Channel Allocation Algorithm Based on Swarm Intelligence for a Wireless Monitoring Network
Abstract
1. Introduction
2. Related Works
3. Problem Description
3.1. Network Model
3.2. Problem Formulation
- Case 1: Sniffers Allow Different Radios to Reuse Channels
- Case 2: Sniffers Prohibit Different Radios from Multiplexing Channels
4. Design of Hardware and Software
4.1. Basic BFO
4.2. Process of DBFO
4.2.1. Analysis of Positional Changing Probability
4.2.2. Discrete BFO Convergence Analysis
4.3. Update and Revision of the Channel Coding Table
- Step 1: Select a column of elements in the coding table for which no operation is performed ; if only one of the selected columns is coded as 1,—that is, —go to Step 4.
- Step 2: If there are multiple elements encoded as 1 in the selected column—that is, —for each , count the number of users monitored when the radio selects the channel: , where is a dimensional vector; except for the k-th dimension being 1, the rest are 0. Sort the calculated values, allocate the channel corresponding to and set its code to 1, and clear the rest to 0.
- Step 3: If all column elements are encoded as 0—that is, —for each , calculate the number of active users that the sniffer radio is monitoring on the channel, allocate the channel corresponding , and code it as 1.
- Step 4: If the coding table does not satisfy constraint (1)—that is, —return to Step 1, otherwise, continue to Step 5.
- Step 5: Enter the code collection state. In Case 1, generate the cumulative coding table such that ; in Case 2, determine whether the column elements exceed 1 after generating the cumulative coding table; if so, go to step 6.
- Step 6: If there is an element greater than 1 in the accumulation table—that is, —first, set the element to 1. Then count the channels coded as 0 in this sniffer, assign the radios that repeatedly occupy the channel to the empty channel, and sort the calculated results to balance the coding of 1.
4.4. Pseudo Code of the DBFO Channel Algorithm
| Algorithm 1. DBFO-Based Channel Allocation Algorithm. | |||||
| Input: /*The parameters of the wireless monitoring network and DBFO algorithm */ | |||||
| Sniffer set ; Radio set ; User set ; | |||||
| and ; Channel set . | |||||
| Population size . Chemotaxis number ; Replication number ; | |||||
| Migration number ; Migration probability . | |||||
| Output: Channel allocation vector and QoM. | |||||
| 1. | Set ;/*Generate the initial bacterial encoding*/ | ||||
| 2. | for to do | ||||
| 3. | for to do | ||||
| 4. | for to do | ||||
| 5. | The displacement of each bacterium; | ||||
| 6. | based on sigmoid function discrete to 0–1; | ||||
| 7. | Mapping to the bacterial encoding table; | ||||
| 8. | Revise the updated bacteria to satisfy singularity; | ||||
| 9. | function(); /*compute the target function value of each bacterial position*/ | ||||
| 10. | /*choose the maximum value*/ | ||||
| 11. | end | ||||
| 12. | Generate a new bacterial population based on | ||||
