Abstract
This paper deals with the recursive state estimation issue for mobile robot localization under a dynamic event-based mechanism. To enhance the utilization of communication resources, a dynamic event-based transmission protocol is utilized to reduce unnecessary measurement transmissions by introducing an auxiliary dynamical variable to adjust threshold parameters. The primary objective of this paper is to develop a dynamic event-based recursive state estimation scheme for the mobile robot localization problem in the presence of the impact of the dynamic event-based mechanism such that an upper bound on the estimation error covariance is firstly guaranteed by using mathematical induction and then is locally minimized by virtue of appropriately choosing the gain parameters. Furthermore, the boundedness analysis of the estimation error is conducted by establishing an evaluation criteria in the mean-squared sense. Finally, an experimental example is conducted to verify the feasibility of the proposed mobile robot localization strategy.
1. Introduction
Over the past few years, mobile robots (MRs) have not only attracted wide research interest from the academic community but also sparked strong development enthusiasm in the industry due to their remarkable practical utility and extensive application prospects in the areas of intelligent inspection, warehouse management and healthcare, etc. [1,2,3]. The swift and efficient implementation of MR Localization (MRL) is a pivotal research issue in the field of MRs, as it serves as the cornerstone for enabling robots to autonomously and precisely complete their assigned tasks within diverse environments. Generally, the process of MRL is fundamentally bifurcated into two key stages: environmental data collection and transmission via sensors and implementing localization by utilizing positioning system, which are highly susceptible to various inherent factors such as inevitable external disturbances, limited communication resources, and instability of the system structure [4,5]. In such a context, it can significantly undermine the decision-making process and execution of an MR, thereby posing a high risk of malfunctioning, particularly in complex and dynamic settings such as crowded warehouses, intricate factory layouts, or busy healthcare facilities. Therefore, it is crucial to develop an efficient strategy that is capable of enhancing the accuracy and robustness of localization in various operating environments for MRs, which has given rise to some initial progress, see, e.g., [6,7,8]. In Ref. [6], a robust decentralized cooperative localization approach has been presented by leveraging a multi-centralized framework and M-estimation technique, effectively addressing communication failures and biased measurements to enhance localization accuracy. A novel distributed finite memory estimation method has been introduced in Ref. [7] for robust multiple-robot localization in wireless sensor networks subject to missing data and errors.
On the other research front, with the rapid development of sensor technology, a series of state estimation strategies have been developed and applied in various applications, especially in signal processing, the internet of things, and industrial automation. Regarding different performance requirements, state estimation algorithms can be categorized into several types, including a conventional Kalman filtering scheme and its variants [9,10], an filtering scheme [11,12], set-membership filtering [13,14], etc. As a matter of fact, due to many unforeseen disturbances in industrial scenarios, accurately completing the state estimation with the above methods is quite challenging [15,16]. To tackle such a problem, recursive state estimation schemes have been proposed where the estimation error covariance (EEC) is minimized in a certain sense, and accordingly, some elegant work is available [17,18,19]. For example, in Ref. [17], the study focused on the challenging task of designing a distributed recursive state estimation scheme for a class of multi-rate nonlinear systems within the context of sensor networks. In Ref. [19], in the delayed state-saturated system under the effect of the energy harvesting sensors, the joint state and fault estimation problem has been addressed. Unfortunately, when it comes to the issue of MRL, a recursive state estimation scheme tailored to MRL has not been considered yet, mainly due to the complex structure and nonlinear characteristics of MRs, making it difficult to derive the upper bound of the EEC and minimize it in a recursive process. As such, there is a practical demand to establish a recursive state estimation scheme to deal with the MRL problem, which constitutes one of the main motivations behind this paper.
