An Improved Co-Resident Attack Defense Strategy Based on Multi-Level Tenant Classification in Public Cloud Platforms
Abstract
1. Introduction
- An improved co-resident attack defense strategy based on multi-level tenant classification is introduced. The strategy is able to classify tenants with different security levels, so the cloud providers are allowed to physically isolate them to reduce the co-residency probability.
- A multi-level clustering algorithm is proposed, which can deal with the problem of unevenly distributed datasets.
- Built on the proposed clustering algorithm, a semi-supervised classification model named MSVMT is designed.
- Based on the real-world and large-scale dataset collected from the commercial cloud platform, we profile the behavior patterns of tenants with different security levels and extract proper features to represent their behaviors. It provides a new idea for processing totally unlabeled data.
2. Related Work
2.1. Traditional Defense Strategy
2.2. Partition- and Replication-Based Defense Strategy
2.3. Machine Learning-Based Tenant Classification
3. Attack Model and Behavior Analysis
3.1. Attack Model
3.2. Analysis of Attackers’ Behavior
4. Proposed Defense Strategy
4.1. Overall Design
- (1)
- Clustering Task: To implement the proposed defense strategy, we perform data preprocessing first, including noise removal, feature extraction, and data normalization. Then, for the clustering task, we propose a multi-level clustering algorithm based on HDBSCAN to cope with the difficulties of skew distribution and parameter adjustment problems. The algorithm helps to capture local details of the data and avoid the complicated parameter adjustment process. Eventually, the partially labeled data we manually select from the clustering results are used for the subsequent classification task.
- (2)
- Classification Task: We design a multi-level SVM classification model based on a decision tree (MSVMT) to perform the classification task. The idea is to train multiple SVMs for different tenant groups. When a new VM request arrives, the corresponding SVM is called to classify the tenant who initiated this request. The experiment shows that our model performs effectively on the classification and possesses a good generalization ability.
4.2. Dataset and Feature Extraction
