Next Article in Journal
Multi-Feature Extraction and Selection Method to Diagnose Burn Depth from Burn Images
Previous Article in Journal
Research on Gate Charge Degradation of Multi-Chip IGBT Modules in Power Supply for Unmanned Aerial Vehicles
Previous Article in Special Issue
Research on a New Inverter Control Strategy of Induction Heating Power Supply
 
 
Font Type:
Arial Georgia Verdana
Font Size:
Aa Aa Aa
Line Spacing:
Column Width:
Background:
Article

Electrothermal Averaged Model of a Half-Bridge DC–DC Converter Containing a Power Module

by
Krzysztof Górecki
* and
Paweł Górecki
Faculty of Electrical Engineering, Gdynia Maritime University, Morska 81-87, 81-225 Gdynia, Poland
*
Author to whom correspondence should be addressed.
Electronics 2024, 13(18), 3662; https://doi.org/10.3390/electronics13183662
Submission received: 19 August 2024 / Revised: 12 September 2024 / Accepted: 13 September 2024 / Published: 14 September 2024
(This article belongs to the Special Issue Advances in Power Conversion Architectures)

Abstract

This article proposes an electrothermal averaged model of a half-bridge DC–DC converter containing a power module. This kind of model enables the computation of characteristics of DC–DC converters using DC analysis. The form of the elaborated model is presented. Both the electrical and thermal properties of the analyzed DC–DC converter are included in this model. This is the first averaged electrothermal model of a DC–DC converter which makes it possible to compute the junction temperature of all the semiconductor devices and magnetic components. The accuracy of the model was experimentally verified in a wide range of switching frequencies and output currents. Particularly, the influence of mutual thermal couplings between the transistors contained in the considered module on the characteristics of the converter and the junction temperature of the transistors is analyzed.

1. Introduction

Power modules are more and more often used in power electronics converters [1,2,3,4]. They contain at least two power semiconductor devices placed in a common housing [5]. The use of such modules facilitates miniaturization of the size of the systems and allows for reducing the costs of purchasing semiconductor devices. In turn, placing these devices in a common housing results in the occurrence of mutual thermal couplings between them [6].
There are many papers in the literature describing the problem of modeling and analysis of DC–DC converters [7,8,9,10]. Two groups of the models of such converters can be distinguished. The first one is dedicated to transient analysis, and it enables determining the waveforms of voltages and currents in the modeled system, e.g., [6,7,8,9,10,11,12]. The other group consists of averaged models, which enable determining the characteristics of converters at the steady state with the use of DC analysis [13,14,15,16,17] or their frequency characteristics using a small-signal analysis [17,18,19,20,21]. A great advantage of averaged models is the possibility to obtain the required characteristics in a short time duration of computations [19,22].
In power electronics systems, semiconductor devices typically operate at high power density. As a result of thermal phenomena (self-heating and mutual thermal coupling), their junction temperature increases [23,24]. An excessive increase in this temperature can significantly shorten the lifetime of the device or damage it [25,26]. Due to a strong influence of temperature on the characteristics of semiconductor devices, the effects of thermal phenomena are the changes in the characteristics of DC–DC converters [27,28] and the limit in the range of their safe operation.
To include thermal phenomena in the analyses of electronic systems, electrothermal models are formulated. Such models take into account mutual dependences between the junction temperature of the components and the currents and voltages on their terminals [29]. Such models enable the selection of the values of both voltages and currents on the terminals of individual components, as well as their junction temperature [6]. In the literature, e.g., [13,16,17], averaged electrothermal models of DC–DC converters are described. However, such a kind of models was formulated only for non-isolated DC–DC converters, i.e., those that do not contain a pulse transformer. What is more, in these models, mutual thermal couplings between semiconductor devices were omitted.
The aim of this article is to formulate and verify a new averaged electro-thermal model of a half-bridge DC–DC converter containing a power module. The form of the developed model is described. The method of determining the parameters values of this model is also presented. The correctness of the model was experimentally verified in a wide range of frequency and load resistances. In particular, attention was paid to the influence of mutual thermal coupling between semiconductor devices on the characteristics of the tested converter. In contrast to the known models of this converter, the following phenomena are taken into account: DC losses in semiconductor devices and magnetic components, dynamic losses in transistors and their dependence on frequency, self-heating in semiconductor devices and magnetic components, and also mutual thermal couplings between the transistors included in the common power module.
Section 2 presents the manner of formulating electrothermal averaged models of DC–DC converters. Section 3 describes the form of the elaborated model. Section 4 shows and discusses the obtained results of computations and measurements.