It is notable that in most state estimation/filtering issues, one underlying assumption is made that the communication resources are often unlimited and available. In engineering practice, the energy storage of sensors and the capacity of channels are constrained [20], whereas the continuously transmitting data to the remote estimator may lead to resource wastage and risks of measurement transmission failures. Therefore, a huge amount of communication protocols have been proposed to address the challenge of limited communication resources, where the most prominent one is the event-triggered mechanism (ETM), which transmits measurements only when a predefined triggering condition is satisfied [21,22]. In view of the disparity in the triggering threshold, ETMs can be categorized into static ETMs and dynamic ETMs (DETMs) [23]. Different from the static ETMs with fixed threshold parameters, the DETMs have the ability of dynamically adjusting the threshold parameters via an auxiliary dynamical variable, thereby reducing more unnecessary triggers and further enhancing resource utilization without significantly degrading the system’s performance. To date, some elegant results have been made available on the issue of the state estimation/filtering concerning DETMs [24,25,26]. For instance, the filtering problem based on a dynamic event-triggering mechanism has been tackled in Ref. [24] for the discrete time-varying systems confronted with complex environments. In Ref. [25], an efficient dynamic event-triggered communication protocol has been utilized to deal with the consensus issue for multi-agent systems.
On the basis of the above discussion, there is currently no research on the recursive state estimation scheme for the MRL problem that truly satisfies the practical application needs, not to mention considering a DETM in the localization process of MRs. Therefore, the ultimate goal of this paper is to narrow this gap by developing a dynamic event-based recursive state estimator for MRL. Specifically, this problem remains unexplored and poses additional challenges due to the following identified issues: (1) How to devise a reasonable model that seamlessly integrates DETM into the MRL process. (2) How to exploit an appropriate approach to tackle the impact of DETM on the estimation performance. (3) How to formulate a recursive estimator for the MRL problem based on a DETM. (4) How to conduct the analysis of the estimation performance for the developed dynamic event-based state estimation algorithm. Corresponding to the identified issues, the main contributions of this paper can be highlighted from the four aspects below: (1) a spatial state equation is modeled by capturing the dynamic characteristics of MRs, which is then used to design the integration of the DETM into the realm of MRL; (2) the DETM is employed, for the first time, for the MRL problem to further save communication resources by setting a dynamically adjusted threshold; (3) a dynamic event-based estimator is firstly constructed so that the bounded EEC is minimized by designing the estimator gain parameters; (4) the mean-square boundedness analysis of the estimation error is quantified by establishing an evaluation criteria; and (5) a dynamic event-based estimation algorithm is developed that is suitable for online computation and real-time usage. Finally, a simulation experiment is conducted to verify the validity of the developed estimation strategy.
Notation: The notations employed in this paper are fairly standard. and below mean the inverse and the transposition of , respectively. (respectively, ) represents that is a positive definite (positive semi-define) matrix, with and ℶ being symmetric matrices. represents the n-dimensional identity matrix. represents the trace of the matrix . stands for the mathematical expectation of the stochastic variable . denotes the norm of a matrix .
2. Problem Formulation
2.1. MR Model and Sensor Measurement Model
Consider an MR model as depicted in Figure 1, and then the continuous-time system describing the motion of MR is determined by [27]:
where represents the position coordinates of MR, and represents its orientation angle. and represent the displacement velocity and the angular velocity, respectively.
Figure 1.
The MR system and its absolute measurement model.
During the sampling period t, the MR’s displacement and angular velocities that can be accurately measured by an odometer are assumed to be constant. Then, the discrete-time system for the MR can be constructed as
where is the position coordinates and orientation angle of MR. and represent the corresponding displacement and angular velocities, respectively.
By setting , and considering the presence of disturbances, the dynamic system model is determined by
where . denotes Gaussian noise with and covariance .
In Figure 1, the landmark point is given, and represents the distance between MR and the landmark . Specifically, the distance and the azimuth at k are determined by
By noting Equation (4), the sensor measurement model of the MR system with measurement noise can be induced as follows:
where denotes the ideal measurement, and is Gaussian noise with and covariance .
