Secure Decision Fusion in ISAC-Oriented Distributed Wireless Sensing Networks with Local Multilevel Quantization
Abstract
1. Introduction
2. System Model
3. Constellation-Rotating-Based Secure Decision Fusion under Energy Constraint
3.1. Local Decision with Multibit Quantification
3.2. Random-Constellation-Rotation-Based Transmission of Local Decisions
3.3. LLR-Based Soft Data Fusion (Sdf) at Fusion Center
3.4. Hard-Decision-Based Hard Data Fusion (Hdf) at Fusion Center
4. Optimization of Local Quantification and Constellation Rotation
4.1. Perfect Security Analysis
4.2. Optimization of Constellation Rotation under a Given Error Constraint of EFC
| Algorithm 1: Optimization Algorithm of Key Parameters for Constellation-Rotating-Based Secure Decision Fusion under a Given Error Constraint of EFC |
| − − |
5. Simulation Results and Discussions
5.1. Error Performance of Soft Data Fusion
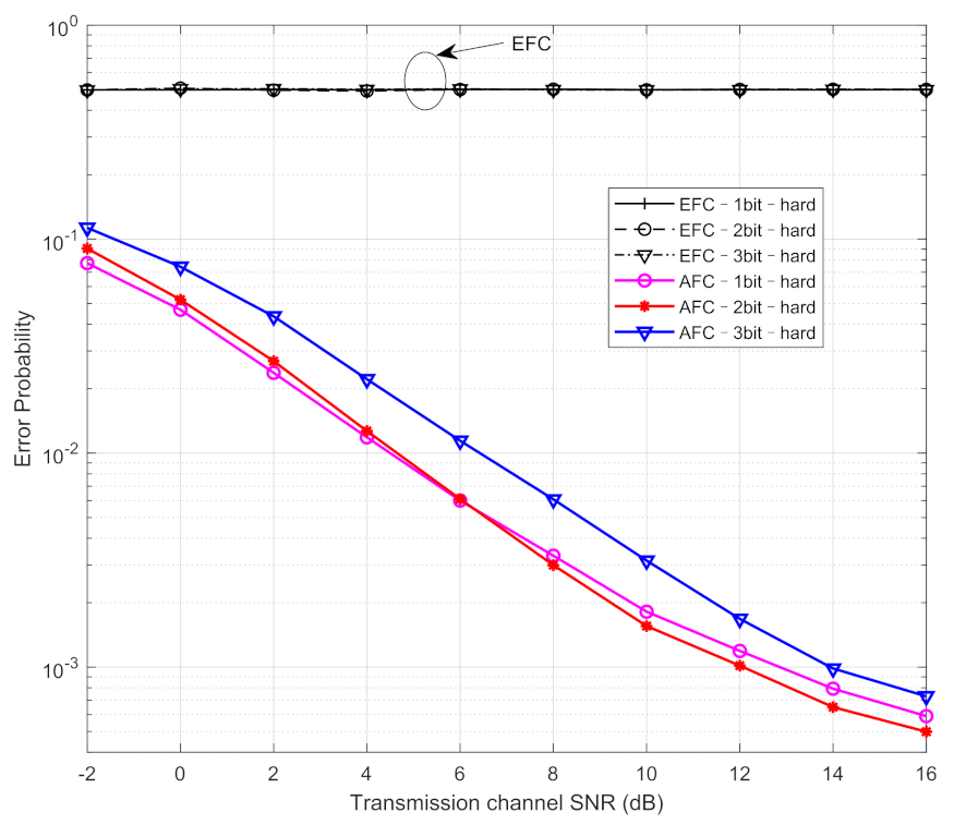
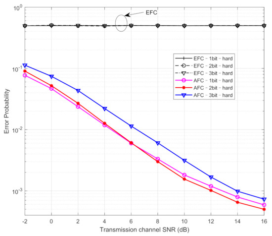
5.2. Error Performance of Hard Data Fusion
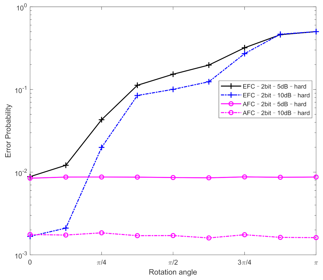
5.3. Optimization of Rotation Angle under Error Constraint of EFC
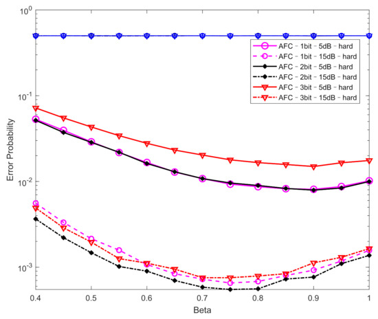
5.4. Comprehensive Comparisons of Various Algorithms
6. Conclusions
Author Contributions
Funding
Data Availability Statement
Conflicts of Interest
References
- Liu, F.; Cui, Y.; Masouros, C.; Xu, J.; Han, T.X.; Eldar, Y.C.; Buzzi, S. Integrated Sensing and Communications: Toward Dual-Functional Wireless Networks for 6G and Beyond. IEEE J. Sel. Areas Commun. 2022, 40, 1728–1767. [Google Scholar] [CrossRef]
- Zhao, Z.; Du, Q.; Karagiannidis., G.K. Improved grant-free access for URLLC via multi-tier-driven computing: Network-load learning, prediction, and resource allocation. IEEE J. Sel. Areas Commun. 2023, 41, 607–622. [Google Scholar] [CrossRef]
- Zuo, J.; Liu, Y. Reconfigurable Intelligent Surface Assisted NOMA Empowered Integrated Sensing and Communication. arXiv 2022, arXiv:2208.04786. [Google Scholar]
- Zhao, Z.; Du, Q.; Wang, D.; Tang, X.; Song, H. Overview of prospects for service-aware radio access towards 6G networks. Electronics 2022, 11, 1262. [Google Scholar] [CrossRef]
- Li, X.; Cui, Y.; Zhang, J.A.; Liu, F.; Zhang, D.; Hanzo, L. Integrated Human Activity Sensing and Communications. IEEE Commun. Mag. 2022, 1–8. [Google Scholar] [CrossRef]
- Imoize, A.L.; Adedeji, O.; Tandiya, N.; Shetty, S. 6G Enabled Smart Infrastructure for Sustainable Society: Opportunities, Challenges, and Research Roadmap. Sensors 2021, 21, 1709. [Google Scholar] [CrossRef]
- Xu, T.; Liu, F.; Masouros, C.; Darwazeh, I. An Experimental Proof of Concept for Integrated Sensing and Communications Waveform Design. IEEE Open J. Commun. Soc. 2022, 3, 1643–1655. [Google Scholar] [CrossRef]