2. Manner of Model Formulation

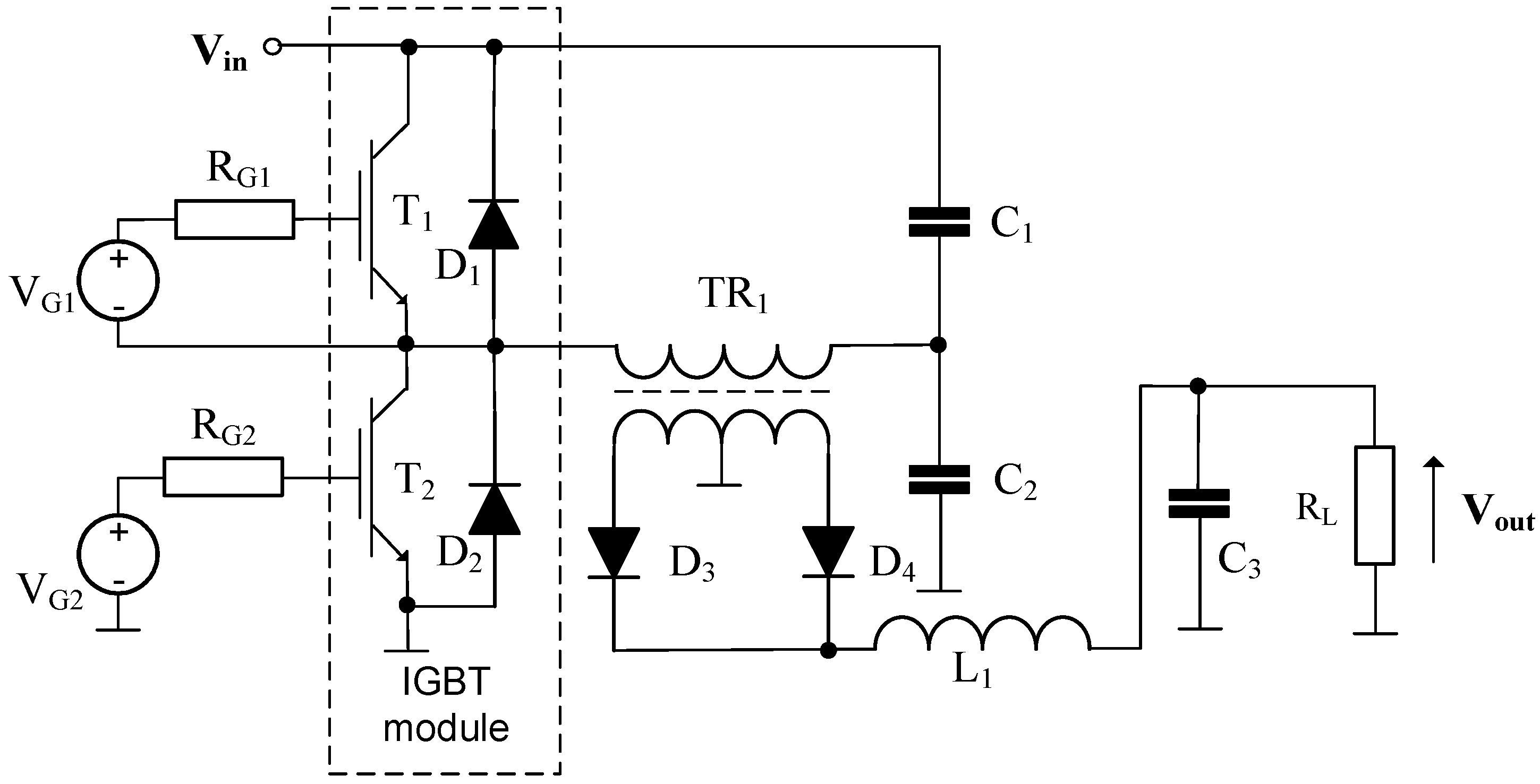
The research object is a half-bridge DC–DC converter. The diagram of this converter is shown in Figure 1.
This circuit contains two IGBTs (T1 and T2 contained in the IGBT module together with diodes D1 and D2) and capacitors (C1 and C2) forming an H-bridge, in the diagonal of which the primary winding of the transformer TR1 is included. Diodes D3 and D4 operating in a full-wave rectifier circuit are connected to the divided secondary winding of this transformer. Inductor L1 is the energy storage element. Capacitor C3 smooths the output voltage ripples, and resistor RL is the converter load. The converter is supplied with constant voltage Vin. The gates of both the transistors are controlled by rectangular voltage waveforms from voltage sources VG1 and VG2 via gate resistors RG1 and RG2. The reference levels of the control signals are selected in such a way so that they ensure reliable switching on and switching off of the transistors. These signals have the identical duty cycles and period, but are phase shifted relative to each other by a half of a period.
In order to formulate an averaged model of the considered DC–DC converter, it is necessary to perform the following [19]:
  • Identify the time intervals in which individual semiconductor devices operate in the forward mode.
  • Formulate equivalent network diagrams for the separated time intervals.
  • Formulate dependences describing the average value of the capacitor current and the average value of the voltage on the inductor, taking into account the dependences between the duration of individual intervals and the period of the control signal; and, next, equate these dependences to zero.
  • From the equations formulated in point 3, one can obtain equations describing the output voltage and input current of the converter or an equivalent network of the converter, which enables the computation of the values of these currents and voltages.
The algorithm presented above ignores thermal phenomena in the converter components. To take these phenomena into account, it is necessary to develop an electrothermal model, which additionally requires the following [13,16]:
  • Formulation of the dependences describing the average values of the power dissipated in the components of the modeled DC–DC converter at the steady state.
  • Formulation of the dependences describing the dependences between the junction temperatures of individual components and the power values dissipated in each component of the modeled DC–DC converter.
When formulating the dependences describing the converter characteristics, simplified models of passive components and semiconductor devices described with the use of piece-wise linear functions should be used. In the case of the diode and the IGBT, models in the form of a series connection of a voltage source, a resistor, and an ideal switch were used. The values of the voltage on this source and the resistance were described using a linear dependence on the junction temperature of these devices [16]. The inductor was described as a series connection of an ideal inductor and a resistor representing losses in the inductor. The transformer was described using a controlled current source (modeling the primary winding) and controlled voltage sources (modeling the secondary windings). The losses in the transformer are represented by a RTR resistor connected in series to the primary winding. The equivalent network of the modeled converter is shown in Figure 2.
When formulating the averaged model of the DC–DC converter under consideration, the fact that the current flows simultaneously only through one of the transistors and through one diode was taken into account, as well as the fact that half of the input voltage Vin is deposited on one of the capacitors (C1 or C2). Therefore, the voltage switched by each of the transistors is equal to half of the voltage Vin. It was assumed that both the transistors are identical. Diodes D3 and D4 have identical characteristics, and capacitances of capacitors C1 and C2 have identical values, also.

