Multi-Objective Combinatorial Optimization Using the Cell Mapping Algorithm for Mobile Robots Trajectory Planning
Abstract
1. Introduction
2. Materials and Methods
2.1. Optimal Trajectory Planning Problem
2.2. Cell Mapping Algorithm for Trajectory Planning
- Generate an equally spaced grid for the state space, i.e., position and velocity. Note that the position and velocity constraints of the mobile robot define the boundaries of the grid. At this point, it is also possible to include obstacles or forbidden cells in the grid.
- Define a set of constant values that can be applied to the dynamic model of the mobile robot. These elements represent constant control actions when applied for the cell mapping method.
- Decide on the apply time of the control actions that best aligns with the construction of the grid.
- Build and store the cell mapping weighted graph from a cost function, by applying every control action for each cell in the grid.
| Algorithm 1: CMA for mobile robots in . |
![]() |
2.3. Combinatorial Optimization Problem Using CMA
| Algorithm 2: Shortest path algorithm in . |
| Result: Convex hull (); ; ; ; |
3. Results
3.1. Problem Description
3.2. Combinatorial Optimization Using CMA for Minimum Distance ()
3.3. Combinatorial Optimization Using CMA for Minimum Control Effort ()
3.4. Combinatorial Optimization Using CMA for Minimum Navigation Time ()
3.5. Multi-Objective Combinatorial Optimization Using CMA ()
4. Discussion
4.1. Comparison of Trajectories Generated by the CMA
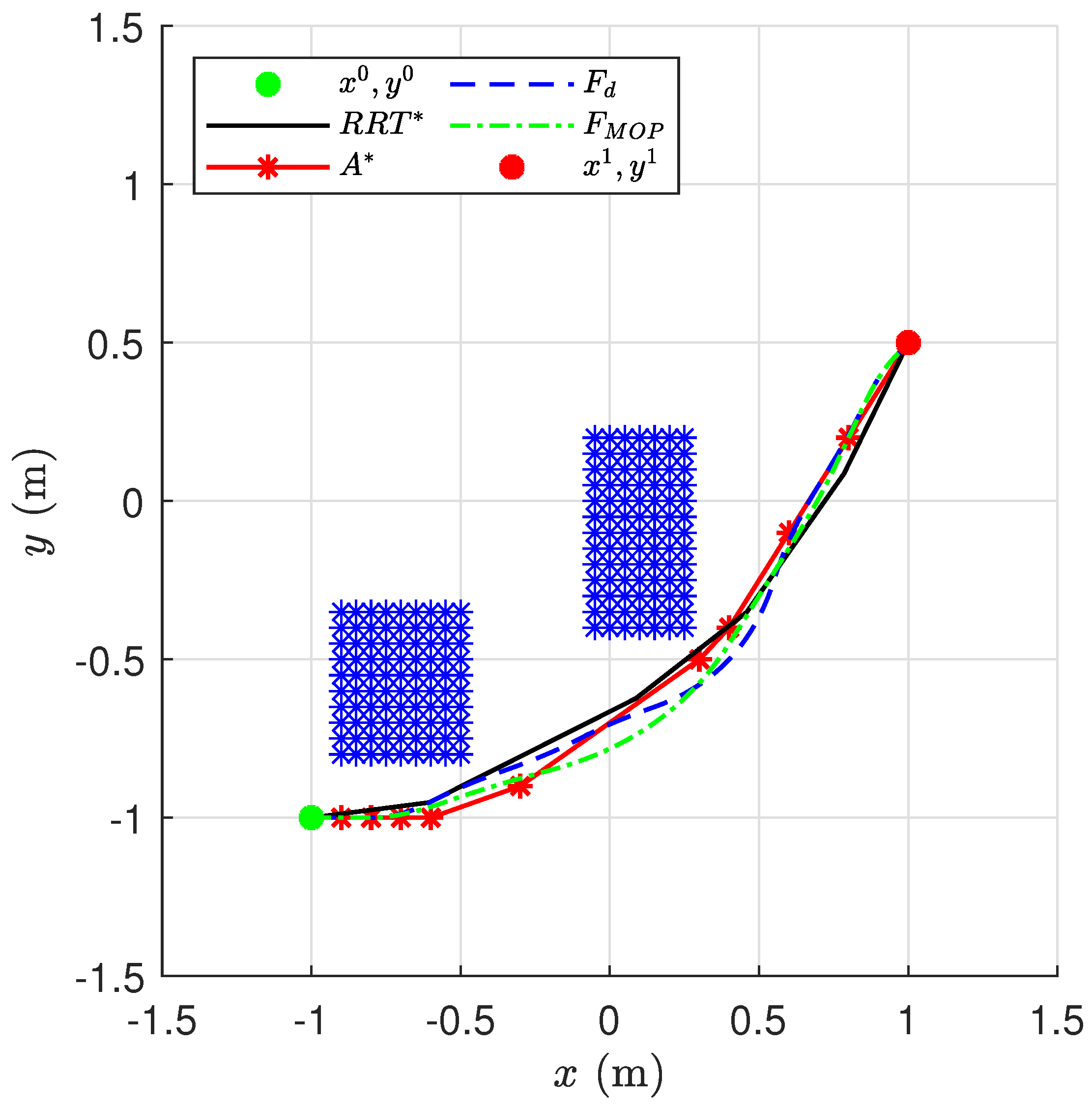
4.2. Comparison of Different Trajectory Planners
5. Conclusions
Author Contributions
Funding
Institutional Review Board Statement
Informed Consent Statement
Data Availability Statement
Acknowledgments
Conflicts of Interest
Abbreviations
| CMA | Cell mapping algorithm |
| SCM | Simple cell mapping |
| DI | Double integrator |
| 1D | 1-Dimensional |
| 2D | 2-Dimensional |
| MOP | Multi-objective optimization problem |
| Rapidly exploring random tree star |
References
- LaValle, S.M. Motion Planning Part 2: Wild Frontiers. IEEE Robot. Autom. Soc. Mag. 2011, 18, 108–118. [Google Scholar] [CrossRef]
- Miao, C.; Chen, G.; Yan, C.; Wu, Y. Path planning optimization of indoor mobile robot based on adaptive ant colony algorithm. Comput. Ind. Eng. 2021, 156, 107230. [Google Scholar] [CrossRef]
- Lee, G.D.S.; Lee, K.S.; Park, H.G.; Lee, M.H. Optimal path planning with holonomic mobile robot using localization vision sensors. In Proceedings of the Control Automation and Systems (ICCAS), Gyeonggi, Republic of Korea, 27–30 October 2010; pp. 1883–1886. [Google Scholar]
- Masoud, A. Kinodynamic motion planning. IEEE Robot. Autom. Mag. 2010, 17, 1048–1066. [Google Scholar] [CrossRef]
- Yang, D.; Xie, F.; Liu, X. Velocity Constraints Based Approach for Online Trajectory Planning of High-Speed Parallel Robots. Chin. J. Mech. Eng. (Engl. Ed.) 2022, 35, 127. [Google Scholar] [CrossRef]
- Hoang, H.; Khoa Tran, A.; Nhat Thai Tran, L.; Le, M.; Tran, D. A Shortest Smooth-path Motion Planning for a Mobile Robot with Nonholonomic Constraints. In Proceedings of the IEEE International Conference on System Science and Engineering, Ho Chi Minh City, Vietnam, 26–28 August 2021; pp. 145–150. [Google Scholar] [CrossRef]
