Abstract
In the context of the rapid development of economy and culture, people’s requirements for material and culture are constantly increasing, and the relationship between graphic design and human life is also increasingly close. With the continuous development of Internet of Things technology, information exchange between people and things can be realized by using various sensing devices, and innovative modern art can be established. Therefore, the focus of culture has gradually shifted to the field of visualization. However, in the visual communication design, the product design method of “mainly two-dimensional plan and supplemented by three-dimensional model”, on the one hand, cannot maximize the intuitive effect of three-dimensional modeling, thus affecting the efficiency of design; on the other hand, problems such as information incoordination and resource waste are likely to occur. In short, people’s requirements for design have changed from a two-dimensional plane space to a three-dimensional space, and a two-dimensional plane design can no longer meet people’s growing demand for artistic design. Aiming at tackling these problems, this paper proposed to establish a visual communication system based on artificial intelligence (AI). Through this method, the image can be made clearer and has a larger field of view and magnification. At the same time, the system was applied to modern art design, which is a type of innovation. The experimental results showed that the maximum distortion of the system designed in this paper was approximately 15%, and the maximum distortion of the traditional sample was about 20%. Compared with conventional samples, this system has great advantages in graphics transformation. In addition, the chromatic aberration of the optical system can be corrected to improve the imaging effect.
1. Introduction
Now is an era of information explosion, and people’s lives are full of all kinds of information. In today’s world, people’s information transmission and reception, business and trade, and living consumption are all inseparable from visual communication. The scope of visual communication design is very wide, including graphic design, posters, advertisements, fonts, signs, typesetting, layout and book binding. In today’s society, information technology has entered a smart society, and smart phones have gradually entered people’s daily life. For example, people only need to use mobile phones to transmit text, pictures, audio, video and other information, and the design of visual functions is more and more inclined to multimedia; that is, two-way terminal media that integrates information release and reception. However, traditional visual communication methods have been unable to meet the requirements of contemporary art design. Visual communication design based on AI technology has gradually become a powerful force in contemporary art with its unique sense of technology, humanized interactive concept, novel artistic atmosphere and interesting scene settings. Compared with the general traditional visual communication design, the visual communication design based on AI technology has distinct characteristics. The introduction of AI technology into visual communication design enables the appreciator to participate in the creation, which can not only arouse the appreciator’s interest, but also reach an emotional agreement with the creator. The interaction of AI virtual art has completely changed the single relationship between aesthetic objects in traditional visual communication design, thereby creating various possible interactive experiences. To a certain extent, the innovation of artificial intelligence has sublimated perceptual design to a certain extent. It is a combination of art and technology, which opens a new door and breaks the traditional display. Its appearance would bring people a new artistic experience. How to effectively improve the work efficiency of art design has become an important topic in the field of intelligent art design. The application of modern intelligent information processing technology has produced many tools to assist designers to improve work efficiency. The development of the Internet of Things also provides a new way to show modern art. The Internet of Things and artificial intelligence are complementary to a large extent. With the help of its sensors, Internet of Things devices collect a large amount of data during operation. Artificial intelligence can use these sensors to improve the performance of equipment. How to make computers better imitate the idea of ordinary design, improve the intelligence of computer design and make manual design reach the stage of simplicity, automation, and AI design, and how to realize artistic and technological integration in design methods, intelligent image processing, AI technology and other fields have become a topic of general concern in the academic circles of all countries in the world today. Artists use artificial intelligence machine-learning technology to create art and express their ideas and concepts. Instead of tedious and boring work, people only need to do the parts that require the most creativity, imagination and emotion, and the rest can be completed by artificial intelligence. It can be expected that, in the next few decades, AI would become a new round of technological revolution. As far as virtual reality is concerned, the content of the graphic model and presentation is also its core, and its research and development are of great significance. Therefore, this paper proposed a visual communication system based on AI technology. This system aimed to enable users to feel an immersive artistic visual experience indoors by virtual reproduction of the indoor environment of modern art.