3. Elaborated Model Form

The elaborated model is one of compact electrothermal models [6,29]. This kind of model contains two sub-models called the thermal model and the electrical model. The electrical model describes the dependences between the averaged values of voltages and currents in the DC–DC converter. This model takes into account the influence of the junction temperature of the components on the parameters of this model. On the other hand, the thermal model is used to calculate the value of the junction temperature (TT, TD, TL, and TTR) of the components of the analyzed converter, taking into account the power lost (PT, PD, PL, and PTR) in individual components and the effectiveness of the cooling process, characterized by appropriate thermal resistances.
According to the rules given in Section 2, the electrothermal averaged model of a half-bridge DC–DC converter was formulated. When the electrical model was formulated, the diagram of the equivalent network of the considered converter shown in Figure 2 was used. The proper equations describing the average value of the current of capacitor C3 and the average value of the voltage on inductor L1 were formulated. When these values were equated to zero, the dependence of the converter output voltage on the input voltage and the duty cycle was obtained. In this equation, the values of the parasitic resistances of the converter components and the junction temperatures of semiconductor devices also occur. An electrical equivalent circuit was formulated on the basis of this dependence.
In turn, the thermal model consists of the equations that make possible the calculation of the junction temperatures of the converter components. These equations have the form typical for compact thermal models. These temperatures are the sum of ambient temperature Ta and a temperature increase caused by thermal phenomena. In each of the equations, in the thermal model, power dissipated in the modeled device occurs. This power contains a DC component and a dynamic component related to the switching process. The detailed description of each junction temperature is given in the further part of this section.
The formulated averaged electrothermal model of the half-bridge converter is presented in Figure 3 in the form of an equivalent circuit.
In the electric model, the controlled voltage source E1 is described by the formula:
E 1 = d × ( V m 0 + ( α U + α R T × R T 0 × I × n ) × ( T T T 0 ) )
where d is the duty cycle of the signal controlling the transistors in the converter, Vm0 is the extrapolated voltage drop between the collector and the emitter of the turned-on transistor at a collector current equal to zero at the reference temperature T0, TT is the junction temperature of the transistor, αU is the temperature coefficient of voltage Vm0, αRT is the relative coefficient of series resistance RT0 of the turned-on transistor, and n is the turns ratio of the transformer.
The output voltage of the controlled voltage source E2 is expressed by the following formula:
E 2 = ( 1 d ) × ( V D 0 + ( α U D + α R D × R D 0 × I ) × ( T D T 0 ) )
where VD0 is the extrapolated forward voltage drop of the diode at zero current at reference temperature T0, TD is the junction temperature of the diode, αUD is the temperature coefficient of voltage VD0, and αRD is the relative coefficient of series resistance RD0.
In the thermal model, values of the junction temperature of the semiconductor devices and magnetic components are computed. The equations describing the voltage in individual controlled voltage sources include thermal resistances and the expressions describing the power dissipated in individual components. For the inductor and the diode, only DC losses related to the current flowing through the diode in the forward mode and the inductor winding resistance are taken into account. In the case of a transistor operating in a switching mode under an inductive load with high switching frequency, the energy losses related to switching this device are of utmost importance [30]. They depend on the value of the switching energy and then increase when the switching frequency increases. In turn, the losses in the transformer are the sum of the losses in the windings and the losses in the core, the values of which change with an increase in frequency and the duty cycle of the control signal.
For the diode, the inductor- and the transformer-only self-heating is taken into account in the thermal model. In turn, for the transistors, both the self-heating and mutual thermal couplings are taken into account in the thermal model. Mutual thermal couplings occur, e.g., between semiconductor devices situated in the common case [2,31] or between semiconductor devices mounted on the common heat sink or the common PCB [6,23]. Due to self-heating and mutual thermal couplings, the value of the junction temperature increases. An increase in the junction temperature caused by self-heating is characterized by thermal resistance, whereas such an increase caused by mutual thermal couplings is characterized by mutual thermal resistance [6,31,32].
The individual controlled voltage sources are described by the following formulas:
Δ T T = ( R t h T + R t h m ) × ( V T × I × n + E s w × f 0 × ( 1 + α I × ( I × n I 0 ) ) × × ( 1 + α f × ( f f 0 ) ) )
Δ T D = 0.5 × R t h D × V D × I
Δ T L = R t h L × R L × I 2
Δ T T R = R t h T R × ( R T R × I 2 × n 2 + P C 0 × ( 1 + α T R × ( d d 0 ) ) )
where RthT is thermal resistance of the transistor, Rthm—mutual thermal resistance between the transistors contained in the IGBT module, RthD—thermal resistance of the diode, RthL—thermal resistance of the inductor, RthTR—thermal resistance of the transformer, VT and VD are the voltages marked in Figure 3, Esw is the switching energy of the transistor at the reference frequency f0 and the reference current I0, f is frequency of the control signal, αf—frequency switching energy factor, αI—current switching energy factor, PC0—power losses in the transformer core at frequency f0 and the duty cycle d0, and αTR—the slope of the PC0(d) dependence.
Due to the fact that the frequency of the inductor current is twice as high as the switching frequency of the transistors, in the presented model, the duty cycle d should be substituted with its double value.

