Sign in to use this feature.

Years

Between: -

Subjects

remove_circle_outline
remove_circle_outline
remove_circle_outline
remove_circle_outline
remove_circle_outline
remove_circle_outline
remove_circle_outline
remove_circle_outline
remove_circle_outline

Journals

Article Types

Countries / Regions

Search Results (171)

Search Parameters:
Keywords = inter-satellite link

Order results
Result details
Results per page
Select all
Export citation of selected articles as:
22 pages, 2341 KB  
Article
Acquisition Performance Analysis of Communication and Ranging Signals in Space-Based Gravitational Wave Detection
by Hongling Ling, Zhaoxiang Yi, Haoran Wu and Kai Luo
Technologies 2026, 14(1), 73; https://doi.org/10.3390/technologies14010073 - 21 Jan 2026
Abstract
Space-based gravitational wave detection relies on laser interferometry to measure picometer-level displacements over 105106 km baselines. To integrate ranging and communication within the same optical link without degrading the primary scientific measurement, a low modulation index of 0.1 rad [...] Read more.
Space-based gravitational wave detection relies on laser interferometry to measure picometer-level displacements over 105106 km baselines. To integrate ranging and communication within the same optical link without degrading the primary scientific measurement, a low modulation index of 0.1 rad is required, resulting in extremely weak signals and challenging acquisition conditions. This study developed mathematical models for signal acquisition, identifying and analyzing key performance-limiting factors for both Binary Phase Shift Keying (BPSK) and Binary Offset Carrier (BOC) schemes. These factors include spreading factor, acquisition step, modulation index, and carrier-to-noise ratio (CNR). Particularly, the acquisition threshold can be directly calculated from these parameters and applied to the acquisition process of communication and ranging signals. Numerical simulations and evaluations, conducted with TianQin mission parameters, demonstrate that, for a data rate of 62.5 kbps and modulation indices of 0.081 rad (BPSK) or 0.036 rad (BOC), respectively, acquisition (probability ≈ 1) is achieved when the CNR is ≥104 dB·Hz under a false alarm rate of 106. These results provide critical theoretical support and practical guidance for optimizing the inter-satellite communication and ranging system design for the space-based gravitational wave detection missions. Full article
(This article belongs to the Section Information and Communication Technologies)
Show Figures

Figure 1

25 pages, 5472 KB  
Article
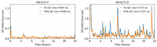
GRACE-FO Real-Time Precise Orbit Determination Using Onboard GPS and Inter-Satellite Ranging Measurements with Quality Control Strategy
by Shengjian Zhong, Xiaoya Wang, Min Li, Jungang Wang, Peng Luo, Yabo Li and Houxiang Zhou
Remote Sens. 2026, 18(2), 351; https://doi.org/10.3390/rs18020351 - 20 Jan 2026
Abstract
Real-Time Precise Orbit Determination (RTPOD) of Low Earth Orbit (LEO) satellites relies primarily on onboard GNSS observations and may suffer from degraded performance when observation geometry weakens or tracking conditions deteriorate within satellite formations. To enhance the robustness and accuracy of RTPOD under [...] Read more.
Real-Time Precise Orbit Determination (RTPOD) of Low Earth Orbit (LEO) satellites relies primarily on onboard GNSS observations and may suffer from degraded performance when observation geometry weakens or tracking conditions deteriorate within satellite formations. To enhance the robustness and accuracy of RTPOD under such conditions, a cooperative Extended Kalman Filter (EKF) framework that fuses onboard GNSS and inter-satellite link (ISL) range measurements is established, integrated with an iterative Detection, Identification, and Adaptation (DIA) quality control algorithm. By introducing high-precision ISL range measurements, the strategy increases observation redundancy, improves the effective observation geometry, and provides strong relative position constraints among LEO satellites. This constraint strengthens solution stability and convergence, while simultaneously enhancing the sensitivity of the DIA-based quality control to observation outliers. The proposed strategy is validated in a simulated real-time environment using Centre National d’Etudes Spatiales (CNES) real-time products and onboard observations of the GRACE-FO mission. The results demonstrate comprehensive performance enhancements for both satellites over the experimental period. For the GRACE-D satellite, which suffers from about 17% data loss and a cycle slip ratio several times higher than that of GRACE-C, the mean orbit accuracy improves by 39% (from 13.1 cm to 8.0 cm), and the average convergence time is shortened by 44.3%. In comparison, the GRACE-C satellite achieves a 4.2% mean accuracy refinement and a 1.3% reduction in convergence time. These findings reveal a cooperative stabilization mechanism, where the high-precision spatiotemporal reference is transferred from the robust node to the degraded node via inter-satellite range measurements. This study demonstrates the effectiveness of the proposed method in enhancing the robustness and stability of formation orbit determination and provides algorithmic validation for future RTPOD of LEO satellite formations or large-scale constellations. Full article
Show Figures

