Landmark-Based Domain Adaptation and Selective Pseudo-Labeling for Heterogeneous Defect Prediction
Abstract
1. Introduction
1.1. Motivation
1.1.1. Negative Impact of Noise Modules
1.1.2. Insufficient Utilization of Unlabeled Modules
1.2. Contribution
- The proposal of a novel landmark-based domain adaptation algorithm that considers marginal and conditional distribution alignment and a class-wise locality structure to reduce the heterogeneity between both projects, reweighting modules to alleviate the negative impact brought about by the noise modules.
- The proposal of a progressive pseudo-label selection strategy exploring the underlying discriminative information of unlabeled target data to further improve the prediction effect.
- Extensive experiments are conducted on 27 projects from four datasets to demonstrate that our approach provides significantly better performance when compared to state-of-the-art methods, verifying the effectiveness of each component of it.
2. Related Work
2.1. Heterogeneous Defect Prediction
2.1.1. Conventional HDP Methods
2.1.2. Mixed-Project HDP Methods
2.2. Domain Adaptation
3. Approach
3.1. Problem Statement
3.2. Landmark-Based Domain Adaptation
3.2.1. Matching the Distributions of Source and Target Data
3.2.2. Matching the Distributions of Source and Target Data Based on Landmarks
3.2.3. Solution
- (1)
- Optimizing
- (2)
- Optimizing and
3.3. Progressive Pseudo-Label Selection
| Algorithm 1 Pseudo code of LDASP |
|
4. Experiment Setup
- RQ1: How effective is LDASP in HDP with mixed-project data?
- RQ2: What is the effect of each component of LDASP on improving HDP performance?
4.1. Dataset and Evaluation Indicator
4.2. Experimental Design
4.2.1. RQ1: How Effective Is LDASP in HDP with Mixed-Project Data?
4.2.2. RQ2: What Is the Effect of Each Component of LDASP on Improving HDP Performance?
4.3. Evaluation Protocol
4.4. Parameter Setting
5. Experimental Result
5.1. Results for RQ1
- Our approach obtains the best results for the F1-score and AUC for more than half (i.e., 15 out of 27 and 14 out of 27) of the target projects. Moreover, it also achieves the best overall performance for each indicator in terms of the “Average” results.
- When compared with the mixed-project HDP methods (i.e., CLSUP, sMDA, and DSKMDA), our approach separately improves the F1-score and AUC by 9.8–20.2% and 5.3–11.3% in terms of the overall mean results. This is mainly because the learned landmark weights eliminate the negative impact brought about by the noise modules to some extent; meanwhile, selective pseudo-labeling further promotes prediction performance.
- When compared with the conventional HDP method (i.e., EAMR), our approach makes improvements of 15.8% and 4.8% on the F1-score and AUC, respectively. As a conventional HDP method without using training target data, EAMR even shows better performance than the mixed-project HDP baselines (i.e., CLSUP, sMDA, and DSKMDA). However, an over-reliance on the label information of the source data also prevents its performance for further promotion.
- When compared with the unsupervised methods (i.e., SC and ManualDown), our approach improves the average F1-score and AUC by at least 10.6% and 11.6%, respectively. The possible reason is that the lack of labeled modules results in unsupervised methods being unable to obtain reliable discriminative information and, thus, inhibit the improvement in prediction performance.
- When compared with the WPDP method, our approach separately improves the average F1-score and AUC by 18.7% and 14.4%, which means that the effective utilization of labeled source data can increase the prediction effect on the target project.
- In terms of “Win/Tie/Lose”, our approach obtains significant performance improvements for most projects when compared to the competing methods. This is especially true for EAMR, which had the best performance among the baselines; our approach wins the comparisons against the other approaches, with significant advantages in 22 out of 27 and 17 out of 27 projects, respectively, according to the F1-score and AUC.
- In terms of “N/S/M/L” (), our approach achieves non-negligible performance improvements for more than 20 projects when compared to the competing methods, except for the best baseline EAMR. Even compared to EAMR, our approach could still obtain non-negligible performance improvements for more than half of the cases (i.e., 22 out of 27 and 16 out of 27 projects).
