Evaluation of Different Filtering Methods Devoted to Magnetometer Data Denoising
Abstract
1. Introduction
2. Related Work
2.1. Magnetometer Noise
2.2. Advancements in Noise Minimization in Magnetometer Sensors
3. Method Development
3.1. The UGV Platform
3.2. Moving Average Filters
3.3. Noise Reduction Analysis
4. Results
4.1. Data Collection System
- N is the number of samples;
- y is the observed value for each sample;
- is the value predicted by the model for each sample.
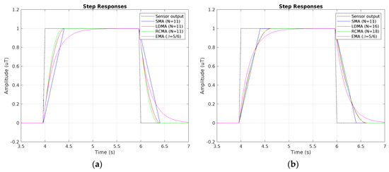
4.2. Experimental Results
5. Conclusions and Future Work
Author Contributions
Funding
Institutional Review Board Statement
Informed Consent Statement
Data Availability Statement
Conflicts of Interest
Appendix A




References
- Quoc, D.D.; Sun, J.; Le, V.N. Attitude Estimation Algorithms Using Low Cost IMU. Int. J. Control Autom. 2015, 8, 113–126. [Google Scholar] [CrossRef]
- Belalcazar-Bolaños, E.A.; Torricelli, D.; Pons, J.L. Automatic Detection of Magnetic Disturbances in Magnetic Inertial Measurement Unit Sensors Based on Recurrent Neural Networks. Sensors 2023, 23, 9683. [Google Scholar] [CrossRef] [PubMed]
- Wang, J.-H.; Gao, Y. A New Magnetic Compass Calibration Algorithm Using Neural Networks. Meas. Sci. Technol. 2005, 17, 153–160. [Google Scholar] [CrossRef]
- Cui, X.; Li, Y.; Wang, Q.; Karaim, M.; Noureldin, A. Vehicle Heading Estimation of INS/Magnetometer Integrated System Based on Constant Hard Iron Interference Calibration. Meas. Control 2021, 54, 1208–1218. [Google Scholar] [CrossRef]
- El-Diasty, M. An Accurate Heading Solution Using MEMS-Based Gyroscope and Magnetometer Integrated System (Preliminary Results). ISPRS Ann. Photogramm. Remote Sens. Spat. Inf. Sci. 2014, 2, 75–78. [Google Scholar] [CrossRef]
- Nirmal, K.; Sreejith, A.G.; Mathew, J.; Sarpotdar, M.; Suresh, A.; Prakash, A.; Safonova, M.; Murthy, J. Noise Modeling and Analysis of an IMU-Based Attitude Sensor: Improvement of Performance by Filtering and Sensor Fusion. SPIE Proc. 2016, 9912, 99126W. [Google Scholar] [CrossRef]
- Kuncar, A.; Sysel, M.; Urbanek, T. Calibration of Triaxial Accelerometer and Triaxial Magnetometer for Tilt Compensated Electronic Compass. In Automation Control Theory Perspectives in Intelligent Systems; CSOC 2016. Advances in Intelligent Systems and Computing; Silhavy, R., Senkerik, R., Oplatkova, Z.K., Silhavy, P., Prokopova, Z., Eds.; Springer: Cham, Switzerland, 2016; Volume 466. [Google Scholar] [CrossRef]
- Lenz, J.; Edelstein, S. Magnetic Sensors and Their Applications. IEEE Sens. J. 2006, 6, 631–649. [Google Scholar] [CrossRef]
- Basit, A.; Daraz, A.; Zhang, G. Implementation of a Wideband Microwave Filter Design with Dual Electromagnetic Interference (EMI) Mitigation for Modern Wireless Communication Systems with Low Insertion Loss and High Selectivity. Micromachines 2023, 14, 1986. [Google Scholar] [CrossRef] [PubMed]
- Robbes, D. Highly Sensitive Magnetometers—A Review. Sens. Actuators A Phys. 2006, 129, 86–93. [Google Scholar] [CrossRef]
- Dressler, M.; Janosek, M.; Butta, M. Reduction of Magnetic Noise Limits of Orthogonal Fluxgate Sensor. AIP Adv. 2021, 11, 015347. [Google Scholar] [CrossRef]
- Unwin, N.J.; Postula, A.J. Filtering of Magnetic Noise Induced in Magnetometers by Motors of Micro-Rotary Aerial Vehicle. In Proceedings of the Eighth International Conference on Advances in Circuits, Electronics and Micro-Electronics, Venice, Italy, 23–28 August 2015. [Google Scholar]
- Porang, T.; Maneetham, D.; Aung, M.M. Kalman and Butterworth Filter Comparison for GPS and Magnetometer Sensors. In Proceedings of the 2022 IEEE 8th Information Technology International Seminar (ITIS), Surabaya, Indonesia, 19–21 October 2022. [Google Scholar] [CrossRef]
- Ning, Z.; Fu, J.; Chang, Y.; Lyu, T. Improved MEMS Magnetometer Adaptive Filter Noise Reduction and Compensation Method. IEEE Sens. J. 2022, 22, 1252–1264. [Google Scholar] [CrossRef]
- Pereira, T.; Gameiro, T.; Viegas, C.; Santos, V.; Ferreira, N. Sensor Integration in a Forestry Machine. Sensors 2023, 23, 9853. [Google Scholar] [CrossRef] [PubMed]
- Gameiro, T.; Pereira, T.; Viegas, C.; Di Giorgio, F.; Ferreira, N.F. Robots for Forest Maintenance. Forests 2024, 15, 381. [Google Scholar] [CrossRef]
- Sensortec, B. BMM150 Geomagnetic Sensor. Available online: https://www.bosch-sensortec.com/media/boschsensortec/downloads/datasheets/bst-bmm150-ds001.pdf (accessed on 3 February 2024).