Figure 1

16 pages, 2082 KB  
Article
Adaptive Robust Cubature Filtering-Based Autonomous Navigation for Cislunar Spacecraft Using Inter-Satellite Ranging and Angle Data
by Jun Xu, Xin Ma and Xiao Chen
Aerospace 2026, 13(1), 100; https://doi.org/10.3390/aerospace13010100 - 20 Jan 2026
Abstract
The Linked Autonomous Interplanetary Satellite Orbit Navigation (LiAISON) technique enables cislunar spacecraft to obtain accurate position and velocity information, allowing full state estimation of two vehicles using only inter-satellite range (ISR) measurements when both their dynamical states are unknown. However, its stand-alone use [...] Read more.
The Linked Autonomous Interplanetary Satellite Orbit Navigation (LiAISON) technique enables cislunar spacecraft to obtain accurate position and velocity information, allowing full state estimation of two vehicles using only inter-satellite range (ISR) measurements when both their dynamical states are unknown. However, its stand-alone use leads to significantly increased orbit determination errors when the orbital planes of the two spacecraft are nearly coplanar, and is characterized by long initial convergence times and slow recovery following dynamical disturbances. To mitigate these issues, this study introduces an integrated navigation method that augments inter-satellite range measurements with line-of-sight vector angles relative to background stars. Additionally, an enhanced Adaptive Robust Cubature Kalman Filter (ARCKF) incorporating a chi-square test-based adaptive forgetting factor (AFF-ARCKF) is developed. This algorithm performs adaptive estimation of both process and measurement noise covariance matrices, improving convergence speed and accuracy while effectively suppressing the influence of measurement outliers. Numerical simulations involving spacecraft in Earth–Moon L4 planar orbits and distant retrograde orbits (DRO) confirm that the proposed method significantly enhances system observability under near-coplanar conditions. Comparative evaluations demonstrate that AFF-ARCKF achieves faster convergence compared to the standard ARCKF. Further analysis examining the effects of initial state errors and varying initial forgetting factors clarifies the operational boundaries and practical applicability of the proposed algorithm. Full article
(This article belongs to the Special Issue Space Navigation and Control Technologies (2nd Edition))
Show Figures

Figure 1

13 pages, 3377 KB  
Article
Clock Synchronization with Kuramoto Oscillators for Space Systems
by Nathaniel Ristoff, Hunter Kettering and James Camparo
Time Space 2026, 2(1), 1; https://doi.org/10.3390/timespace2010001 - 15 Jan 2026
Viewed by 82
Abstract
As space systems evolve towards cis-lunar missions and beyond, the demand for precise yet low-size, -weight, and -power (SWaP) clocks and synchronization methods becomes increasingly critical. We introduce a novel clock synchronization approach based on the Kuramoto oscillator model that facilitates the creation [...] Read more.
As space systems evolve towards cis-lunar missions and beyond, the demand for precise yet low-size, -weight, and -power (SWaP) clocks and synchronization methods becomes increasingly critical. We introduce a novel clock synchronization approach based on the Kuramoto oscillator model that facilitates the creation of an ensemble timescale for satellite constellations. Unlike traditional ensembling algorithms, the proposed Kuramoto method leverages nearest-neighbor interactions to achieve collective synchronization. This method simplifies the communication architecture and data-sharing requirements, making it well suited for dynamically connected networks such as proliferated low Earth orbit (pLEO) and lunar or Martian constellations, where intersatellite links may frequently change. Through simulations incorporating realistic noise models for small-scale atomic clocks, we demonstrate that the Kuramoto ensemble can yield an improvement in stability on the order of 1/√N, while mitigating the impact of constellation fragmentation and defragmentation. The results indicate that the Kuramoto oscillator-based algorithm can potentially deliver performance comparable to established techniques like Equal Weights Frequency Averaging (EWFA), yet with enhanced scalability and resource efficiency critical for future spaceborne PNT and communication systems. Full article
Show Figures