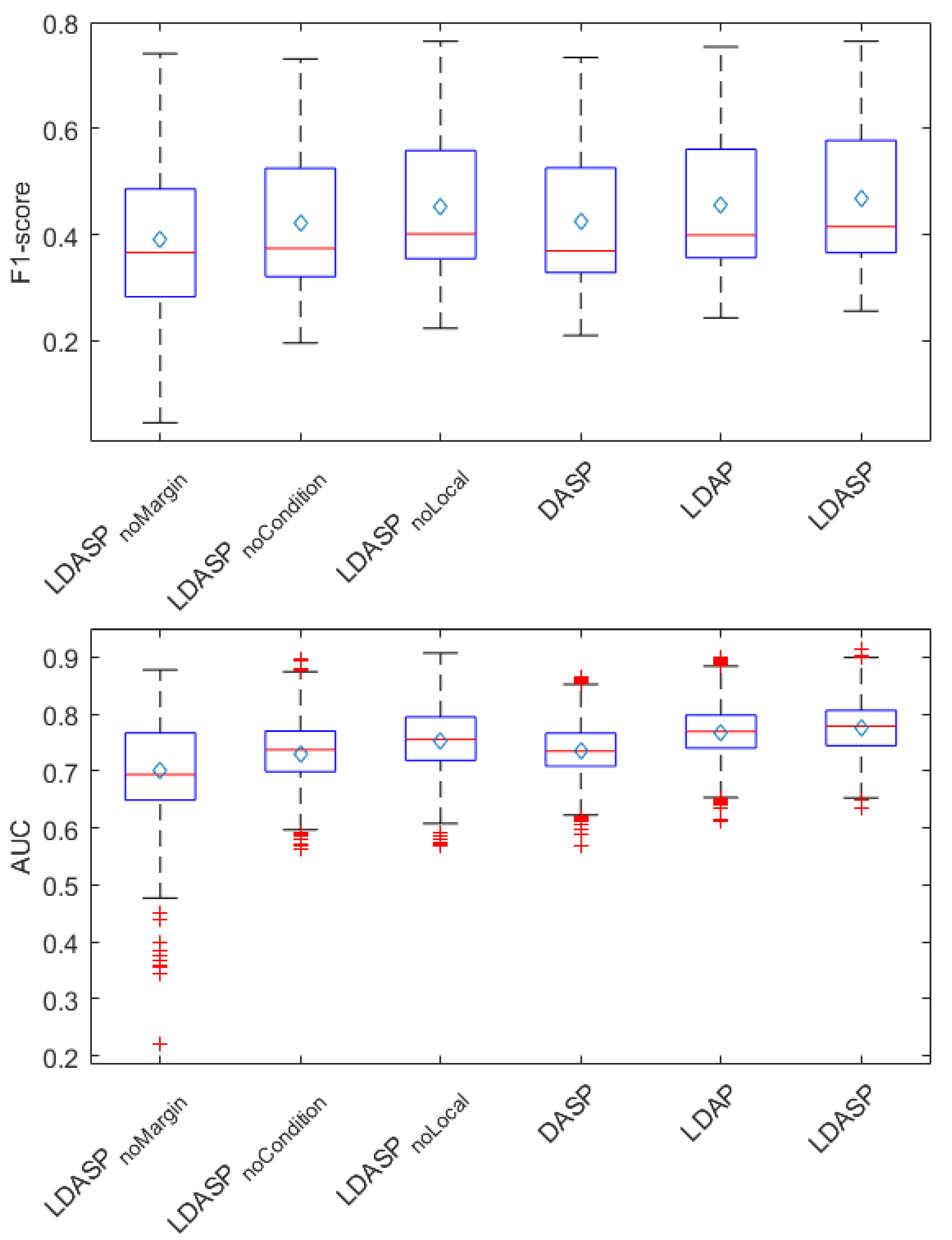
5.2. Results for RQ2
- When compared with LDASP, our approach wins the comparisons of both indicators in almost all projects (i.e., 21 out of 27 and 25 out of 27 projects). In other words, LDASP shows significant performance degradation without the marginal distribution alignment term. Moreover, in terms of N/S/M/L (), our approach obtains non-negligible performance improvements in the F1-score and AUC on 22 out of 27 projects, respectively. This is because the marginal distribution alignment can reduce the discrepancy between the source and target data. Therefore, a failure to consider marginal distribution alignment may result in the insufficient reduction in the data distribution difference between both projects, which causes the inadaptation of the predictor to target data.
- When compared with LDASP, our approach maintains consistent performance improvements in general. In terms of Win/Tie/Lose, our approach wins the comparisons in all projects on the F1-score and AUC. Furthermore, the N/S/M/L () rows show that our approach obtains large performance improvements in both indicators on almost all projects, except for the medium improvement in the AUC on one project. Thus, removing the conditional distribution alignment term weakens the prediction effect significantly. The possible reason is that conditional distribution alignment can alleviate the distribution difference in the modules from the same category in different projects, thereby enhancing the classification ability of predictors in target data.
- When compared with LDASP, our approach wins the comparisons of both indicators in 14 out of 27 and 19 out of 27 projects, respectively. Furthermore, regarding N/S/M/L (), our approach achieves the non-negligible performance improvements in the F1-score and AUC in more than half of the projects. This illustrates that although preserving the class-wise locality brings about limited improvements, it still shows a significantly positive effect on defect predictions in general.
- When compared with DASP, our approach improves both indicators significantly in most projects in terms of Win/Tie/Lose and N/S/M/L (). Especially for the AUC, our approach wins the competition against DASP and achieves non-negligible performance improvements in all projects. Based on the above observation, we can learn that the learned landmark weights are conducive to the improvement in predictions by highlighting the relevant modules and mitigating the negative transfer of noise modules.
- When compared with LDAP, our approach wins the comparisons while achieving non-negligible performance improvements for more than half of the cases, which demonstrates that the proposed progressive pseudo-labeling strategy effectively reduces the introduction of unreliable pseudo-labels that may hinder the learning process.