- Szenergy/Duro_gps_Driver. Szenergy. Available online: https://github.com/szenergy/duro_gps_driver (accessed on 21 February 2024).
- Harris, F.J. On the Use of Windows for Harmonic Analysis with the Discrete Fourier Transform. Proc. IEEE 1978, 66, 51–83. [Google Scholar] [CrossRef]
- Applied Optimum Signal Processing. Available online: https://www.ece.rutgers.edu/~orfanidi/aosp/ (accessed on 25 February 2024).
- Brown, R. Smoothing, Forecasting and Prediction of Discrete Time Series; Courier Dover Publications: Mineola, NY, USA, 2004. [Google Scholar]
- Roman, K. Introduction to Digital Signal Processing; McGraw-Hill Education: New York, NY, USA, 2008. [Google Scholar]
- Hayes, M.H. Schaum’s Outline of Theory and Problems of Digital Signal Processing; McGraw Hill: New York, NY, USA, 1999. [Google Scholar]
- Valiviita, S.; Ovaska, S.J.; Vainio, O. Polynomial Predictive Filtering in Control Instrumentation: A Review. IEEE Trans. Ind. Electron. 1999, 46, 876–888. [Google Scholar] [CrossRef]
- Vainio, O. Minimum-Phase FIR Filters for Delay-Constrained Noise Reduction. IEEE Trans. Instrum. Meas. 1999, 48, 1100–1102. [Google Scholar] [CrossRef]
- Hodson, T.O. Root-Mean-Square Error (RMSE) or Mean Absolute Error (MAE): When to Use Them or Not. Geosci. Model Dev. 2022, 15, 5481–5487. [Google Scholar] [CrossRef]














| Parameters | Values |
|---|---|
| Measuring Range | ±1300 μT (X and Y axes), ±2500 μT (Z-axis) |
| Resolution | 0.3 μT (13 bits) |
| Zero Offset | ±40 μT/±2 μT (software optimized) |
| Non-linearity | 1% FS |
| Output Data Rate | 10 Hz (default) 2, 6, 8, 15, 20, 25, and 30 Hz |
| Performance Metrics Expressions | Moving Average Filters | |||
|---|---|---|---|---|
| SMA | LDMA | RCMA | EMA | |
| Noise-Reduction Factor | ||||
| Performance Metrics Expressions | Moving Average Filters | |||
|---|---|---|---|---|
| SMA | LDMA | RCMA | EMA | |
| Group Delay | ||||
| Performance Indicators | Moving Average Filters | ||||
|---|---|---|---|---|---|
| Filter Length | Metrics | SMA | LDMA | RCMA | EMA |
| 11 | Noise-Reduction Factor | 0.09091 −10.414 dB | 0.11616 −9.349 dB | 0.12847 −8.912 dB | 0.09091 −10.414 dB |
| Group Delay | 5.00 samples 200.00 ms | 3.333 samples 133.33 ms | 2.984 samples 119.38 ms | 5.00 samples 200.00 ms | |
| 21 | Noise-Reduction Factor | 0.04762 −13.222 dB | 0.06205 −12.073 dB | 0.06921 −11.598 dB | 0.04762 −13.222 dB |
| Group Delay | 10.00 samples 400.00 ms | 6.667 samples 266.67 ms | 5.953 samples 238.12 ms | 10.00 samples 400.00 ms | |
| Performance Metrics | Moving Average Filters | ||||
|---|---|---|---|---|---|
| SMA | LDMA | RCMA | EMA | ||
| Filter Length N | 11 | 16 | 17 | 18 | (β = 5/6) |
| Noise-Reduction Factor | 0.09091 | 0.08088 | 0.08488 | 0.08033 | 0.09091 |
| NRF (dB) | −10.414 | −10.921 | −10.712 | −10.951 | −10.414 |
| Group Delay (ms) | 200.00 | 200.00 | 190.60 | 202.48 | 200.00 |
| Filter Length N | 21 | 31 | 34 | 35 | (β = 10/11) |
| Noise-Reduction Factor | 0.04762 | 0.04234 | 0.04327 | 0.04205 | 0.04762 |
| NRF (dB) | −13.222 | −13.733 | −13.639 | −13.762 | −13.222 |
| Group Delay (ms) | 400.00 | 400.00 | 392.66 | 404.55 | 400.00 |
| Filtering Methods | X-Axis Output | Y-Axis Output | Z-Axis Output | |||
|---|---|---|---|---|---|---|