- Galgamuwa, G.I.R.K.; Liyanage, L.K.G.; Ekanayake, M.P.B.; Samaranayake, B.G.L.T. Simplified controller for three wheeled omni directional mobile robot. In Proceedings of the IEEE 10th International Conference on Industrial and Information Systems (ICIIS), Peradeniya, Sri Lanka, 18–20 December 2015; pp. 314–319. [Google Scholar] [CrossRef]
- Azizi, M.R.; Rastegarpanah, A.; Stolkin, R. Motion Planning and Control of an Omnidirectional Mobile Robot in Dynamic Environments. Robotics 2021, 10, 48. [Google Scholar] [CrossRef]
- Cong, D.; Liang, C.; Gong, Q.; Yang, X.; Liu, J. Path Planning and Following of Omnidirectional Mobile Robot Based on B-spline. In Proceedings of the Chinese Control and Decision Conference (CCDC), Shenyang, China, 9–11 June 2018; pp. 4931–4936. [Google Scholar] [CrossRef]
- Wang, J.; Chepinskiy, S.A.; Krasnov, A.J.; Zhang, B.; Liu, H.; Chen, Y.; Khvostov, D.A. Geometric path following control for an omnidirectional mobile robot. In Proceedings of the 21st International Conference on Methods & Models in Automation & Robotics (MMAR), Międzyzdroje, Poland, 29 Auguest–1 September 2016; pp. 1063–1068. [Google Scholar] [CrossRef]
- Kim, H.; Kim, B.K. Online Minimum-Energy Trajectory Planning and Control on a Straight-Line Path for Three-Wheeled Omnidirectional Mobile Robots. IEEE Trans. Ind. Electron. 2014, 61, 4771–4779. [Google Scholar] [CrossRef]
- Masmoudi, M.S.; Krichen, N.; Masmoudi, M.; Derbel, N. Fuzzy logic controllers design for omnidirectional mobile robot navigation. Appl. Soft Comput. 2016, 49, 901–919. [Google Scholar] [CrossRef]
- Al-Taharwa, I.; Sheta, A.; Al-Weshah, M. A mobile robot path planning using genetic algorithm in static environment. J. Comput. Sci. 2008, 4, 341–344. [Google Scholar] [CrossRef]
- Thomaz, C.E.; Vellasco, M. Mobile robot path planning using genetic algorithms. In World Wide Web Internet And Web Information Systems; Springer: Berlin/Heidelberg, Germany, 1999. [Google Scholar]
- Lu, J.; Yang, D. Path planning based on double-layer genetic algorithm. In Proceedings of the 3rd International Conference on Natural Computation (ICNC), Hainan, China, 24–27 August 2007. [Google Scholar]
- Buniyamin, N.; Ngah, W.W. A simple local path planning algorithm for autonomous mobile robots. Int. J. Syst. Appl. Eng. Dev. 2011, 5, 151–159. [Google Scholar]
- Goyal, J.K.; Nagla, K.S. A new approach of path planning for mobile robots. In Proceedings of the International Conference on Advances in Computing, Communications and Informatics (ICACCI), Delhi, India, 24–27 September 2014; pp. 863–867. [Google Scholar]
- Stentz, A. Optimal and efficient path planning for partially-known environments. In Proceedings of the IEEE International Conference on Robotics and Automation, San Diego, CA, USA, 8–13 May 1994; pp. 3310–3317. [Google Scholar] [CrossRef]
- Lingelbach, F. Path planning using probabilistic cell decomposition. In Proceedings of the IEEE International Conference on Robotics and Automation (ICRA), New Orleans, LA, USA, 26 April–1 May 2004; pp. 467–472. [Google Scholar] [CrossRef]