6. Discussion
6.1. Effectiveness of LDASP
6.2. Effect of Different Percentages of Training Target Data
6.3. Sensitivity of Parameters
- (1)
- T is the iteration time that affects the convergence degree of the objective function. Normally, the more iterations there are, the easier it is for the objective function to converge. As shown in Figure 6, the prediction performance of LDASP generally keeps rising with the increase in T. When T is greater than 7, its indicator results tend to be stable. Moreover, the change in prediction performance is actually slight in terms of the difference between the indicator results of various T. Based on this, we can believe that the objective function has been fully optimized, although the setting of is not optimal.
- (2)
- is used to restrict the proportion of landmarks that participate in distribution adaptation. LDASP treats all modules as having the same weight and corresponds to the optimization problem in Equation (5). As shown in Figure 7, LDASP and LDASP perform worse than LDASP with other values for both indicators. Furthermore, when is greater than 0, there is a significant improvement in the performance of LDASP. This indicates the positive impact of introducing unlabeled modules and their pseudo-labels on improving performance. In summary, our parameter setting of is reasonable, although it cannot help LDASP reach the best prediction performance.
6.4. Threats to Validity
7. Conclusions
Author Contributions
Funding
Data Availability Statement
Conflicts of Interest
References
- Menzies, T.; Greenwald, J.; Frank, A. Data mining static code attributes to learn defect predictors. IEEE Trans. Softw. Eng. 2007, 33, 2–13. [Google Scholar] [CrossRef]
- Hassan, A.E. Predicting faults using the complexity of code changes. In Proceedings of the 31st International Conference on Software Engineering, ICSE, Vancouver, BC, Canada, 16–24 May 2009; pp. 78–88. [Google Scholar]
- Tosun, A.; Bener, A.; Turhan, B.; Menzies, T. Practical considerations in deploying statistical methods for defect prediction: A case study within the Turkish telecommunications industry. Inf. Softw. Technol. 2010, 52, 1242–1257. [Google Scholar] [CrossRef]
- Turhan, B.; Menzies, T.; Bener, A.B.; Stefano, J.S.D. On the relative value of cross-company and within-company data for defect prediction. Empir. Softw. Eng. 2009, 14, 540–578. [Google Scholar] [CrossRef]
- Zhang, F.; Zheng, Q.; Zou, Y.; Hassan, A.E. Cross-project defect prediction using a connectivity-based unsupervised classifier. In Proceedings of the 38th International Conference on Software Engineering, ICSE, Austin, TX, USA, 14–22 May 2016; pp. 309–320. [Google Scholar]
- Xia, X.; Lo, D.; Pan, S.J.; Nagappan, N.; Xinyu, W. HYDRA: Massively compositional model for cross-project defect prediction. IEEE Trans. Softw. Eng. 2016, 42, 977–998. [Google Scholar] [CrossRef]
- Nam, J.; Kim, S. CLAMI: Defect prediction on unlabeled datasets. In Proceedings of the 30th International Conference on Automated Software Engineering, ASE, Lincoln, NE, USA, 9–13 November 2015; pp. 1–12. [Google Scholar]
- Jing, X.Y.; Wu, F.; Dong, X.; Qi, F.; Xu, B. Heterogeneous cross-company defect prediction by unified metric representation and CCA-based transfer learning. In Proceedings of the 10th Joint Meeting on Foundations of Software Engineering, FSE, Bergamo, Italy, 30 August–4 September 2015; pp. 496–507. [Google Scholar]
- Turhan, B.; Misirli, A.T.; Bener, A. Empirical evaluation of the effects of mixed project data on learning defect predictors. Inf. Softw. Technol. 2013, 55, 1101–1118. [Google Scholar] [CrossRef]
- Li, Z.; Jing, X.Y.; Zhu, X.; Zhang, H.; Xu, B.; Ying, S. On the multiple sources and privacy preservation issues for heterogeneous defect prediction. IEEE Trans. Softw. Eng. 2019, 45, 391–411. [Google Scholar] [CrossRef]