The innovation of this paper was to propose an AI visual communication system that can effectively improve design efficiency. It highlighted a new direction for the future development of the visual field, and was also an innovation of modern art design. In terms of interactive display, visual transmission technologies such as texture mapping and light technology were used to achieve a real indoor three-dimensional effect.
2. Related Work
In recent years, with the change of people’s aesthetic consciousness, visual communication design is the leader in modern art design, and a large number of works appear one after another in everyone’s sight. The innovative design of visual communication has also gradually attracted attention. For example, Wang described the role of digital technology in the creation of art in digital media, and the ways in which digital technology can advance artistic practice in relation to digital media [1]. Through the analysis of the characteristics of decorative painting teaching in the visual communication design major, Zhu discussed the countermeasures for updating its teaching content, teaching methods and teaching concepts [2]. Cheng believed that the communication of images depends on contemporary media technology, and conveys visual culture and information in a way similar to textual expression [3]. Shi started from analyzing the information and aesthetic requirements of web page design, analyzed various visual elements such as text, pictures, background, etc., and discussed how to make the visual information of web pages more effective and more reasonable [4]. Lagaeva used the methodological tools of creative problem-solving theory, which enables the differentiation, systematization and classification of visual arts modeling methods [5]. The above scholars have certain significance for the research on visual communication, but there are still many areas that must be explored and improved in terms of details of visual communication.
At present, technologies such as machine vision and AI are developing rapidly and have been widely used in all walks of life. For example, Tang reviewed the emerging design intelligence systems, conducted a comprehensive analysis of the modeling and methods of intelligent products, and discussed several problems and challenges in future design intelligence research [6]. Ying aimed to design interactive media through AI and build a more efficient interactive media art communication system. It can be observed from the practical application of the system that the adoption of AI technology can effectively improve the transmission efficiency of the system and the stability of the system [7]. Arsovski proposed an AI-driven approach to visual dialogue automation, using it to create received image captions and generate appropriate plausible visual responses [8]. Rosmiati found that visual communication design media through animation was the most appropriate means to assist children’s learning methods, and its function is to help children develop their sensory and motor skills [9]. With the continuous development of society, visual design must constantly introduce new technologies to keep up with the pace of the times, so as to adapt to the emerging changes. Based on the role of artificial intelligence, this paper studies the visual communication system based on AI technology.
3. Graphical Rendering of Visual Communication Design
3.1. Evaluation on Graphics Rendering Shaders
In the field of computer graphics, a shader is a specific computer program that can compute the rendering effect of graphics hardware [10,11]. Using a custom method, one can dynamically change the saturation, brightness and contrast of all images. The rendering pipeline can be understood in a different way than the previous sections. Figure 1 shows the color processing process of the pipeline; Figure 1 was designed by the author. As described in the CT image learning column, there is a high degree of freedom to calculate rendering effects using shaders on graphics hardware. Although not mandatory, most shaders are currently developed for GPUs. The programmable drawing pipeline of GPU has completely replaced the traditional fixed pipeline and can be programmed with shader language. The pixels, vertices and textures that make up the final image, their positions, hue, saturation, brightness and contrast can also be dynamically adjusted using the algorithm defined in the shader. By calling the shader’s external program, one can also use the external variables and textures it provides to the shader to modify the parameters in these shaders.
Figure 1.
Shader processing flow.
In the program, these colors can be used in any combination, and the coloring program is also optional [12,13]. Additionally, vertex attributes and consistency can be set by application. In a 3D model, shaders can control details such as position, movement, lighting and color. In the shading circuit, the subdivision shader follows the vertex shader. They can collect vertex data and insert raw data into other geometries [14,15]. As can be seen from the processing flow in Figure 1, vertex shader can first assemble color elements, and then go through the control or calculation of subdivision shader, which also includes the joint action of set shader and fragment shader.
3.2. Application Design of Visual Communication in Modern Home Art
The main processes in modern home art design and development include designing modern home interior three-dimensional scenes, setting patterns, material selection, lighting layout drawing, testing, etc. [16]. Modern home art evolved from contemporary street art and is another form of expression of contemporary street art in the family. The detailed process is shown in Figure 2.
