A Novel QoS Guaranteed Joint Resource Allocation Framework for 5G NR with Supplementary Uplink Transmission
Abstract
1. Introduction
- Joint Optimization of SUL Admission, TDD Pattern, and Band Slicing Scheme: In the practical implementation of hard radio access network (RAN) slicing, each BS needs to switch the downlink/uplink transmission of all the RAN slices simultaneously, according to different TDD patterns [21]. With SUL-enabled transmission, the admission results of the SUL band will directly affect the TDD pattern and the band slicing scheme. To solve this issue, we formulate a joint optimization problem of SUL admission, TDD pattern, and band slicing scheme, and propose a well-designed DRL-based solution. The activation function of the output layer is well-designed to accommodate the three optimization aspects mentioned above.
 - Load Balance of Slices for further QoS Guarantee:Traditional load balancing mainly focuses on different nodes of the core network or multiple RANs [22,23,24]. Rapidly fluctuating traffic requires a solution with a margin for each slice-level service enabled with SUL. We introduce the slice-level load balancing mechanism into the above DRL-based solution for further QoS guaranteed in the face of fluctuating traffic demands.
 
2. System Model
2.1. Communication Model
2.2. Wireless Resource Slicing
2.3. Performance Metrics
3. Problem Formulation
- 1.
 - SUL admission: Considering the dynamic change of the wireless environment, SUL admission needs to be dynamically optimized by adjusting .
 - 2.
 - TDD pattern: As shown in Figure 2, a hard slicing scheme of the NR band for multiple slices with the same is proposed. needs to be dynamically optimized for the load between the downlink and the uplink.
 - 3.
 - Band slicing scheme: The hard slicing scheme represents an isolated bandwidth allocation scheme for both the downlink and uplink.
 
| Algorithm 1 The QGJRA-SUL framework | 
  | 
4. Problem Transformation and DRL-Based Solution
- Diverse traffic models and QoS requirements: Different slices have different traffic models and different QoS requirements. The resource allocation policy of a single slice cannot be directly applied to other slices.
 - Highly dynamic environment with user mobility: Due to the varying network environment caused by the mobility of UEs and the uncertainty of task arrival, it is difficult to use concrete mathematical methods to allocate resources quickly.
 - Markovian characteristics of resource slicing: The inter-slice resource allocation exhibits Markovian characteristics, where problems whose probability of the problem entering the next state depends only on the current state and action selected. In this paper, the allocation policy affects not only the current QoS performance and slice load balance, but also the future network state and utility, e.g., the queue of packets in the buffer.
 
| Algorithm 2 DDPG-Agent for QGJRA-SUL | 
 
  | 
5. Numerical Results
5.1. Simulation Setting
- QGJRA-SUL, : The weight value in the penalty term in the reward function (11) is set to 0, which means that the load balancing mechanism is removed.
 - QGJRA-nonSUL: QGJRA without the SUL band is tested for comparison.
 - DNSIE-nonSUL [30]: A heuristic algorithm based on a fixed threshold realizes resource sharing among different slices.
 - Static-NR-nonSUL: The whole QGJRA framework is static with a preset action.
 - Optimal: We try almost every possible action to derive the optimal result for QGJRA-SUL.
 