4. Investigations Results

In order to verify the correctness of the presented model, a half-bridge converter was constructed and the values of the parameters of this model were determined. The following components were used for the construction of the converter:
(a)
IGBT module of the type FF50R12RT4 containing two transistors belonging to the group of IGBT4 and two diodes connected in an inverter branch,
(b)
Schottky diodes made of silicon carbide of the type FFSH5065B,
(c)
Inductor of inductance L1 = 1.412 mH,
(d)
Capacitors C1 and C2 of capacitance 10 mF,
(e)
Gate resistors RG1 and RG2 of resistance 56 Ω.
The transistors contained in the applied IGBT module are characterized by an allowable collector current of 50 A and an allowable collector emitter voltage of 1200 V [33]. The maximum permissible power dissipated in the module is 285 W. The dimensions of the module housing are 94 × 34 × 30 mm. The junction case thermal resistance is 0.53 K/W.
The diodes used [34] are placed in TO-247 packages. The allowable forward current of these diodes is 50 A, and the permissible reverse voltage is 650 V.
In order to ensure thermal isolation between the components of the tested DC–DC converter, sufficient distances between these components were maintained. The measurements of the input and output voltages and currents were performed with the use ZES Zimmer Precision Power Analyzer LMG670 (ZES ZIMMER Electronic Systems GmbH, Oberursel, Germany). The value of the duty cycle was measured with the use of a digital oscilloscope Tektronix MDO4104B-3 (Textronix, Beaverton, OR, USA). As the input voltage source the power supply, EA-PSI 9750-20 (EA Elektro-Automatik, Viersen, Germany) was used.
The view of the tested DC–DC converter is shown in Figure 4a, whereas the selected measured waveforms are shown in Figure 4b.
The tested DC–DC converter was designed for experimental verification of the model, not for industry implementation. One of the main design principles was to keep the converter open for modification, e.g., adding a second power module to present the influence of mutual thermal coupling in the power module on its performance. Therefore, it was modified during the investigations to perform measurements, the results of which are presented in the further part of this section.
All of the plots presented in this Section were performed using the Excel 2016 software. The results presented in these plots were obtained using the measurements performed at the steady state and the computations performed with the SPICE (Pspice A/D Version 17.2 2016) software and the model described in Section 3.
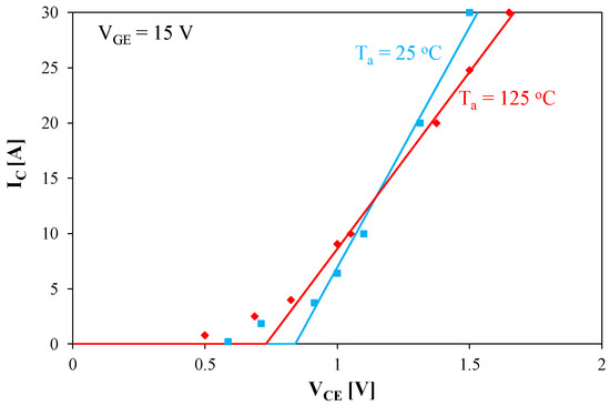
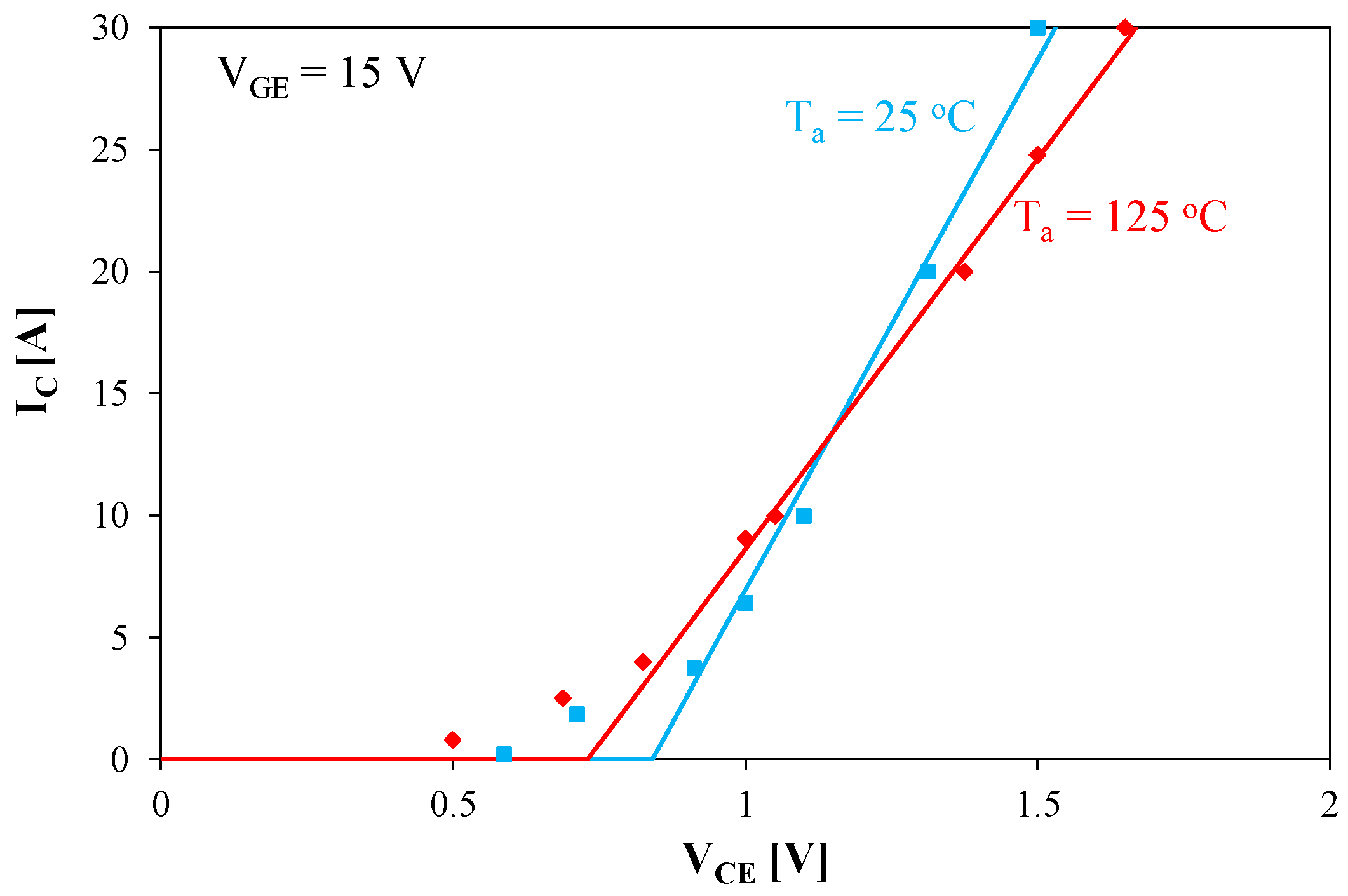
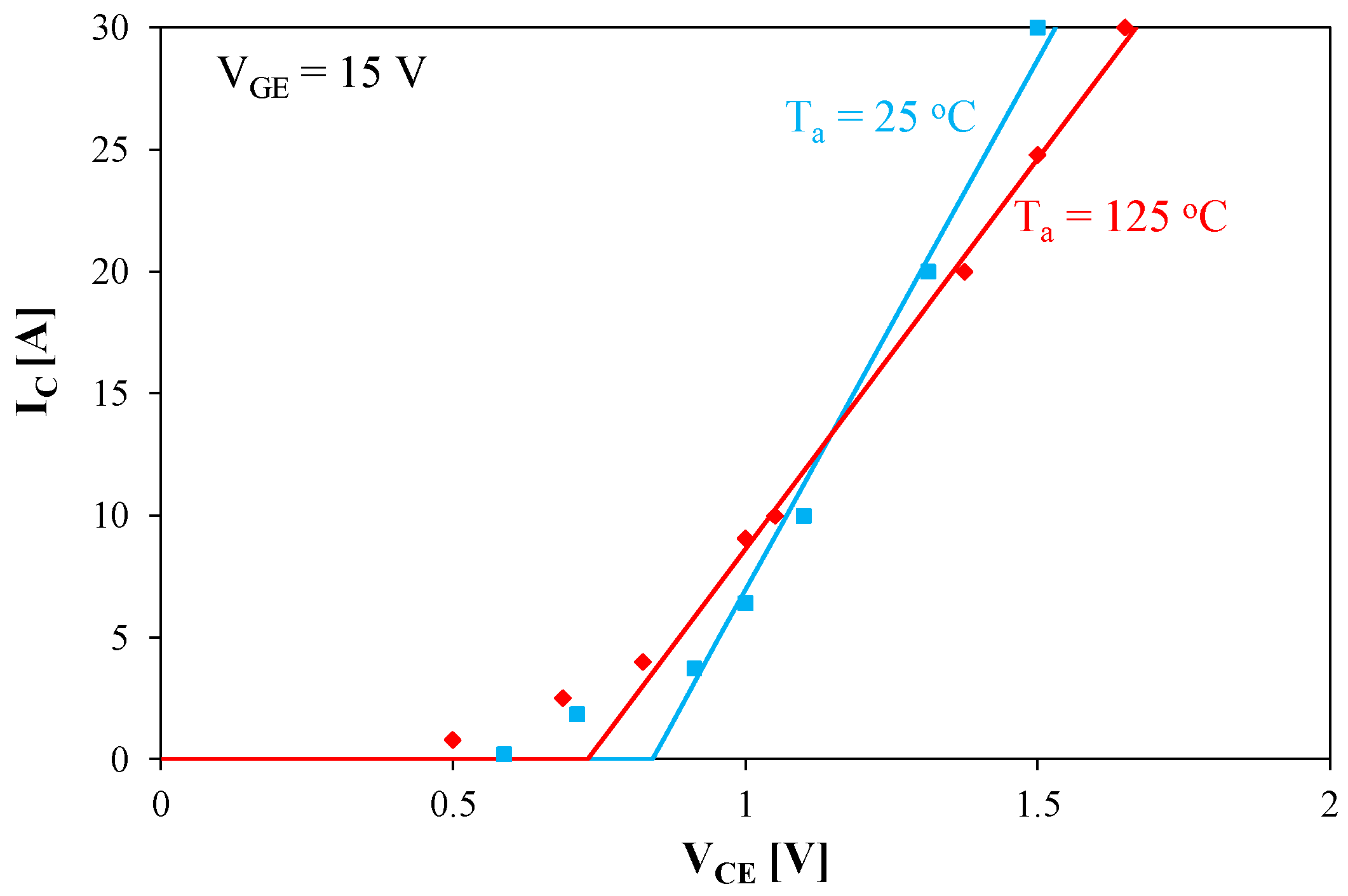
In order to determine the values of the model parameters, measurements of the DC characteristics of the diode and the IGBT were performed. Then, an approximation of these characteristics was performed using piecewise linear functions. The measured characteristics (points) and approximation results (lines) for the IGBT for two values of Ta temperature are shown in Figure 5.
As is visible in the figure, good agreement was obtained between the measured and the approximated characteristics. The values of the parameters used to approximate the transistor characteristics are as follows: Vm0 = 0.84 V, αU = −1.1 mV/K, RT0 = 23 mΩ, αRT = 3.6 × 10−3 1/K. For the diode, the parameters of the approximating function are as follows: VD0 = 0.8 V, αUD = −1 mV/K, RD0 = 30 mΩ, αRD = 3 × 10−3 1/K. The transformer ratio n was assumed to be equal to the turns ratio, 0.397. The series resistances of the inductor and the transformer are 0.28 and 0.15 Ω, respectively. Based on the module datasheet, the switching energy value was determined to be Esw = 550 μJ, the reference frequency f0 = 20 kHz, αf = 55.23 μs, αI = 0.2 A−1, I0 = 4.6 A, PC0 = 4 W, αTR = 6.25, and d0 = 0.35.
The values of the thermal model parameters characterizing the efficiency of heat dissipation from the individual components were measured under the cooling conditions used during the experimental tests. The IGBT module and diodes were mounted on large aluminum heat sinks (dimensions 165 × 80 × 32 mm). Indirect electrical methods described, among others, in [31] were used to measure thermal resistance of the IGBT module and the diode. In turn, the thermal resistance of the inductor and the transformer was measured using the pyrometric methods described in [35]. As a result of the measurements, the following values of the parameters under consideration were obtained as follows: RthT = 2.5 K/W, Rthm = 2.1 K/W, RthD = 2.8 K/W, RthL = 7 K/W, and RthTR = 8 K/W.
Using the proposed model and the values of its parameters given above, a series of DC analyses of the half-bridge DC–DC converter were carried out in the SPICE software. The correctness of these analyses was verified using the measurement results for the elaborated circuit. The measurements and computations were carried out for two cases. In the first case, both transistors operating in the converter were placed in the same IGBT module. In the other case, each of the transistors was located in a separate IGBT module. Both the IGBT modules and the diodes were placed on large aluminum heat sinks.
In the analyses, in which transistors placed in separate IGBT modules were considered, the mutual thermal resistance Rthm value was zero. The computations and measurements were performed at an input voltage value Vin = 325 V. Different values of frequency f and load resistance RL were considered. Figure 5, Figure 6, Figure 7, Figure 8, Figure 9 and Figure 10 present the obtained investigation results. These investigations were performed in order to illustrate the practical usefulness of the elaborated model and to show the influence of selected factors on the characteristics of the considered DC–DC converter. In the presented figures, the points indicate the measurement results, whereas the lines—the computations results. In the cases presented in Figure 6, Figure 7 and Figure 8, transistors placed in the same IGBT module were used.