Figure 2.
Design development process.
The specific design and development process was divided into two aspects. The first aspect was modeling, material production, model setting, resource output and so on. The second aspect was the scene construction and drawing completed in the system engine, setting the coordinates of the viewing angle, and finally completing the encapsulation and testing of the application. As can be seen from the process in Figure 2, the design and development process was very strict, and every link was linked to each other. Without any link, the design and development could not be completed.
3.3. Optical Processing in Visual Communication
Lighting is a technology that deals with the interaction between light sources and target objects. Using lighting technology, objects can be colored, and different lighting modes would bring different effects [17]. At present, the standard light mode has been widely used. In the standard light mode, a certain point on the surface of an object can form four different light types, namely diffuse, specular, ambient and self-light [18,19]. Diffuse reflection follows Lambert Beer’s law (quoted from 360 Library), and the formula for calculating the color after diffuse reflection is:
In the formula, n is the diffuse object, I is the light source vector, is the object reflection color, is the resulting diffuse reflection color, and is the diffuse reflection length. The form of is then used to ensure that the amount of incoming light is a positive number.
The formula for calculating specular reflection is:
Among them, is the glossiness, c is the viewpoint, r is the amount of reflection, and is the grayscale. Ambient reflections refer to lighting generated by multiple reflections of light on multiple target objects. Then, the ambient light color is:
In the formula, is the ambient light value, and is the reflection coefficient. Self-illumination can be defined as:
is the amount of its own light. If the input unit passes all unit tests, it enters the mixed unit. This method uses the mixing operation to fuse the input original color and the pixel color data in the current color buffer area [20].
As shown in Figure 3, during operation, it can be switched on and off. When not turned on, the color values in the color buffer would be used directly for overlay and rendering. If enabled, the target color would be extracted from the color buffer and blended with the fragment’s color [21].The novelty of this blending process is that the original primary color can be sufficiently fused with the pixel color of the buffer to extract the latest color from it.
Figure 3.
Flowchart of the blending operation.
3.4. Representation and Modeling of 3D Objects
(1) Spline curve
In visual communication design, different splines can be used to design and manufacture complex curves and surfaces []. Using complex surfaces and curves, 2D and 3D models can be generated. Among the many drawing software and computer-aided design systems, the Bezier curve is the most widely used [,22,23]. Figure 4 shows a simple example of two Bezier curves.
Figure 4.
Two Bezier curves. (a) First-order curve, (b) Quadratic curve.
Figure 4a is a first-order Bezier curve, and Figure 4b is a quadratic curve. The endpoints of the blue line in the figure are used as control points, and a two-dimensional Bezier curve (quoted from 360 Library) can be generated from these control points. If the positions of the control points are given as:
Then, the curve can be expressed as:
In the formula, t is the amount of change time. is the polynomial of the curve:
is the quadratic coefficient:
The boundary of a Bezier curve can be judged based on its two endpoints:
The biggest feature of the Bezier curve is that its landing point is on the boundary of the convex polygon, and the position of any curve is just the sum of the weights of the control points. For a Bezier curve, one can add control points to make it unfold, but it cannot be easily controlled. The B-spline curve is expressed as:
Among them, is a group of points, and represent the number of control points and the node vector, respectively. is the new function:
Among them,
It can be seen from Formulas (12) and (13) that d is a parameter, and the degree of the B-like curve mixing function is a polynomial of .
(2) Parametric surface
The Bezier surface is formed by the control points of the two-dimensional curve, and its parameter function can be represented by the product mode of the Bezier mixture function:
Among them, the coordinates of points are determined by , and and are one-dimensional functions in the u and v directions, respectively:
Since is the combination of all control points, the sum is 1, so the surface is surrounded by the control points.
Figure 5 shows a Bezier surface, which is similar in nature to a Bezier curve, and its surface can be defined as:
Figure 5.
Bezier surface.