Figure 1

18 pages, 3518 KB  
Article
A Scalable Solution for Node Mobility Problems in NDN-Based Massive LEO Constellations
by Miguel Rodríguez Pérez, Sergio Herrería Alonso, José Carlos López Ardao and Andrés Suárez González
Sensors 2026, 26(1), 309; https://doi.org/10.3390/s26010309 - 3 Jan 2026
Viewed by 348
Abstract
In recent years, there has been increasing investment in the deployment of massive commercial Low Earth Orbit (LEO) constellations to provide global Internet connectivity. These constellations, now equipped with inter-satellite links, can serve as low-latency Internet backbones, requiring LEO satellites to act not [...] Read more.
In recent years, there has been increasing investment in the deployment of massive commercial Low Earth Orbit (LEO) constellations to provide global Internet connectivity. These constellations, now equipped with inter-satellite links, can serve as low-latency Internet backbones, requiring LEO satellites to act not only as access nodes for ground stations, but also as in-orbit core routers. Due to their high velocity and the resulting frequent handovers of ground gateways, LEO networks highly stress mobility procedures at both the sender and receiver endpoints. On the other hand, a growing trend in networking is the use of technologies based on the Information Centric Networking (ICN) paradigm for servicing IoT networks and sensor networks in general, as its addressing, storage, and security mechanisms are usually a good match for IoT needs. Furthermore, ICN networks possess additional characteristics that are beneficial for the massive LEO scenario. For instance, the mobility of the receiver is helped by the inherent data-forwarding procedures in their architectures. However, the mobility of the senders remains an open problem. This paper proposes a comprehensive solution to the mobility problem for massive LEO constellations using the Named-Data Networking (NDN) architecture, as it is probably the most mature ICN proposal. Our solution includes a scalable method to relate content to ground gateways and a way to address traffic to the gateway that does not require cooperation from the network routing algorithm. Moreover, our solution works without requiring modifications to the actual NDN protocol itself, so it is easy to test and deploy. Our results indicate that, for long enough handover lengths, traffic losses are negligible even for ground stations with just one satellite in sight. Full article
(This article belongs to the Special Issue Future Wireless Communication Networks: 3rd Edition)
Show Figures

Figure 1

16 pages, 10882 KB  
Article
Experimental Research of Inter-Satellite Beaconless Laser Communication Tracking System Based on Direct Fiber Control
by Yue Zhao, Junfeng Han, Bo Peng and Caiwen Ma
Photonics 2025, 12(12), 1238; https://doi.org/10.3390/photonics12121238 - 18 Dec 2025
Viewed by 304
Abstract
We propose a compact, beaconless inter-satellite laser communication tracking system based on direct fiber control to address the complexity and resource demands of conventional pointing, acquisition, and tracking (PAT) architectures. Unlike traditional sensor-based or beacon-assisted schemes, the proposed method employs a piezoelectric ceramic [...] Read more.
We propose a compact, beaconless inter-satellite laser communication tracking system based on direct fiber control to address the complexity and resource demands of conventional pointing, acquisition, and tracking (PAT) architectures. Unlike traditional sensor-based or beacon-assisted schemes, the proposed method employs a piezoelectric ceramic tube (PCT) to generate high-frequency, small-amplitude nutation of the single-mode fiber (SMF) tip, enabling real-time alignment correction using only the coupled optical power of the communication signal. This fully closed-loop tracking approach operates without position sensors and eliminates the need for beam splitting, external beacon sources, or auxiliary position detectors. A theoretical model is developed to analyze the influence of algorithm parameters and optical spot jitter on dynamic tracking performance. Experimental results show that the closed-loop system reliably converges to the optical spot center, achieving a fine-tracking accuracy of 4.6 μrad and a disturbance suppression bandwidth of 200 Hz. By significantly simplifying the terminal architecture, the proposed approach provides an efficient and SWaP-optimized solution for inter-satellite and satellite-to-ground optical communication links. Full article
(This article belongs to the Special Issue Laser Communication Systems and Related Technologies)
Show Figures

