ECG Signal Denoising Method Based on Disentangled Autoencoder
Abstract
1. Introduction
2. Related Work
2.1. The Traditional ECG Denoising Method
2.2. Disentangled Representation Learning
2.3. The Major Contributions of the Paper
- (1)
- Based on the denoising autoencoder, we introduce the disentangled mechanism and propose a new disentangled autoencoder network (DANet) for ECG denoising processing, which solves the problem of the incomplete separation of signal features and noise features.
- (2)
- In the realization of the disentangled mechanism, we use attention to shunt latent variables, deconstruct the potential spatial separation between noise and the original ECG data, and finally use two decoders to approximate the original signal and noise.
- (3)
- Experiments demonstrated that our proposed method achieved optimal performance and can effectively preserve useful detail characteristics.
3. The Materials
3.1. Dataset Description
3.2. Verifying Indicators
4. The Method
4.1. Review of Denoising Autoencoders
- (1)
- Coding stage:
- (2)
- Decoding stage:where and represent the encoder and decoder, respectively, which are composed of a series of convolution layers and activation function layers. represents the sum of input data () and noise (), represents the feature of the hidden layer, is the output data, and are the weights and biases of the encoder, and and are the weights and biases of the decoder. Figure 2 shows the structure of the denoising autoencoder. The objective function of the denoising autoencoder is:
4.2. Disentangled Operator
4.3. Proposed Method
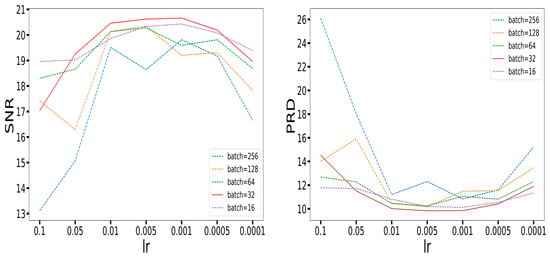
4.4. Model Optimization
5. The Experiment
5.1. Denoising Performance of the Proposed Model
5.2. The Contrast Experiment
6. Discussion
7. Conclusions
Author Contributions
Funding
Data Availability Statement
Conflicts of Interest
References
- Roth, G.A.; Mensah, G.A.; Johnson, C.O.; Addolorato, G.; Ammirati, E.; Baddour, L.M.; Barengo, N.C.; Beaton, A.Z.; Benjamin, E.J.; Benziger, C.P.; et al. Global Burden of Cardiovascular Diseases and Risk Factors, 1990–2019: Update From the GBD 2019 Study. J. Am. Coll. Cardiol. 2020, 76, 2982–3021. [Google Scholar] [CrossRef] [PubMed]
- Moridani, M.K.; Marjani, S. A Review of the Methods for Sudden Cardiac Death Detection: A Guide for Emergency Physicians. Int. J. Online Biomed. Eng. 2020, 16, 137–158. [Google Scholar] [CrossRef]
- Syed, Z.; Vigmond, E.; Nattel, S.; Leon, L.J. Atrial cell action potential parameter fitting using genetic algorithms. Med. Biol. Eng. Comput. 2005, 43, 561–571. [Google Scholar] [CrossRef] [PubMed]
- Jagatap, P.S.; Jagtap, R. Electrocardiogram (ECG) Signal Analysis and Feature Extraction: A Survey. 2014. Available online: https://www.semanticscholar.org/paper/Electrocardiogram-(ECG)-Signal-Analysis-and-Feature-Jagatap-Jagtap/ceadcc88d06518ca4ab2fd987465a22463736fc3 (accessed on 17 January 2023).