However, the -function in the formula of the Bezier surface depends on the parameter i, and then Formula (14) can be rewritten as:
In the formula, is the basis function, is a control point, and u is a parameter formula of the surface:
Therefore, each control point can be thought of as a vector.
(3) Projection conversion
In view transformation, the object is transformed into observation coordinates and is then projected to the observation surface by projection transformation. Projection transformation can be regarded as the final operation of transforming the object in camera space into clipping space. It can make three-dimensional objects deform in the scene, so as to achieve a realistic expression. Through perspective projection, the object can show a perspective short effect, and if the object is close to the observation surface, the projection effect would be enhanced. Objects close to the observation surface have a larger display area than distant objects of the same size. To achieve perspective projection transformation, a frustum similar to the visual mode of the eye or camera can be used, as shown in Figure 6.
Figure 6.
View frustum for perspective projection.
In the viewing direction, the distance between the far side of the frustum and the projection point is greater than the near side, while the bottom, top and sides are the planes that intersect the projection fiducial point. On the viewing plane, only objects located in the frustum are included, and all objects outside the frustum are cut. At this time, a stereo projection transformation matrix can be used to complete the projection transformation.
(4) The basic principle of stereo vision
Stereoscopic view is the core of AI system interactive vision, and users can feel the real virtual world in three-dimensional space. Stereoscopic images are paired. In the same scene, from different perspectives, it is consistent with the point of view when people look at the object. Stereoscopic vision is an important visual function of human beings, which can make people produce an intuitive and profound perception, and this feeling can be stimulated by the stereoscopic vision produced by different angles of one eye. In general, humans and animals with overlapping light fields have this ability. A fainter beam of light would enter the human eye and end there. At this point, people must engage with types kinds of information. One is from the location of the light source, and the other is when the light passes through the retina of the eye. Regarding the processing of the visual cortex and the brain, it is necessary to know the source of light. To solve this problem, the light from both eyes must be directed. Assuming that, at this point, the light enters the eye in a straight line, the visual cortex tracks the light in the opposite direction. This is the difference between the two eyes and the focus of the two lines. If the light moves in a straight line, this intersection is reflected back by an object. The brain recreates the depth image that people see because it deals with the intersection of a straight line between the two eyes. Before thinking about how the lens works, it is easy to project a virtual object onto the display, and then fill the corresponding pixel array with the value of one pixel, and the light emitted from the pixels on the screen can be seen by both eyes.
Figure 7 shows a simple stereo vision model, where the vertices of a virtual object are projected onto a display screen, then reflected through each person’s eyes onto the retina, and then reversed. The intersection of this line would appear on a virtual object that appears to be in front of it. Although the underlying principles can be well understood through the intersection of lines, this does not apply to typical rendering applications. In traditional raster applications, a projection matrix is used to project a geometric object onto the screen, which is then projected onto both eyes.
Figure 7.
Simple stereo vision model.
Therefore, based on AI technology, this paper studied the optical design system of visual communication, which involved multiple research methods of AI technology, such as brain simulation, symbol processing, subsymbol method, statistical method and integrated method. The following is the relevant experimental analysis of optical design of visual communication.
3.5. Optical Design of Visual Communication in Modern Art
The fixed-focus optical system would have a certain magnification when adjusting the diopter, so that the similarity of the two eyes cannot be guaranteed, resulting in dizziness and even double-image phenomenon in the audience. Therefore, this paper proposes an optical implementation scheme that can effectively ensure the consistency of binocular magnification, as shown in Table 1.
Table 1.
Field of view for compatible displays.
In this paper, the two-dimensional screen was used as the image source. In the binocular system, the monocular system uses a set of zoom lenses, and the zoom lens group uses two sets of lenses, so that the distance between the nodal plane and the two-dimensional screen of the entire optical system remains the same, or changes very slightly. When designing, different focal lengths should be adjusted according to different focal lengths to make them have better display effects. The detailed parameters of the mobile phone screen size were determined first, as shown in Table 2.
Table 2.