5.2. The Convergence of the DDPG-Agent
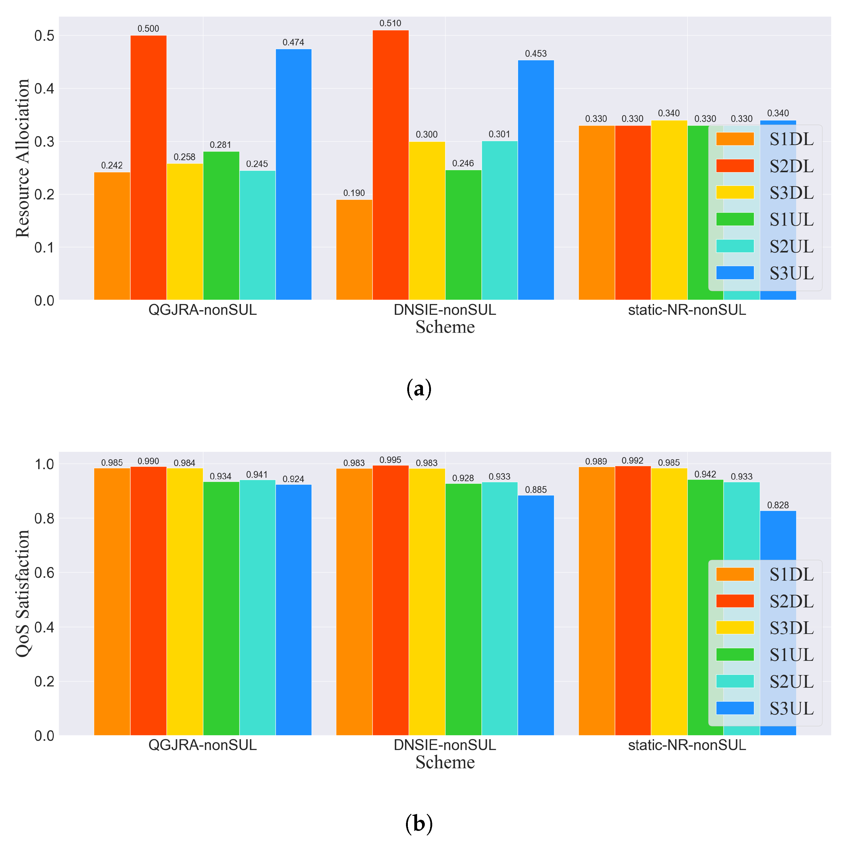
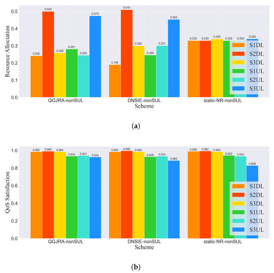
5.3. Performance Comparison Guarentee of QoS
5.4. The Performance of Weight Adaption
5.5. Performance Comparison of Load Balancing