- N—the total number of VMs started by the tenant. The greater this value is, the more VMs the tenant has started.
- —the median value of a tenant’s VMs’ running time. The total time or average time is not adopted because we have to consider that some tenants, like potential attackers, keep most of their VMs running for a very short time, and only a small part can last longer. So the median value can better reflect this malicious behavior pattern.
- —the average interval time between two consecutive VMs started by the same tenant. This feature is rather important for attackers because when a co-resident attack is launched, the attacker tends to start many VMs in a short time. So, should be relatively small for attackers.
4.3. Multi-Level Clustering
| Algorithm 1 Multi-Level HDBSCAN Clustering |
| Input: Azure Trace for Packing 2020 Dataset S |
| Output: Labelled groups G; Unlabelled groups U 1: S = FeatureExtraction (S) 2: G = {}; 3: U = {}; 4: k = 1 5: repeat 6: N = Normalized (S) 7: clusters = HDBSCAN(N); 8: low_risk_group_k = LabelGroupLow (clusters) 9: G = G ∪ low_risk_group_k 10: if k = 1 then 11: high_risk_group = LabelGroupHigh (clusters) 12: G = G ∪ high_risk_group 13: end if 14: k = k + 1 15: S = S − G 16: until len (clusters) < 1 17: U = S − G; 18: return Labelled groups G; Unlabelled groups U |
4.4. Tenant Classification
5. Experimental Evaluation
5.1. Dataset
5.2. Normalization
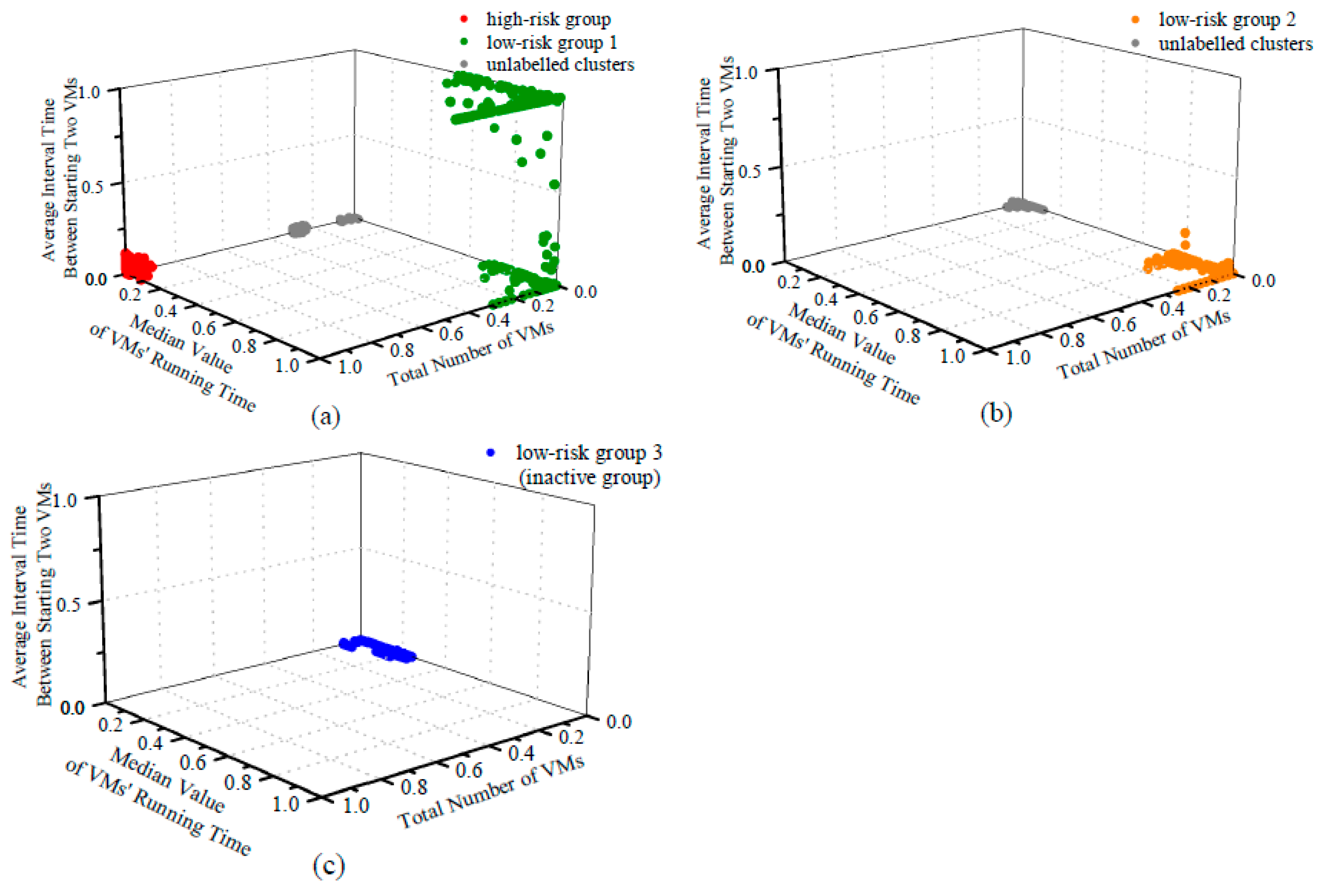
5.3. Clustering Results
- The area colored in red includes 1024 tenants, and each of them starts a large number of VMs in a short period of time while most VMs keep a short running time. Since they match the behavior patterns of malicious attackers exactly, we label them as high-risk.
- The area colored in green includes 1405 tenants. These tenants start less than 30 VMs, and more importantly, the median value of their VMs’ running time is over 60 days. We label this area as the safest low-risk group 1. It is worth noting that for normal tenants, since the number of VMs is quite small, the feature of the average interval time between starting two VMs becomes relatively less important.
- The area colored in gray includes the remaining clusters that contain more than 100,000 tenants. These tenants will be put into the next clustering with the “noise” tenants.