Detailed parameters of mobile phone screen.
From the data in Table 2, it can be seen that the screen size of 7-inch mobile phone is relatively large. According to the actual needs of life, there is less demand for this size, so 5-inch and 6-inch screens were selected as experimental objects. The following is an analysis of how to select the focal length and half-field angle on mobile phone screens of different sizes, as shown in Table 3.
Table 3.
Half-field angle of different focal lengths and screens.
Then, the full diagonal of the equivalent half-field viewpoint was analyzed, and the data results are shown in Table 4.
Table 4.
Full diagonal for half-field viewing equivalent displays.
Since the optical system designed in this paper matched with the entire mobile phone screen, it could be determined according to the angle of the “half screen”. If people look at the virtual scene design with a mobile phone, the focal length of “5-inch 16:9 size” in Table 3 is 60 mm, and its half-angle is 27.5°, then it is equivalent to watching a 20-inch monitor at 0.5 m, and the viewing effect at this time may not be able to achieve ideal results. Assuming that the system design is 50 mm focal length, then when viewing with a 6-inch half-screen, comparing the data in Table 3 and Table 4, it can be observed that it is equivalent to viewing a 214-inch display screen at 3 m. This time, the visual effect was the best. Therefore, when designing an optical system, the focal length of 50 mm should be used as the standard. In order to facilitate understanding, the focal length plane is designed in this paper, as shown in Figure 8. The horizontal distance of human body when viewing the display screen is the focal length.
Figure 8.
Focal length plan.
4. Visual Communication Optical System Test
4.1. Optical System Design
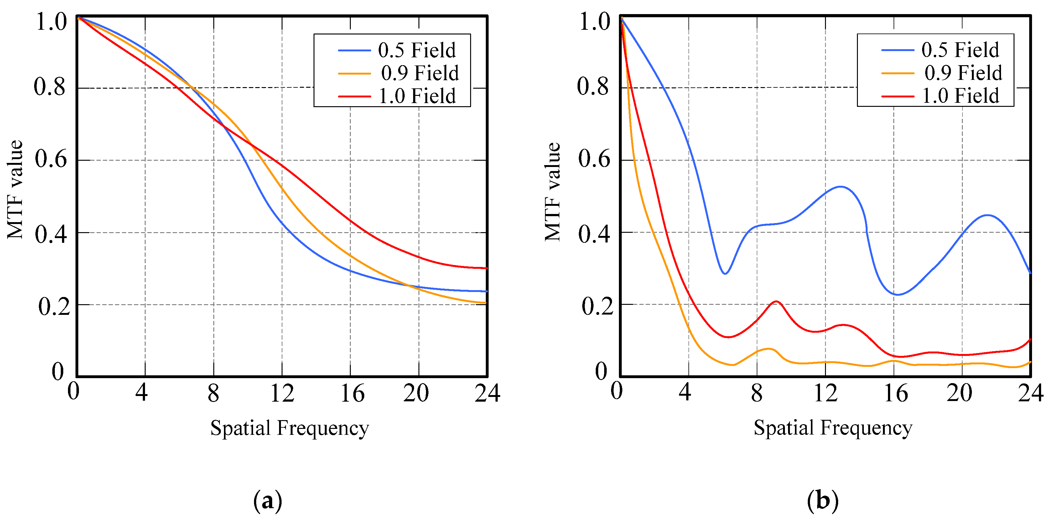
When adjusted, the focal length of the lens changes over time, ensuring that viewers with different viewing angles see the same picture as the viewing angle. The system contained a zoom function that kept the field of view unchanged. The resolution of a lens was measured by the modulation transfer function (MTF). In the test, the lens of a traditional sample was used to compare the test performance with the lens designed by the system in this paper. The field of view of the two lenses was the same. The data results are shown in Figure 9.
Figure 9.
MTF graph comparison. (a) MTF curve designed in this paper, (b) MTF curve of the sample.