- Li, Z.; Jing, X.Y.; Zhu, X. Heterogeneous fault prediction with cost-sensitive domain adaptation. Softw. Test. Verif. Reliab. 2018, 28, e1658. [Google Scholar] [CrossRef]
- Niu, J.; Li, Z.; Chen, H.; Dong, X.; Jing, X. Data sampling and kernel manifold discriminant alignment for mixed-project heterogeneous defect prediction. Softw. Qual. J. 2022, 30, 917–951. [Google Scholar] [CrossRef]
- Li, Z.; Niu, J.; Jing, X.; Yu, W.; Qi, C. Cross-Project Defect Prediction via Landmark Selection-Based Kernelized Discriminant Subspace Alignment. IEEE Trans. Reliab. 2021, 70, 996–1013. [Google Scholar] [CrossRef]
- Van Engelen, J.E.; Hoos, H.H. A survey on semi-supervised learning. Mach. Learn. 2020, 109, 373–440. [Google Scholar] [CrossRef]
- Lee, D.H. Pseudo-label: The simple and efficient semi-supervised learning method for deep neural networks. In Proceedings of the ICML 2013 Workshop: Challenges in Representation Learning (WREPL), Atlanta, GA, USA, 16–21 June 2013. [Google Scholar]
- Nam, J.; Kim, S. Heterogeneous defect prediction. In Proceedings of the 10th Joint Meeting on Foundations of Software Engineering, FSE, Bergamo, Italy, 30 August–4 September 2015; pp. 508–519. [Google Scholar]
- Li, Z.; Jing, X.Y.; Zhu, X.; Zhang, H. Heterogeneous defect prediction through multiple kernel learning and ensemble learning. In Proceedings of the IEEE International Conference on Software Maintenance and Evolution, ICSME, Shanghai, China, 17–22 September 2017; pp. 91–102. [Google Scholar]
- Li, Z.; Jing, X.Y.; Wu, F.; Zhu, X.; Xu, B.; Ying, S. Cost-sensitive transfer kernel canonical correlation analysis for heterogeneous defect prediction. Autom. Softw. Eng. 2018, 25, 201–245. [Google Scholar] [CrossRef]
- Tong, H.; Liu, B.; Wang, S. Kernel Spectral Embedding Transfer Ensemble for Heterogeneous Defect Prediction. IEEE Trans. Softw. Eng. 2021, 47, 1886–1906. [Google Scholar] [CrossRef]
- Li, Z.; Jing, X.; Zhu, X.; Zhang, H.; Xu, B.; Ying, S. Heterogeneous defect prediction with two-stage ensemble learning. Autom. Softw. Eng. 2019, 26, 599–651. [Google Scholar] [CrossRef]
- Yu, Q.; Jiang, S.; Zhang, Y. A feature matching and transfer approach for cross-company defect prediction. J. Syst. Softw. 2017, 132, 366–378. [Google Scholar] [CrossRef]
- Xu, Z.; Ye, S.; Zhang, T.; Xia, Z.; Pang, S.; Wang1, Y.; Tang, Y. MVSE: Effort-Aware Heterogeneous Defect Prediction via Multiple-View Spectral Embedding. In Proceedings of the International Conference on Software Quality, Reliability and Security, QRS, Sofia, Bulgari, 22–26 July 2019; pp. 10–17. [Google Scholar]
- Chen, H.; Jing, X.; Zhou, Y.; Li, B.; Xu, B. Aligned metric representation based balanced multiset ensemble learning for heterogeneous defect prediction. Inf. Softw. Technol. 2022, 147, 106892. [Google Scholar] [CrossRef]
- Wu, J.; Wu, Y.; Niu, N.; Zhou, M. MHCPDP: Multi-source heterogeneous cross-project defect prediction via multi-source transfer learning and autoencoder. Softw. Qual. J. 2021, 29, 405–430. [Google Scholar] [CrossRef]
- Zhu, K.; Ying, S.; Ding, W.; Zhang, N.; Zhu, D. IVKMP: A robust data-driven heterogeneous defect model based on deep representation optimization learning. Inf. Sci. 2022, 583, 332–363. [Google Scholar] [CrossRef]
- Pan, S.J.; Yang, Q. A survey on transfer learning. IEEE Trans. Knowl. Data Eng. 2010, 22, 1345–1359. [Google Scholar] [CrossRef]
- Long, M.; Wang, J.; Ding, G.; Sun, J.; Yu, P.S. Transfer Feature Learning with Joint Distribution Adaptation. In Proceedings of the IEEE International Conference on Computer Vision, ICCV, Sydney, Australia, 1–8 December 2013; pp. 2200–2207. [Google Scholar]
