Next Article in Journal
A ±0.15 °C (3σ) Inaccuracy CMOS Smart Temperature Sensor from −40 °C to 125 °C with a 10 ms Conversion Time-Leveraging an Adaptative Decimation Filter in 65 nm CMOS Technology
Next Article in Special Issue
Overbounding the Model Uncertainty for Kalman Filter-Based Advanced Receiver Autonomous Integrity Monitoring in the Presence of Time Correlation by the Hybrid Evolutionary Algorithm
Previous Article in Journal
Performance Analysis of Dual Three-Phase Synchronous Reluctance Motor According to Winding Configuration
 
 
Font Type:
Arial Georgia Verdana
Font Size:
Aa Aa Aa
Line Spacing:
Column Width:
Background:
Article

Temporal Continuity Expression for Network Topology of Space Information Systems

1
State Key Laboratory of Astronautic Dynamics, Xi’an 710043, China
2
Beijing Institute of Tracking and Telecommunications Technology, Beijing 100086, China
3
Shanghai Institute of Satellite Engineering, Shanghai 201109, China
*
Authors to whom correspondence should be addressed.
Electronics 2024, 13(14), 2824; https://doi.org/10.3390/electronics13142824
Submission received: 16 June 2024 / Revised: 11 July 2024 / Accepted: 16 July 2024 / Published: 18 July 2024
(This article belongs to the Special Issue Constellation Satellite Design and Application)

Abstract

The main functions of the space information system, such as providing the backbone transmission, broadband access, and global connectivity, are realized based on the network topology. Thus, it is necessary to recognize the temporal dynamics of the network topology. A temporal continuity expression method is proposed to describe the topological dynamic characteristics of the network in space information systems. Based on orbit dynamics, a time-dependent adjacency matrix of the space information system can be established by introducing the geometric linkable factor, the link distance intensity factor, and the relative angular velocity factor of the node. The adjacency matrix describes the dynamic characteristics from two layers: one is the physical layer using a time-dependent function, which represents the feasibility of inter-satellite link construction in the system cycle; the other one is the transport layer, described by a piecewise continuous function that varies with time, which characterizes the link quality during the connection period between two satellites. The results show that compared with the existing network topology description methods, the proposed method describes the network topology more accurately, which can distinguish the network topology characteristics at any time, and is more conducive to the understanding and application of the network topology of the space information system.

1. Introduction

The space information system consists of a large number of satellite nodes, where nodes transmit information by connecting with each other through the inter-satellite link. Based on the satellite network, the overall efficiency of the system can be enhanced through an effective collaboration within the system, so as to improve the quality of services such as backbone transmission, broadband access, and global connectivity. With the implementation of the mega-constellation plans like Star-link and One-Web [1], and the development of 6G mobile communication networks [2,3,4,5], the complexity of the space information system has been increasing dramatically. The high-speed movement of nodes in the system causes the significant dynamics of the system network topology. Since implementing the main functions of the space information system is based on the network topology, it is of great significance to understand the network topology of the system and learn the rules of operation.
For extremely complex networks, such as the Internet of Things, the integration of deep-learning models is becoming a research trend [6]; in the field of satellite–terrestrial integrated networks, most of the current research focuses on multiple access during network transmission [7,8], secrecy–energy efficiency [9], and optimization of the concurrent access ranging process [10]. Correspondingly, the network topology of the space information system, as an important foundation for the function, has become a research hotspot. Scholars have completed a lot of research for the purpose of route planning, and proposed many description methods, e.g., the time slice method, snapshot sequence, finite state automation, evolutionary graph, etc.
A time slice division method [11] based on the variation in interstellar distance was constructed using the number of satellites in each orbit, in which the equidistant time slicing is utilized to construct a virtual topology that enables dynamic simulation and management of the topology to be achieved. Zhang et al. [12] divided the whole period into a series of time slices with a fixed value, which means the topology remains unchanged in the time slice, to solve the dynamic problem of the space–ground information network. A routing optimization method for LEO satellite networks with stochastic link failure was proposed in ref. [13], where a discrete-time strategy was used for the satellite network to acquire several static topological graphs in a single cycle. To deal with the dynamic topology of LEO satellite networks, refs. [14,15] developed a snapshot division method. In this method, the minimum snapshot length is calculated, and a fixed time step that is less than the minimum snapshot length is subsequently set to sample a sequence of time instances, which represents a granular description for the network topology. To reduce the complexity of control management for a large number of satellite nodes, SDN was introduced into satellite networks with multi-domain satellite network snapshot [16,17] as a division of satellite network topology. Xu et al. [18] divided the satellite network into a series of static networks (snapshots) with stable topology, since the operation period of the satellite constellation is stable and the network topology state also shows periodic changes. Snapshots were also used to describe the topology in refs. [19,20,21,22]. Finite state automation (FSA) was used to model the satellite network by Yan et al. [23], to circumvent the problem of dynamic visibility caused by periodically orbital motions of satellites. They divided the repeat cycle into consecutive equal-length states, while each state was further partitioned into several time slots to ensure sufficient satellite pairs.
As an intuitive means of expression, graph sequences are taken to characterize the topological dynamics of the satellite network. For example, a framework [24] was presented to evaluate the structural performance of dynamic networks using a graph sequence with an unchanged structure in each graph, and a temporal graph-based model [25], in which the network topology in each slot can be regarded as fixed, was adopted to capture the time-varying topology of LEO satellite networks. Since the changes in satellite state and network topology during a short time slot exert little influence on data transmission, an assumption that the topology remains stable in each time slot was raised in refs. [26,27,28] wherein the satellite state and network topology are considered static during a time slot, i.e., the total time can be divided into multiple time slots, each of which has a fixed duration. Considering that the existing topology optimization algorithms for radio links is difficult to adapt to the constraints of optical inter-satellite links (OISLs) since the communication mechanism of an OISLs is quite different from that of a radio link, a topological optimization algorithm, known as multi-objective discrete binary particle swarm optimization, was researched by Zeng et al. [29] to optimize the topology of OISLs for future navigation satellites. However, they divided the orbit period of satellites into several static topological periods for adaptation to the dynamic characteristics of satellites, which means no dynamic property existing in the topological sub-cycle. Using the visibility matrix as a mathematical representation of the graph, a visibility matrix sequence can be formed by sorting the visibility matrix at each moment, which reflects the dynamic changes in the network topology [30]. In the visibility matrix, the value of each element depends on whether the distance between the two satellites satisfies the visibility distance constraint, i.e., it indicates the existence of a link when it is 1, while there is no link when it is 0. The static routing algorithm, utilizing the predictability and periodicity of satellite networks to deal with the dynamics of the topology of satellite routing, holds the opinion that the status of the network topology is unchanged during a certain period of time. Moreover, in the process of dealing with the dynamic topology of satellite networks, only two states, i.e., on and off [31], are assigned to the satellite topology. However, due to the influence of the dynamic characteristics of satellite networks, the state of inter-satellite links varies with the movement of satellites. If the inter-satellite link model is only characterized by on–off without considering the link attributes, the ISL quality of the network topology cannot be quantified [32]. Thus, Han et al. [32] proposed a novel time-varying topology model, a weighted time–space evolution graph, to describe the continuous changing process of topology between snapshots and reflect the quality of routing paths by the weight of link utility. But the real-time nature of satellite topology changes still cannot be mapped to this dynamic topology.
The methods above generally decompose the system cycle into multiple time periods, and use a certain static network structure to refer to the network topology in each time period. With a time-series connecting the network topology of each time period, the network topology of the system cycle can be formed. The adjacency matrix is used as a mathematical description method to express the network topology. It is obvious that the description of dynamic characteristics is discrete in the time dimension, and cannot reflect the dynamic characteristics of the system network topology in each time period. In the corresponding adjacency matrix, each element is a binary function with a value of 0 or 1. The shortcoming of those methods is that the established network topology of the space information system cannot evaluate the trend of link quality with time, which results in a non-optimal solution of route planning when considering the constraints of link transmission quality.
In this paper, a temporal continuity expression method is proposed for the dynamic characteristics of the network topology of space information system. The core of this method is to construct the link relationship graph of space information system, which uses the time-related adjacency matrix as a mathematical expression. If the element in the matrix is 0, it means that there is no link between the two nodes. If the element in the matrix is non-zero, then the value of it is time-dependent, which indicates that there is a link existing between the two nodes and the link quality is also time-dependent. After the construction of the adjacency matrix of the link relationship graph, the network topology of the space information system at any time is a specific assignment of the adjacency matrix. That means the network topology of the space information system considering the link quality constraints at any time can be obtained, and the route planning can be carried out more accurately.
The main contribution of this research is to propose a temporal continuity expression method suitable for space information systems. Compared with the existing network topology description methods, the method extends the traditional link establishment relationship from a binary function to a time-dependent function, which brings the following benefits: (1) the change trend of link quality in the network topology of space information system can be grasped in real time so that prerequisites for route planning can be provided more accurately; (2) the link quality of the space information system network topology can be predicted which affords conveniency for reconstruction and optimization of the network topology.