Usually, the MTF value of the human eye system can achieve better visual effects as long as it reaches 0.2. From the data shown in Figure 9a, it can be observed that all the curve values were greater than 0.2, indicating that the system designed in this paper could meet the high resolution of future mobile phones. From the data in Figure 9b, it can be seen that the MTF value displayed by the traditional sample design was far below 0.2, which cannot meet the needs of the human eye. It can be observed that the optical system designed in this paper was better than the traditional design and can effectively meet the requirements of human eyes to acquire perspective.
4.2. Optical Distortion Test
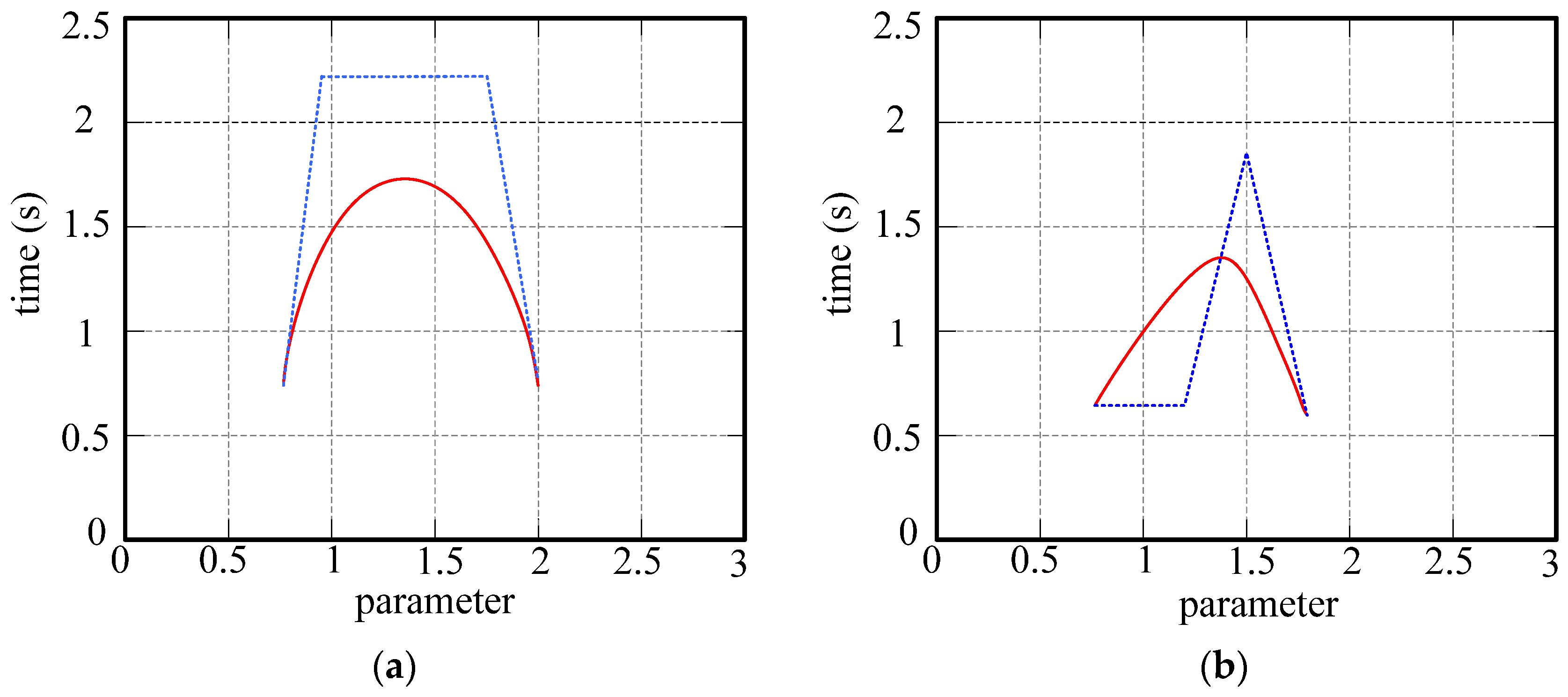
To prevent the observer from needing to focus at a larger viewing angle, two lenses were placed on the front side in front of the display screen, which can make the picture more magnified, thus greatly improving the audience’s on-site experience. However, with the appearance of the lens, a series of problems would also arise, such as chromatic aberration, astigmatism, and distortion caused by the surface of the lens. Optical distortion is a flaw in optical design, typically measured in percentages.