| 13. | reproduce N/2 premium bacteria, eliminate N/2 poor bacteria; | ||||
| 14. | end | ||||
| 15. | if do | ||||
| 16. | Generate new bacterial positions | ||||
| 17. | end | ||||
| 18. | end | ||||
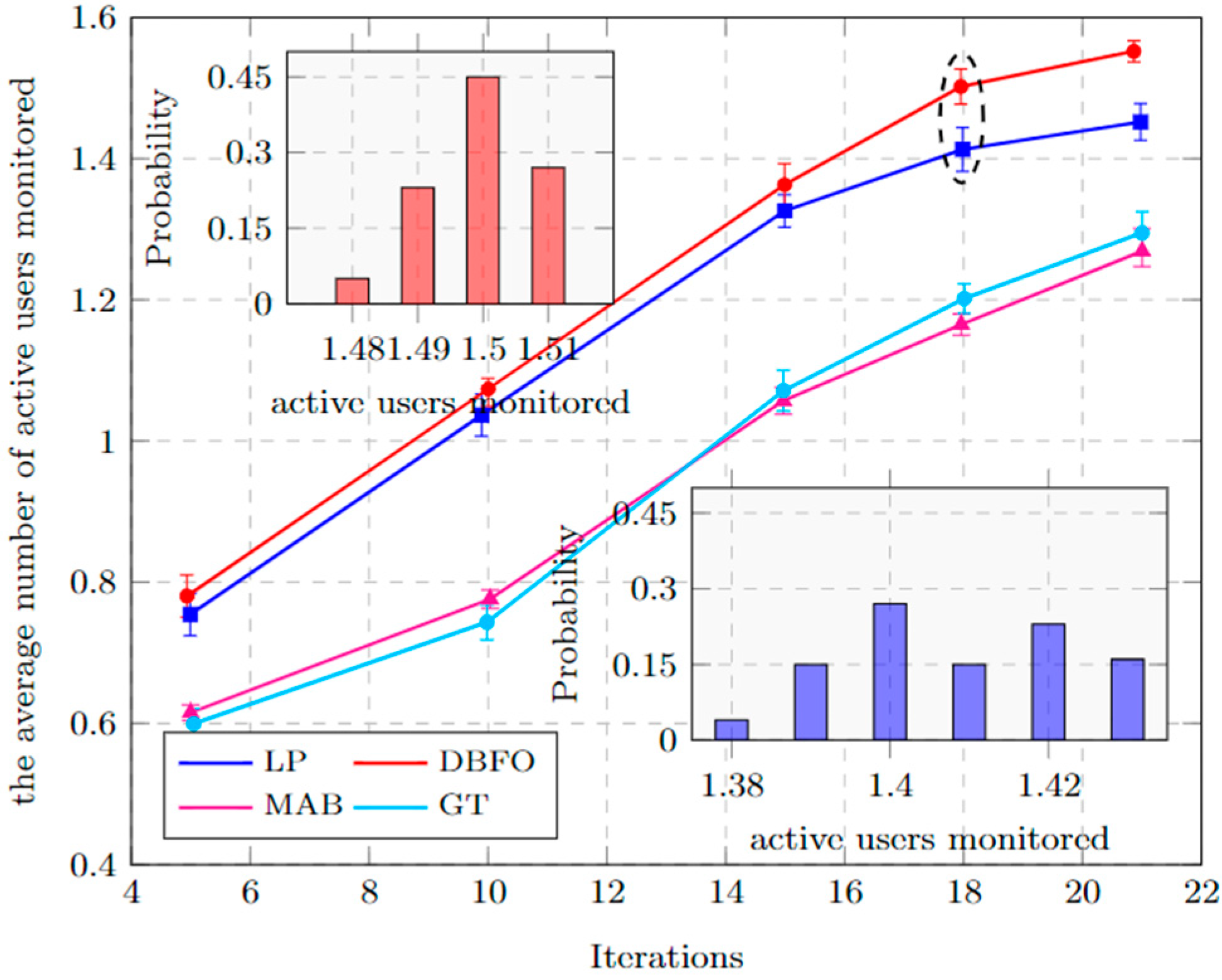
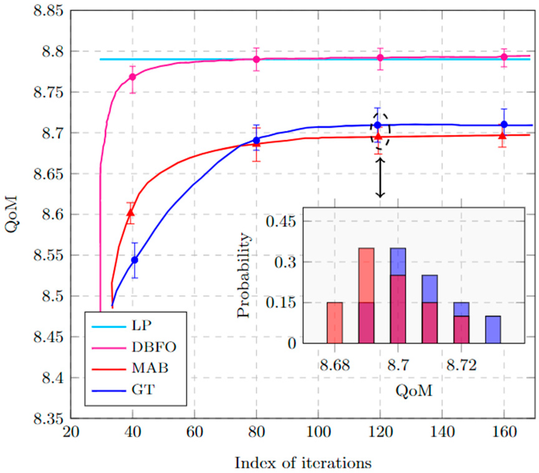
5. Experimental Results
5.1. Simulations
5.2. Practical Network Experiment
6. Conclusions
Author Contributions
Funding
Data Availability Statement
Acknowledgments
Conflicts of Interest
References
- Price, R.; Ran, X.M. Fundamentals of Wireless Networking; Tsinghua University Press: Beijing, China, 2008; pp. 52–68. [Google Scholar]
- Arora, P.; Xia, N.; Zheng, R. A Gibbs Sampler Approach for Optimal Distributed Monitoring of Multi-Channel Wireless Networks. In Proceedings of the IEEE Global Communications Conference (GLOBECOM 2012), Anaheim, CA, USA, 3–7 December 2012; pp. 1–6. [Google Scholar]
- Xin, C.; Ma, L.; Shen, C.-C. A Path-Centric Channel Assignment Framework for Cognitive Radio Wireless Networks. Mob. Netw. Appl. 2008, 13, 463–476. [Google Scholar] [CrossRef]
- Onibonoje, M.O.; Baandele, J.O. Digimesh-Based Design of a Wireless Monitoring Network for Environmental Factors Affecting Granary System. Int. J. Eng. Res. Afr. 2020, 48, 126–132. [Google Scholar] [CrossRef]
- Ma, X.; Dong, H.; Tang, J.; Jia, L.; Qin, Y.; Cheng, R.; Cassioli, D. Two-Layer Hierarchy Optimization Model for Communication Protocol in Railway Wireless Monitoring Networks. Wirel. Commun. Mob. Comput. 2018, 2018, 9516342. [Google Scholar] [CrossRef]
- Branco, A.; Sant’Anna, F.; Ierusalimschy, R.; Rodriguez, N.; Rossetto, S. Terra: Flexibility and safety in wireless sensor networks. ACM Trans. Sens. Netw. 2015, 11, 1–27. [Google Scholar] [CrossRef]
- Arianpoo, N.; Leung, V.C.M. How network monitoring and reinforcement learning can improve tcp fairness in wireless multi-hop networks. Eurasip J. Wirel. Commun. Netw. 2016, 1, 278–292. [Google Scholar] [CrossRef]
- Arcadius, T.C.; Gao, B.; Tian, G.; Yan, Y. Structural health monitoring framework based on Internet of Things: A Survey. IEEE Internet Things J. 2017, 4, 619–635. [Google Scholar] [CrossRef]
- Ghanavati, S.; Abawajy, J.H.; Izadi, D.; Alelaiwi, A.A. Cloud-assisted IoT-based health status monitoring framework. Clust. Comput. 2017, 20, 1843–1853. [Google Scholar] [CrossRef]
- Bhuiyan, M.Z.A.; Wu, J.; Wang, G.; Wang, T.; Hassan, M.M. e-Sampling: Event-sensitive autonomous adaptive sensing and low-cost monitoring in networked sensing systems. ACM Trans. Auton. Adapt. Syst. 2017, 12, 1–29. [Google Scholar] [CrossRef]
- Zhang, Y.J.; Wang, X.Y.; Zhou, H.S. The Design of Wireless Monitoring Network Nodes Base on the JN5121. Appl. Mech. Mater. 2013, 333, 2452–2456. [Google Scholar] [CrossRef]
- Song, Y.; Chen, X.; Kim, Y.A.; Wang, B.; Chen, G. Sniffer channel selection for monitoring wireless LANs. In Wireless Algorithms, Systems, and Applications; Springer: Berlin/Heidelberg, Germany, 2009; pp. 489–498. [Google Scholar]