2.2. Dynamic Event-Triggering Strategy
In practical communication networks where resource constraint is a common phenomenon, the continuous transmitting of data to the remote estimator may lead to resource wastage. Therefore, a DETM is utilized to reduce such resource consumption. Denote the triggering sequences of the measurement transmission instants by , where the triggering sequences satisfy
where , stands for the transmission at the latest triggering squence. and are known positive scalars. represents the internal dynamic variable that is determined by
where denotes a given scalar, and the internal dynamical variable satisfies . It is worth mentioning that the parameters and in the DETM are usually assumed to satisfy , thereby ensuring .
The estimator for MRL with the measurements received by the DETM is constructed as
Here, and , respectively, stand for the prediction and the estimate of the state, and denotes the estimator gain matrix.
Define the prediction error as , and the estimation error as . The prediction error covariance and the EEC are denoted by and , respectively. This paper aims to devise an estimator that ensures the upper bound on the EEC, and then the gain matrix is recursively parameterized to minimize such an upper bound.
3. Main Results
In this section, based on the measurement transmitted through the DETM, we are going to find a solution for MRL. An upper bound on the EEC is obtained mathematically, and then is minimized through two Riccati-like difference equations. In addition, the lemmas below are introduced to promote the derivation.
Lemma 1.
For two real vectors and , we can obtain the following relationship
where is an arbitrary scalar.
Lemma 2
([28]). Given the matrices , , , and with known appropriate dimensions and , for a positive symmetric matrix Γ and a given positive scalar α satisfying , we can have the inequality below
Lemma 3
([29]). Define and for any . Assume that , and . If the following differences equations
and
hold, one has .
Lemma 4.
For the known positive scalars , if there exists a matrix, holds
with the initial value ; then we can obtain that is the upper bound of , where .
Proof.
Combining Equation (7) and Lemma 1, one has
As such, it is not difficult to give rise to
By noting Lemma 3, one has , which ends the proof of this lemma. □
In what follows, we need to linearize the nonlinear system Equation (3) by approximating the nonlinear function around . It is obtained that the linearized form of Equation (3) is as follows:
where
and denotes a scaling matrix tailored to the considered problem, is a matrix with known dimensions, and is an unknown matrix with .
Similarly, the measurement Equation (5) can be denoted as
where
with , denotes a scaling matrix tailored to the considered problem, is a matrix with known dimensions, and is an unknown matrix with .
Thus, by noting Equations (8), (11), and (12), the prediction error and the estimation error are determined by
and
3.1. Design of DETM-Based Recursive Estimator
In the following theorem, we have completed the calculation of the prediction error covariance and EEC . Meanwhile, the upper bound of the EEC is also derived.
Theorem 1.
Define and , and are given positive scalars. If the symmetric matrices satisfy the following equations
and
with , where
and the symmetric positive matrices and satisfy that
then we arrive at being an upper bound on , i.e., .
Proof.
The initial condition is given that , and we assume that . Based on the above conditions, we seek to establish that .
By noting Lemma 2, it is derived from Equation (13) that
Next, based on Lemma 3 and Equation (17), we can obtain that .
Subsequently, we are prepared to demonstrate that . Similarly, it can be derived from Equation (15) that
where
In the light of Equation (18), and Lemmas 1 and 2, the EEC can be further calculated so that
Then, according to the dynamic triggering condition Equation (6), one has
By virtue of Lemma 4, we can arrive at . Thus, it is easy to derive from Equation (19) that
Due to , it yields that
Now, we have completed this proof. □
In Theorem 1, we have derived the upper bound for the EEC. Subsequently, such an upper bound will be minimized by selecting the desired estimator parameter at each iteration.
Theorem 2.
The minimal upper bound of the EEC can be derived by choosing the following estimator parameter below
where
Furthermore, the minimal upper bound is determined by
3.2. Performance Analysis
In this section, we will analyze the boundedness of the estimation error for the designed recursive estimator by giving a sufficient condition in mean-squared sense. To begin with, let us make the following definition.