Figure 6 illustrates the influence of the duty cycle d of the control signal on the output characteristics Vout(Iout) of the tested converter operating at the control signal frequency f = 25 kHz.
The obtained Vout(Iout) dependences are monotonically decreasing functions. An increase in the duty cycle d value causes an increase in the Vout voltage value. The shape of the obtained characteristics is a result of the non-ideality of the components used to build the DC–DC converter, in particular, the parasitic resistances of the transistor, diode, inductor and transformer, as well as voltage drops on the turn-on transistor and the diode. As a result of these non-idealities, the voltage at the converter output is even a few volts lower than in the case when ideal components were used (dashed lines).
Figure 7 presents the dependence of energy efficiency η of the DC–DC converter on the load current for the selected values of the duty cycle.
As can be seen, the dependences η(Iout) obtained from the measurements show a maximum at current Iout = 7 A. In turn, the dependences obtained from the computations are monotonically decreasing functions. However, the differences between the computed and measured energy efficiency values are small. They probably result from the lack of an element in the model responsible for modeling the switching losses of the transistors, which are particularly important in the range of low output current values.
Figure 8 presents the dependence of the junction temperature of such components of the tested converter as transistors TT, diodes TD, inductor TL, and transformer TTR on the converter output current obtained at different values of the duty cycle.
As it is visible, the temperature inside each of the converter components is an increasing function of current Iout. In the case of the transistor (Figure 8a), an increase in the duty cycle value causes an increase in temperature TT, whereas for the diode (Figure 8b), an opposite trend is observed. On the other hand, there is practically no influence of the d value on the inductor temperature (Figure 8c) because it depends only on the current Iout value and the inductor winding resistance, which does not depend on the current value. The transformer temperature increases with an increase in the duty cycle value (Figure 8d) due to an increase in the core losses caused by an increase in the magnetic flux density amplitude at a higher voltage value on the transformer winding [35].
As can be seen in Figure 6, Figure 7 and Figure 8, good agreement was achieved between the results of the computations and measurements for all of the considered characteristics for the cases when both the transistors were placed in a common IGBT module. In order to illustrate the influence of mutual thermal couplings between these transistors, Figure 9 and Figure 10 show the computed and measured characteristics of the considered converter obtained at the control signal frequency f = 20 kHz and the duty cycle of this signal d = 0.35. In these figures, the results obtained for the transistors placed in one IGBT module are marked in red, while the results obtained for the transistors placed in separate modules are marked in blue. In the computations concerning the transistors placed in separate IGBT modules, a value of mutual thermal resistance Rthm = 0 was assumed.
Figure 9 shows the computed and measured dependences of the output voltage (Figure 9a) and energy efficiency (Figure 9b) of the tested DC–DC converter on the load current.
Analyzing the Vout(Iout) and η(Iout) waveforms, it is easy to notice that thermal couplings between the transistors have practically no effect on these characteristics. This is due to the fact that changes in the voltage drop value on the semiconductor devices caused by changes in their junction temperature are much smaller than the value of the converter input voltage and are negligible against this background.
Figure 10 shows the computed and measured dependence of the transistor junction temperature on the load current.
It can be seen that both for the converter containing transistors placed in one IGBT module and for the converter with two modules, a monotonically increasing dependence of TT(Iout) was obtained. As a result of mutual thermal couplings between the transistors, their junction temperature when working in one module is even more than 30 °C higher than in the case of using two modules. The fact of placing transistors in one or two modules does not affect the measured and computed values of the junction temperature of the diode, inductor, or transformer.
An influence of the switching frequency on the characteristics of the considered converter was also analyzed. Figure 11 presents the computed and measured dependence of the junction temperature of the transistors placed in one module (red) or in two modules (blue) on frequency f. The tests were carried out at d = 0.35 and load resistance RL = 3.75 Ω.
An increase in the transistor junction temperature is visible with an increase in the control signal frequency. This is related to an increase in the share of losses associated with the transistor switching with an increase in frequency. At the same frequency value, a much higher value of the transistor junction temperature was obtained for the case when both the transistors were placed in the same IGBT module. Mutual thermal couplings between the transistors limit the maximum permissible value of the converter operating frequency. For the transistors placed in a common IGBT module, the temperature TT reaches 100 °C at a frequency of about 45 kHz, and for the transistors placed in separate modules, it reaches a frequency of about 90 kHz. The temperatures of the diodes, inductors, and transformers also increase with an increase in frequency, but these changes are much smaller than in the case of transistors.