- Wu, X.L. Continuity and Convergence of Set-Valued Function on Fuzzy Measure Space; Southeast University Press: Nanjing, China, 2015. [Google Scholar]
- Hosseini, E.; Falahati, A. Resource Allocation Scheme for Cognitive Radio System Based on COFDM Signaling Considering Secondary User’s Channel Uncertainty. IETE J. Res. 2013, 59, 466–471. [Google Scholar] [CrossRef]
- Hong, H.; Kim, Y.Y.; Kim, R.Y.; Ahn, W. An Effective Wide-Bandwidth Channel Access in Next-Generation WLAN-Based V2X Communications. Appl. Sci. 2019, 10, 222. [Google Scholar] [CrossRef]
- Ohize, H.; Dlodlo, M. A Channel Hopping Algorithm for Guaranteed Rendezvous in Cognitive Radio Ad Hoc Networks Using Swarm Intelligence. Wirel. Pers. Commun. 2017, 96, 879–893. [Google Scholar] [CrossRef]
- Shin, D.H.; Bagchi, S. Optimal monitoring in multi-channel multi-radio wireless mesh networks. In Proceedings of the 10th ACM International Symposium on Mobile Ad Hoc Networking and Computing, New Orleans, LA, USA, 18–21 May 2009; pp. 229–238. [Google Scholar]
- Chhetri, A.; Nguyen, H.; Scalosub, G.; Zheng, R. On quality of monitoring for multi-channel wireless infrastructure networks. In Proceedings of the 11th ACM International Symposium on Mobile Ad Hoc Networking and Computing, Chicago, IL, USA, 20–24 September 2010; pp. 111–120. [Google Scholar]
- Arora, P.; Szepesvari, C.; Zheng, R. Sequential learning for optimal monitoring of multi-channel wireless networks. In Proceedings of the 2011 IEEE INFOCOM, Shanghai, China, 10–15 April 2011; pp. 1152–1160. [Google Scholar]
- Ding, S.; Xia, N.; Wang, P.P.; Li, S.; Ou, Y. Optimization algorithm based on SPSA in multi-channel multi-radio wireless monitoring network. In Proceedings of the International Conference on Cyber-Enabled Distributed Computing and Knowledge Discovery, Xi’an, China, 17–19 September 2015; pp. 517–524. [Google Scholar]
- Xia, N.; Chen, X.Z.; Xu, C.N.; Zheng, R. Channel selection Algorithm Based on Gibbs Sampler for Optimal QoM in Multi-Channel Wireless Networks. Chin. J. Comput. 2011, 34, 1214–1223. [Google Scholar] [CrossRef]
- Shin, D.H.; Bagchi, S.; Wang, C.C. Distributed online channel selection toward optimal monitoring in multi-channel wireless networks. In Proceedings of the 2012 IEEE INFOCOM, Orlando, FL, USA, 25–30 March 2012; pp. 2626–2630. [Google Scholar]
- Du, H.Z.; Xia, N.; Jiang, J.G.; Xu, L.N.; Zheng, R. A Monte Carlo Enhanced PSO Algorithm for Optimal QoM in Multi-Channel Wireless Networks. J. Comput. Sci. Technol. 2013, 28, 553–563. [Google Scholar] [CrossRef]
- Xia, N.; Xu, L.N.; Ni, C.C. Optimal QoM in Multichannel Wireless Networks Based on MQICA. Int. J. Distrib. Sens. Netw. 2013, 9, 120527. [Google Scholar] [CrossRef]
- Takeuchi, S.; Hasegawa, M.; Kanno, K.; Uchida, A.; Chauvet, N.; Naruse, M. Dynamic channel selection in wireless communications via a multi-armed bandit algorithm using laser chaos time series. Sci. Rep. 2020, 10, 1574. [Google Scholar] [CrossRef] [PubMed]