- Hammad, M.; Maher, A.; Wang, K.; Jiang, F.; Amrani, M. Detection of abnormal heart conditions based on characteristics of ECG signals. Measurement 2018, 125, 634–644. [Google Scholar] [CrossRef]
- Sarangi, A.; Mishra, B.G.; Dash, S. Singular Spectrum Analysis Based EMG Artifact Removal from ECG Signal. YMER Digit. 2022, 21, 400–407. [Google Scholar] [CrossRef]
- Wang, Z.; Wong, C.M.; da Cruz, J.N.; Wan, F.; Mak, P.-I.; Mak, P.U.; Vai, M.I. Muscle and electrode motion artifacts reduction in ECG using adaptive Fourier decomposition. In Proceedings of the 2014 IEEE International Conference on Systems, Man, and Cybernetics (SMC), San Diego, CA, USA, 5–8 October 2014; pp. 1456–1461. [Google Scholar] [CrossRef]
- Lin, C.-C.; Chang, P.-C.; Tsai, P.-H. A Dual-Adaptive Approach Based on Discrete Cosine Transform for Removal of ECG Baseline Wander. Appl. Sci. 2022, 12, 8839. [Google Scholar] [CrossRef]
- Gupta, P.; Sharma, K.K.; Joshi, S.D. Baseline wander removal of electrocardiogram signals using multivariate empirical mode decomposition. Health Technol. Lett. 2015, 2, 164–166. [Google Scholar] [CrossRef]
- Sharma, R.R.; Pachori, R.B. Baseline wander and power line interference removal from ECG signals using eigenvalue decomposition. Biomed. Signal Process. Control. 2018, 45, 33–49. [Google Scholar] [CrossRef]
- Labate, D.; La Foresta, F.; Occhiuto, G.; Morabito, F.C.; Lay-Ekuakille, A.; Vergallo, P. Empirical Mode Decomposition vs. Wavelet Decomposition for the Extraction of Respiratory Signal from Single-Channel ECG: A Comparison. IEEE Sens. J. 2013, 13, 2666–2674. [Google Scholar] [CrossRef]
- Chao, L.; Liang, Y.; Xia, H. Adaptive baseline wander reduction based on empirical mode decomposition and wavelet thresholding for ECG. In Proceedings of the Chinese Medical Equipment Conference and 2021 Medical Equipment Exhibition Paper Compilation, Suzhou, China, 15–18 July 2021; pp. 108–114. [Google Scholar]
- Addison, P.S. Wavelet transforms and the ECG: A review. Physiol. Meas. 2005, 26, R155–R199. [Google Scholar] [CrossRef]
- Goel, S.; Tomar, P.; Kaur, G. An Optimal Wavelet Approach for ECG Noise Cancellation. Int. J. Bio-Sci. Bio-Technol. 2016, 8, 39–52. [Google Scholar] [CrossRef]
- Bing, P.; Liu, W.; Zhang, Z. DeepCEDNet: An Efficient Deep Convolutional Encoder-Decoder Networks for ECG Signal Enhancement. IEEE Access 2021, 9, 56699–56708. [Google Scholar] [CrossRef]
- Garg, G.; Singh, V.; Gupta, J.R.P.; Mittal, A.P. Optimal algorithm for ECG denoising using Discrete Wavelet Transforms. In Proceedings of the 2010 IEEE International Conference on Computational Intelligence and Computing Research, Coimbatore, India, 28–29 December 2010; pp. 1–4. [Google Scholar] [CrossRef]
- Tan, X.; Ye, J.; Zhang, X.; Li, C.; Zhou, J.; Dou, K. Application of improved wavelet threshold in ECG signal de-noising. Chin. J. Med. Devices 2021, 45, 1–5. [Google Scholar]
- Das, M.; Ari, S. Analysis of ECG signal denoising method based on S-transform. IRBM 2013, 34, 362–370. [Google Scholar] [CrossRef]
- Zhou, Y.; Hu, X.; Tang, Z.; Ahn, A.C. Sparse representation-based ECG signal enhancement and QRS detection. Physiol. Meas. 2016, 37, 2093–2110. [Google Scholar] [CrossRef] [PubMed]
- Ning, X.; Selesnick, I.W. ECG Enhancement and QRS Detection Based on Sparse Derivatives. Biomed. Signal Process. Control. 2013, 8, 713–723. [Google Scholar] [CrossRef]
- Selesnick, I. Sparsity-assisted signal smoothing (revisited). In Proceedings of the 2017 IEEE International Conference on Acoustics, Speech and Signal Processing (ICASSP), New Orleans, LA, USA, 5–9 March 2017; pp. 4546–4550. [Google Scholar] [CrossRef]
- Xiong, P.; Wang, H.; Liu, M.; Zhou, S.; Hou, Z.; Liu, X. ECG signal enhancement based on improved denoising auto-encoder. Eng. Appl. Artif. Intell. 2016, 52, 194–202. [Google Scholar] [CrossRef]
- Fotiadou, E.; Konopczyński, T.; Hesser, J.; Vullings, R. Deep Convolutional Encoder-Decoder Framework for Fetal ECG Signal Denoising. In Proceedings of the 2019 Computing in Cardiology (CinC), Singapore, 8–11 September 2019; pp. 1–4. [Google Scholar] [CrossRef]
- Goodfellow, I.J.; Pouget-Abadie, J.; Mirza, M.; Xu, B.; Warde-Farley, D.; Ozair, S.; Courville, A.; Bengio, Y. Generative Adversarial Nets. In Proceedings of the Advances in Neural Information Processing Systems; 2014; Volume 27. Available online: https://proceedings.neurips.cc/paper/2014/hash/5ca3e9b122f61f8f06494c97b1afccf3-Abstract.html (accessed on 4 December 2022).