- Al-Jarrah, M.A.; Yaseen, M.A.; Al-Dweik, A.; Dobre, O.A.; Alsusa, E. Decision Fusion for IoT-Based Wireless sensing node Networks. IEEE Internet Things J. 2020, 7, 1313–1326. [Google Scholar] [CrossRef]
- Yick, J.; Mukherjee, B.; Ghosal, D. Wireless sensing node network survey. Comput. Netw. Int. J. Comput. Telecommun. Netw. 2008, 52, 2292–2330. [Google Scholar]
- Sen, J. A Survey on Wireless sensing node Network Security. Comput. Sci. 2010, 43, 90–95. [Google Scholar]
- Dwivedi, U.; Agarwal, A.; Roy, A.; Chakraborty, A.; Mukherjee, A. A Survey on Wireless sensing node Network Protocols for Transport Layer. In Proceedings of the Second International Conference on Electronics, Communication and Aerospace Technology, Coimbatore, India, 29–31 March 2018; pp. 390–394. [Google Scholar]
- Al-Jarrah, M.A.; Yaseen, M.A.; Al-Dweik, A.; Dobre, O.A.; Alsusa, E. Decision Fusion in Distributed Cooperative Wireless sensing node Networks. IEEE Trans. Veh. Technol. 2019, 68, 797–811. [Google Scholar] [CrossRef]
- Du, Q.; Song, H.; Zhu, X. Social-feature enabled communications among devices toward the smart IoT community. IEEE Commun. Mag. 2019, 57, 130–137. [Google Scholar] [CrossRef]
- Mukherjee, A. Physical-Layer Security in the Internet of Things: Sensing and Communication Confidentiality Under Resource Constraints. Proc. IEEE 2015, 103, 1747–1761. [Google Scholar] [CrossRef]
- Mukherjee, A.; Fakoorian, S.A.A.; Huang, J.; Swindlehurst, A.L. Principles of Physical Layer Security in Multiuser Wireless Networks: A Survey. IEEE Commun. Surv. Tutor. 2014, 16, 1550–1573. [Google Scholar] [CrossRef]
- Shirazi, M.; Vosoughi, A. On Bayesian Fisher information maximization for distributed vector estimation. IEEE Trans. Signal Inf. Process. Netw. 2019, 5, 628–645. [Google Scholar] [CrossRef]
- Xie, H.; Yan, Z.; Yao, Z.; Atiquzzaman, M. Data collection for security measurement in wireless sensing node networks: A survey. IEEE Internet Things J. 2019, 6, 2205–2224. [Google Scholar] [CrossRef]
- Kailkhura, B.; Nadendla, V.S.S.; Varshney, P.K. Distributed inference in the presence of eavesdroppers: A survey. IEEE Commun. Mag. 2015, 53, 40–46. [Google Scholar] [CrossRef]
- Jiang, R.; Chen, B. Fusion of censored decisions in wireless sensing node networks. IEEE Trans. Wirel. Commun. 2005, 4, 2668–2673. [Google Scholar] [CrossRef]
- Soosahabi, R.; Naraghi-Pour, M. Scalable PHY-layer security for distributed detection in wireless sensing node networks. IEEE Trans. Inf. Forensics Secur. 2012, 7, 1118–1126. [Google Scholar] [CrossRef]