- Rai, P.; Ghose, M.K.; Sarma, H.K.D. Game theory based node clustering for cognitive radio wireless sensor networks. Egypt. Inform. J. 2021, 23, 315–327. [Google Scholar] [CrossRef]
- Passino, K.M. Biomimicry of Bacterial Foraging for Distributed Optimization and Control. IEEE Control Syst. Mag. 2002, 22, 52–67. [Google Scholar]
- Tan, L.; Lin, F.; Wang, H. Adaptive comprehensive learning bacterial foraging optimization and its application on vehicle routing problem with time windows. Neurocomputing 2015, 151, 1208–1215. [Google Scholar] [CrossRef]
- Kennedy, J.; Eberhart, R.C. A discrete binary version of the particle swarm algorithm. In Proceedings of the IEEE Conference on Systems, Man and Cybernetics, Orlando, FL, USA, 12–15 October 1997; pp. 4104–4109. [Google Scholar]
- Environmental Research. Reports Outline Environmental Research Study Findings from National Taipei University of Technology (An Indoor Air Quality Wireless Monitoring Network with a Carbon Dioxide Prediction Model). Comput. Netw. Commun. 2016, 25, 3875–3885. [Google Scholar]
- Wireless Communications and Networks. Findings from Nanjing University in the Area of Wireless Communications and Networks Described (Design and analysis of a wireless monitoring network for transmission lines in smart grid). Telecommun. Wkly. 2016, 16, 1209–1220. [Google Scholar]
- Ye, F.; Liang, Y.; Zhang, H.; Zhang, X.; Qian, Y. Design and analysis of a wireless monitoring network for transmission lines in smart grid. Wirel. Commun. Mob. Comput. 2016, 16, 1209–1220. [Google Scholar] [CrossRef]
- Dereli, S. A Novel Approach Based on Average Swarm Intelligence to Improve the Whale Optimization Algorithm. Arab. J. Sci. Eng. 2021, 47, 1763–1776. [Google Scholar] [CrossRef]
- Sharma, A.; Sharma, A.; Pandey, J.K.; Ram, M. Swarm Intelligence: Foundation, Principles, and Engineering Applications; CRC Press: Boca Raton, FL, USA, 2021. [Google Scholar]
- Rajput, N.S.; Banerjee, R.; Sanghi, D.; Santhanam, G.; Singhal, K. Swarm intelligence inspired meta-heuristics for solving multi-constraint QoS path problem in vehicular ad hoc networks. Ad Hoc Netw. 2021, 123, 102633. [Google Scholar] [CrossRef]
- Liu, Z.G.; Ji, X.H.; Yang, Y.; Cheng, H.T. Multi-technique diversity-based particle-swarm optimization. Inf. Sci. 2021, 577, 298–323. [Google Scholar] [CrossRef]
- Al-Mousawi, A.J. Wireless communication networks and swarm intelligence. Wirel. Netw. 2021, 27, 1755–1782. [Google Scholar] [CrossRef]
- El-Saleh, A.A.; Shami, T.M.; Nordin, R.; Alias, M.Y.; Shayea, I. Multi-Objective Optimization of Joint Power and Admission Control in Cognitive Radio Networks Using Enhanced Swarm Intelligence. Electronics 2021, 10, 189. [Google Scholar] [CrossRef]
- Wei, D.; Wang, Z.; Si, L.; Tan, C. Preaching-inspired swarm intelligence algorithm and its applications. Knowl.-Based Syst. 2021, 211, 106552. [Google Scholar] [CrossRef]
- Guo, C.; Tang, H.; Niu, B.; Lee, C.B.P. A survey of bacterial foraging optimization. Neurocomputing 2021, 452, 728–746. [Google Scholar] [CrossRef]