- Patil, A. DCGAN: Deep Convolutional GAN with Attention Module for Remote View Classification. In Proceedings of the 2021 International Conference on Forensics, Analytics, Big Data, Security (FABS), Bengaluru, India, 21–22 December 2021; Volume 1, pp. 1–10. [Google Scholar] [CrossRef]
- Singh, P.; Pradhan, G. A New ECG Denoising Framework Using Generative Adversarial Network. IEEE/ACM Trans. Comput. Biol. Bioinform. 2021, 18, 759–764. [Google Scholar] [CrossRef]
- Zhu, F.; Ye, F.; Fu, Y.; Liu, Q.; Shen, B. Electrocardiogram generation with a bidirectional LSTM-CNN generative adversarial network. Sci. Rep. 2019, 9, 6734. [Google Scholar] [CrossRef]
- Bengio, Y.; Courville, A.; Vincent, P. Representation Learning: A Review and New Perspectives. arXiv 2014, 35, 1798–1828. Available online: https://arxiv.org/abs/1206.5538 (accessed on 23 April 2014). [CrossRef]
- Costa, M.; Moody, G.B.; Henry, I.; Goldberger, A.L. PhysioNet: An NIH research resource for complex signals. J. Electrocardiol. 2003, 36, 139–144. [Google Scholar] [CrossRef] [PubMed]
- Chiang, H.-T.; Hsieh, Y.-Y.; Fu, S.-W.; Hung, K.-H.; Tsao, Y.; Chien, S.-Y. Noise Reduction in ECG Signals Using Fully Convolutional Denoising Autoencoders. IEEE Access 2019, 7, 60806–60813. [Google Scholar] [CrossRef]
- Higgins, I.; Amos, D.; Pfau, D.; Racaniere, S.; Matthey, L.; Rezende, D.; Lerchner, A. Towards a Definition of Disentangled Representations. arXiv 2018. Available online: https://arxiv.org/abs/1812.02230 (accessed on 5 December 2018).
- Mandt, S.; Hoffman, M.D.; Blei, D.M. Stochastic Gradient Descent as Approximate Bayesian Inference. arXiv 2018. [Google Scholar] [CrossRef]
- Fan, W.; Wei, J.; Ang, A.H.-S.; Li, Z. Adaptive estimation of statistical moments of the responses of random systems. Probabilistic Eng. Mech. 2016, 43, 50–67. [Google Scholar] [CrossRef]
- Sun, Y. Root Mean Square Minimum Distance as a Quality Metric for Stochastic Optical Localization Nanoscopy Images. Sci. Rep. 2018, 8, 17211. [Google Scholar] [CrossRef]
- Duchi, J.; Hazan, E.; Singer, Y. Adaptive Subgradient Methods for Online Learning and Stochastic Optimization. J. Mach. Learn. Res. 2011, 12, 39. [Google Scholar]
- Rodrigues, R.; Couto, P. A Neural Network Approach to ECG Denoising. arXiv 2012. [Google Scholar] [CrossRef]










| Optimizers | Adam | SGD | RMSProp | AdaGrad | |
|---|---|---|---|---|---|
| Mean | SNR | 27.33 | 15.32 | 26.62 | 22.78 |
| PRD | 4.81 | 19.10 | 5.16 | 7.80 | |
| RMSE | 0.0181 | 0.0692 | 0.0193 | 0.0289 | |
| Std | SNR | 1.40 | 2.07 | 1.523 | 1.17 |
| PRD | 0.87 | 5.64 | 0.88 | 1.053 | |