From the distortion curve in Figure 10a, it can be seen that the maximum distortion rate of the system designed in this paper was approximately 15%, while from the data in Figure 10b, it can be observed that the maximum distortion degree of the traditional sample was approximately 20%. From the perspective of the degree of image deformation, the design of the system in this paper still had certain advantages compared with the ordinary visual communication design.
Figure 10.
Distortion contrast curve. (a) System design distortion data in this paper, (b) Traditional sample distortion data.
5. Conclusions
This paper mainly conducted in-depth research on artificial intelligence technology and some core technologies in the Internet of Things. The Internet of Things utilizes radio frequency identification technology to master the exact location of objects and their surrounding environment, so as to display artistic elements through visual communication design, including intelligent technical graphics, stereo modeling and optical technology of stereo vision. According to the technical requirements of scientific research, a binocular stereo vision optical system was developed. On the basis of visual communication design, through the design and production of scenes, users can feel a modern artistic design in a virtual indoor simulation environment. The basic principles of stereo vision were mainly studied and analyzed, and they were designed. The working principle of the system was introduced, and the designed optical system was described in detail through the comparison of examples, and its superiority was analyzed. However, AI technology is an emerging interdisciplinary field, and presents both challenges and scientific research value, and there are many problems yet to be solved. Due to the urgency of time, the aging time of this experiment was not long, so there may have been some error in the experimental results. In the fields of image presentation and visualization, visual communication design still needs to be further studied and improved. This paper provides a direction for the development of visual design, a reference for AI technology in visual design, and a contribution to the innovative application of visual communication design in modern art design.
Author Contributions
Y.G., Q.W. and W.G. designed and performed the experiment and prepared this manuscript. All authors have read and agreed to the published version of the manuscript.
Funding
This work was supported by 2020 National Social Science Foundation Art Project: “Research on the Communication of Chinese Traditional Decorative Patterns on the Maritime Silk Road”, Project No.: 20BG132; this work was supported by Research on the cultivation of innovation and entrepreneurship ability of industrial design undergraduates, a collaborative education project of industry university cooperation of the Ministry of Education, launched by Neimenggu Zhongguancun energy alliance Circular Industrial Park Co., Ltd. in 2020.
Institutional Review Board Statement
Not applicable.
Informed Consent Statement
Not applicable.
Data Availability Statement
The data that support the findings of this study are available from the corresponding author upon reasonable request.
Conflicts of Interest
The authors declare no conflict of interest.