2. Link Relationship Graph—The Time Continuity Model of Network Topology

In a space information system, the following conditions need to be satisfied for link construction between two satellites. Firstly, the two nodes are visualized [33,34,35,36]; secondly, the distance between the nodes meets the power requirements for the signal transmission and reception [35,36]; thirdly, the antennas of the satellites adapt to the relative motion relationship between two nodes [37]. The link cannot be effectively established when the relative motion relationship between nodes exceeds the antenna follow-up tracking ability, even if the first two conditions are satisfied. We assume that the tracking ability of the antenna is sufficient to support the demand for link construction, and only consider the impact of the third condition on link quality, which is related to the relative distance relationship and relative motion relationship between nodes.
The dynamic characteristics of the link relationship graph are composed of two layers. The first layer is the feasibility of link construction, which is a binary function that varies with time. And the second layer is the quality of the link, which is a time-dependent continuous function (or a piecewise continuous function).
The link relationship graph is a directionless weighted graph G = V , E δ t , in which V = S 1 , S 2 , , S n represents the set of nodes of the space information system, and E δ t = δ i j t i , j V , i j represents the set of links (including link quality) established between the nodes.
A time-related adjacency matrix is used as a mathematical expression of the graph. The matrix is a symmetry matrix A δ i j t N × N , wherein the variable δ i j t represents the link state between the nodes. If there is no link between nodes, then the value of δ i j t is equal to 0. Otherwise, δ i j t = 1 3 k = 1 3 σ k t , which indicates that there is a link between the nodes with the value of link quality equal to 1 3 k = 1 3 σ k t . In particular, there is no self-closing link in any node, so δ i j t = 0 when i = j .
The physical layer dynamic characteristics of the space information system are described by the geometric linkable factor σ 1 t , a binary function with a value of 0 or 1, which represents the feasibility of inter-satellite link construction in the system cycle. While the transport layer dynamic characteristics indicating the link quality during the connection period between two satellites of the space information system should be characterized by the link distance intensity factor σ 2 t and the relative angular velocity factor of the node σ 3 t , both of which are piecewise continuous functions that vary with time. Specifically, σ 2 t indicates the link quality affected by the distance between nodes, and σ 3 t indicates the link quality affected by the relative motion relationship between nodes.