5. Conclusions

This paper presents the results of investigations on properties of a half-bridge DC–DC converter, including thermal phenomena. A new electrothermal averaged model of such a converter containing an IGBT module is proposed. The proposed model is dedicated to DC analysis in the SPICE software. This type of model enables determining the half-bridge converter characteristics, including thermal phenomena, in an acceptably short time. This time is counted in hundredths of a second.
The presented model takes into account the number of non-idealities of the components of the considered converter. These include the following: voltage drops on the switched-on transistor and the forward biased diode, series resistances of these devices, parasitic resistance of the inductor and transformer, switching losses in the transistor, losses in the transformer core, a self-heating phenomenon in the transistor, diode, inductor and transformer, and mutual thermal coupling between the transistors placed in a common IGBT module. The developed model takes into account both non-idealities related to parasitic electrical components, as well as the dependence of the values of these components on the temperature inside the converter components.
The analyses carried out show that the developed model, despite its simple form, enables us to determine the dependence between the terminal voltages and currents of the converter at the steady state, the values of the converter energy efficiency, and the junction temperatures of the semiconductor devices and magnetic components. The computations and measurements show that these results are in good agreement in a wide range of load currents, control signal frequencies, and duty cycles. The strong influence of the values of these quantities on the output voltage, the converter’s energy efficiency, and the temperatures inside its components was demonstrated. The main advantages of the proposed model are: high accuracy, short computation time and a simple form.
It was shown by simulation and experiment that mutual thermal couplings between the transistors contained in the IGBT module can cause significant changes in the junction temperature of the transistors operating in the converter. The additional junction temperature increase caused by these couplings limits the permissible value of the converter load current and the maximum allowable value of its operating frequency. In the example considered in this paper, the maximum allowable values of the load current and the converter operating frequency are limited even twice due to the occurrence of mutual thermal couplings between the transistors.
The developed electrothermal averaged model of a half-bridge DC–DC converter can also be applied in the case of using transistors other than IGBTs, e.g., MOSFETs. The use of the proposed model can significantly simplify the process of performing computations when designing half-bridge DC–DC converters. This model can also be useful in the process of teaching power electronics to illustrate the influence of various factors on the characteristics of the considered system. In further works, the influence of mutual thermal couplings between all of the components of DC–DC converters on the characteristics of these converters will be considered.

Author Contributions

Conceptualization (K.G. and P.G.); methodology (K.G. and P.G.); validation (K.G.); investigation (P.G.); writing—original draft preparation (K.G. and P.G.); writing—review and editing (K.G. and P.G.); visualization (K.G. and P.G.); supervision (K.G.). All authors have read and agreed to the published version of the manuscript.

Funding

Supported by the Foundation for Polish Science (FNP).

Data Availability Statement

The data presented in this study are available on request from the corresponding author.

Acknowledgments

The authors gives thanks to Daniel Wojciechowski for a valuable discussion regarding the design and construction of the tested DC–DC converter.

Conflicts of Interest

The authors declare no conflicts of interest.