- Piaggio, M.; Zaccaria, R. Using roadmaps to classify regions of space for autonomous robot navigation. Robot. Auton. Syst. 1998, 25, 209–217. [Google Scholar] [CrossRef]
- Yang, S.X.; Luo, C. A neural network approach to complete coverage path planning. IEEE Trans. Syst. 2004, 34, 718–725. [Google Scholar] [CrossRef] [PubMed]
- Shi, B.; Cheng, P.; Cheng, N. 3D Flight Path Planning Based on RRTs for RNP Requirements. In Proceedings of the IEEE International Conference on Information and Automation, Chengdu, China, 5–8 August 2012; pp. 51–56. [Google Scholar]
- Luger, G.F. Artificial Intelligence: Structures and Strategies for Complex Problem Solving; Addison Wesley: Boston, MA, USA, 2005. [Google Scholar]
- LaValle, S.M. Planning Algorithms; Cambridge University Press: Cambridge, UK, 2006; p. 842. [Google Scholar] [CrossRef]
- Gasparetto, A.; Boscariol, P.; Lanzutti, A.; Vidoni, R. Path Planning and Trajectory Planning Algorithms: A General Overview. In Motion and Operation Planning of Robotic Systems: Background and Practical Approaches; Carbone, G., Gomez-Bravo, F., Eds.; Springer International Publishing: Cham, Switzerland, 2015; pp. 3–27. [Google Scholar] [CrossRef]
- Karaman, S.; Frazzoli, E. Sampling-based Algorithms for Optimal Motion Planning. J. Robot. Res. 2011, 30, 846–894. [Google Scholar] [CrossRef]
- Dong, Z.; Chen, Z.; Zhou, R.; Zhang, R. A hybrid approach of virtual force and A* search algorithm for UAV path re-planning. In Proceedings of the 6th IEEE Conference on Industrial Electronics and Applications, Beijing, China, 21–23 June 2011; pp. 1140–1145. [Google Scholar] [CrossRef]
- Hsu, C.S. Book: Cell-to-Cell Mapping: A Method of Global Analysis for Nonlinear Systems; Springer: Berlin/Heidelberg, Germany, 1987. [Google Scholar] [CrossRef]
- Zufiria, P.J.; Guttalu, R.S. The adjoining cell mapping and its recursive unraveling, part I: Description of adaptive and recursive algorithms. Nonlinear Dyn. 1993, 4, 207–226. [Google Scholar] [CrossRef]
- Hsu, C.S. A probabilistic theory of nonlinear dynamical systems based on the ceil state space concept. J. Appl. Mech. Trans. ASME 1982, 49, 895–902. [Google Scholar] [CrossRef]
- Hsu, C.S. Global analysis of dynamical systems using posets and digraphs. Int. J. Bifurc. Chaos 1995, 5, 1085–1118. [Google Scholar] [CrossRef]
- Sun, J.Q.; Xiong, F.R.; Schütze, O.; Hernández, C. Book: Cell Mapping Methods: Algorithmic Approaches and Applications; Springer: Singapore, 2018; pp. 1–226. [Google Scholar] [CrossRef]
- Zhang, W.; Han, B.; Li, X.; Sun, J.; Ding, Q. Multiple-objective design optimization of squirrel cage for squeeze film damper by using cell mapping method and experimental validation. Mech. Mach. Theory 2019, 132, 66–79. [Google Scholar] [CrossRef]
- Zhang, W.; Han, B.; Li, X.; Sun, J.; Ding, Q. Multi-objective system optimization method and experimental validation of a centralized squeeze film damper using a cell mapping method considering dynamic constraints. Eng. Optim. 2021, 53, 941–961. [Google Scholar] [CrossRef]