- Long, M.; Wang, J.; Ding, G.; Sun, J.; Yu, P.S. Transfer joint matching for unsupervised domain adaptation. In Proceedings of the IEEE Conference on Computer Vision and Pattern Recognition, Columbus, OH, USA, 23–28 June 2014; pp. 1410–1417. [Google Scholar]
- Tsai, Y.H.H.; Yeh, Y.R.; Wang, Y.C.F. Heterogeneous domain adaptation with label and structure consistency. In Proceedings of the IEEE International Conference on Acoustics, Speech and Signal Processing, Shanghai, China, 20–25 March 2016; pp. 2842–2846. [Google Scholar]
- Zhang, W.; Deng, L.; Zhang, L.; Wu, D. A Survey on Negative Transfer. IEEE/CAA J. Autom. Sin. 2023, 10, 305–329. [Google Scholar] [CrossRef]
- Aljundi, R.; Emonet, R.; Muselet, D.; Sebban, M. Landmarks-based kernelized subspace alignment for unsupervised domain adaptation. In Proceedings of the IEEE Conference on Computer Vision and Pattern Recognition, CVPR, Boston, MA, USA, 7–12 June 2015; pp. 56–63. [Google Scholar]
- Tsai, Y.H.; Yeh, Y.; Wang, Y.F. Learning cross-domain landmarks for heterogeneous domain adaptation. In Proceedings of the IEEE Conference on Computer Vision and Pattern Recognition, CVPR, Las Vegas, NV, USA, 27–30 June 2016; IEEE Computer Society: Washington, DC, USA, 2016; pp. 5081–5090. [Google Scholar]
- Shepperd, M.; Song, Q.; Sun, Z.; Mair, C. Data quality: Some comments on the NASA software defect datasets. IEEE Trans. Softw. Eng. 2013, 39, 1208–1215. [Google Scholar] [CrossRef]
- D’Ambros, M.; Lanza, M.; Robbes, R. Evaluating defect prediction approaches: A benchmark and an extensive comparison. Empir. Softw. Eng. 2012, 17, 531–577. [Google Scholar] [CrossRef]
- Marian, J.; Lech, M. Towards identifying software project clusters with regard to defect prediction. In Proceedings of the 6th International Conference on Predictive Models in Software Engineering, PROMISE, Timisoara, Romania, 12–13 September 2010; pp. 1–10. [Google Scholar]
- Yatish, S.; Jiarpakdee, J.; Thongtanunam, P.; Tantithamthavorn, C. Mining software defects: Should we consider affected releases? In Proceedings of the 41st International Conference on Software Engineering, ICSE, Montreal, QC, Canada, 25–31 May 2019; pp. 654–665. [Google Scholar]
- Ghotra, B.; McIntosh, S.; E. Hassan, A. Revisiting the Impact of Classification Techniques on the Performance of Defect Prediction Models. In Proceedings of the 37th International Conference on Software Engineering, ICSE, Florence, Italy, 16–24 May 2015; pp. 789–800. [Google Scholar]
- Lessmann, S.; Baesens, B.; Mues, C.; Pietsch, S. Benchmarking classification models for software defect prediction: A proposed framework and novel findings. IEEE Trans. Softw. Eng. 2008, 34, 485–496. [Google Scholar] [CrossRef]
- Ryu, D.; Choi, O.; Baik, J. Value-cognitive boosting with a support vector machine for cross-project defect prediction. Empir. Softw. Eng. 2016, 21, 43–71. [Google Scholar] [CrossRef]
- Tantithamthavorn, C.; McIntosh, S.; E. Hassan, A.; Matsumoto, K. Automated parameter optimization of classification techniques for defect prediction models. In Proceedings of the 38th International Conference on Software Engineering, ICSE, Austin, TX, USA, 14–22 May 2016; pp. 321–332. [Google Scholar]
- Rahman, F.; Posnett, D.; Devanbu, P.T. Recalling the “imprecision” of cross-project defect prediction. In Proceedings of the ACM SIGSOFT 20th International Symposium on the Foundations of Software Engineering, ESEC/FSE, Cary, NC, USA, 11–16 November 2012; pp. 1–11. [Google Scholar]
- Chen, X.; Mu, Y.; Liu, K.; Cui, Z.; Ni, C. Revisiting heterogeneous defect prediction methods: How far are we? Inf. Softw. Technol. 2021, 130, 106441. [Google Scholar] [CrossRef]