5.6. Complexity Analysis
6. Conclusions
Author Contributions
Funding
Data Availability Statement
Conflicts of Interest
References
- Lin, P.; Hu, C.; Xie, W.; Yu, J. Research on 5G Uplink Coverage Technology. In Proceedings of the 2022 3rd Information Communication Technologies Conference (ICTC), Nanjing, China, 6–8 May 2022; pp. 73–78. [Google Scholar]
 - Study on Channel Model for Frequencies from 0.5 to 100 GHz (Release 17), TP 38.901, 3GPP, Mar 2022. Available online: https://www.3gpp.org/ftp/specs/archive/38_series/38.901 (accessed on 22 March 2023).
 - Shi, Y.; Alsusa, E.; Baidas, M.W. A survey on downlink-uplink decoupled access: Advances, challenges, and open problems. Comput. Netw. 2022, 213, 109040. [Google Scholar] [CrossRef]
 - Alliance, N. 5G white paper. In Next Generation of Mobile Networks, White Paper; NGMN: Frankfurt, Germany, 2015; Volume 1. [Google Scholar]
 - NR and NG-RAN Overall Description; Stage 2 (Release 17), TS 38.300, 3GPP, Dec 2022. Available online: https://www.3gpp.org/ftp/specs/archive/38_series/38.300 (accessed on 22 March 2023).
 - Shrivastava, R.; Samdanis, K.; Sciancalepore, V. Towards service-oriented soft spectrum slicing for 5G TDD networks. J. Netw. Comput. Appl. 2019, 137, 78–90. [Google Scholar] [CrossRef]
 - Zhang, H.; Xu, S.; Zhang, S.; Jiang, Z. Slicing Framework for Service Level Agreement Guarantee in Heterogeneous Networks—A Deep Reinforcement Learning Approach. IEEE Wirel. Commun. Lett. 2022, 11, 193–197. [Google Scholar] [CrossRef]
 - Li, R.; Wang, C.; Zhao, Z.; Guo, R.; Zhang, H. The LSTM-Based Advantage Actor-Critic Learning for Resource Management in Network Slicing With User Mobility. IEEE Commun. Lett. 2020, 24, 2005–2009. [Google Scholar] [CrossRef]
 - Zhang, H.; Pan, G.; Xu, S.; Zhang, S.; Jiang, Z. Prediction-based Hybrid Slicing Framework for Service Level Agreement Guarantee in Mobility Scenarios: A Deep Learning Approach. arXiv 2022, arXiv:2208.03460. [Google Scholar]
 - Kim, H.; Kim, J.; Hong, D. Dynamic TDD Systems for 5G and Beyond: A Survey of Cross-Link Interference Mitigation. IEEE Commun. Surv. Tutor. 2020, 22, 2315–2348. [Google Scholar] [CrossRef]
 - Sheemar, C.K.; Badia, L.; Tomasin, S. Game-theoretic mode scheduling for dynamic TDD in 5G systems. IEEE Commun. Lett. 2021, 25, 2425–2429. [Google Scholar] [CrossRef]
 - Bagaa, M.; Boutiba, K.; Ksentini, A. On using Deep Reinforcement Learning to dynamically derive 5G New Radio TDD pattern. In Proceedings of the 2021 IEEE Global Communications Conference (GLOBECOM), Madrid, Spain, 7–11 December 2021; pp. 1–6. [Google Scholar] [CrossRef]
 - Tang, F.; Zhou, Y.; Kato, N. Deep Reinforcement Learning for Dynamic Uplink/Downlink Resource Allocation in High Mobility 5G HetNet. IEEE J. Sel. Areas Commun. 2020, 38, 2773–2782. [Google Scholar] [CrossRef]
 - User Equipment (UE) Radio Transmission and Reception; Part 1: Range 1 Standalone (Release 18), TS 38.101, 3GPP, Dec 2022. Available online: https://www.3gpp.org/ftp/specs/archive/38_series/38.101-1 (accessed on 22 March 2023).
 - Rinaldi, F.; Raschella, A.; Pizzi, S. 5G NR system design: A concise survey of key features and capabilities. Wirel. Netw. 2021, 27, 5173–5188. [Google Scholar] [CrossRef]
 - Elshaer, H.; Kulkarni, M.N.; Boccardi, F.; Andrews, J.G.; Dohler, M. Downlink and uplink cell association with traditional macrocells and millimeter wave small cells. IEEE Trans. Wirel. Commun. 2016, 15, 6244–6258. [Google Scholar] [CrossRef]
 - Liu, L.; Chen, W.; Zhu, X.; Hou, X. Research and Application of 5G Super Uplink Technology in Plateau. In Proceedings of the 10th International Conference on Signal and Information Processing, Networking and Computers (ICSINC), Xi’ning, China, 5–9 September 2022; pp. 1234–1240. [Google Scholar]
 - Guo, J.; Zhang, Y.; Guo, B.; Fan, Z.; Song, H. 5G Uplink Coverage Enhancement Based on Coordinating NR TDD and NR FDD. In Proceedings of the 8th International Conference on Signal and Information Processing, Networking and Computers (ICSINC), Ji’nan, China, 13–17 September 2021; pp. 1412–1420. [Google Scholar]
 - Smiljkovikj, K.; Popovski, P.; Gavrilovska, L. Analysis of the decoupled access for downlink and uplink in wireless heterogeneous networks. IEEE Wirel. Commun. Lett. 2015, 4, 173–176. [Google Scholar] [CrossRef]
 - Elayoubi, S.E.; Jemaa, S.B.; Altman, Z.; Galindo-Serrano, A. 5G RAN slicing for verticals: Enablers and challenges. IEEE Commun. Mag. 2019, 57, 28–34. [Google Scholar] [CrossRef]
 - Radio Resource Control (RRC) Protocol Specification (Release 17), TS 38.331, 3GPP, Dec 2022. Available online: https://www.3gpp.org/ftp/specs/archive/38_series/38.331 (accessed on 22 March 2023).
 - Iturria-Rivera, P.E.; Erol-Kantarci, M. QoS-Aware Load Balancing in Wireless Networks using Clipped Double Q-Learning. In Proceedings of the 2021 IEEE 18th International Conference on Mobile Ad Hoc and Smart Systems (MASS), Denver, CO, USA, 4–7 October 2021; pp. 10–16. [Google Scholar] [CrossRef]
 - Yang, H.; Yu, A.; Zhang, J.; Nan, J.; Bao, B.; Yao, Q.; Cheriet, M. Data-Driven Network Slicing From Core to RAN for 5G Broadcasting Services. IEEE Trans. Broadcast. 2021, 67, 23–32. [Google Scholar] [CrossRef]
 - Wang, Y.; Li, N.; Yu, P.; Li, W.; Qiu, X.; Wang, S.; Cheriet, M. Intelligent and collaborative orchestration of network slices. IEEE Trans. Serv. Comput. 2022, 1–14. [Google Scholar] [CrossRef]
 - Physical Layer Procedures for Control (Release 17), TS 38.213, 3GPP, Dec 2022. Available online: https://www.3gpp.org/ftp/specs/archive/38_series/38.213 (accessed on 22 March 2023).
 - Mao, H.; Schwarzkopf, M.; Venkatakrishnan, S.B.; Meng, Z.; Alizadeh, M. Learning scheduling algorithms for data processing clusters. In Proceedings of the ACM Special Interest Group on Data Communication, Beijing, China, 19–23 August 2019; pp. 270–288. [Google Scholar]
 - Sun, G.; Gebrekidan, Z.T.; Boateng, G.O.; Ayepah-Mensah, D.; Jiang, W. Dynamic reservation and deep reinforcement learning based autonomous resource slicing for virtualized radio access networks. IEEE Access 2019, 7, 45758–45772. [Google Scholar] [CrossRef]
 - Zheng, K.; Jia, X.; Chi, K.; Liu, X. DDPG-based joint time and energy management in ambient backscatter-assisted hybrid underlay CRNs. IEEE Trans. Commun. 2022, 71, 441–456. [Google Scholar] [CrossRef]
 - Qiu, C.; Hu, Y.; Chen, Y.; Zeng, B. Deep deterministic policy gradient (DDPG)-based energy harvesting wireless communications. IEEE Internet Things J. 2019, 6, 8577–8588. [Google Scholar] [CrossRef]
 - Costanzo, S.; Fajjari, I.; Aitsaadi, N.; Langar, R. Dynamic Network Slicing for 5G IoT and eMBB services: A New Design with Prototype and Implementation Results. In Proceedings of the 2018 3rd Cloudification of the Internet of Things (CIoT), Paris, France, 2–4 July 2018; pp. 1–7. [Google Scholar] [CrossRef]
 