Figure 1

15 pages, 864 KB  
Article
A Relative Positioning Method for UAV Swarms Based on Link Quality Adaptive Adjustment
by Xiaozhou Guo, Jianyong Yang, Xinghua Chai, Xiaolong Zhang, Yanling Ji, Ya Li and Chengliang Di
Aerospace 2025, 12(12), 1106; https://doi.org/10.3390/aerospace12121106 - 15 Dec 2025
Viewed by 352
Abstract
In military operational environments, satellite navigation is typically unavailable, and unmanned aerial vehicle swarms must rely on inter-node communication links for distance measurement to achieve relative positioning. When the absolute positions of a subset of nodes are known, this approach can also enable [...] Read more.
In military operational environments, satellite navigation is typically unavailable, and unmanned aerial vehicle swarms must rely on inter-node communication links for distance measurement to achieve relative positioning. When the absolute positions of a subset of nodes are known, this approach can also enable absolute positioning of the entire swarm. Conventional relative positioning methods often overlook the inherent difference in ranging ability, assuming the same distance errors across all nodes. This oversimplification leads to significant positioning inaccuracies and slow convergence. To address these limitations, this paper proposes a distance error variance adjustable relative positioning method, DEVARP. The proposed method assigns varying confidence weights to inter-node distance measurements based on link quality, and solves it by continuous numerical iteration so as to achieve high-speed and high-precision positioning. In the simulation experiments involving a 32-node UAV swarm, the results show that the confidence-adjustable method achieves an absolute positioning error below 1 m with a probability of 91.05%, compared to 76.57% for traditional methods—a 14.48% improvement. Additionally, the proposed method converges within seven iterations with a probability of 94.10%. In contrast, conventional methods achieve the same result in seven steps with a probability of 78.83% —a 17.53% performance gap—which confirms both the accuracy and computational efficiency of the method. Full article
(This article belongs to the Section Aeronautics)
Show Figures

Figure 1

26 pages, 31516 KB  
Article
Hierarchical Load-Balanced Routing Optimization for Mega-Constellations via Geographic Partitioning
by Guinian Feng, Yutao Xu, Yang Zhao and Wei Zhang
Appl. Sci. 2025, 15(24), 13080; https://doi.org/10.3390/app152413080 - 11 Dec 2025
Viewed by 529
Abstract
Large-scale Low Earth Orbit (LEO) satellite constellations have become critical infrastructure for global communications, yet routing optimization remains challenging. Due to high-speed satellite mobility and limited local perception capabilities, traditional shortest-path algorithms struggle to adapt to dynamic topology changes and effectively handle random [...] Read more.
Large-scale Low Earth Orbit (LEO) satellite constellations have become critical infrastructure for global communications, yet routing optimization remains challenging. Due to high-speed satellite mobility and limited local perception capabilities, traditional shortest-path algorithms struggle to adapt to dynamic topology changes and effectively handle random fluctuations in traffic loads and inter-satellite link states. Meanwhile, as constellation scales expand, centralized routing mechanisms face deployment difficulties due to high communication latency and computational complexity. To address these issues, this paper proposes a hierarchical load-balanced routing optimization algorithm based on geographic partitioning. The algorithm divides the constellation into multiple regions by latitude and longitude, establishing a hierarchical cooperative decision mechanism: the upper layer handles inter-region routing decisions while the lower layer manages intra-region routing optimization. Within regions, a load-aware K-shortest paths algorithm enables path diversification, achieving global coordination through cross-region information sharing and dynamic path selection, thereby reducing end-to-end routing latency while enhancing adaptability to dynamic environments and balancing routing performance with system scalability. In simulation scenarios with a Starlink-like architecture of 1512 satellites, experimental results demonstrate that compared to shortest-path routing, the algorithm reduces end-to-end latency by 14.1% and average satellite load by 15.9%. Under dynamic load scenarios with incrementally increasing user traffic, the algorithm maintains stable performance, validating its robustness under traffic fluctuations and link state variations. Full article
(This article belongs to the Section Aerospace Science and Engineering)
Show Figures