References
- Wang, R. Computer-Aided Interaction of Visual Communication Technology and Art in New Media Scenes. Comput.-Aided Des. Appl. 2021, 19, 75–84. [Google Scholar] [CrossRef]
- Zhu, H. On the Teaching of Decorative Painting for the Major of Visual Communication Design. J. Landsc. Res. 2018, 10, 166–168. [Google Scholar]
- Cheng, Y. Application of art image generation method based on fractal theory in visual communication design. IPPTA Q. J. Indian Pulp Pap. Tech. Assoc. 2018, 30, 602–608. [Google Scholar]
- Shi, W. Design of web interface based on visual information communication. Rev. De La Fac. De Ing. 2017, 32, 679–684. [Google Scholar]
- Lagaeva, T.I.; Simak, A.I. The use of triz (tips) methods for the perception of the modern visual art. Art Des. 2021, 29–40. [Google Scholar] [CrossRef]
- Tang, Y.-C.; Huang, J.-J.; Yao, M.-T.; Wei, J.; Li, W.; He, Y.-X.; Li, Z.-J. A review of design intelligence: Progress, problems, and challenges. Front. Inf. Technol. Electron. Eng. 2019, 20, 1595–1617. [Google Scholar] [CrossRef]
- Ying, Z. Research on interactive media art communication system: Based on artificial intelligence. Agro Food Ind. Hi Tech. 2017, 28, 2477–2479. [Google Scholar]
- Arsovski, S.; Cheok, A.D.; Govindarajoo, K.; Salehuddin, N.; Vedadi, S. Artificial intelligence snapchat: Visual conversation agent. Appl. Intell. 2020, 50, 2040–2049. [Google Scholar] [CrossRef]
- Rosmiati, A. Aspects of visual communication design in animated learning media for early childhood and kindergarten. Int. J. Soc. Sci. 2020, 3, 122–126. [Google Scholar]
- Tjhin, S. Visual art and technology urban screen as a visual art and advertising area. Asia Proc. Soc. Sci. 2019, 5, 33–39. [Google Scholar] [CrossRef]
- Shade, L.R. Civic Media: Technology, Design, Practice. Can. J. Commun. 2019, 44, 289–291. [Google Scholar] [CrossRef]
- Elrabbaei, I. The Graphic Label Was Raised as a Visual Means of Communication to the Values and Behavior of the Individual. Art Hist. 2020, 8, 1–11. [Google Scholar] [CrossRef]
- Krishnan, V. Oppositional Designs: Examining How Racial Identity Informs the Critical Design of Art and Space. Commun. Cult. Crit. 2019, 12, 90–109. [Google Scholar]
- Wan, S.; Xia, Y.; Qi, L.; Yang, Y.H.; Atiquzzaman, M. Automated colorization of a grayscale image with seed points propagation. IEEE Trans. Multimed. 2020, 22, 1756–1768. [Google Scholar] [CrossRef]
- Zhang, C. Research on interface visual communication design based on virtual reality technology in paper manufacturing. Pap. Asia 2019, 2, 146–150. [Google Scholar]
- John, N.S. Australian Communication Design History: An Indigenous Retelling. J. Des. Hist. 2018, 31, 255–273. [Google Scholar]
- Sun, H. Innovative design of visual communication art in the context of new media. Agro Food Ind. Hi Tech 2017, 28, 2831–2833. [Google Scholar]
- Audiah, J.; Hananto, B.A. Redesain visual permainan kartu ‘the art of batik’. J. Bhs. Rupa 2019, 3, 9–21. [Google Scholar]
- Nikoli, J. Art and messages of visual merchandising. Tekst. Ind. 2019, 67, 52–57. [Google Scholar] [CrossRef]
- Mellah, H.; Mirjalili, S.M.; Zhang, X. Design optimisation of a waveguide-based LP01–LP0m mode converter by using artificial intelligence technique. Electron. Lett. 2018, 54, 703–705. [Google Scholar] [CrossRef]
- Li, Y. Intelligent Environmental Art Design Combining Big Data and Artificial Intelligence. Complexity 2021, 2021, 1606262. [Google Scholar] [CrossRef]
- Wijaya, H. Practice-Led Project as a Creative Method to Enhance Theoretical Knowledge in Art and Design Education. Adv. Sci. Lett. 2017, 23, 726–729. [Google Scholar] [CrossRef]
- Zou, X.; Tao, T. Dynamic Modeling and Simulation Analysis of Virtual Product Design and Creation Based on OSG Artificial Intelligence Platform. Discret. Dyn. Nat. Soc. 2022, 2022, 6214097. [Google Scholar] [CrossRef]
Disclaimer/Publisher’s Note: The statements, opinions and data contained in all publications are solely those of the individual author(s) and contributor(s) and not of MDPI and/or the editor(s). MDPI and/or the editor(s) disclaim responsibility for any injury to people or property resulting from any ideas, methods, instructions or products referred to in the content. |
© 2023 by the authors. Licensee MDPI, Basel, Switzerland. This article is an open access article distributed under the terms and conditions of the Creative Commons Attribution (CC BY) license (https://creativecommons.org/licenses/by/4.0/).