- Soosahabi, R.; Naraghi-Pour, M.; Perkins, D.; Bayoumi, M.A. Optimal probabilistic encryption for secure detection in wireless sensor networks. IEEE Trans. Inf. Forensics Secur. 2014, 9, 375–385. [Google Scholar] [CrossRef]
- Marano, S.; Matta, V.; Willett, P.K. Distributed detection with censoring sensing nodes under physical layer secrecy. IEEE Trans. Signal Process. 2009, 57, 1976–1986. [Google Scholar] [CrossRef]
- Li, C.; Li, G.; Varshney Pramod, K. Distributed detection of sparse signals with physical layer secrecy constraints: A falsified censoring strategy. IEEE Trans. Signal Process. 2020, 68, 6040–6054. [Google Scholar] [CrossRef]
- Li, Y.; Ji, X.; Peng, M.; Huang, C.; Li, Y. An enhanced beamforming algorithm for three dimensional MIMO in LTE-advanced networks. In Proceedings of the 2013 International Conference on Wireless Communications Signal Processing, Hangzhou, China, 24–26 October 2013; pp. 24–26. [Google Scholar]
- Jeon, H.; Choi, J.; McLaughlin, S.; Ha, J. Channel aware encryption and decision fusion for wireless sensing node networks. IEEE Trans. Inf. Forensics Secur. 2013, 8, 619–625. [Google Scholar] [CrossRef]
- Zhang, G.; Sun, H. Secure Distributed Detection under Energy Constraint in IoT-Oriented sensing node Networks. Sensors 2016, 16, 2152. [Google Scholar] [CrossRef] [PubMed]
- Nadendla, V.S.S.; Arshney, P.K. Design of binary quantizers for distributed detection under secrecy constraints. IEEE Trans. Signal Process. 2016, 64, 2636–2648. [Google Scholar] [CrossRef]
- Li, Z.; Oechtering, T.J. Privacy-constrained parallel distributed neyman-pearson test. IEEE Trans. Signal Inf. Process. Netw. 2017, 3, 77–90. [Google Scholar] [CrossRef]
- Miridakis, N.I.; Vergados, D.D. Complexity analysis of a hybrid threshold-based ZF-MMSE equalizer for sic-based MIMO-OFDM receivers. In Proceedings of the International Conference on Wireless Information Networks and Systems, Seville, Spain, 18–21 July 2011; pp. 109–112. [Google Scholar]
- Pechetti, S.V.; Jindal, A.; Bose, R. Exploiting mapping diversity for enhancing security at physical layer in the Internet of Things. IEEE Internet Things J. 2019, 6, 532–544. [Google Scholar] [CrossRef]










| Quantization | Normal Sending | Rotated Sending |
|---|---|---|
| Simulation Parameters | Parameter Settings |
|---|---|
| Channel model | Rayleigh block-fading channel |
| Number of sensing nodes | 20, 50 |
| Number of quantization bits | 2, 3 |
| Local detection SNR | dB |
| Transmission channel SNR | dB |
| Energy constraint |
| Scheme | Computational Complexity | CSI Requirement | Error Probabilities of EFC | Error Probabilities of AFC | |||
|---|---|---|---|---|---|---|---|
| Low | High | ||||||
| Low SNR | High SNR | Low SNR | High SNR | ||||
| scheme 1 with 1-bit quantization and Sdf [25] | Low | Statistical amplitude | 0.5 | – | – | High | Moderate |