5.4. Semi-Supervised Classification Performance
5.5. Reclassification of Unlabelled Tenants
6. Conclusions and Future Directions
Author Contributions
Funding
Data Availability Statement
Conflicts of Interest
References
- Lee, J. A view of cloud computing. Int. J. Networked Distrib. Comput. 2013, 1, 2–8. [Google Scholar] [CrossRef]
- Singh, A.; Chatterjee, K. Cloud security issues and challenges: A survey. J. Netw. Comput. Appl. 2017, 79, 88–115. [Google Scholar] [CrossRef]
- Ristenpart, T.; Tromer, E.; Shacham, H.; Savage, S. Hey, you, get off of my cloud: Exploring information leakage in third-party compute clouds. In Proceedings of the 16th ACM Conference on Computer and Communications Security, Chicago, IL, USA, 9–13 November 2009; pp. 199–212. [Google Scholar]
- Han, Y.; Alpcan, T.; Chan, J.; Leckie, C.; Rubinstein, B.I.P. A game theoretical approach to defend against co-resident attacks in cloud computing: Preventing co-residence using semi-supervised learning. IEEE Trans. Inf. Forensics Secur. 2016, 11, 556–570. [Google Scholar] [CrossRef]
- Han, J.; Zang, W.; Yu, M.; Sandhu, R. Quantify co-residency risks in the cloud through deep learning. IEEE Trans. Dependable Secur. Comput. 2021, 18, 1568–1579. [Google Scholar] [CrossRef]
- Hadary, O.; Marshall, L.; Menache, I.; Pan, A.; Greeff, E.E.; Dion, D.; Dorminey, S.; Joshi, S.; Chen, Y.; Russinovich, M.; et al. Protean: VM allocation service at scale. In Proceedings of the 14th USENIX Symposium on Operating Systems Design and Implementation, Online, 4–6 November 2020; pp. 845–861. [Google Scholar]
- Vattikonda, B.C.; Das, S.; Shacham, H. Eliminating fine grained timers in xen. In Proceedings of the 3rd ACM Workshop on Cloud Computing Security Workshop, Chicago, IL, USA, 17–21 October 2011; pp. 41–46. [Google Scholar]
- Aviram, A.; Hu, S.; Ford, B.; Gummadi, R. Determinating timing channels in compute clouds. In Proceedings of the 2010 ACM Workshop on Cloud Computing Security Workshop, Chicago, IL, USA, 8 October 2010; pp. 103–108. [Google Scholar]
- Yu, C.M.; Gochhayat, S.P.; Conti, M.; Lu, C.S. Privacy aware data deduplication for side channel in cloud storage. IEEE Trans. Cloud Comput. 2020, 8, 597–609. [Google Scholar] [CrossRef]
- Zhang, Y.; Li, M.; Bai, K.; Yu, M.; Zang, W. Incentive compatible moving target defense against vm-colocation attacks in clouds. In Proceedings of the 27th Information Security and Privacy Conference, Crete, Greece, 4–6 June 2012; pp. 388–399. [Google Scholar]
- Bates, A.; Mood, B.; Pletcher, J.; Pruse, H.; Valafar, M.; Butler, K. On detecting co-resident cloud instances using network flow watermarking techniques. Int. J. Inf. Secur. 2014, 13, 171–189. [Google Scholar] [CrossRef]
- Sundareswaran, S.; Squcciarini, A.C. Detecting malicious co-resident virtual machines indulging in load-based attacks. In Proceedings of the 15th International Conferencethe on Information and Communications Security, Beijing, China, 20–22 November 2013; pp. 113–124. [Google Scholar]
- Yu, S.; Gui, X.; Lin, J. An approach with two-stage mode to detect cache-based side channel attacks. In Proceedings of the 27th International Conference on Information Networking, Barcelona, Spain, 25–28 March 2013; pp. 186–191. [Google Scholar]
- Azar, Y.; Kamara, S.; Menache, I.; Raykova, M.; Shepard, B. Co-location-resistant clouds. In Proceedings of the 6th Edition of the ACM Workshop on Cloud Computing Security, Scottsdale, AZ, USA, 7 November 2014; pp. 9–20. [Google Scholar]
- Qiu, Y.; Shen, Q.; Luo, Y.; Li, C.; Wu, Z. A secure virtual machine deployment strategy to reduce co-residency in cloud. In Proceedings of the 2017 IEEE Trustcom/BigDataSE/ICESS, Sydney, Australia, 1–4 August 2017; pp. 347–354. [Google Scholar]
- Xing, L.; Levitin, G. Balancing theft and corruption threats by data partition in cloud system with independent server protection. Reliab. Eng. Syst. Saf. 2017, 167, 248–254. [Google Scholar] [CrossRef]
- Levitin, G.; Xing, L.; Dai, Y. Co-residence based data theft game in cloud system with virtual machine replication and cancellation. Reliab. Eng. Syst. Saf. 2022, 222, 108415. [Google Scholar] [CrossRef]
- Levitin, G.; Xing, L.; Xiang, Y. Reliability vs. vulnerability of N-Version programming cloud service component with dynamic decision time under co-resident attacks. IEEE Trans. Serv. Comput. 2022, 15, 1774–1784. [Google Scholar] [CrossRef]