Definition 1
([30]). For real numbers , , and , the stochastic process is considered to satisfy
for any .
Theorem 3.
Assume that , , , , , , , , , , , , , and are positive scalars, if the following inequalities
hold, we can obtain that the estimation error is exponentially mean-square bounded.
Along the similar line, we can also confirm that
Then, based on Lemma 1 and Equation (29), one has
where are positive scalars.
Subsequently, the iterative matrix equation with respect to is determined by
where with a scalar ε. Then, by noting Equation (29), it is sufficient to observe that
where ρ has been defined in Equation (28). Furthermore, the inequality can be obtained directly as follows:
On the other hand, it can be easily observed that
Combining Equation (35) and Equation (36), we can obtain that for any where and are positive scalars.
Define . With Lemma 1 and Equation (29) we have
where κ is a positive scalar.
Recalling the definition of matrix , one has
Furthermore, based on Equation (39), we can obtain that
where . It is obvious that for some , and one has
It is direct that the estimation error is exponentially bounded in a mean-squared sense, which ends this proof. □
Remark 1.
Until now, the problem of the dynamic event-based recursive state estimation has been addressed in MRL in the presence of a DETM. According to the received measurements under a DETM, a dynamic event-based estimator has been designed, where an upper bound on the EEC is guaranteed and, subsequently, such an upper bound is minimized in light of the appropriate choice of the estimator gain parameter. It is noteworthy that the innovative dynamic event-triggered estimation methodology demonstrates commendable performance, even under extreme conditions that encompass a DETM and multiple noise, showcasing its robustness and adaptability. It is evident that the performance of the designed dynamic event-based recursive state estimation scheme is influenced by a diverse range of three pivotal factors: (1) the complex structure and nonlinear characteristics of an MRL system; (2) the presence of process and measurement noises; and (3) the impact of a DETM. In the pursuit of realizing the dynamic event-based recursive state estimation scheme, all three of these fundamental factors have been meticulously considered and comprehensively integrated, thereby guaranteeing a robust and reliable estimation performance.
Remark 2.
Due to the influence of the complex structure and nonlinear characteristics of an MRL system, coupled with the process and measurement noises, as well as the impact of a DETM, it is very difficult to compute the actual EECs for the MR state. Fortunately, there exists an alternative way to solve such a problem by deriving the upper bound on EECs, which is a viable solution to design the desire estimator. In comparison with the results of the existing literature, the main merits of the designed dynamic event-based recursive state estimation scheme are highlighted as: (1) a spatial state equation is formulated by abstracting the dynamic behaviors of MRs, serving as the foundation for integrating a DETM into the framework of MRL; (2) for the first time, a DETM is introduced to the MRL problem, leveraging a dynamically adjustable threshold to further optimize communication resource utilization; (3) a pioneering dynamic event-triggered estimator is devised, where the bounded EEC is minimized through strategic design of the estimator gain parameters; (4) an evaluation criterion is established to quantify the mean-square boundedness of the estimation error, providing a rigorous analysis of the estimator’s performance; and (5) a dynamic event-based estimation algorithm is developed, tailored for online computations and real-time applications, ensuring efficient and timely estimation. Based on the above discussion, the developed dynamic event-based recursive state estimation scheme is outlined in Algorithm 1.
| Algorithm 1 Dynamic Event-Based Recursive State Estimation for MRL |
|
4. Experimental Example
In this section, we endeavor to demonstrate the feasibility of the developed estimation scheme by conducting an experimental example. The parameters for the MRL problem with the impact of a DETM are listed as follows:
Consider the MR system. We set the odometer time interval to s, the linear velocity to , and the angular velocity to . The landmark M is positioned at m m). We chose the dynamic triggering thresholds and conditions as , , and . The initial state of the MR is selected as . In addition, the positive scalars are set as , , , , and .