- Zhou, Y.; Yang, Y.; Lu, H.; Chen, L.; Li, Y.; Zhao, Y.; Qian, J.; Xu, B. How far we have progressed in the journey? An examination of cross-project defect prediction. ACM Trans. Softw. Eng. Methodol. 2018, 27, 1–51. [Google Scholar] [CrossRef]
- Wang, C.; Mahadevan, S. Heterogeneous domain adaptation using manifold alignment. In Proceedings of the 22nd International Joint Conference on Artificial Intelligence, IJCAI, Barcelona, Spain, 16–22 July 2011; pp. 1541–1546. [Google Scholar]
- Hollander, M.; Wolfe, D.A. Nonparametric Statistical Methods; Wiley: Hoboken, NJ, USA, 1999; p. 74. [Google Scholar]
- He, Z.; Shu, F.; Yang, Y.; Li, M.; Wang, Q. An investigation on the feasibility of cross-project defect prediction. Autom. Softw. Eng. 2012, 19, 167–199. [Google Scholar] [CrossRef]
- Ma, Y.; Luo, G.; Zeng, X.; Aiguo, C. Transfer learning for cross-company software defect prediction. Inf. Softw. Technol. 2012, 54, 248–256. [Google Scholar] [CrossRef]
- Chen, L.; Fang, B.; Shang, Z.; Tang, Y. Negative samples reduction in cross-company software defects prediction. Inf. Softw. Technol. 2015, 62, 67–77. [Google Scholar] [CrossRef]
- Fu, W.; Menzies, T. Revisiting unsupervised learning for defect prediction. In Proceedings of the 11th Joint Meeting on Foundations of Software Engineering, ESEC/FSE, Paderborn, Germany, 4–8 September 2017; pp. 72–83. [Google Scholar]
- Fan, R.E.; Chang, K.W.; Hsieh, C.J.; Wang, X.R.; Lin, C.J. LIBLINEAR: A library for large linear classification. J. Mach. Learn. Res. 2008, 9, 1871–1874. [Google Scholar]
- Nam, J.; Pan, S.J.; Kim, S. Transfer defect learning. In Proceedings of the 35th International Conference on Software Engineering, ICSE, San Francisco, CA, USA, 18–26 May 2013; pp. 382–391. [Google Scholar]
- Van der Maaten, L.; Hinton, G. Visualizing data using t-SNE. J. Mach. Learn. Res. 2008, 9, 2579–2605. [Google Scholar]







| Situation | Number of Prediction Combinations | |
|---|---|---|
| F1-Score | AUC | |
| WPDP performs better than CLSUP | 114 | 107 |
| WPDP performs worse than CLSUP | 416 | 423 |
| % of invalid cross-project prediction combinations | 21.5% | 20.2% |
| Dataset | Project | # of Metrics | # of Total Modules | # of Defective Modules (%) | Prediction Granularity |
|---|---|---|---|---|---|
| NASA | CM1 | 37 | 327 | 42 (12.84%) | Function |
| MW1 | 37 | 253 | 27 (10.67%) | ||
| PC1 | 37 | 705 | 61 (8.65%) | ||
| PC3 | 37 | 1077 | 134 (12.44%) | ||
| PC4 | 37 | 1287 | 177 (13.75%) | ||
| AEEEM | EQ | 61 | 324 | 129 (39.81%) | Class |
| JDT | 61 | 997 | 206 (20.66%) | ||
| LC | 61 | 691 | 64 (9.26%) | ||
| ML | 61 | 1862 | 245 (13.16%) | ||
| PDE | 61 | 1497 | 209 (13.96%) | ||
| PROMISE | ant-1.7 | 20 | 745 | 166 (22.28%) | Class |
| camel-1.4 | 20 | 872 | 145 (16.6%) | ||
| ivy-2.0 | 20 | 352 | 40 (11.36%) | ||
| jedit-4.0 | 20 | 306 | 75 (24.51%) | ||
| log4j-1.0 | 20 | 135 | 34 (25.19%) | ||
| poi-2.0 | 20 | 314 | 37 (11.78%) | ||
| tomcat-6.0 | 20 | 858 | 77 (8.97%) | ||
| velocity-1.6 | 20 | 229 | 78 (34.06%) | ||
| xalan-2.4 | 20 | 723 | 110 (15.21%) | ||
| xerces-1.3 | 20 | 453 | 69 (15.23%) | ||
| JIRA | activemq-5.0.0 | 65 | 1884 | 293 (15.55%) | File |
| derby-10.5.1.1 | 65 | 2705 | 383 (14.16%) | ||
| groovy-1.6.0.beta1 | 65 | 821 | 70 (8.53%) | ||
| hbase-0.94.0 | 65 | 1059 | 218 (20.59%) | ||
| hive-0.9.0 | 65 | 1416 | 283 (19.99%) | ||
| jruby-1.1 | 65 | 731 | 87 (11.9%) | ||
| wicket-1.3.0.beta2 | 65 | 1763 | 130 (7.37%) |
| Actual Defective | Actual Non-Defective | |
|---|---|---|
| Predict defective | tp | fp |
| Predict non-defective | fn | tn |
| Cliff’s Delta () | Effectiveness Levels |
|---|---|
| < 0.147 | Negligible (N) |
| 0.147 ≤ < 0.33 | Small (S) |
| 0.33 ≤ < 0.474 | Medium (M) |
| 0.474 ≤ | Large (L) |
| Method | Description |
|---|---|
| LDASP | Removing the term of marginal distribution alignment |