- Salman, S.; Wasim, H.; Ahmad, B.B.; Asaf, C. Muriel médard: Why botnets work: Distributed Brute-Force attacks need no synchronization. IEEE Trans. Inf. Forensics Secur. 2019, 14, 2288–2299. [Google Scholar]
- Varadarajan, V.; Zhang, Y.Q.; Ristenpart, T.; Swift, M. A placement vulnerability study in multi-tenant public clouds. In Proceedings of the 24th USENIX Conference on Security Symposium, Washington, DC, USA, 12–14 August 2015; pp. 913–928. [Google Scholar]
- Campello, R.J.G.B.; Moulavi, D.; Sander, J. Density-based clustering based on hierarchical density estimates. In Proceedings of the 17th Pacific-Asia Conference on Knowledge Discovery and Data Mining, Gold Coast, Australia, 14–17 April 2013; pp. 160–172. [Google Scholar]
- Platt, J.; Cristianini, N.; Shawe-Taylor, J. Large margin dags for multiclass classification. In Proceedings of the 12th International Conference on Neural Information Processing Systems, Denver, CO, USA, 29 November–4 December 1999; pp. 547–553. [Google Scholar]










| Field | Description |
|---|---|
| vmId | unique id of the vm request |
| TenantId | unique id for the owner of a group of requests |
| vmTypeId | requested VM type |
| priority | priority of the VM request |
| starttime | the time (in days) when the VM request was created |
| endtime | the time (in days) when the VM left the system |
| Feature | Description |
|---|---|
| N | The number of VMs started by a tenant |
| The median value of a tenant’s VMs’ running time | |
| Average interval time between a tenant starting VMs |
| Group | Number |
|---|---|
| High-Risk Group | 1024 |
| Low-Risk Group 1 | 1405 |
| Low-Risk Group 2 | 1103 |
| Low-Risk Group 3 (Inactive Group) | 99,782 |
| Unlabeled Tenants | 38,022 |
| Group | Performance | Support | ||
|---|---|---|---|---|
| Recall (%) | Precision (%) | F-Score (%) | ||
| High | 100.0 | 100.0 | 100.0 | 336 |
| Low 1 | 98.19 | 100.0 | 99.08 | 441 |
| Low 2 | 93.67 | 98.42 | 95.99 | 332 |
| Low 3 | 99.75 | 100.0 | 99.87 | 29,961 |
| Method Comparison | Kernel | F-Score (%) | |||
|---|---|---|---|---|---|
| High | Low 1 | Low 2 | Low 3 | ||
| OVA | RBF | 100.0 | 99.08 | 96.78 | 100.0 |
| Linear | 100.0 | 99.20 | 95.18 | 100.0 | |
| MSVMT (ours) | RBF | 100.0 | 98.85 | 95.84 | 100.0 |
| Combined | 100.0 | 99.08 | 95.99 | 99.87 | |
| Unlabeled Tenants | Changed | Unchanged | |||
|---|---|---|---|---|---|
| High | Low 1 | Low 2 | Low 3 | Medium | |
| 38,022 | 10 | 19 | 22 | 25,847 | 12,124 |
| Risk Level | Performance | Support | ||
|---|---|---|---|---|
| Recall (%) | Precision (%) | F-Score (%) | ||
| High | 100.0 | 99.03 | 99.51 | 306 |
| Low 1 | 99.50 | 98.77 | 99.14 | 404 |
| Low 2 | 93.60 | 100.0 | 96.69 | 328 |
| Low 3 | 100.0 | 97.72 | 98.85 | 37,654 |
| Medium | 76.11 | 99.19 | 86.13 | 3709 |
Disclaimer/Publisher’s Note: The statements, opinions and data contained in all publications are solely those of the individual author(s) and contributor(s) and not of MDPI and/or the editor(s). MDPI and/or the editor(s) disclaim responsibility for any injury to people or property resulting from any ideas, methods, instructions or products referred to in the content. |
© 2024 by the authors. Licensee MDPI, Basel, Switzerland. This article is an open access article distributed under the terms and conditions of the Creative Commons Attribution (CC BY) license (https://creativecommons.org/licenses/by/4.0/).
Share and Cite
Peng, Y.; Jiang, X.; Wang, S.; Xiang, Y.; Xing, L. An Improved Co-Resident Attack Defense Strategy Based on Multi-Level Tenant Classification in Public Cloud Platforms. Electronics 2024, 13, 3273. https://doi.org/10.3390/electronics13163273
Peng Y, Jiang X, Wang S, Xiang Y, Xing L. An Improved Co-Resident Attack Defense Strategy Based on Multi-Level Tenant Classification in Public Cloud Platforms. Electronics. 2024; 13(16):3273. https://doi.org/10.3390/electronics13163273
Chicago/Turabian StylePeng, Yuxi, Xinchen Jiang, Shaoming Wang, Yanping Xiang, and Liudong Xing. 2024. "An Improved Co-Resident Attack Defense Strategy Based on Multi-Level Tenant Classification in Public Cloud Platforms" Electronics 13, no. 16: 3273. https://doi.org/10.3390/electronics13163273
APA StylePeng, Y., Jiang, X., Wang, S., Xiang, Y., & Xing, L. (2024). An Improved Co-Resident Attack Defense Strategy Based on Multi-Level Tenant Classification in Public Cloud Platforms. Electronics, 13(16), 3273. https://doi.org/10.3390/electronics13163273