| Mean (μT) | SD (μT) | Mean (μT) | SD (μT) | Mean (μT) | SD (μT) | |
| Raw data | 23.623 | 1.669 | −1.291 | 0.748 | 34.892 | 1.033 |
| SMA (N = 11) | 23.632 | 0.905 | −1.285 | 0.372 | 34.898 | 0.534 |
| LDMA (N = 16) | 23.635 | 0.866 | −1.290 | 0.351 | 34.896 | 0.514 |
| RCMA (N = 18) | 23.637 | 0.868 | −1.291 | 0.350 | 34.896 | 0.516 |
| EMA (β = 5/6) | 23.606 | 0.914 | −1.285 | 0.368 | 34.861 | 0.587 |
| SMA (N = 21) | 23.639 | 0.705 | −1.291 | 0.293 | 34.895 | 0.437 |
| LDMA (N = 31) | 23.646 | 0.671 | −1.295 | 0.279 | 34.890 | 0.418 |
| RCMA (N = 35) | 23.650 | 0.672 | −1.297 | 0.279 | 34.886 | 0.416 |
| EMA (β = 10/11) | 23.591 | 0.773 | −1.290 | 0.289 | 34.827 | 0.528 |
|
Noise Reduction | Filtering Methods [14] RM3100 Magnetometer (Table V) | Moving Average Filters BMM 150 Magnetometer | ||||
|---|---|---|---|---|---|---|
| Wavelet Denoise | EKF | Adaptive Filter | SMA (N = 21) | LDMA (N = 31) | RCMA (N = 35) | |
| X-axis | 0.5456 | 0.1689 | 0.0385 | 0.1784 | 0.1616 | 0.1621 |
| Y-axis | 0.4473 | 0.1395 | 0.0210 | 0.1534 | 0.1391 | 0.1391 |
| Z-axis | 0.6593 | 0.3346 | 0.0602 | 0.1789 | 0.1637 | 0.1621 |
| Performance Metrics | Before Filtering | After Filtering | ||||
|---|---|---|---|---|---|---|
| SMA | LDMA | RCMA | EMA | |||
| Group delay five samples | Filter length Mean (°) σ SD (°) MAE (°) | --- −3.1056 1.8007 1.5151 --- | 11 −3.1075 0.8787 0.6910 0.2381 | 16 −3.1195 0.8303 0.6404 0.2126 | 18 −3.1237 0.8278 0.6392 0.2113 | β = 5/6 −3.1112 0.8695 0.6779 0.2332 |
| Group delay 10 samples | Filter length Mean (°) σ SD (°) MAE (°) | --- −3.1056 1.8007 1.5151 --- | 21 −3.1243 0.7014 0.5376 0.1517 | 31 −3.1360 0.6693 0.5070 0.1382 | 35 −3.1389 0.6690 0.5021 0.1380 | β = 10/11 −3.110 0.702 0.548 0.1509 |
Disclaimer/Publisher’s Note: The statements, opinions and data contained in all publications are solely those of the individual author(s) and contributor(s) and not of MDPI and/or the editor(s). MDPI and/or the editor(s) disclaim responsibility for any injury to people or property resulting from any ideas, methods, instructions or products referred to in the content. |
© 2024 by the authors. Licensee MDPI, Basel, Switzerland. This article is an open access article distributed under the terms and conditions of the Creative Commons Attribution (CC BY) license (https://creativecommons.org/licenses/by/4.0/).
Share and Cite
Pereira, T.; Santos, V.; Gameiro, T.; Viegas, C.; Ferreira, N. Evaluation of Different Filtering Methods Devoted to Magnetometer Data Denoising. Electronics 2024, 13, 2006. https://doi.org/10.3390/electronics13112006
Pereira T, Santos V, Gameiro T, Viegas C, Ferreira N. Evaluation of Different Filtering Methods Devoted to Magnetometer Data Denoising. Electronics. 2024; 13(11):2006. https://doi.org/10.3390/electronics13112006
Chicago/Turabian StylePereira, Tiago, Victor Santos, Tiago Gameiro, Carlos Viegas, and Nuno Ferreira. 2024. "Evaluation of Different Filtering Methods Devoted to Magnetometer Data Denoising" Electronics 13, no. 11: 2006. https://doi.org/10.3390/electronics13112006
APA StylePereira, T., Santos, V., Gameiro, T., Viegas, C., & Ferreira, N. (2024). Evaluation of Different Filtering Methods Devoted to Magnetometer Data Denoising. Electronics, 13(11), 2006. https://doi.org/10.3390/electronics13112006