| LDASP | Removing the term of conditional distribution alignment |
| LDASP | Removing the term of class-wise locality preserving |
| DASP | Without considering the landmark weights, i.e., and |
| LDAP | Using all pseudo-labels without selection |
| Target | WPDP | SC | Manual Down | EAMR | CLSUP | sMDA | DSKMDA | Ours |
|---|---|---|---|---|---|---|---|---|
| CM1 | 0.249 | 0.335 | 0.282 | 0.279 | 0.274 | 0.299 | 0.281 | 0.326 |
| MW1 | 0.206 | 0.303 | 0.247 | 0.272 | 0.248 | 0.271 | 0.253 | 0.301 |
| PC1 | 0.217 | 0.245 | 0.236 | 0.252 | 0.228 | 0.250 | 0.222 | 0.268 |
| PC3 | 0.288 | 0.345 | 0.316 | 0.332 | 0.348 | 0.364 | 0.296 | 0.380 |
| PC4 | 0.410 | 0.329 | 0.328 | 0.401 | 0.361 | 0.367 | 0.271 | 0.380 |
| EQ | 0.548 | 0.557 | 0.619 | 0.594 | 0.558 | 0.539 | 0.448 | 0.581 |
| JDT | 0.544 | 0.591 | 0.466 | 0.553 | 0.562 | 0.566 | 0.532 | 0.590 |
| LC | 0.273 | 0.337 | 0.217 | 0.288 | 0.314 | 0.321 | 0.243 | 0.355 |
| ML | 0.333 | 0.318 | 0.311 | 0.344 | 0.364 | 0.344 | 0.347 | 0.392 |
| PDE | 0.325 | 0.369 | 0.333 | 0.372 | 0.366 | 0.374 | 0.358 | 0.385 |
| ant-1.7 | 0.606 | 0.620 | 0.431 | 0.532 | 0.613 | 0.617 | 0.583 | 0.701 |
| camel-1.4 | 0.439 | 0.481 | 0.342 | 0.343 | 0.484 | 0.487 | 0.348 | 0.522 |
| ivy-2.0 | 0.337 | 0.367 | 0.281 | 0.381 | 0.339 | 0.377 | 0.445 | 0.423 |
| jedit-4.0 | 0.544 | 0.508 | 0.457 | 0.518 | 0.550 | 0.551 | 0.545 | 0.628 |
| log4j-1.0 | 0.624 | 0.577 | 0.574 | 0.580 | 0.667 | 0.625 | 0.536 | 0.712 |
| poi-2.0 | 0.673 | 0.753 | 0.573 | 0.299 | 0.693 | 0.721 | 0.278 | 0.751 |
| tomcat | 0.318 | 0.384 | 0.199 | 0.326 | 0.361 | 0.356 | 0.383 | 0.420 |
| velocity-1.6 | 0.487 | 0.529 | 0.532 | 0.498 | 0.508 | 0.537 | 0.504 | 0.549 |
| xalan-2.4 | 0.318 | 0.364 | 0.349 | 0.402 | 0.350 | 0.346 | 0.461 | 0.386 |
| xerces-1.3 | 0.264 | 0.331 | 0.317 | 0.406 | 0.302 | 0.334 | 0.367 | 0.366 |
| activemq-5.0.0 | 0.441 | 0.518 | 0.471 | 0.497 | 0.495 | 0.495 | 0.593 | 0.550 |
| derby-10.5.1.1 | 0.482 | 0.553 | 0.506 | 0.434 | 0.501 | 0.502 | 0.182 | 0.596 |
| groovy-1.6.0.beta1 | 0.260 | 0.113 | 0.249 | 0.306 | 0.301 | 0.308 | 0.301 | 0.338 |
| hbase-0.94.0 | 0.269 | 0.303 | 0.271 | 0.513 | 0.303 | 0.322 | 0.406 | 0.337 |
| hive-0.9.0 | 0.517 | 0.509 | 0.550 | 0.509 | 0.505 | 0.508 | 0.419 | 0.556 |
| jruby-1.1 | 0.339 | 0.380 | 0.416 | 0.462 | 0.389 | 0.390 | 0.596 | 0.420 |
| wicket-1.3.0.beta2 | 0.368 | 0.453 | 0.404 | 0.278 | 0.393 | 0.384 | 0.352 | 0.468 |
| Average | 0.396 | 0.425 | 0.381 | 0.406 | 0.421 | 0.428 | 0.391 | 0.470 |
| Win/Tie/Lose | 26/0/1 | 23/3/1 | 24/2/1 | 22/2/3 | 27/0/0 | 27/0/0 | 22/1/4 | - |
| N/S/M/L () | 0/0/0/26 | 0/0/1/22 | 0/2/0/24 | 2/5/3/14 | 0/0/0/27 | 0/0/3/24 | 0/0/0/22 | - |
| N/S/M/L () | 0/0/0/1 | 3/0/1/0 | 0/0/0/1 | 0/3/0/0 | 0/0/0/0 | 0/0/0/0 | 1/0/0/4 | - |
| Target | WPDP | SC | Manual Down | EAMR | CLSUP | sMDA | DSKMDA | Ours |
|---|---|---|---|---|---|---|---|---|
| CM1 | 0.590 | 0.642 | 0.688 | 0.601 | 0.620 | 0.655 | 0.624 | 0.687 |
| MW1 | 0.579 | 0.679 | 0.729 | 0.656 | 0.638 | 0.682 | 0.609 | 0.731 |
| PC1 | 0.651 | 0.634 | 0.761 | 0.705 | 0.672 | 0.735 | 0.657 | 0.763 |
| PC3 | 0.642 | 0.672 | 0.726 | 0.702 | 0.733 | 0.762 | 0.700 | 0.782 |
| PC4 | 0.801 | 0.635 | 0.706 | 0.757 | 0.721 | 0.750 | 0.632 | 0.776 |
| EQ | 0.626 | 0.630 | 0.680 | 0.764 | 0.722 | 0.689 | 0.644 | 0.743 |
| JDT | 0.778 | 0.761 | 0.780 | 0.789 | 0.803 | 0.806 | 0.761 | 0.821 |
| LC | 0.656 | 0.716 | 0.634 | 0.718 | 0.771 | 0.764 | 0.640 | 0.801 |
| ML | 0.671 | 0.627 | 0.690 | 0.687 | 0.737 | 0.698 | 0.695 | 0.761 |
| PDE | 0.645 | 0.671 | 0.722 | 0.726 | 0.725 | 0.737 | 0.713 | 0.746 |
| ant-1.7 | 0.810 | 0.746 | 0.596 | 0.783 | 0.828 | 0.828 | 0.820 | 0.891 |
| camel-1.4 | 0.689 | 0.689 | 0.580 | 0.653 | 0.746 | 0.748 | 0.664 | 0.768 |