2.1. The Geometric Linkable Factor

As shown in Figure 1, two satellites S i and S j are used to explain the link relationship in the space information system. Since S i , S j , and geocentric O e are coplanar, it is advisable to introduce virtual instantaneous circular orbits for S i and S j in this plane. Then, the link relationship of S i and S j is equivalent to the link relationship of two points on two virtual circular orbits. Due to the occlusion of the earth and the effect on signal translation of the atmosphere, there is a maximum visible link distance written as d max t between S i and S j [33]:
d max t = d S i A t = r e + h S i t 2 r e + h a t m 2 1 / 2 + r e + h S j t 2 r e + h a t m 2 1 / 2
Let d Link denote the effective distance of the inter-satellite link, and d S i S j t represents the distance between S i and S j . Then,
d S i S j t = r S i t r S j t = x S i t x S j t 2 + y S i t y S j t 2 + z S i t z S j t 2 1 / 2
Wherein the satellite position vector can be calculated according to the following formula [38] when ignoring the orbit change caused by perturbation and other factors.
x t y t z t = a 1 e 2 1 + e cos f cos f + ω · cos Ω cos i · sin f + ω · sin Ω cos i · cos Ω · sin f + ω + cos f + ω · sin Ω sin i · sin f + ω
It is obvious that d S i S j t min d Link , d max t means S i and S j can be linked, and σ 1 t = 1 ; otherwise, σ 1 t = 0 .

2.2. The Link Distance Intensity Factor

According to Formula (1), the distance at any time between S i and S j in the space information system can be calculated. Let d max S i S j and d min S i S j denote the longest distance and the closest linkable distance between the nodes, respectively (considering that there is an oversaturation of the link load receiver in actual connection, there is a minimum linkable distance corresponding to the minimum distance threshold of the link load receiver), the link distance intensity factor is defined as σ 2 t = d max S i S j d S i S j t d max S i S j d min S i S j when σ 1 t = 1 . Based on the definition, σ 2 t is a time-varying function, and σ 2 t 0 , 1 . If d S i S j t = d max S i S j , then σ 2 t = 0 ; if d S i S j t = d min S i S j , then σ 2 t = 1 . It is important to note that σ 1 t = 0 when d S i S j t < d min S i S j . σ 2 t indicates the link quality affected by the distance between nodes, i.e., the link quality deteriorates as the distance increases.

2.3. The Relative Angular Velocity Factor of the Node

The influence of the relative motion relationship between nodes on the link quality is mainly reflected in the rate of change in the relative angle between nodes, that is, the relative angular velocity between nodes, denoted by θ ˙ S i S j t . Let θ ˙ max S i S j and θ ˙ min S i S j denote the maximum relative angular velocity and the minimum relative angular velocity between the nodes, respectively, the relative angular velocity factor of the node is defined as σ 3 t = θ ˙ max S i S j θ ˙ S i S j t θ ˙ max S i S j θ ˙ min S i S j when σ 1 t = 1 . In the same way as σ 2 t , σ 3 t is a time-varying function either, and σ 3 t 0 , 1 . If θ ˙ S i S j t = θ ˙ max S i S j , then σ 3 t = 0 ; if θ ˙ S i S j t = θ ˙ min S i S j , then σ 3 t = 1 . There is a correlation existing in θ ˙ max S i S j and d min S i S j . And it is also important to note that σ 1 t = 0 when θ ˙ S i S j t > θ ˙ max S i S j or d S i S j t < d min S i S j . σ 3 t indicates the link quality affected by the relative angular velocity between nodes, i.e., the link quality deteriorates as the relative angular velocity increases.
The relative angular velocity of any two nodes S i and S j in a space information system changes periodically. And θ ˙ S i S j t can be obtained by the following steps:
Step 1: analyze the relative angular velocity relationship between the two nodes in a system period.
Step 2: utilize a Fourier series for fitting the continuous variation relationship.
Step 3: for the discontinuous point in the angular velocity variation relationship, set a neighborhood of the point with a constant value.
Step 4: in summary, obtain the piecewise function expression of θ ˙ S i S j t .

3. Calculation of Time-Related Adjacency Matrix

Let d min S i S j = 100 (km), and assume that a reflective surface antenna is selected by inter-satellite link payload with θ ˙ max S i S j = 0.86 ° / s . Taking the Walker Delta 32/4/1 constellation (shown in Table 1) in ref. [20] as an example, we illustrate the process of the method proposed in this paper to describe the temporal continuity of the network topology, and calculate the values of the matrix elements.
Due to the periodic nature of the Walker constellation, it is sufficient to analyze one of the satellites in the constellation. Thus, the first satellite in orbital plane 1, denoted as S 11 , is selected as a representative to exhibit network topology dynamics.
Within the system period (7798 s), the set of objects linkable for S 11 is as follows: S 12 , S 18 , S 21 , S 22 , S 26 , S 27 , S 28 , S 31 , S 32 , S 33 , S 34 , S 35 , S 36 , S 37 , S 38 , S 41 , S 42 , S 43 , S 47 , S 48 . Three nodes, S 28 / S 34 / S 47 , are chosen to demonstrate the calculation process of three factors which constitute the corresponding element in the adjacency matrix of S 11 , that is, δ S 11 S 28 t / δ S 11 S 34 t / δ S 11 S 47 t .

3.1. Calculation of the Geometric Linkable Factor

In one system period, the visibility relationship of S 11 with the three nodes are simulated, and the results are shown in Figure 2.
Table 2 shows the expression of the geometric linkable factor.

3.2. Calculation of the Link Distance Intensity Factor

Figure 3 shows the distance relationship of S 11 with the three nodes in one system period.
Table 3 shows the expression of the link distance intensity factor.

3.3. Calculation of the Relative Angular Velocity Factor of the Node

The relative angular velocity relationship of S 11 with the three nodes in one system period is shown in Figure 4.
Since the relative angular velocities are all continuously derivable, and none of the relative angular velocities exceeds the set threshold, the relative angular velocity factor of the node corresponds to a single Fourier series. In this paper, the fourth-order Fourier series is used for fitting, i.e., θ ˙ S i S j t = a 0 + 1 n a n cos n ω t + b n sin n ω t , n = 4 .
Table 4 shows the fourth-order fitting Fourier series coefficients corresponding to the relative angular velocity factor.
Therefore, the expressions of the relative angular velocity relationship of S 11 with the three nodes are listed in Table 5.
Based on the expressions of σ 1 t , σ 2 t and σ 3 t , the elements of the adjacency matrix can be calculated as shown in Table 6.
Similarly, the expressions of all the elements in the adjacency can be calculated, and the network topology, denoted as A δ i j t , can be obtained. That is the temporal continuity expression for the network topology.