| RMSE | 0.0052 | 0.0177 | 0.0054 | 0.0066 | |
| Record | DANet | FCN | DNN | ||||||
|---|---|---|---|---|---|---|---|---|---|
| SNR | RMSE | PRD | SNR | RMSE | PRD | SNR | RMSE | PRD | |
| 109 | 26.82 | 0.0196 | 5.24 | 25.1 | 0.0236 | 6.31 | 17.02 | 0.0526 | 14.5 |
| 117 | 27.7 | 0.0215 | 4.31 | 25.92 | 0.0265 | 5.29 | 17.92 | 0.0644 | 12.88 |
| 118 | 26.23 | 0.0249 | 5.29 | 24.74 | 0.0293 | 6.23 | 17.16 | 0.066 | 14.04 |
| 119 | 26.5 | 0.0156 | 5.19 | 24.44 | 0.0194 | 6.38 | 15.23 | 0.0538 | 18.34 |
| 123 | 29.19 | 0.0127 | 3.78 | 27.24 | 0.0158 | 4.71 | 16.45 | 0.0514 | 15.37 |
| 215 | 26.76 | 0.0207 | 4.87 | 24.73 | 0.0255 | 6.14 | 15.1 | 0.075 | 17.68 |
| 220 | 30.63 | 0.0114 | 3.08 | 28.94 | 0.0137 | 3.74 | 16.15 | 0.058 | 15.71 |
| 230 | 26.55 | 0.0212 | 5.24 | 24.84 | 0.0252 | 6.19 | 16.46 | 0.0627 | 15.21 |
| 231 | 27.17 | 0.0141 | 4.9 | 25.78 | 0.0163 | 5.7 | 14.31 | 0.0591 | 20.48 |
| 233 | 26.96 | 0.0252 | 5.13 | 24.8 | 0.032 | 6.58 | 18.57 | 0.0597 | 12.18 |
| Average | 27.451 | 0.01869 | 4.703 | 25.653 | 0.02273 | 5.727 | 16.437 | 0.06027 | 15.639 |
| Record | DANet | FCN | DNN | ||||||
|---|---|---|---|---|---|---|---|---|---|
| SNR | RMSE | PRD | SNR | RMSE | PRD | SNR | RMSE | PRD | |
| 109 | 26.15 | 0.0182 | 5.09 | 25.28 | 0.02 | 5.59 | 16.89 | 0.051 | 14.43 |
| 117 | 25.48 | 0.028 | 5.59 | 23.6 | 0.0345 | 6.88 | 17.13 | 0.0706 | 14.07 |
| 118 | 24.99 | 0.028 | 5.96 | 23.58 | 0.0324 | 6.89 | 16.71 | 0.0693 | 14.72 |
| 119 | 24.52 | 0.0187 | 6.31 | 23.14 | 0.0217 | 7.35 | 14.75 | 0.0552 | 19.46 |
| 123 | 27.5 | 0.0144 | 4.35 | 25.95 | 0.0173 | 5.21 | 16.29 | 0.0512 | 15.49 |
| 215 | 24.74 | 0.0249 | 6.04 | 23.02 | 0.0303 | 7.4 | 14.77 | 0.0776 | 18.33 |
| 220 | 28.41 | 0.0146 | 3.97 | 26.32 | 0.0184 | 5.02 | 15.8 | 0.0602 | 16.35 |
| 230 | 25.05 | 0.0259 | 6.01 | 23.51 | 0.0303 | 7.01 | 16.4 | 0.0663 | 15.26 |
| 231 | 25.08 | 0.0165 | 5.9 | 23.2 | 0.0202 | 7.39 | 13.62 | 0.059 | 22.16 |
| 233 | 25.29 | 0.028 | 5.89 | 23.16 | 0.0354 | 7.42 | 17.64 | 0.0649 | 13.56 |
| Average | 25.721 | 0.02172 | 5.511 | 24.076 | 0.02605 | 6.616 | 16 | 0.06253 | 16.383 |
| Record | DANet | FCN | DNN | ||||||
|---|---|---|---|---|---|---|---|---|---|
| SNR | RMSE | PRD | SNR | RMSE | PRD | SNR | RMSE | PRD | |
| 109 | 28.54 | 0.0139 | 3.95 | 23.5 | 0.0245 | 6.95 | 14.14 | 0.0693 | 19.82 |
| 117 | 31.03 | 0.0145 | 2.87 | 24.12 | 0.0325 | 6.39 | 14.83 | 0.0927 | 18.33 |
| 118 | 29.02 | 0.0177 | 3.71 | 23.66 | 0.0326 | 6.88 | 13.42 | 0.1017 | 21.44 |
| 119 | 29 | 0.0111 | 3.76 | 22.33 | 0.0238 | 8.13 | 11.56 | 0.0796 | 27.88 |