| ivy-2.0 | 0.694 | 0.678 | 0.648 | 0.790 | 0.736 | 0.765 | 0.795 | 0.821 |
| jedit-4.0 | 0.726 | 0.630 | 0.623 | 0.744 | 0.740 | 0.744 | 0.739 | 0.802 |
| log4j-1.0 | 0.679 | 0.618 | 0.568 | 0.809 | 0.769 | 0.739 | 0.751 | 0.804 |
| poi-2.0 | 0.846 | 0.823 | 0.780 | 0.655 | 0.847 | 0.873 | 0.620 | 0.890 |
| tomcat | 0.692 | 0.706 | 0.482 | 0.786 | 0.778 | 0.770 | 0.789 | 0.837 |
| velocity-1.6 | 0.725 | 0.713 | 0.822 | 0.683 | 0.753 | 0.792 | 0.649 | 0.797 |
| xalan-2.4 | 0.596 | 0.613 | 0.645 | 0.740 | 0.640 | 0.635 | 0.788 | 0.668 |
| xerces-1.3 | 0.632 | 0.701 | 0.812 | 0.731 | 0.701 | 0.760 | 0.646 | 0.792 |
| activemq-5.0.0 | 0.662 | 0.679 | 0.757 | 0.820 | 0.729 | 0.726 | 0.814 | 0.771 |
| derby-10.5.1.1 | 0.706 | 0.708 | 0.777 | 0.783 | 0.724 | 0.719 | 0.663 | 0.809 |
| groovy-1.6.0.beta1 | 0.588 | 0.356 | 0.653 | 0.760 | 0.690 | 0.711 | 0.600 | 0.744 |
| hbase-0.94.0 | 0.688 | 0.715 | 0.797 | 0.792 | 0.745 | 0.782 | 0.635 | 0.791 |
| hive-0.9.0 | 0.662 | 0.577 | 0.649 | 0.776 | 0.637 | 0.633 | 0.604 | 0.706 |
| jruby-1.1 | 0.652 | 0.668 | 0.793 | 0.857 | 0.719 | 0.733 | 0.849 | 0.759 |
| wicket-1.3.0.beta2 | 0.639 | 0.695 | 0.689 | 0.798 | 0.683 | 0.687 | 0.743 | 0.723 |
| Average | 0.679 | 0.666 | 0.696 | 0.743 | 0.726 | 0.738 | 0.698 | 0.777 |
| Win/Tie/Lose | 26/0/1 | 27/0/0 | 20/3/4 | 17/7/3 | 27/0/0 | 26/1/0 | 23/2/2 | - |
| N/S/M/L () | 0/0/1/25 | 0/0/0/27 | 3/0/0/20 | 3/3/1/12 | 0/0/0/27 | 1/1/4/21 | 0/1/1/22 | - |
| N/S/M/L () | 0/0/0/1 | 0/0/0/0 | 0/1/0/3 | 4/0/2/2 | 0/0/0/0 | 0/0/0/0 | 0/1/0/2 | - |
| Test | Indicator | LDASP | LDASP | LDASP | DASP | LDAP |
|---|---|---|---|---|---|---|
| Win/Tie/Lose | F1-score | 22/1/4 | 27/0/0 | 14/6/7 | 20/6/1 | 19/6/2 |
| AUC | 22/2/3 | 27/0/0 | 19/5/3 | 27/0/0 | 21/6/0 | |
| N/S/M/L () | F1-score | 0/0/0/22 | 0/0/0/27 | 3/5/3/6 | 4/10/6/4 | 4/14/3/2 |
| AUC | 0/1/0/22 | 0/0/1/26 | 4/10/2/6 | 0/3/8/16 | 7/19/0/0 |
| Situation | Number of Prediction Combinations (% of Invalid Cross-Project Prediction Combinations) | |
|---|---|---|
| F1-Score | AUC | |
| WPDP performs better than CLSUP | 114 (21.5%) | 107 (20.2%) |
| WPDP performs better than sMDA | 104 (19.6%) | 85 (16.0%) |
| WPDP performs better than DSKMDA | 228 (43.0%) | 201 (37.9%) |
| WPDP performs better than ours | 24 (4.5%) | 23 (4.3%) |
Disclaimer/Publisher’s Note: The statements, opinions and data contained in all publications are solely those of the individual author(s) and contributor(s) and not of MDPI and/or the editor(s). MDPI and/or the editor(s) disclaim responsibility for any injury to people or property resulting from any ideas, methods, instructions or products referred to in the content. |
© 2024 by the authors. Licensee MDPI, Basel, Switzerland. This article is an open access article distributed under the terms and conditions of the Creative Commons Attribution (CC BY) license (https://creativecommons.org/licenses/by/4.0/).
Share and Cite
Chen, Y.; Chen, H. Landmark-Based Domain Adaptation and Selective Pseudo-Labeling for Heterogeneous Defect Prediction. Electronics 2024, 13, 456. https://doi.org/10.3390/electronics13020456
Chen Y, Chen H. Landmark-Based Domain Adaptation and Selective Pseudo-Labeling for Heterogeneous Defect Prediction. Electronics. 2024; 13(2):456. https://doi.org/10.3390/electronics13020456
Chicago/Turabian StyleChen, Yidan, and Haowen Chen. 2024. "Landmark-Based Domain Adaptation and Selective Pseudo-Labeling for Heterogeneous Defect Prediction" Electronics 13, no. 2: 456. https://doi.org/10.3390/electronics13020456
APA StyleChen, Y., & Chen, H. (2024). Landmark-Based Domain Adaptation and Selective Pseudo-Labeling for Heterogeneous Defect Prediction. Electronics, 13(2), 456. https://doi.org/10.3390/electronics13020456