4. Comparative Analysis

Taking 300 s as a snapshot length, during which the topology is stable, the network topological dynamic characteristic of the Walker Delta 32/4/1 constellation was described as a series through multiple static network topologies in ref. [20], which is shown in Figure 5.
Obviously, each row vector of the adjacency matrix corresponding to the network topology of the Walker Delta 32/4/1 constellation in the first snapshot ( t = 0   s , 300   s ) is obtained from the figure, as shown in Table 7.
Due to space constraints, the first-row vector of the adjacency matrix in the first snapshot ( t = 0   s , 300   s ) is selected for comparison, as shown in Table 8.
From Table 8, the comparison of the two results shows the following:
  • Both results of δ S 11 S 12 t and δ S 11 S 18 t are 1. It is because S 12 , S 18 , and S 11 are located in the same orbital plane, and the relative position relationship between the satellites remains constant if we ignore the influence of perturbation and other factors. Therefore, a link always exists in S 12 and S 11 with a stable link quality. The same applies with S 18 and S 11 .
  • Since ref. [20] assumed that a single satellite can construct two inter-satellite links and two intra-satellite links at the same time, thus the results of δ S 11 S 26 t , δ S 11 S 27 t , δ S 11 S 33 t , δ S 11 S 34 t , δ S 11 S 35 t , δ S 11 S 36 t , δ S 11 S 42 t , and δ S 11 S 43 t are 0. As the above constraints are not considered in this paper, the expression of the above elements is not 0, but a time-varying function, which means there are time-dependent ISLs existing. It should be noted that δ S 11 S 36 t = 1 3 1 + 15460 d S 11 S 36 t 10702 + 0.03461 θ ˙ S 11 S 36 t 0.06922 , t 0 ~ 221 0 , t 221 ~ 300 is a piecewise function portending that the link will be interrupted after 221 s.
  • Both results of δ S 11 S 28 t and δ S 11 S 41 t are always 1, while the corresponding expressions obtained by the method in this paper are two time-varying functions, e.g., δ S 11 S 28 t = 1 3 1 + 10,650 d S 11 S 28 t 8320 + 0.025 θ ˙ S 11 S 28 t 0.05 , which indicates that the quality of the two links actually changes with time.
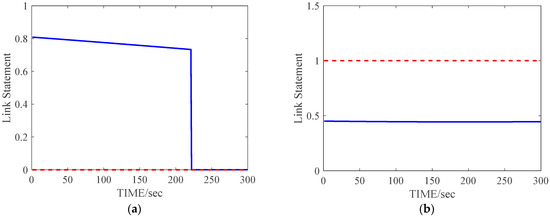
Two vector elements, δ S 11 S 36 t and δ S 11 S 41 t , are selected for a more intuitive graphical comparison, as shown in Figure 6. Figure 7 shows the value of δ S 11 S 41 t in a finer granularity, which reflects the trend of change. It is obviously that the link quality can be predicted, which means the change trend of link quality in the network topology of space information system can be grasped in real time. For example, if the current time is 50 s, we can predict that the link quality between S 11 and S 41 will be reduced to the lowest point at 195 s.

5. Discussion

5.1. Analysis of the Link Distance Intensity Factor

The link distance intensity factor describes the relationship between link quality and transmission distance as a linear function. In fact, it is more likely that there is a nonlinear relationship between them. For example, according to the radio wave propagation path loss formula, the loss value is inversely proportional to the square of the distance, i.e., a doubling of the communication distance increases the link loss by 6 dB. Therefore, the link distance intensity factor σ 2 t = d max S i S j d S i S j t d max S i S j d min S i S j can be replaced by the signal propagation attenuation factor σ 2 t = L max S i S j L S i S j t L max S i S j L min S i S j , wherein L S i S j t represents the path propagation attenuation of the signal.
  • When it is a microwave signal, the path propagation attenuation is L dB = 20 log f + 20 log d + 32.4 , wherein d km denotes distance and f MHz denotes frequency;
  • When it is a laser signal, the path propagation attenuation is L dB = 20 log λ 20 log Z 261.98 , wherein Z km denotes distance and λ nm denotes wavelength.
A more precise expression of the link distance intensity factor will be further investigated.

5.2. Analysis of the Relative Angular Velocity Factor of the Node

The relative angular velocity factor of the node is linear within the effective range of angular velocity. However, the quality of the link may not be greatly affected within the allowable range of angular velocity, especially when the phased array antenna is used for link construction. This is because the antenna beam sweep rate can perfectly match the change rate of angular velocity. Thus, the value of the relative angular velocity factor of the node may be degraded to 0 or 1.
When the Fourier series is used to fit the relative angular velocity factor of the node, the fitting effect of the extreme part is sometimes not satisfactory, as shown in Figure 4a,b. It can be solved by increasing the fitting order of the Fourier series. However, for practical applications, the fitting accuracy of the Fourier series in the extreme region may be not necessary combining the constraints of the minimum chain distance and the maximum relative angular velocity.

5.3. Analysis of the Applicability of the Method to Real Case

A space information system with MEO satellites is chosen as an example to demonstrate the effectiveness of the method. The core of the method is to introduce three factors based on orbital dynamics. Since each space information system has its own independent orbit dynamics, the only difference is the expression of the three factors when using the method in this paper. Therefore, the effectiveness of the method does not depend on the case, whether it is real or simulated, or on the number of cases. It is undoubtedly that the method will lead to more properly conclusions with a more precise input. And the real satellite orbit could be taken as a factor to correct the constellation configuration which is the input condition of this method.