Figure 1

12 pages, 2523 KB  
Article
Achromatic Optics Enable Wavelength-Equalized Coupling in C-Band DWDM Satellite Laser Communication Terminals
by Jiaxin Zhang, Guojin Qin, Yuan Wei, Junwen Zhang, Nan Chi and Jianyang Shi
Photonics 2025, 12(12), 1218; https://doi.org/10.3390/photonics12121218 - 9 Dec 2025
Viewed by 299
Abstract
With the increasing deployment of multi-wavelength free-space optical (FSO) systems in high-speed satellite data transmission, chromatic aberration has become one of the key factors limiting overall system performance. To address this challenge, this study proposes the integration of an achromatic metalens into a [...] Read more.
With the increasing deployment of multi-wavelength free-space optical (FSO) systems in high-speed satellite data transmission, chromatic aberration has become one of the key factors limiting overall system performance. To address this challenge, this study proposes the integration of an achromatic metalens into a C-band FSO terminal. By employing a genetic algorithm (GA) for phase optimization, inter-wavelength phase compensation and focal consistency are achieved. The optimized metalens reduces the focal drift from 95 μm to 15 μm, representing an 84% reduction in focal deviation. System-level FSO link simulations further demonstrate that the achromatic design reduces the median equivalent BER from 1.2 × 10−2 to 3.5 × 10−3 (a 71% reduction) and increases the FEC-qualified ratio from 25% to 60% (a 35% improvement), confirming its effectiveness in improving multi-wavelength link reliability. These results verify the effectiveness of the proposed approach in enhancing transmission stability and fiber-coupling efficiency in DWDM-FSO systems, providing a promising optical design strategy for high-capacity and broadband space optical communication terminals. Full article
Show Figures

Figure 1

31 pages, 3746 KB  
Article
An Advantage Actor–Critic-Based Quality of Service-Aware Routing Optimization Mechanism for Optical Satellite Network
by Wei Zhou, Bingli Guo, Xiaodong Liang, Qingsong Luo, Boying Cao, Zongxiang Xie, Ligen Qiu, Xinjie Shen and Bitao Pan
Photonics 2025, 12(12), 1148; https://doi.org/10.3390/photonics12121148 - 22 Nov 2025
Viewed by 340
Abstract
To support the 6G vision of seamless “space–air–ground-integrated” global coverage, optical satellite networks must enable high-speed, low-latency, and intelligent data transmission. However, conventional inter-satellite laser link-based optical transport networks suffer from inefficient bandwidth utilization and nonlinear latency accumulation caused by multi-hop routing, which [...] Read more.
To support the 6G vision of seamless “space–air–ground-integrated” global coverage, optical satellite networks must enable high-speed, low-latency, and intelligent data transmission. However, conventional inter-satellite laser link-based optical transport networks suffer from inefficient bandwidth utilization and nonlinear latency accumulation caused by multi-hop routing, which severely limits their ability to support ultra-low-latency and real-time applications. To address the critical challenges of high topological complexity and stringent real-time requirements in satellite elastic optical networks, we propose an asynchronous advantage actor–critic-based quality of service-aware routing optimization mechanism for the optical inter-satellite link (OISL-AQROM). By establishing a quantitative model that correlates the optical service unit (OSU) C value with node hop count, the algorithm enhances the performance of latency-sensitive services in dynamic satellite environments. Simulation results conducted on a Walker-type low Earth orbit (LEO) constellation comprising 1152 satellites demonstrate that OISL-AQROM reduces end-to-end latency by 76.3% to 37.6% compared to the traditional heuristic multi-constrained shortest path first (MCSPF) algorithm, while supporting fine-grained dynamic bandwidth adjustment down to a minimum granularity of 2.6 Mbps. Furthermore, OISL-AQROM exhibits strong convergence and robust stability across diverse traffic loads, consistently outperforming MCSPF and deep deterministic policy gradient (DDPG) algorithm in overall efficiency, load adaptability, and operational reliability. The proposed algorithm significantly improves service quality and transmission efficiency in commercial mega-constellation optical satellite networks, demonstrating engineering applicability and potential for practical deployment in future 6G infrastructure. Full article
(This article belongs to the Special Issue Emerging Technologies for 6G Space Optical Communication Networks)
Show Figures