- Schütze, C.H.O.; Sun, J.Q. Global Multi-Objective Optimization by Means of Cell Mapping Techniques; Springer International Publishing: Berlin/Heidelberg, Germany, 2017; pp. 25–56. [Google Scholar] [CrossRef]
- Qin, Z.C.; Xiong, F.R.; Ding, Q.; Hernández, C.; Fernandez, J.; Schütze, O.; Sun, J.Q. Multi-objective optimal design of sliding mode control with parallel simple cell mapping method. J. Vib. Control. 2017, 23, 46–54. [Google Scholar] [CrossRef]
- Yun, X.; Yamamoto, Y. Internal dynamics of a wheeled mobile robot. In Proceedings of the IEEE/RSJ International Conference on Intelligent Robots and Systems (IROS), Tokyo, Japan, 26–30 July 1993; pp. 1288–1294. [Google Scholar] [CrossRef]
- Grisales-Ramirez, E.; Jaramillo-Morales, M.F.; Osorio, G.; Gomez-Mendoza, J.B. Multi-objective optimal path planning for mobile robots using state space cell mapping. In Proceedings of the 4th IEEE Colombian Conference on Automatic Control (CCAC), Medellin, Colombia, 15–18 October 2019. [Google Scholar] [CrossRef]
- Nakata, R.; Tanemura, M.; Chida, Y. Undershoot Responses of Circular Path-Following Control for a Vehicle Based on Time-State Control Form. IFAC-PapersOnLine 2021, 54, 66–71. [Google Scholar] [CrossRef]















| Path | Optimization Criterion | Distance (m) | Effort () | t (s) | MOP Cost |
|---|---|---|---|---|---|
| 1 | Distance | 2.6847 | 0.16 | 12 | 2.3661 |
| 2 | Control Effort | 2.9023 | 0.04 | 26 | 2.7918 |
| 3 | Time | 2.7702 | 0.18 | 10 | 2.3709 |
| 4 | MOP | 2.6862 | 0.14 | 11 | 2.3432 |
| Path | Planner | Distance (m) |
|---|---|---|
| 1 | with maximum distance of connection m | 2.6400 |
| 2 | 2.6604 | |
| 3 | with | 2.6847 |
| 4 | with | 2.6862 |
Disclaimer/Publisher’s Note: The statements, opinions and data contained in all publications are solely those of the individual author(s) and contributor(s) and not of MDPI and/or the editor(s). MDPI and/or the editor(s) disclaim responsibility for any injury to people or property resulting from any ideas, methods, instructions or products referred to in the content. |
© 2023 by the authors. Licensee MDPI, Basel, Switzerland. This article is an open access article distributed under the terms and conditions of the Creative Commons Attribution (CC BY) license (https://creativecommons.org/licenses/by/4.0/).
Share and Cite
Grisales-Ramírez, E.; Osorio, G. Multi-Objective Combinatorial Optimization Using the Cell Mapping Algorithm for Mobile Robots Trajectory Planning. Electronics 2023, 12, 2105. https://doi.org/10.3390/electronics12092105
Grisales-Ramírez E, Osorio G. Multi-Objective Combinatorial Optimization Using the Cell Mapping Algorithm for Mobile Robots Trajectory Planning. Electronics. 2023; 12(9):2105. https://doi.org/10.3390/electronics12092105
Chicago/Turabian StyleGrisales-Ramírez, Efraín, and Gustavo Osorio. 2023. "Multi-Objective Combinatorial Optimization Using the Cell Mapping Algorithm for Mobile Robots Trajectory Planning" Electronics 12, no. 9: 2105. https://doi.org/10.3390/electronics12092105
APA StyleGrisales-Ramírez, E., & Osorio, G. (2023). Multi-Objective Combinatorial Optimization Using the Cell Mapping Algorithm for Mobile Robots Trajectory Planning. Electronics, 12(9), 2105. https://doi.org/10.3390/electronics12092105