6. Conclusions

A method for expressing the temporal continuity of network topology in a space information system is proposed in this paper. In addition to the basics of link establishment, the concept of link quality is introduced, which results in extending the traditional link establishment relationship from a binary function to a time-dependent function. Using the method in this paper, the change trend of link quality in the network topology of a space information system can be grasped in real time, and prerequisites for route planning can be provided more accurately. In addition, since the orbital dynamics of the space information system are not affected by perturbation and other factors in the short term, the link quality of the space information system network topology can also be predicted through the method in this paper, which is convenient for the further reconstruction and optimization of the network topology.
The limitation of this method is that it is closely linked to the constellation configuration. Therefore, the method does not take into account the long-term effects of orbital perturbation, etc. If the entire constellation is not orbitally maintained, the credibility of the conclusions obtained by this method will be reduced or even invalid. In addition, this method does not consider the constraints such as energy demand and thermal control demand for actual chain construction. In the subsequent practical application, the above constraints should be taken into account in the calculation of the adjacency matrix. This is also where the methodology of this paper needs to be further improved. Furthermore, this study will be strengthened in the following two aspects: one is increasing the network topology expression function of the method in the terrestrial inter-satellite link operation and management system; the other one is the implementation of the methods in on-board autonomous routing planning.

Author Contributions

Conceptualization, M.H., X.S. and X.C.; methodology, M.H., X.S., X.C. and F.Z.; software, X.C. and F.Z.; validation, M.H., X.S. and B.L. (Bing Li); formal analysis, M.H. and J.Z.; writing—original draft preparation, M.H. and X.S.; writing—review and editing, X.C., F.Z., B.L. (Bing Li) and S.C.; supervision, B.L. (Baojun Lan) and J.Z. All authors have read and agreed to the published version of the manuscript.

Funding

This research was funded by the National Natural Science Foundation of China, grant number [42074025].

Data Availability Statement

All data generated or analyzed during this research are included in this article.

Acknowledgments

The authors are grateful to Liang Qiao, the author of ref. [15], for his support and assistance.

Conflicts of Interest

The authors declare no conflicts of interest.

Abbreviations

The following abbreviations are used in this manuscript:
LEOLow earth orbit
SDNSoftware-defined network
FSAFinite state automation
OISLsOptical inter-satellite links
ISLInter-satellite link

