Cho, S.M. Checking Liveness Properties of Concurrent Systems by Reinforcement Learning. In Proceedings of the Model Checking and Artificial Intelligence, Riva del Garda, Italy, 29 August 2006; Springer: Berlin/Heidelberg, Germany, 2007; pp. 84–94. [Google Scholar]
- Behjati, R.; Sirjani, M.; Nili Ahmadabadi, M. Bounded Rational Search for On-the-Fly Model Checking of LTL Properties. In Proceedings of the Fundamentals of Software Engineering, Kish Island, Iran, 15–17 April 2009; Springer: Berlin/Heidelberg, Germany, 2010; pp. 292–307. [Google Scholar]
- Xu, R.; Lieberherr, K. On-the-Fly Model Checking with Neural MCTS. In Proceedings of the NASA Formal Methods, Pasadena, CA, USA, 24–27 May 2022; Deshmukh, J.V., Havelund, K., Perez, I., Eds.; Springer: Cham, Switzerland, 2022; pp. 557–575. [Google Scholar]
- Poulding, S.; Feldt, R. Heuristic Model Checking Using a Monte-Carlo Tree Search Algorithm. In Proceedings of the 2015 Annual Conference on Genetic and Evolutionary Computation, Madrid, Spain, 11–15 July 2015; pp. 1359–1366. [Google Scholar] [CrossRef]
- Milewicz, R.M.; Poulding, S. Scalable Parallel Model Checking via Monte-Carlo Tree Search. ACM SIGSOFT Softw. Eng. Notes 2018, 42, 1–5. [Google Scholar] [CrossRef]
- Rafe, V.; Moradi, M.; Yousefian, R.; Nikanjam, A. A Meta-heuristic Solution for Automated Refutation of Complex Software Systems Specified Through Graph Transformations. Appl. Soft Comput. 2015, 33, 136–149. [Google Scholar] [CrossRef]
- Rezaee, N.; Momeni, H. A Hybrid Meta-heuristic Approach to Cope with State Space Explosion in Model Checking Technique for Deadlock Freeness. J. AI Data Min. 2020, 8, 189–199. [Google Scholar] [CrossRef]
- Vardi, M.Y.; Wolper, P. An Automata-Theoretic Approach to Automatic Program Verification. In Proceedings of the First Symposium on Logic in Computer Science, Cambridge, MA, USA, 16–18 June 1986; pp. 322–331. [Google Scholar]
- Holzmann, G. The Spin Model Checker: Primer and Reference Manual; Addison-Wesley: Boston, MA, USA, 2003. [Google Scholar]
- Giannakopoulou, D.; Magee, J. Fluent Model Checking for Event-based Systems. In Proceedings of the 9th European Software Engineering Conference Held Jointly with 11th ACM SIGSOFT International Symposium on Foundations of Software Engineering, Helsinki, Finland, 1–5 September 2003; pp. 257–266. [Google Scholar] [CrossRef]
- Magee, J.; Kramer, J. Concurrency: State Models & Java Programming, 2nd ed.; John Wiley & Sons: Hoboken, NJ, USA, 2006. [Google Scholar]
- Erdős, P.; Rényi, A. On Random Graphs I. Publ. Math. Debr. 1959, 6, 290–297. [Google Scholar] [CrossRef]
- Lee, D.; Yannakakis, M. Online Minimization of Transition Systems (Extended Abstract). In Proceedings of the Twenty-Fourth Annual ACM Symposium on Theory of Computing, Victoria, BC, Canada, 4–6 May 1992; STOC ’92. Association for Computing Machinery: New York, NY, USA, 1992; pp. 264–274. [Google Scholar] [CrossRef]
- Jin, Y.; Wang, H.; Chugh, T.; Guo, D.; Miettinen, K. Data-Driven Evolutionary Optimization: An Overview and Case Studies. IEEE Trans. Evol. Comput. 2019, 23, 442–458. [Google Scholar] [CrossRef]
















| Parameter | Value |
|---|---|
| w | Linearly changing from down to |
| 2 | |
| 2 | |
| 5 | |
| Number of iterations | 30 |
| Particle size | 20 |
| 5 | |
| 5, 10, 15 |
Disclaimer/Publisher’s Note: The statements, opinions and data contained in all publications are solely those of the individual author(s) and contributor(s) and not of MDPI and/or the editor(s). MDPI and/or the editor(s) disclaim responsibility for any injury to people or property resulting from any ideas, methods, instructions or products referred to in the content. |
© 2024 by the authors. Licensee MDPI, Basel, Switzerland. This article is an open access article distributed under the terms and conditions of the Creative Commons Attribution (CC BY) license (https://creativecommons.org/licenses/by/4.0/).
Share and Cite
Kumazawa, T.; Takimoto, M.; Kodama, Y.; Kambayashi, Y. Memoization in Model Checking for Safety Properties with Multi-Swarm Particle Swarm Optimization. Electronics 2024, 13, 4199. https://doi.org/10.3390/electronics13214199
Kumazawa T, Takimoto M, Kodama Y, Kambayashi Y. Memoization in Model Checking for Safety Properties with Multi-Swarm Particle Swarm Optimization. Electronics. 2024; 13(21):4199. https://doi.org/10.3390/electronics13214199
Chicago/Turabian StyleKumazawa, Tsutomu, Munehiro Takimoto, Yasushi Kodama, and Yasushi Kambayashi. 2024. "Memoization in Model Checking for Safety Properties with Multi-Swarm Particle Swarm Optimization" Electronics 13, no. 21: 4199. https://doi.org/10.3390/electronics13214199
APA StyleKumazawa, T., Takimoto, M., Kodama, Y., & Kambayashi, Y. (2024). Memoization in Model Checking for Safety Properties with Multi-Swarm Particle Swarm Optimization. Electronics, 13(21), 4199. https://doi.org/10.3390/electronics13214199