| 123 | 31.98 | 0.0098 | 2.85 | 26.4 | 0.0181 | 5.28 | 14.31 | 0.0662 | 19.56 |
| 215 | 28.6 | 0.0168 | 3.87 | 23.72 | 0.0295 | 6.86 | 11.75 | 0.1143 | 25.92 |
| 220 | 32.92 | 0.0087 | 2.31 | 28.07 | 0.0153 | 4.08 | 14.17 | 0.0738 | 19.7 |
| 230 | 30.13 | 0.0137 | 3.3 | 23.69 | 0.0285 | 6.83 | 14.1 | 0.0837 | 19.91 |
| 231 | 28.75 | 0.0108 | 3.96 | 22.99 | 0.0211 | 7.46 | 11.45 | 0.0784 | 27.83 |
| 233 | 29.18 | 0.0185 | 3.66 | 23.05 | 0.0375 | 7.5 | 14.1 | 0.1013 | 20.02 |
| Average | 29.915 | 0.01355 | 3.424 | 24.153 | 0.02634 | 6.636 | 13.383 | 0.0861 | 22.041 |
| Record | BW | EM | MA | ||||||
|---|---|---|---|---|---|---|---|---|---|
| SNR | RMSE | PRD | SNR | RMSE | PRD | SNR | RMSE | PRD | |
| 107 | 26.05 | 0.0279 | 5.51 | 27.75 | 0.0219 | 4.30 | 28.18 | 0.0202 | 3.96 |
| 115 | 26.62 | 0.0194 | 5.10 | 28.98 | 0.0139 | 3.68 | 26.93 | 0.0175 | 4.66 |
| 123 | 19.77 | 0.0398 | 10.65 | 25.59 | 0.0215 | 5.78 | 24.81 | 0.0220 | 5.90 |
| 207 | 22.03 | 0.0466 | 8.58 | 28.73 | 0.0217 | 3.99 | 29.79 | 0.0179 | 3.28 |
| 220 | 25.20 | 0.0219 | 5.90 | 28.51 | 0.0143 | 3.86 | 26.18 | 0.0186 | 5.03 |
| 233 | 26.11 | 0.0286 | 5.41 | 30.31 | 0.0165 | 3.13 | 29.96 | 0.0169 | 3.20 |
| Average | 24.30 | 0.0307 | 6.86 | 28.31 | 0.0183 | 4.12 | 27.64 | 0.0189 | 4.34 |
Disclaimer/Publisher’s Note: The statements, opinions and data contained in all publications are solely those of the individual author(s) and contributor(s) and not of MDPI and/or the editor(s). MDPI and/or the editor(s) disclaim responsibility for any injury to people or property resulting from any ideas, methods, instructions or products referred to in the content. |
© 2023 by the authors. Licensee MDPI, Basel, Switzerland. This article is an open access article distributed under the terms and conditions of the Creative Commons Attribution (CC BY) license (https://creativecommons.org/licenses/by/4.0/).
Share and Cite
Lin, H.; Liu, R.; Liu, Z. ECG Signal Denoising Method Based on Disentangled Autoencoder. Electronics 2023, 12, 1606. https://doi.org/10.3390/electronics12071606
Lin H, Liu R, Liu Z. ECG Signal Denoising Method Based on Disentangled Autoencoder. Electronics. 2023; 12(7):1606. https://doi.org/10.3390/electronics12071606
Chicago/Turabian StyleLin, Haicai, Ruixia Liu, and Zhaoyang Liu. 2023. "ECG Signal Denoising Method Based on Disentangled Autoencoder" Electronics 12, no. 7: 1606. https://doi.org/10.3390/electronics12071606
APA StyleLin, H., Liu, R., & Liu, Z. (2023). ECG Signal Denoising Method Based on Disentangled Autoencoder. Electronics, 12(7), 1606. https://doi.org/10.3390/electronics12071606