References

  1. Chen, Q.; Yang, L.; Guo, J.; Li, X.; Zhao, Y.; Chen, X. LEO mega-constellation network: Networking technologies and state of the art. J. Commun. 2022, 43, 177–189. [Google Scholar] [CrossRef]
  2. Peng, M.; Liu, X.; Liu, Z.; Sun, Z. Principles and techniques in communication and sensing integrated 6G systems. Control Decis. 2023, 38, 22–38. [Google Scholar] [CrossRef]
  3. Zhao, Y.; Yu, G.; Xu, H. 6G mobile communication networks: Vision, challenges, and key technologies. Sci. China Inf. Sci. 2019, 49, 963–987. [Google Scholar] [CrossRef]
  4. Wang, X.; Zhang, X.; Ma, L.; Wang, Y.; Lou, M.; Jiang, T.; Jin, J.; Wang, Q.; Liu, G. Research and optimization on the sensing algorithm for 6G integrated sensing and communication network. J. Commun. 2023, 44, 219–230. [Google Scholar] [CrossRef]
  5. Xiao, Z.; Zeng, Y. An overview on integrated localization and communication towards 6G. Sci. China Inf. Sci. 2022, 65, 131301. [Google Scholar] [CrossRef]
  6. Elhanashi, A.; Dini, P.; Saponara, S.; Zheng, Q. Integration of Deep Learning into the IoT: A Survey of Techniques and Challenges for Real-World Applications. Electronics 2023, 12, 4925. [Google Scholar] [CrossRef]
  7. Lin, Z.; Lin, M.; Tomaso, C.; Wang, J.; Zhu, W.; Cheng, J. Supporting IoT with rate-splitting multiple access in satellite and aerial-integrated networks. IEEE Internet Things J. 2021, 8, 11123–11134. [Google Scholar] [CrossRef]
  8. Lin, Z.; Lin, M.; Wang, J.; Tomaso, C.; Wang, J. Joint beamforming and power allocation for satellite-terrestrial integrated networks with nonorthogonal multiple access. IEEE J. Sel. Top. Signal Process. 2019, 13, 657–670. [Google Scholar] [CrossRef]
  9. Lin, Z.; Lin, M.; Benoit, C.; Zhu, W.; Naofal, A. Secrecy-energy efficient hybrid beamforming for satellite-terrestrial integrated networks. IEEE Trans. Commun. 2021, 69, 6345–6360. [Google Scholar] [CrossRef]
  10. He, Y.; Liu, Y.; Jiang, C.; Zhong, X. Multiobjective anti-collision for massive access ranging in MF-TDMA satellite communication system. IEEE Internet Things J. 2022, 9, 14655–14666. [Google Scholar] [CrossRef]
  11. Zhu, Q.; Wang, X.; Yang, H.; Cao, Y. Design and Evaluation of Dynamic Topology for Mega Constellation Networks. Electronics 2023, 12, 1784. [Google Scholar] [CrossRef]
  12. Zhang, Y.; Wang, B.; Guo, B.; Yuan, Y.; Dong, T.; Yin, J.; Li, K.; Guo, X. A Research on Integrated Space-Ground Information Network Simulation Platform Based on SDN. Comput. Netw. 2021, 188, 107821. [Google Scholar] [CrossRef]
  13. Zhao, G.; Kang, Z.; Huang, Y.; Wu, S. A Routing Optimization Method for LEO Satellite Networks with Stochastic Link Failure. Aerospace 2022, 9, 322. [Google Scholar] [CrossRef]
  14. Guo, J.; Yang, L.; Rincón, D.; Sallent, S.; Chen, Q.; Liu, X. Static Placement and Dynamic Assignment of SDN Controllers in LEO Satellite Networks. IEEE Trans. Netw. Serv. Manag. 2022, 19, 4975–4988. [Google Scholar] [CrossRef]
  15. Wang, J.; Li, L.; Zhou, M. Topological dynamics characterization for LEO satellite networks. Comput. Netw. 2007, 51, 43–53. [Google Scholar] [CrossRef]
  16. Li, R.; Zhang, J.; Zheng, S.; Wang, K.; Wang, P.; Zhang, X. LEO Mega-Constellations Routing Algorithm Based on Area Segmentation. In Proceedings of the 2023 IEEE Wireless Communications and Networking Conference (WCNC), Glasgow, Scotland, UK, 26–29 March 2023. [Google Scholar] [CrossRef]
  17. Lu, Y.; Zhao, Y.; Sun, F.; Yang, F.; Liang, R.; Shen, J.; Zuo, Z. Enhancing Transmission Efficiency of Mega-Constellation LEO Satellite Networks. IEEE Trans. Veh. Technol. 2022, 20, 13210–13225. [Google Scholar] [CrossRef]
  18. Xu, R.; Di, X.; Chen, J.; Wang, H.; Luo, H.; Qi, H.; He, X.; Lei, W.; Zhang, S. A hybrid caching strategy for information-centric satellite networks based on node classification and popular content awareness. Comput. Commun. 2023, 197, 186–198. [Google Scholar] [CrossRef]
  19. Qi, X.; Zhang, B.; Qiu, Z.; Zheng, L. Using Inter-Mesh Links to Reduce End-to-End Delay in Walker Delta Constellations. IEEE Commun. Lett. 2021, 25, 3070–3074. [Google Scholar] [CrossRef]
  20. Qiao, L.; Yan, H.; Zhou, X.; Xu, Y.; Wang, L.; Wen, X. Onboard Centralized ISL-Building Planning for LEO Satellite Constellation Networks. Electronics 2023, 12, 635. [Google Scholar] [CrossRef]
  21. Xu, H.; Shi, Z.; Liu, M.; Zhang, N.; Yan, Y.; Han, G. Link-State Aware Hybrid Routing in the Terrestrial–Satellite Integrated Network. Sensors 2022, 22, 9124. [Google Scholar] [CrossRef]
  22. Wang, X.; Tan, L.; Cheng, S.; Ma, J. Link assignment based on vertex deleting using adjacency matrix for LEO optical satellite network. Opt. Commun. 2022, 520, 128563. [Google Scholar] [CrossRef]
  23. Yan, Z.; Gu, G.; Zhao, K.; Wang, Q.; Li, G.; Nie, X.; Yang, H.; Du, S. Integer Linear Programming Based Topology Design for GNSSs With Inter-Satellite Links. IEEE Wirel. Commun. Lett. 2021, 10, 286–290. [Google Scholar] [CrossRef]
  24. Lu, Y.; Min, G.; Zuo, Z.; Liang, R.; Duan, Z. Structural Performance of Satellite Networks: A Complex Network Perspective. IEEE Syst. J. 2021, 15, 3848–3859. [Google Scholar] [CrossRef]
  25. Zhang, S.; Yeung, K. Scalable routing in low-Earth orbit satellite constellations: Architecture and algorithms. Comput. Commun. 2022, 188, 26–38. [Google Scholar] [CrossRef]
  26. Chen, H.; Zhang, X.; Wang, L.; Xing, L.; Pedrycz, W. Resource-constrained self-organized optimization for near-real-time offloading satellite earth observation big data. Knowl.-Based Syst. 2022, 253, 109496. [Google Scholar] [CrossRef]
  27. Maity, I.; Vu, T.; Chatzinotas, S.; Minardi, M. D-ViNE: Dynamic Virtual Network Embedding in Non-Terrestrial Networks. In Proceedings of the 2022 IEEE Wireless Communications and Networking Conference (WCNC), Austin, TX, USA, 10–13 April 2022. [Google Scholar] [CrossRef]
  28. Chen, L.; Tang, F.; Li, X.; Liu, J.; Yang, Y.; Yu, J.; Zhu, Y. Delay-Optimal Cooperation Transmission in Remote Sensing Satellite Networks. IEEE Trans. Mob. Comput. 2023, 22, 5109–5123. [Google Scholar] [CrossRef]
  29. Zeng, L.; Lu, X.; Bai, Y.; Liu, B.; Yang, G. Topology design algorithm for optical inter-satellite links in future navigation satellite networks. GPS Solut. 2022, 26, 57. [Google Scholar] [CrossRef]
  30. Qi, H.; Guo, Y.; Hou, D.; Xing, Z.; Ren, W.; Cong, L.; Di, X. SDN-based dynamic multi-path routing strategy for satellite networks. Future Gener. Comput. Syst. 2022, 133, 254–265. [Google Scholar] [CrossRef]
  31. Huang, Y.; Jiang, X.; Chen, S.; Yang, F.; Yang, J. Pheromone Incentivized Intelligent Multipath Traffic Scheduling Approach for LEO Satellite Networks. IEEE Trans. Wirel. Commun. 2022, 21, 5889–5902. [Google Scholar] [CrossRef]
  32. Han, Z.; Xu, C.; Zhao, G.; Wang, S.; Cheng, K.; Yu, S. Time-Varying Topology Model for Dynamic Routing in LEO Satellite Constellation Networks. IEEE Trans. Veh. Technol. 2023, 72, 3440–3454. [Google Scholar] [CrossRef]
  33. Gao, L.; Zhao, H.; Jiang, T. Modeling and Simulation for Dynamic Topology Network of SIS. J. Syst. Simul. 2006, 18, 69–72. [Google Scholar]
  34. Ding, H. Design of Connectivity Simulation Model of Satellite Communication Link. J. Syst. Simul. 2007, 19, 713–715. [Google Scholar]
  35. Li, Z.; He, S.; Liu, C.; Wang, H. A Topology Design Method of Navigation Satellite Constellation Inter-Satellite Links. Spacecr. Eng. 2011, 20, 32–37. [Google Scholar]
  36. Zhang, T.; Li, Y.; Zhao, S.; Zheng, Y.; Xin, N. Distributed Topology Control Method Based on the Algebraic Connectivity Optimization in Space Information Networks. Acta Electron. Sin. 2020, 48, 1162–1168. [Google Scholar]