- Kumar, A.; Rathore, P.S.; Díaz, V.G.; Agrawal, R. Swarm Intelligence Optimization: Algorithms and Applications; John Wiley & Sons, Inc.: Hoboken, NJ, USA, 2020. [Google Scholar]

















| Parameters | Meaning |
|---|---|
| a population of bacteria | |
| the rated number of chemotaxis, replication, and migration operations | |
| the maximum amount of swimming in one direction | |
| the probability of migration | |
| migration | |
| dimension | |
| the unit directional vector of each dimension | |
| the length of a swimming step | |
| migration | |
| operation, the probability of a certain dimension position changing | |
| the bacterial population | |
| the state space of the bacterial position | |
| the population size | |
| the optimal solution set | |
| the fitness function | |
| coding table coding table |
| 10 | 50 | 4 | 2 | 4 | 0.2 | 0.05 | 0.1 | 0.05 | 0.05 |
| Number of Channels | DBFO | LP | MAB | GT |
|---|---|---|---|---|
| QoM T(s) | QoM T(s) | QoM T(s) | QoM T(s) | |
| 3 | 8.595 4.176 | 8.474 6.196 | 8.127 4.723 | 8.211 4.364 |
| 6 | 7.758 4.845 | 7.562 7.352 | 7.078 5.093 | 7.117 5.377 |
| 9 | 7.263 5.315 | 7.081 9.619 | 6.324 6.216 | 6.407 5.749 |
| Information Transmission Probability | 0–0.01 | 0.01–0.02 | 0.02–0.04 |
|---|---|---|---|
| Numbers of users | 481 | 34 | 41 |
Disclaimer/Publisher’s Note: The statements, opinions and data contained in all publications are solely those of the individual author(s) and contributor(s) and not of MDPI and/or the editor(s). MDPI and/or the editor(s) disclaim responsibility for any injury to people or property resulting from any ideas, methods, instructions or products referred to in the content. |
© 2023 by the authors. Licensee MDPI, Basel, Switzerland. This article is an open access article distributed under the terms and conditions of the Creative Commons Attribution (CC BY) license (https://creativecommons.org/licenses/by/4.0/).
Share and Cite
Xia, N.; Li, Y.; Zhang, K.; Wang, P.; Luo, L.; Chen, L.; Yang, J. Channel Allocation Algorithm Based on Swarm Intelligence for a Wireless Monitoring Network. Electronics 2023, 12, 1840. https://doi.org/10.3390/electronics12081840
Xia N, Li Y, Zhang K, Wang P, Luo L, Chen L, Yang J. Channel Allocation Algorithm Based on Swarm Intelligence for a Wireless Monitoring Network. Electronics. 2023; 12(8):1840. https://doi.org/10.3390/electronics12081840
Chicago/Turabian StyleXia, Na, Yu Li, Ke Zhang, Peipei Wang, Linmei Luo, Lei Chen, and Jun Yang. 2023. "Channel Allocation Algorithm Based on Swarm Intelligence for a Wireless Monitoring Network" Electronics 12, no. 8: 1840. https://doi.org/10.3390/electronics12081840
APA StyleXia, N., Li, Y., Zhang, K., Wang, P., Luo, L., Chen, L., & Yang, J. (2023). Channel Allocation Algorithm Based on Swarm Intelligence for a Wireless Monitoring Network. Electronics, 12(8), 1840. https://doi.org/10.3390/electronics12081840