Figure 1

15 pages, 2416 KB  
Article
Experimental Demonstration of a Unidirectional Integrated Ranging and Communication Scheme for Space-Based Gravitational Wave Detection
by Chenying Sun, Weilai Yao, Xindong Liang and Jianjun Jia
Appl. Sci. 2025, 15(22), 12263; https://doi.org/10.3390/app152212263 - 19 Nov 2025
Viewed by 392
Abstract
The detection of space-based gravitational waves imposes stringent requirements on inter-satellite absolute distance measurement and communication capabilities. To address the issues of high resource consumption and platform complexity associated with the traditional approach of separating ranging system and communication system, this paper proposes [...] Read more.
The detection of space-based gravitational waves imposes stringent requirements on inter-satellite absolute distance measurement and communication capabilities. To address the issues of high resource consumption and platform complexity associated with the traditional approach of separating ranging system and communication system, this paper proposes an integrated ranging and communication scheme based on a one-way link. Utilizing pseudo-random noise (PRN) code modulation, the scheme achieves high-precision inter-satellite absolute distance measurement while simultaneously supporting data transmission on the same carrier. To validate the feasibility of the scheme, a ground-based proof-of-principle system was developed, integrating core electronic processing modules and an optical link. Experimental results demonstrate that the integrated system operates stably under laboratory conditions, achieving a ranging accuracy better than 1 cm (at a data rate of 3 Hz) while transmitting communication data at 39 kbps, fully meeting the requirements of space-based gravitational wave detection missions. Through joint electronic and optical experiments, this study confirms the effectiveness and high performance of the proposed integrated scheme, offering a streamlined and highly promising alternative for the design of inter-satellite link systems in future space-based gravitational wave detection projects. Full article
(This article belongs to the Section Aerospace Science and Engineering)
Show Figures

Figure 1

25 pages, 12497 KB  
Article
Hybrid Sensor Fusion Beamforming for UAV mmWave Communication
by Yuya Sugimoto and Gia Khanh Tran
Future Internet 2025, 17(11), 521; https://doi.org/10.3390/fi17110521 - 17 Nov 2025
Viewed by 731
Abstract
Resilient autonomous inter-Unmanned Aerial Vehicle (UAV) communication is critical for applications like drone swarms. While conventional Global Navigation Satellite System (GNSS)-based beamforming is effective at long ranges, it suffers from significant pointing errors at close range due to latency, low update rates and [...] Read more.
Resilient autonomous inter-Unmanned Aerial Vehicle (UAV) communication is critical for applications like drone swarms. While conventional Global Navigation Satellite System (GNSS)-based beamforming is effective at long ranges, it suffers from significant pointing errors at close range due to latency, low update rates and the inherent GNSS positioning error. To overcome these limitations, this paper proposes a novel hybrid beamforming system that enhances resilience by adaptively switching between two methods. For short-range operations, our system leverages Light Detection and Ranging (LiDAR)–camera sensor fusion for high-accuracy, low-latency UAV tracking, enabling precise millimeter-wave (mmWave) beamforming. For long-range scenarios beyond the camera’s detection limit, it intelligently switches to a GNSS-based method. The switching threshold is determined by considering both the sensor’s effective range and the pointing errors caused by GNSS latency and a UAV velocity. Simulations conducted in a realistic urban model demonstrate that our hybrid approach compensates for the weaknesses of each individual method. It maintains a stable, high-throughput link across a wide range of distances, achieving superior performance and resilience compared to systems relying on a single tracking method. This paves the way for advanced autonomous drone network operations in dynamic environments. Full article
Show Figures

Figure 1

22 pages, 1664 KB  
Article
A Blockchain-Enabled Decentralized Zero-Trust Architecture for Anomaly Detection in Satellite Networks via Post-Quantum Cryptography and Federated Learning
by Sridhar Varadala and Hao Xu
Future Internet 2025, 17(11), 516; https://doi.org/10.3390/fi17110516 - 12 Nov 2025
Viewed by 651
Abstract
The rapid expansion of satellite networks for advanced communication and space exploration has ensured that robust cybersecurity for inter-satellite links has become a critical challenge. Traditional security models rely on centralized trust authorities, and node-specific protections are no longer sufficient, particularly when system [...] Read more.
The rapid expansion of satellite networks for advanced communication and space exploration has ensured that robust cybersecurity for inter-satellite links has become a critical challenge. Traditional security models rely on centralized trust authorities, and node-specific protections are no longer sufficient, particularly when system failures or attacks affect groups of satellites or agent clusters. To address this problem, we propose a blockchain-enabled decentralized zero-trust model based on post-quantum cryptography (BEDZTM-PQC) to improve the security of satellite communications via continuous authentication and anomaly detection. This model introduces a group-based security framework, where satellite teams operate under a zero-trust architecture (ZTA) enforced by blockchain smart contracts and threshold cryptographic mechanisms. Each group shares the responsibility for local anomaly detection and policy enforcement while maintaining decentralized coordination through hierarchical federated learning, allowing for collaborative model training without centralizing sensitive telemetry data. A post-quantum cryptography (PQC) algorithm is employed for future-proof communication and authentication protocols against quantum computing threats. Furthermore, the system enhances network reliability by incorporating redundant communication channels, consensus-based anomaly validation, and group trust scoring, thus eliminating single points of failure at both the node and team levels. The proposed BEDZTM-PQC is implemented in MATLAB, and its performance is evaluated using key metrics, including accuracy, latency, security robustness, trust management, anomaly detection accuracy, performance scalability, and security rate with respect to different numbers of input satellite users. Full article
Show Figures