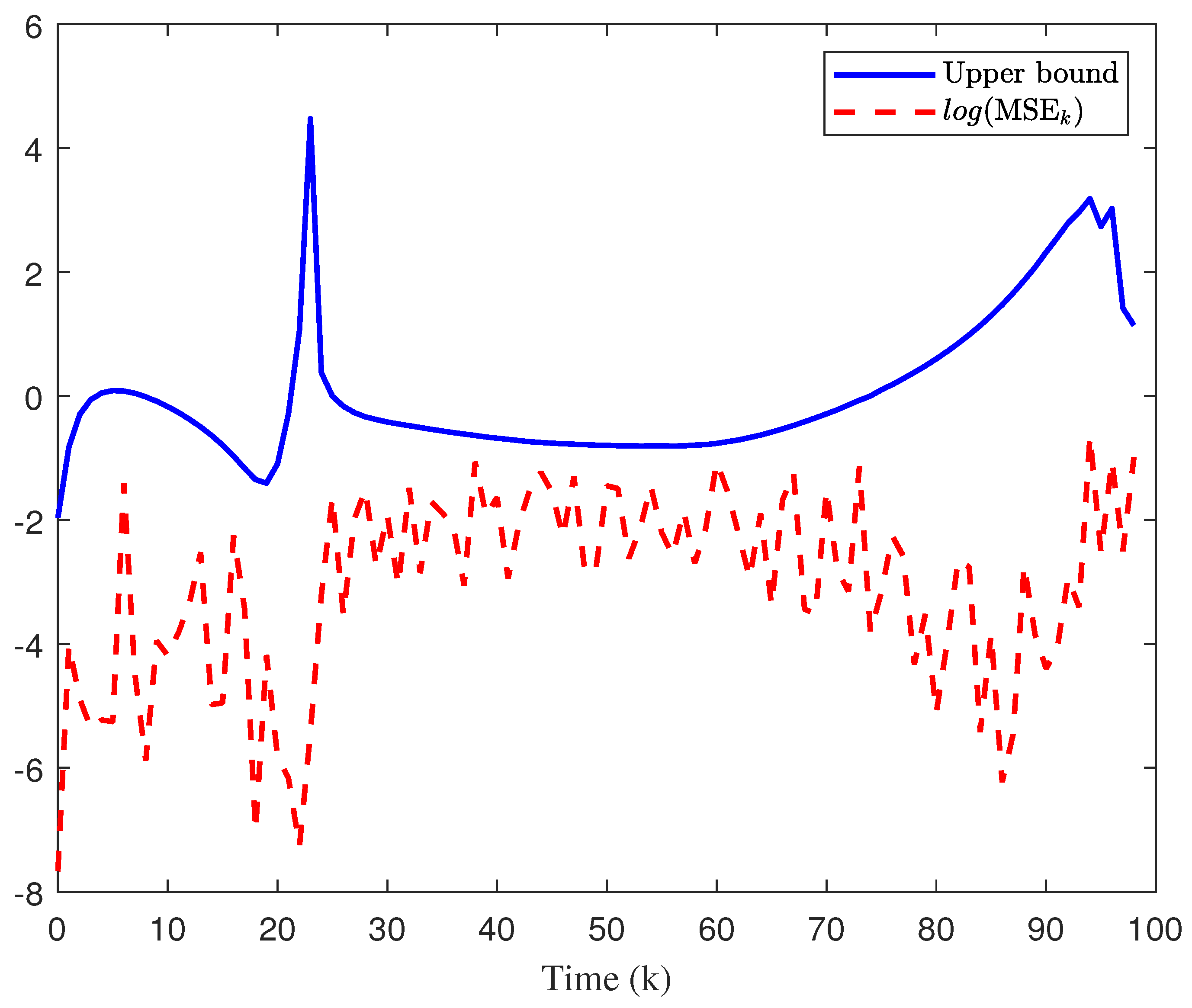
According to the above parameters, the simulation results are presented in Figure 2, Figure 3, Figure 4 and Figure 5. In Figure 2, the solid blue line stands for the actual trajectory of the MR and the red dashed line stands for its estimate. The actual orientation angle of the MR and its estimate are plotted in Figure 3, where the solid blue line stands for the actual orientation angle and the red dashed line stands for its estimate. It is obvious that our developed algorithm can accurately estimate the trajectory and orientation angle of the MR, thereby achieving the efficient localization of the MR. Figure 4 presents the logarithm of the upper bound and the logarithm of the mean square error (MSE) for the estimated state of the MR defined by
Figure 2.