References

  1. Wu, R.; Wang, H.; Pedersen, K.B.; Ma, K.; Ghimire, P.; Iannuzzo, F.; Blaabjerg, F. A temperature-dependent thermal model of IGBT modules suitable for circuit-level simulations. IEEE Trans. Ind. Appl. 2016, 52, 3306–3314. [Google Scholar] [CrossRef]
  2. Zhang, Y.; Wang, H.; Wang, Z.; Yang, Y.; Blaabjerg, F. Simplified Thermal Modeling for IGBT Modules with Periodic Power Loss Profiles in Modular Multilevel Converters. IEEE Trans. Ind. Electron. 2019, 66, 2323–2332. [Google Scholar] [CrossRef]
  3. Chang, Y.; Li, W.H.; Luo, H.Z.; He, X.N.; Iannuzzo, F.; Blaabjerg, F.; Lin, W.X. A 3D Thermal Network Model for Monitoring Imbalanced Thermal Distribution of Press-Pack IGBT Modules in MMC-HVDC Applications. Energies 2019, 12, 1319. [Google Scholar] [CrossRef]
  4. Luo, Z.H.; Ahn, H.; El Nokali, M.A. A thermal model for insulated gate bipolar transistor module. IEEE Trans. Power Electron. 2004, 19, 902–907. [Google Scholar]
  5. Rashid, M.H. Power Electronic Handbook; Academic Press: Cambridge, MA, USA; Elsevier: Amsterdam, The Netherlands, 2007. [Google Scholar]
  6. Górecki, K.; Górecki, P. SPICE-aided nonlinear electrothermal modeling of an IGBT module. Electronics 2023, 12, 4588. [Google Scholar] [CrossRef]
  7. Ericson, R.; Maksimovic, D. Fundamentals of Power Electronics, Norwell; Kluwer Academic Publisher: Amsterdam, The Netherlands, 2001. [Google Scholar]
  8. Kazimierczuk, M. Pulse-Width Modulated DC-DC Power Converters; Wiley: Hoboken, NJ, USA, 2015. [Google Scholar]
  9. Rashid, M.H. Spice for Power Electronics and Electric Power; CRC Press: Boca Raton, FL, USA, 2006. [Google Scholar]
  10. Catalano, A.P.; Riccio, M.; Codecasa, L.; Magnani, A.; Romano, G.; d’Alessandro, V.; Maresca, L.; Rinaldi, N.; Breglio, G.; Irace, A. Model-Order Reduction Procedure for Fast Dynamic Electrothermal Simulation of Power Converters. Applications in Electronics Pervading Industry, Environment and Society. Lect. Notes Electr. Eng. 2017, 512, 81–87. [Google Scholar]
  11. Dimitrov, B.; Hayatleh, K.; Barker, S.; Collier, G.; Sharkh, S.; Cruden, A. A Buck-Boost Transformerless DC-DC Converter Based on IGBT Modules for Fast Charge of Electric Vehicles. Electronics 2020, 9, 397. [Google Scholar] [CrossRef]
  12. Dini, P.; Saponara, S.; Chakraborty, S.; Hosseinabadi, F.; Hegazy, O. Experimental Characterization and Electro-Thermal Modeling of Double Side Cooled SiC MOSFETs for Accurate and Rapid Power Converter Simulations. IEEE Access 2023, 11, 79120–79143. [Google Scholar] [CrossRef]
  13. Górecki, K.; Detka, K. Application of Average Electrothermal Models in the SPICE-Aided Analysis of Boost Converters. IEEE Trans. Ind. Electron. 2019, 66, 2746–2755. [Google Scholar] [CrossRef]
  14. Pavlovic, T.; Bjazic, T.; Ban, Z. Simplified Averaged Models of DC-DC Power Converters Suitable for Controller Design and Microgrid Simulation. IEEE Trans. Power Electron. 2013, 28, 3266–3275. [Google Scholar] [CrossRef]
  15. Mahdavi, J.; Emaadi, A.; Bellar, M.D.; Ehsani, M. Analysis of Power Electronic Converters Using the Generalized State-Space Averaging Approach. IEEE Trans. Circuits Syst. 1997, 44, 767–770. [Google Scholar] [CrossRef]
  16. Górecki, P. Electrothermal Averaged Model of a Diode–IGBT Switch for a Fast Analysis of DC–DC Converters. IEEE Trans. Power Electron. 2022, 37, 13003–13013. [Google Scholar] [CrossRef]
  17. Cheng, T.; Lu, D.D.-C.; Siwakoti, Y.P. A MOSFET SPICE Model with Integrated Electro-Thermal Averaged Modeling, Aging, and Lifetime Estimation. IEEE Access 2021, 9, 5545–5554. [Google Scholar] [CrossRef]
  18. Vorperian, V. Fast Analitycal Techniques for Electrical and Electronic Circuits; Cambridge University Press: Cambridge, UK, 2002. [Google Scholar]
  19. Basso, C. Switch-Mode Power Supply SPICE Cookbook; McGraw-Hill: New York, NY, USA, 2001. [Google Scholar]
  20. Ayachit, A.; Kazimierczuk, M.K. Averaged Small-Signal Model of PWM DC-DC Converters in CCM Including Switching Power Loss. IEEE Trans. Circuits Syst. 2019, 66, 262–266. [Google Scholar] [CrossRef]
  21. Zhang, Y.; Si, J.; Wang, X.-T.; Li, J.; Zhao, H. Stability Analysis of Buck Converter Based on Passivity-Based Stability Criterion. Appl. Sci. 2024, 14, 1755. [Google Scholar] [CrossRef]
  22. Martínez-Caballero, L.; Kot, R.; Milczarek, A.; Malinowski, M. Converter Averaging Approach for Modeling a Residential Supply Subsystem. In Proceedings of the 2023 IEEE 17th International Conference on Compatibility, Power Electronics and Power Engineering (CPE-POWERENG), Tallinn, Estonia, 14–16 June 2023. [Google Scholar]
  23. d’Alessandro, V.; Codecasa, L.; Catalano, A.P.; Scognamillo, C. Circuit-Based Electrothermal Simulation of Multicellular SiC power MOSFETs using FANTASTIC. Energies 2020, 13, 4563. [Google Scholar] [CrossRef]
  24. Bryant, B.; Kazimierczuk, M.K. Voltage-Loop Power-Stage Transfer Functions with MOSFET Delay for Boost PWM Converter Operating in CCM. IEEE Trans. Ind. Electron. 2007, 54, 347–353. [Google Scholar] [CrossRef]
  25. Castellazzi, A.; Kraus, R.; Seliger, N.; Schmitt-Landsiedel, D. Reliability analysis of power MOSFET’s with the help of compact models and circuit simulation. Microelectron. Reliab. 2002, 42, 1605–1610. [Google Scholar] [CrossRef]
  26. Nwanoro, K.C.; Lu, H.; Yin, C.; Bailey, C. Numerical simulation of the junction temperature, the coolant flow rate and the reliability of an IGBT module. In Proceedings of the 24th International Workshop on Thermal Investigations of ICs and Systems THERMINIC, Stockholm, Sweden, 26–28 September 2018; pp. 1–6. [Google Scholar]
  27. Azer, P.; Rodriguez, R.; Guo, J.; Gareau, J.; Bauman, J.; Ge, H.; Bilgin, B.; Emadi, A. Time-Efficient Integrated Electrothermal Model for a 60-kW Three-Phase Bidirectional Synchronous DC-DC Converter. IEEE Trans. Ind. Appl. 2020, 56, 654–668. [Google Scholar] [CrossRef]
  28. Cheng, T.; Lu, D.D.-C.; Siwakoti, Y.P. Electro-Thermal Modeling of a Boost Converter Considering Device Self-heating. In Proceedings of the 2020 IEEE Applied Power Electronics Conference and Exposition (APEC), New Orleans, LA, USA, 15–19 March 2020. [Google Scholar]
  29. Starzak, L.; Stefanskyi, A.; Zubert, M.; Napieralski, A. Improvement of an electro-thermal model of SiC MPS diodes. IET Power Electron. 2018, 11, 660–667. [Google Scholar] [CrossRef]