| Notation | Description | 
|---|---|
| The bandwidth of the NR band. | |
| The bandwidth of the SUL band. | |
| x | The identifier for SUL admission. | 
| The set of slices provided by the BS. | |
| The set of UE belonging to slice m. | |
| The SNR of UE n of slice m in direction d. | |
| The achievable rate of UE n under on one RB. | |
| The achievable rate of UE n in the period T. | |
| The RSRP threshold to decide SUL band admission | |
| TDD pattern | |
| The duration of a TDD pattern | |
| T | The period where remains the same | 
| The bandwidth allocated to slice m in direction d. | |
| The load of slice m in direction d of NR band | |
| The load of SUL band | |
| The UE-level QoS satisfaction rate of UE n of slice m in direction d. | |
| The slice-level QoS satisfaction rate of slice m in direction d. | |
| q | The BS-level QoS satisfaction rate. | 
| The variance of slice load | |
| The weight of slice m in direction d | |
| The weight of to make the trade-off with q | |
| The throughput requirement of slice m in direction d. | 
| Parameters | Value | Parameters | Value | 
|---|---|---|---|
| 2 ms | 100 M (250 RB) | ||
| 1 | 10 M (25 RB) | ||
| 56 | 43 dBm 1 | ||
| T | 100 ms | 23 dBm | |
| NR frequency | 3.5 GHz | −174 dbm/Hz | |
| SUL frequency | 1.8 GHz | BS radius | 350 m | 
| S1DL | S1UL | S2DL | S2UL | S3DL | S3UL | |
|---|---|---|---|---|---|---|
| Packet Size (bits) | 12 k | 12 k | 12 k | 12 k | 12 k | 12 k | 
| QoS (Mbps) | 1 | 1 | 2 | 1 | 1 | 2 | 
Disclaimer/Publisher’s Note: The statements, opinions and data contained in all publications are solely those of the individual author(s) and contributor(s) and not of MDPI and/or the editor(s). MDPI and/or the editor(s) disclaim responsibility for any injury to people or property resulting from any ideas, methods, instructions or products referred to in the content.  | 
© 2023 by the authors. Licensee MDPI, Basel, Switzerland. This article is an open access article distributed under the terms and conditions of the Creative Commons Attribution (CC BY) license (https://creativecommons.org/licenses/by/4.0/).
Share and Cite
Sun, Y.; Huang, Y.; Yu, T.; Chen, X.; Zhang, S. A Novel QoS Guaranteed Joint Resource Allocation Framework for 5G NR with Supplementary Uplink Transmission. Electronics 2023, 12, 1563. https://doi.org/10.3390/electronics12071563
Sun Y, Huang Y, Yu T, Chen X, Zhang S. A Novel QoS Guaranteed Joint Resource Allocation Framework for 5G NR with Supplementary Uplink Transmission. Electronics. 2023; 12(7):1563. https://doi.org/10.3390/electronics12071563
Chicago/Turabian StyleSun, Yanzan, Yanyu Huang, Tao Yu, Xiaojing Chen, and Shunqing Zhang. 2023. "A Novel QoS Guaranteed Joint Resource Allocation Framework for 5G NR with Supplementary Uplink Transmission" Electronics 12, no. 7: 1563. https://doi.org/10.3390/electronics12071563
APA StyleSun, Y., Huang, Y., Yu, T., Chen, X., & Zhang, S. (2023). A Novel QoS Guaranteed Joint Resource Allocation Framework for 5G NR with Supplementary Uplink Transmission. Electronics, 12(7), 1563. https://doi.org/10.3390/electronics12071563
        