Figure 1

19 pages, 679 KB  
Article
Adaptive Service Migration for Satellite Edge Computing via Deep Reinforcement Learning
by Lu Zhao, Lulu Guo, Siyi Ni, Wanqi Qian, Kaixiang Lu, Yong Xie and Jian Zhou
Electronics 2025, 14(21), 4330; https://doi.org/10.3390/electronics14214330 - 5 Nov 2025
Viewed by 834
Abstract
In this paper, we investigate the Adaptive Service Migration (ASM) problem in dynamic satellite edge computing networks, focusing on Low Earth Orbit satellites with time-varying inter-satellite links. We formulate the ASM problem as a constrained optimization problem, aiming to minimize overall service cost, [...] Read more.
In this paper, we investigate the Adaptive Service Migration (ASM) problem in dynamic satellite edge computing networks, focusing on Low Earth Orbit satellites with time-varying inter-satellite links. We formulate the ASM problem as a constrained optimization problem, aiming to minimize overall service cost, which includes both interruption cost and processing cost. To address this problem, we propose ASM-DRL, a deep reinforcement learning approach based on the soft Actor-Critic framework. ASM-DRL introduces an adaptive entropy adjustment mechanism to dynamically balance exploration and exploitation, and adopts a dual-Critic architecture with soft target updates to enhance training stability and reduce Q-value overestimation. Extensive simulations show that ASM-DRL significantly outperforms baseline approaches in reducing service cost. Full article
(This article belongs to the Special Issue Intelligent Cloud–Edge Computing Continuum for Industry 4.0)
Show Figures

Figure 1

27 pages, 7875 KB  
Article
Spatiotemporal Water Quality Assessment in Spatially Heterogeneous Horseshoe Lake, Madison County, Illinois Using Satellite Remote Sensing and Statistical Analysis (2020–2024)
by Anuj Tiwari, Ellen Hsuan and Sujata Goswami
Water 2025, 17(20), 2997; https://doi.org/10.3390/w17202997 - 17 Oct 2025
Viewed by 1134
Abstract
Inland lakes across the United States are increasingly impacted by nutrient pollution, sedimentation, and algal blooms, with significant ecological and economic consequences. While satellite-based monitoring has advanced our ability to assess water quality at scale, many lakes remain analytically underserved due to their [...] Read more.
Inland lakes across the United States are increasingly impacted by nutrient pollution, sedimentation, and algal blooms, with significant ecological and economic consequences. While satellite-based monitoring has advanced our ability to assess water quality at scale, many lakes remain analytically underserved due to their spatial heterogeneity and the multivariate nature of pollution dynamics. This study presents an integrated framework for detecting spatiotemporal pollution patterns using satellite remote sensing, trend segmentation, hierarchical clustering and dimensionality reduction. Taking Horseshoe Lake (Illinois), a shallow eutrophic–turbid system, as a case study, we analyzed Sentinel-2 imagery from 2020–2024 to derive chlorophyll-a (NDCI), turbidity (NDTI), and total phosphorus (TP) across five hydrologically distinct zones. Breakpoint detection and modified Mann–Kendall tests revealed both abrupt and seasonal trend shifts, while correlation and hierarchical clustering uncovered inter-zone relationships. To identify lake-wide pollution windows, we applied Kernel PCA to generate a composite pollution index, aligned with the count of increasing trend segments. Two peak pollution periods, late 2022 and late 2023, were identified, with Regions 1 and 5 consistently showing high values across all indicators. Spatial maps linked these hotspots to urban runoff and legacy impacts. The framework captures both acute and chronic stress zones and enables targeted seasonal diagnostics. The approach demonstrates a scalable and transferable method for pollution monitoring in morphologically complex lakes and supports more targeted, region-specific water management strategies. Full article
(This article belongs to the Special Issue Use of Remote Sensing Technologies for Water Resources Management)
Show Figures

Graphical abstract

Back to TopTop