| Expanded version of scheme 1 with 2-bit quantization and Sdf | Moderate | Statistical amplitude and instantaneous phase | 0.5 | High | Moderate | Moderate | Low |
| Expanded version of scheme 1 with 3-bit quantization and Sdf | High | Statistical amplitude and instantaneous phase | 0.5 | – | – | Moderate | Low |
| scheme 2 with 1-bit quantization and Sdf [26] | Low | Statistical amplitude | 0.5 | High | Moderate | High | Moderate |
| Proposed scheme with 2-bit quantization and Sdf | Moderate | Statistical amplitude and instantaneous phase | 0.5 | High | Moderate | Moderate | Low |
| Proposed scheme with 3-bit quantization and Sdf | High | Statistical amplitude and instantaneous phase | 0.5 | – | – | Moderate | Low |
| Proposed scheme with 1-bit quantization and Hdf | Low | Instantaneous amplitude and phase | 0.5 | Moderate | Low | Moderate | Low |
| Proposed scheme with 2-bit quantization and Hdf | Low | Instantaneous amplitude and phase | 0.5 | Moderate | Low | Moderate | Low |
| Proposed scheme with 3-bit quantization and Hdf | Low | Instantaneous amplitude and phase | 0.5 | Moderate | Low | Moderate | Low |
Disclaimer/Publisher’s Note: The statements, opinions and data contained in all publications are solely those of the individual author(s) and contributor(s) and not of MDPI and/or the editor(s). MDPI and/or the editor(s) disclaim responsibility for any injury to people or property resulting from any ideas, methods, instructions or products referred to in the content. |
© 2023 by the authors. Licensee MDPI, Basel, Switzerland. This article is an open access article distributed under the terms and conditions of the Creative Commons Attribution (CC BY) license (https://creativecommons.org/licenses/by/4.0/).
Share and Cite
Zhang, G.; Sun, H.; Yu, J. Secure Decision Fusion in ISAC-Oriented Distributed Wireless Sensing Networks with Local Multilevel Quantization. Electronics 2023, 12, 1428. https://doi.org/10.3390/electronics12061428
Zhang G, Sun H, Yu J. Secure Decision Fusion in ISAC-Oriented Distributed Wireless Sensing Networks with Local Multilevel Quantization. Electronics. 2023; 12(6):1428. https://doi.org/10.3390/electronics12061428
Chicago/Turabian StyleZhang, Guomei, Hao Sun, and Jiayue Yu. 2023. "Secure Decision Fusion in ISAC-Oriented Distributed Wireless Sensing Networks with Local Multilevel Quantization" Electronics 12, no. 6: 1428. https://doi.org/10.3390/electronics12061428
APA StyleZhang, G., Sun, H., & Yu, J. (2023). Secure Decision Fusion in ISAC-Oriented Distributed Wireless Sensing Networks with Local Multilevel Quantization. Electronics, 12(6), 1428. https://doi.org/10.3390/electronics12061428