  37. She, C.; Wang, J.; Liu, L.; Zhou, M. Topological dynamics analysis of Walker constellation satellite networks. J. Commun. 2006, 27, 45–51. [Google Scholar]
  38. Alfriend, K.; Vadali, S.; Gurfil, P.; How, J.; Breger, L. Spacecraft Formation Flying: Dynamics, Control and Navigation; Elsevier Ltd.: Oxford, UK, 2010. [Google Scholar]
Figure 1. Schematic diagram of the link relationship between two satellites in the space information system.
Figure 1. Schematic diagram of the link relationship between two satellites in the space information system.
Electronics 13 02824 g001
Figure 2. The visibility relationship of S 11 with the three nodes in one system period. (a) S 28 and S 11 ; (b) S 34 and S 11 ; (c) S 47 and S 11 .
Figure 2. The visibility relationship of S 11 with the three nodes in one system period. (a) S 28 and S 11 ; (b) S 34 and S 11 ; (c) S 47 and S 11 .
Electronics 13 02824 g002
Figure 3. The distance relationship of S 11 with the three nodes in one system period. (a) S 28 and S 11 ; (b) S 34 and S 11 ; (c) S 47 and S 11 .
Figure 3. The distance relationship of S 11 with the three nodes in one system period. (a) S 28 and S 11 ; (b) S 34 and S 11 ; (c) S 47 and S 11 .
Electronics 13 02824 g003
Figure 4. The relative angular velocity relationship of S 11 with the three nodes in one system period. (a) S 28 and S 11 ; (b) S 34 and S 11 ; (c) S 47 and S 11 .
Figure 4. The relative angular velocity relationship of S 11 with the three nodes in one system period. (a) S 28 and S 11 ; (b) S 34 and S 11 ; (c) S 47 and S 11 .
Electronics 13 02824 g004
Figure 5. The network topology of the Walker Delta 32/4/1 constellation in ref. [20]. Reproduced with permission from Liang Qiao, et al. [Electronics]; published by [MDPI], [2023].
Figure 5. The network topology of the Walker Delta 32/4/1 constellation in ref. [20]. Reproduced with permission from Liang Qiao, et al. [Electronics]; published by [MDPI], [2023].
Electronics 13 02824 g005
Figure 6. The graphical comparison example of the two results: (a) graphical comparison of δ S 11 S 36 t ; (b) graphical comparison of δ S 11 S 41 t . In this figure, the result obtained in the method in this paper is indicated by a solid blue line, while the result obtained from ref. [20] is indicated by a red dotted line.
Figure 6. The graphical comparison example of the two results: (a) graphical comparison of δ S 11 S 36 t ; (b) graphical comparison of δ S 11 S 41 t . In this figure, the result obtained in the method in this paper is indicated by a solid blue line, while the result obtained from ref. [20] is indicated by a red dotted line.
Electronics 13 02824 g006
Figure 7. The value of δ S 11 S 41 t .
Figure 7. The value of δ S 11 S 41 t .
Electronics 13 02824 g007
Table 1. Walker Delta 32/4/132/4/1 constellation (orbital elements of the seed satellite) [20].
Table 1. Walker Delta 32/4/132/4/1 constellation (orbital elements of the seed satellite) [20].
ParameterValue
Semi-Major Axis8500 km
Eccentricity0.0000
Inclination60°
Longitude of the ascending node
Argument of periapsis
Mean anomaly at epoch
Table 2. The expression of the geometric linkable factor.
Table 2. The expression of the geometric linkable factor.
Satellite PairsExpression
S 28 and S 11 σ 1 t = 1 , t 0 ~ 7798
S 34 and S 11 σ 1 t = 0 , t 1308 ~ 3081 , 5208 ~ 6980 1 , t 0 ~ 1308 , 3081 ~ 5208 , 6980 ~ 7798
S 47 and S 11 σ 1 t = 0 , t 0 ~ 2257 , 2863 ~ 6157 , 6762 ~ 7798 1 , t 2257 ~ 2863 , 6157 ~ 6762
Table 3. The expression of the link distance intensity factor.
Table 3. The expression of the link distance intensity factor.
Satellite PairsExpression
S 28 and S 11 σ 2 t = 10,650 d S 11 S 28 t 10,650 2330 = 10,650 d S 11 S 28 t 8320
S 34 and S 11 σ 2 t = 14,820 d S 11 S 34 t 14,820 1939 = 14,820 d S 11 S 34 t 12,881
S 47 and S 11 σ 2 t = 15,120 d S 11 S 47 t 15,120 10,970 = 15,120 d S 11 S 47 t 4150
Table 4. The fourth-order fitting Fourier series coefficients.
Table 4. The fourth-order fitting Fourier series coefficients.
Satellite Pairs a 0 a 1 b 1 a 2 b 2 a 3 b 3 a 4 b 4 ω
S 28 and S 11 7.94 × 10−6−0.01340.01970.0054−0.0021−0.003−6.49 × 10−40.00110.00120.0016
S 34 and S 11 −2.87 × 10−50.0159−0.03770.0054−0.00530.0068−0.00270.00395.46 × 10−50.0016
S 47 and S 11 2.6 × 10−8−0.01510.01−7.5 × 10−4−3.1 × 10−4−7.99 × 10−5−4.1 × 10−43.78 × 10−5−3.76 × 10−50.0016
Table 5. The relative angular velocity relationship of S 11 with the three nodes.
Table 5. The relative angular velocity relationship of S 11 with the three nodes.
Satellite PairsExpression
S 28   and   S 11 σ 3 t = 0.025 θ ˙ S 11 S 28 t 0.05
S 34   and   S 11 σ 3 t = 0.04175 θ ˙ S 11 S 34 t 0.0835
S 47 and S 11 σ 3 t = 0.01775 θ ˙ S 11 S 47 t 0.0355
Table 6. The three elements of the adjacency matrix of S 11 .
Table 6. The three elements of the adjacency matrix of S 11 .
Satellite PairsExpression
S 28 and S 11 δ S 11 S 28 t = 1 + 10,650 d S 11 S 28 t 8320 + 0.025 θ ˙ S 11 S 28 t 0.05 3 , t 0 ~ 7798
S 34 and S 11 δ S 11 S 34 t = 0 , t 1308 ~ 3081 , 5208 ~ 6980 1 + 14,820 d S 11 S 34 t 12,881 + 0.04175 θ ˙ S 11 S 34 t 0.0835 3 , t 0 ~ 1308 , 3081 ~ 5208 , 6980 ~ 7798
S 47 and S 11 δ S 11 S 47 t = 0 , t 0 ~ 2257 , 2863 ~ 6157 , 6762 ~ 7798 1 + 15120 d S 11 S 47 t 4150 + 0.01775 θ ˙ S 11 S 47 t 0.0355 3 , t 2257 ~ 2863 , 6157 ~ 6762
Table 7. The row vectors of the adjacency matrix obtained from the figure.
Table 7. The row vectors of the adjacency matrix obtained from the figure.
S 11   S 12   S 13     S 17   S 18   S 21     S 27   S 28   S 31     S 38   S 41   S 42     S 48
S 11 0 1 0 0 1 0 0 1 0 0 1 0 0
S 11   S 12   S 13   S 14     S 18   S 21   S 22     S 41   S 42   S 43     S 48
S 12 1 0 1 0 0 1 0 0 1 0 0
S 11     S 17   S 18   S 21     S 28   S 31   S 32     S 38   S 41   S 42     S 46   S 47   S 48
S 48 0 0 1 0 0 1 0 0 1 0 0 1 0
Table 8. The comparison of the first-row vector.
Table 8. The comparison of the first-row vector.
Vector ElementsResults in Ref. [20]Results Obtained by the Method in This Paper
δ S 11 S 11 t 00
δ S 11 S 12 t 11
δ S 11 S 13 t 00
δ S 11 S 14 t 00
δ S 11 S 15 t 00
δ S 11 S 16 t 00
δ S 11 S 17 t 00
δ S 11 S 18 t 11
δ S 11 S 21 t 00
δ S 11 S 22 t 00
δ S 11 S 23 t 00
δ S 11 S 24 t 00
δ S 11 S 25 t 00
δ S 11 S 26 t 0 1 3 1 + 12990 d S 11 S 26 t 5221 + 0.01775 θ ˙ S 11 S 26 t 0.0355
δ S 11 S 27 t 0 1 3 1 + 10830 d S 11 S 27 t 7814 + 0.02311 θ ˙ S 11 S 27 t 0.04622
δ S 11 S 28 t 1 1 3 1 + 10,650 d S 11 S 28 t 8320 + 0.025 θ ˙ S 11 S 28 t 0.05
δ S 11 S 31 t 00
δ S 11 S 32 t 00
δ S 11 S 33 t 0 1 3 1 + 15460 d S 11 S 33 t 10701 + 0.03461 θ ˙ S 11 S 33 t 0.06922
δ S 11 S 34 t 0 1 3 1 + 14,820 d S 11 S 34 t 12,881 + 0.04175 θ ˙ S 11 S 34 t 0.0835
δ S 11 S 35 t 0 1 3 1 + 14810 d S 11 S 35 t 12871 + 0.04173 θ ˙ S 11 S 35 t 0.08346
δ S 11 S 36 t 0 1 3 1 + 15460 d S 11 S 36 t 10702 + 0.03461 θ ˙ S 11 S 36 t 0.06922 , t 0 ~ 221 0 , t 221 ~ 300
δ S 11 S 37 t 00
δ S 11 S 38 t 00
δ S 11 S 41 t 1 1 3 1 + 10,650 d S 11 S 41 t 8320 + 0.025 θ ˙ S 11 S 41 t 0.05
δ S 11 S 42 t 0 1 3 1 + 10830 d S 11 S 42 t 7813 + 0.02311 θ ˙ S 11 S 42 t 0.04622
δ S 11 S 43 t 0 1 3 1 + 12990 d S 11 S 43 t 5221 + 0.01775 θ ˙ S 11 S 43 t 0.0355
δ S 11 S 44 t 00
δ S 11 S 45 t 00
δ S 11 S 46 t 00
δ S 11 S 47 t 00
δ S 11 S 48 t 00
Disclaimer/Publisher’s Note: The statements, opinions and data contained in all publications are solely those of the individual author(s) and contributor(s) and not of MDPI and/or the editor(s). MDPI and/or the editor(s) disclaim responsibility for any injury to people or property resulting from any ideas, methods, instructions or products referred to in the content.