The actual trajectory of MR and its estimate.
Figure 3.
The actual orientation angle of MR and its estimate.
Figure 4.
The and its corresponding upper bound.
Figure 5.
The dynamic event-based release instants and release interval.
It is notable that the logarithm of the MSE is consistently below the logarithm of the upper bound, validating our theoretical findings. Additionally, the dynamic event-based release instants and release interval are shown in Figure 5, where we can easily observe that the triggers are reduced to avoid unnecessary transmission, and the estimation performance is not significantly affected. By noting the above simulation results, we can confirm that the proposed estimation strategy is an effective solution to address the MRL problem under a DETM.
5. Conclusions
In this paper, we have discussed the dynamic event-based recursive state estimation issue for MRL subject to a DETM. A dynamic event-triggered transmission strategy is introduced to improve the utilization of communication resources, thereby addressing the adverse effects of insufficient sensor energy storage and bandwidth limitations. With the aid of the mathematical induction method and stochastic analysis techniques, we have developed a desired estimator framework for solving the MRL problem in the presence of the influence of a DETM. The upper bound of the EEC has been derived, and then such an upper bound is minimized by parameterizing the estimator gain at each iteration. Moreover, the mean-square boundedness analysis of the estimation error is given with an evaluation criteria. Finally, we have conducted an experimental example to test the feasibility of our proposed state estimation strategy. In future research endeavors, we will delve deeper into the expansive applications of estimation algorithms under various complex scenarios, such as sensor saturation, cyber-attacks, and channel fading, etc. Furthermore, we will be committed to extending the 2D robot model-based estimation algorithm presented herein, seamlessly transitioning it into complex 3D environments, thereby catering to the pressing demands of practical applications. This extension will not only enrich our theoretical understanding but also enhance the practicality and applicability of the algorithms in real-world settings.
Author Contributions
Conceptualization, L.Z., C.H. and Z.S.; methodology, L.Z., R.G. and C.H.; software, L.Z. and C.H.; validation, L.Z., R.G., C.H., Q.S. and Z.S.; formal analysis, L.Z. and C.H.; investigation, L.Z. and C.H.; writing—original draft preparation, L.Z. and C.H.; writing—review and editing, L.Z., R.G., C.H., Q.S. and Z.S. All authors have read and agreed to the published version of the manuscript.
Funding
This work was supported in part by the National Natural Science Foundation of China under Grants 62176131 and 62001254, the 333 Talent Technology Research Project of Jiangsu under Grant 2022021, the Natural Science Foundation of the Higher Education Institutions of Jiangsu Province under Grant 22KJB510040, the Natural Science Foundation of Nantong under Grant JC2023074, and the Basic Science Research Program of Nantong City under Grant JC12022028.
Data Availability Statement
No new data were created or analyzed in this study. Data sharing is not applicable to this article.
Conflicts of Interest
The authors declare no conflicts of interest.