  30. Górecki, K. Influence of parasitic elements and operating conditions of semiconductor switches on power losses and the junction temperature of these switches. Energies 2023, 16, 5803. [Google Scholar] [CrossRef]
  31. Górecki, K.; Górecki, P.; Zarębski, J. Measurements of parameters of the thermal model of the IGBT module. IEEE Trans. Instrum. Meas. 2019, 68, 4864–4875. [Google Scholar] [CrossRef]
  32. Schweitzer, D.; Ender, F.; Hantos, G.; Szabo, P.G. Thermal transient characterization of semiconductor devices with multiple heat-sources—Fundamentals for a new thermal standard. Microelectron. J. 2015, 46, 174–182. [Google Scholar] [CrossRef]
  33. Technical Information IGBT Module FF50R12RT4, Infineon. 2013. Available online: https://www.infineon.com/dgdl/Infineon-FF150R12RT4-DS-v02_01-EN.pdf?fileId=db3a304327b8975001280604608b6165 (accessed on 12 September 2024).
  34. Silicon Carbide (SiC) Schottky Diode—EliteSiC, FFSH5065B-F085. Data Sheet, Onsemi. 2018. Available online: https://www.onsemi.com/pdf/datasheet/ffsh5065b-f085-d.pdf (accessed on 12 September 2024).
  35. Górecki, K.; Detka, K.; Górski, K. Compact thermal model of the pulse transformer taking into account nonlinearity of heat transfer. Energies 2020, 13, 2766. [Google Scholar] [CrossRef]
Figure 1. Diagram of the considered half-bridge DC–DC converter.
Figure 1. Diagram of the considered half-bridge DC–DC converter.
Electronics 13 03662 g001
Figure 2. Equivalent diagram of the analyzed DC–DC converter.
Figure 2. Equivalent diagram of the analyzed DC–DC converter.
Electronics 13 03662 g002
Figure 3. Network representation of the electrothermal averaged model of the considered half-bridge DC–DC converter.
Figure 3. Network representation of the electrothermal averaged model of the considered half-bridge DC–DC converter.
Electronics 13 03662 g003
Figure 4. View of the converter used for experimental verification of the developed model (a) and the recorded waveform (b) of the transformer primary side current (yellow), drain-source voltage of the low-side transistor (blue), drain-source voltage of the high-side transistor (pink), and gate-source voltage of the high-side transistor (green).
Figure 4. View of the converter used for experimental verification of the developed model (a) and the recorded waveform (b) of the transformer primary side current (yellow), drain-source voltage of the low-side transistor (blue), drain-source voltage of the high-side transistor (pink), and gate-source voltage of the high-side transistor (green).
Electronics 13 03662 g004
Figure 5. Measured (squares and rhombuses) and approximated (lines) output characteristics of the IGBT for different values of temperature.
Figure 5. Measured (squares and rhombuses) and approximated (lines) output characteristics of the IGBT for different values of temperature.
Electronics 13 03662 g005
Figure 6. Measured (points) and computed (lines) output characteristics of the tested converter at selected values of the duty cycle.
Figure 6. Measured (points) and computed (lines) output characteristics of the tested converter at selected values of the duty cycle.
Electronics 13 03662 g006
Figure 7. Measured (points) and computed (lines) dependencies of the energy efficiency of the tested converter on the output current at different values of the duty cycle.
Figure 7. Measured (points) and computed (lines) dependencies of the energy efficiency of the tested converter on the output current at different values of the duty cycle.
Electronics 13 03662 g007
Figure 8. Measured (points) and computed (lines) dependences of the temperature of transistors (a), diodes (b), inductor (c), and transformer (d) on the output current at different values of the duty cycle.
Figure 8. Measured (points) and computed (lines) dependences of the temperature of transistors (a), diodes (b), inductor (c), and transformer (d) on the output current at different values of the duty cycle.
Electronics 13 03662 g008
Figure 9. Measured (points) and computed (lines) dependences of the output voltage (a) and energy efficiency (b) of the tested converter on the output current.
Figure 9. Measured (points) and computed (lines) dependences of the output voltage (a) and energy efficiency (b) of the tested converter on the output current.
Electronics 13 03662 g009
Figure 10. Measured (points) and computed (lines) dependences of the transistor junction temperature on the output current.
Figure 10. Measured (points) and computed (lines) dependences of the transistor junction temperature on the output current.
Electronics 13 03662 g010
Figure 11. Measured (points) and computed (lines) dependences of the transistor junction temperature on the frequency of the control signal.
Figure 11. Measured (points) and computed (lines) dependences of the transistor junction temperature on the frequency of the control signal.
Electronics 13 03662 g011
Disclaimer/Publisher’s Note: The statements, opinions and data contained in all publications are solely those of the individual author(s) and contributor(s) and not of MDPI and/or the editor(s). MDPI and/or the editor(s) disclaim responsibility for any injury to people or property resulting from any ideas, methods, instructions or products referred to in the content.

Share and Cite

MDPI and ACS Style

Górecki, K.; Górecki, P. Electrothermal Averaged Model of a Half-Bridge DC–DC Converter Containing a Power Module. Electronics 2024, 13, 3662. https://doi.org/10.3390/electronics13183662

AMA Style

Górecki K, Górecki P. Electrothermal Averaged Model of a Half-Bridge DC–DC Converter Containing a Power Module. Electronics. 2024; 13(18):3662. https://doi.org/10.3390/electronics13183662

Chicago/Turabian Style

Górecki, Krzysztof, and Paweł Górecki. 2024. "Electrothermal Averaged Model of a Half-Bridge DC–DC Converter Containing a Power Module" Electronics 13, no. 18: 3662. https://doi.org/10.3390/electronics13183662

APA Style

Górecki, K., & Górecki, P. (2024). Electrothermal Averaged Model of a Half-Bridge DC–DC Converter Containing a Power Module. Electronics, 13(18), 3662. https://doi.org/10.3390/electronics13183662

Note that from the first issue of 2016, this journal uses article numbers instead of page numbers. See further details here.

Article Metrics

Back to TopTop