Share and Cite

MDPI and ACS Style

Huang, M.; Shang, X.; Chen, X.; Zhang, F.; Li, B.; Lan, B.; Chen, S.; Zhu, J. Temporal Continuity Expression for Network Topology of Space Information Systems. Electronics 2024, 13, 2824. https://doi.org/10.3390/electronics13142824

AMA Style

Huang M, Shang X, Chen X, Zhang F, Li B, Lan B, Chen S, Zhu J. Temporal Continuity Expression for Network Topology of Space Information Systems. Electronics. 2024; 13(14):2824. https://doi.org/10.3390/electronics13142824

Chicago/Turabian Style

Huang, Ming, Xia Shang, Xiang Chen, Feng Zhang, Bing Li, Baojun Lan, Shuang Chen, and Jun Zhu. 2024. "Temporal Continuity Expression for Network Topology of Space Information Systems" Electronics 13, no. 14: 2824. https://doi.org/10.3390/electronics13142824

APA Style

Huang, M., Shang, X., Chen, X., Zhang, F., Li, B., Lan, B., Chen, S., & Zhu, J. (2024). Temporal Continuity Expression for Network Topology of Space Information Systems. Electronics, 13(14), 2824. https://doi.org/10.3390/electronics13142824

Note that from the first issue of 2016, this journal uses article numbers instead of page numbers. See further details here.

Article Metrics

Back to TopTop