References
- Adriaensen, A.; Pintelon, L.; Costantino, F.; Gravio, G.D.; Patriarca, R. Systems-theoretic interdependence analysis in robot-assisted warehouse management. Saf. Sci. 2023, 168, 106294. [Google Scholar] [CrossRef]
- Li, J.; Sun, J.; Chen, G. A multi-switching tracking control scheme for autonomous mobile robot in unknown obstacle environments. Electronics 2020, 9, 42. [Google Scholar] [CrossRef]
- Mac, T.T.; Pham, A.Q.; Nguyen, X.T. The development of fleet management system for mobile robots delivering medicine in healthcare environments. ACTA Polytech. Hung. 2024, 21, 57–72. [Google Scholar] [CrossRef]
- Li, H.; Savkin, A.V. An algorithm for safe navigation of mobile robots by a sensor network in dynamic cluttered industrial environments. Robot. Comput. Integr. Manuf. 2018, 54, 65–82. [Google Scholar] [CrossRef]
- Lu, Y.; Shen, B.; Shen, Y.; Suo, J. Measurement outlier-resistant mobile robot localization. Int. J. Control. Autom. Syst. 2023, 21, 271–280. [Google Scholar] [CrossRef]
- He, R.; Shan, Y.; Huang, K. Robust cooperative localization with failed communication and biased measurements. IEEE Robot. Autom. Lett. 2024, 9, 2997–3004. [Google Scholar] [CrossRef]
- Kim, Y.J.; Kang, H.H.; Lee, S.S.; Pak, J.M.; Ahn, C.K. Distributed finite memory estimation from relative measurements for multiple-robot localization in wireless sensor networks. IEEE Access 2022, 10, 5980–5989. [Google Scholar] [CrossRef]
- Lu, Y.; Shen, B.; Shen, Y. Recursive filtering for mobile robot localization under an energy harvesting sensor. Asian J. Control 2022, 24, 2035–2048. [Google Scholar] [CrossRef]
- Liu, H.; Hu, F.; Su, J.; Wei, X.; Qin, R. Comparisons on kalman-filter-based dynamic state estimation algorithms of power Systems. IEEE Access 2020, 8, 51035–51043. [Google Scholar] [CrossRef]
- Musunuri, Y.R.; Kwon, O.-S. State estimation using a randomized unscented kalman filter for 3D skeleton posture. Electronics 2021, 10, 971. [Google Scholar] [CrossRef]
- Ju, Y.; Liu, Y.; He, X.; Zhang, B. Finite-horizon H∞ filtering and fault isolation for a class of time-varying systems with sensor saturation. Int. J. Syst. Sci. 2021, 52, 321–333. [Google Scholar] [CrossRef]
- Shen, B.; Ding, S.X.; Wang, Z. Finite-horizon H∞ fault estimation for uncertain linear discrete time-varying systems with known inputs. IEEE Trans. Circuits Syst. II Express Briefs 2013, 60, 902–906. [Google Scholar] [CrossRef]
- Ding, D.; Wang, Z.; Han, Q.-L. A set-membership approach to event-triggered filtering for general nonlinear systems over sensor networks. IEEE Trans. Autom. Control 2020, 65, 1792–1799. [Google Scholar] [CrossRef]
- Li, G.; Wang, Z.; Bai, X.; Zhao, Z.; Dong, H. Event-triggered set-membership filtering for active power distribution systems under fading channels: A zonotope-based approach. IEEE Trans. Autom. Sci. Eng. 2024, 211, 1–13. [Google Scholar] [CrossRef]
- Liu, Y.; Wang, Z.; Lin, H.; Ma, L.; Lu, G. Encoding-decoding-based fusion estimation with filter-and-forward relays and stochastic measurement delays. Inf. Fusion 2023, 100, 101963. [Google Scholar] [CrossRef]
- Liu, Y.; Wang, Z.; Zou, L.; Zhou, D.; Chen, W.H. Joint state and fault estimation of complex networks under measurement saturations and stochastic nonlinearities. IEEE Trans. Signal Inf. Process. Over Netw. 2022, 8, 173–186. [Google Scholar] [CrossRef]
- Shen, Y.; Wang, Z.; Dong, H.; Lu, G.; Alsaadi, F.E. Distributed recursive state estimation for a class of multi-rate nonlinear systems over wireless sensor networks under flexray protocols. IEEE Trans. Netw. Sci. Eng. 2023, 10, 1551–1563. [Google Scholar] [CrossRef]
- Wang, F.; Wang, Z.; Liang, J.; Ge, Q.; Ding, S.X. Recursive filtering for two-dimensional systems with amplify-and-forward relays: Handling degraded measurements and dynamic biases. Inf. Fusion 2024, 108, 102368. [Google Scholar] [CrossRef]
- Zhu, L.; Huang, C.; Shi, Q.; Gao, R.; Ping, P. A joint state and fault estimation scheme for state-saturated system with energy harvesting sensors. Sensors 2024, 24, 1967. [Google Scholar] [CrossRef]
- Wu, P.; Jiang, L.; Wang, L.; Xu, J.; Wang, X. Event-triggered state estimation for wireless sensor network systems with packet losses and correlated noises. IEEE Access 2020, 8, 216762–216771. [Google Scholar] [CrossRef]
- Huang, C.; Coskun, S.; Zhang, X.; Mei, P. State and fault estimation for nonlinear systems subject to censored measurements: A dynamic event-triggered case. Int. J. Robust Nonlinear Control 2022, 32, 4946–4965. [Google Scholar] [CrossRef]
- Yin, X.; Liu, J. Event-triggered state estimation of linear systems using moving horizon estimation. IEEE Trans. Control Syst. Technol. 2021, 29, 901–909. [Google Scholar] [CrossRef]
- Shen, Y.; Wang, Z.; Dong, H.; Alsaadi, F.E.; Liu, H. Dynamic event-based recursive filtering for multiratesystems with integral measurements over sensor networks. Int. J. Robust Nonlinear Control 2021, 32, 1374–1392. [Google Scholar] [CrossRef]
- Huang, C.; Shen, B.; Chen, H.; Shu, H. A dynamically event-triggered approach to recursive filtering with censored measurements and parameter uncertainties. J. Frankl. Inst. 2019, 356, 8870–8889. [Google Scholar] [CrossRef]
- Hu, W.; Yang, C.; Huang, T.; Gui, W. A distributed dynamic event-triggered control approach to consensus of linear multiagent systems with directed networks. IEEE Trans. Cybern. 2020, 50, 869–874. [Google Scholar] [CrossRef]
- Liu, Y.; Shen, B.; Shu, H. Finite-time resilient H∞ state estimation for discrete-time delayed neural networks under dynamic event-triggered mechanism. Neural Netw. 2020, 121, 356–365. [Google Scholar] [CrossRef] [PubMed]
- Yang, F.; Wang, Z.; Hung, Y. Robust kalman filtering for discrete time-varying uncertain systems with multiplicative noises. IEEE Trans. Autom. Control 2002, 47, 1179–1183. [Google Scholar] [CrossRef]
- Hu, J.; Wang, Z.; Gao, H. Stergioulas, Extended kalman filtering with stochastic nonlinearities and multiple missing measurements. Automatica 2012, 48, 2007–2015. [Google Scholar] [CrossRef]
- Mao, J.; Ding, D.; Song, Y.; Liu, Y.; Alsaadi, F.E. Event-based recursive filtering for time-delayed stochastic nonlinear systems with missing measurements. Signal Process. 2017, 134, 158–165. [Google Scholar] [CrossRef]
- Reif, K.; Gunther, S.; Yaz, E.; Unbehauen, R. Stochastic stability of the discrete-time extended Kalman filter. IEEE Trans. Autom. Control 1999, 44, 714–728. [Google Scholar] [CrossRef]
Disclaimer/Publisher’s Note: The statements, opinions and data contained in all publications are solely those of the individual author(s) and contributor(s) and not of MDPI and/or the editor(s). MDPI and/or the editor(s) disclaim responsibility for any injury to people or property resulting from any ideas, methods, instructions or products referred to in the content. |
© 2024 by the authors. Licensee MDPI, Basel, Switzerland. This article is an open access article distributed under the terms and conditions of the Creative Commons Attribution (CC BY) license (https://creativecommons.org/licenses/by/4.0/).




