Modeling and Investigation of Rear-Passivated Ultrathin CIGS Solar Cell
Abstract
:1. Introduction
2. Device Structure
3. Results and Discussion
3.1. Model Validation
3.2. Influence of Interface Trap Density (Dit)
3.3. Influence of Trap Density (Nt)
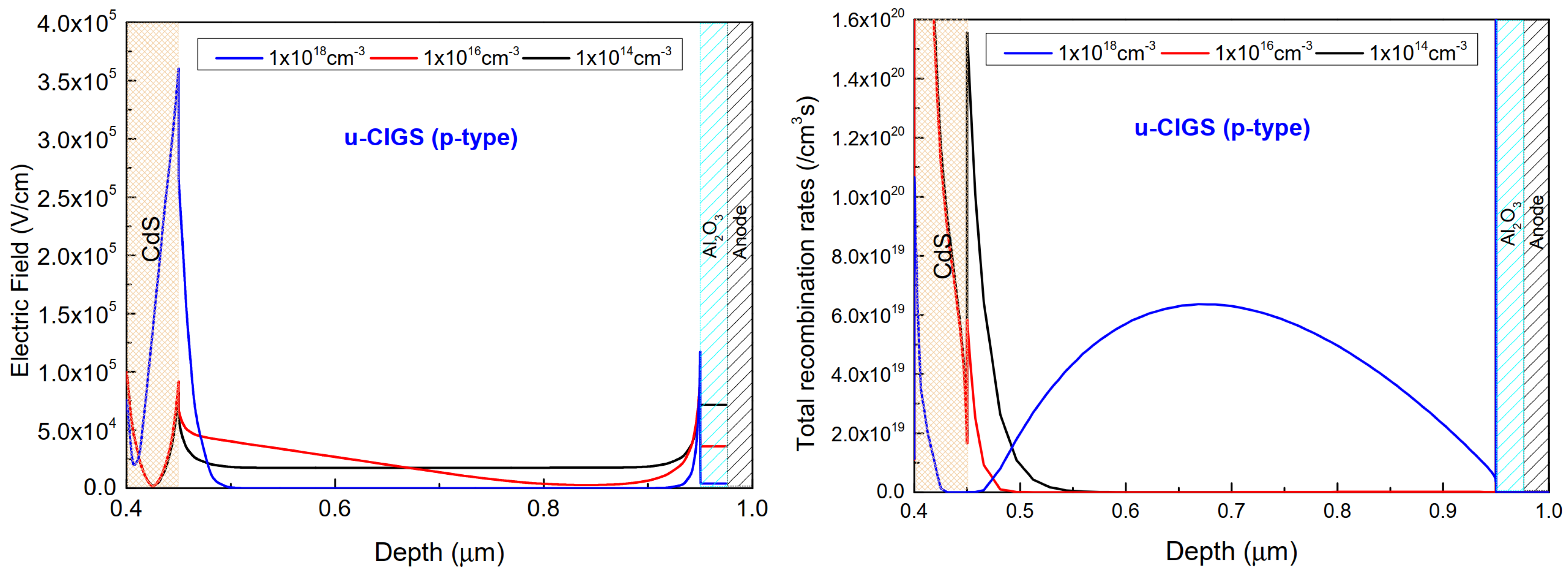
3.4. Influence of Absorber Doping Density
3.5. Strategies to Improve the Efficiency of u-CIGS Solar Cells
3.5.1. Impact of Ga-Concentration in u-CIGS Solar Cells
3.5.2. Impact of Stepped Bandgap Profile and Ga-Concentration in u-CIGS Solar Cells
3.5.3. Optimization of u-CIGS/C-Si PERT Tandem Solar Cell
4. Conclusions
Author Contributions
Funding
Data Availability Statement
Acknowledgments
Conflicts of Interest
References
- Lontchi, J.; Zhukova, M.; Kovacic, M.; Krc, J.; Chen, W.C.; Edoff, M.; Bose, S.; Salomé, P.M.; Goffard, J.; Cattoni, A.; et al. Optimization of Back Contact Grid Size in Al2O3-Rear-Passivated Ultrathin CIGS PV Cells by 2-D Simulations. IEEE J. Photovolt. 2020, 10, 1908–1917. [Google Scholar] [CrossRef]
- Boukortt, N.E.I.; Patanè, S.; Hadri, B.; Crupi, G. Graded Bandgap Ultrathin CIGS Solar Cells (Invited Paper). Electronics 2023, 12, 393. [Google Scholar] [CrossRef]
- Boukortt, N.E.I.; Adouane, M.; AlHammadi, R. High-performance ultrathin Cu(In,Ga)Se2 solar cell optimized by silvaco tools. Sol. Energy 2021, 228, 282–289. [Google Scholar] [CrossRef]
- Dhere, N.G. Toward GW/year of CIGS production within the next decade. Sol. Energy Mater. Sol. Cells 2007, 91, 1376–1382. [Google Scholar] [CrossRef]
- Edoff, M.; Schleussner, S.; Wallin, E.; Lundberg, O. Technological and economical aspects on the influence of reduced Cu(In,Ga)Se2 thickness and Ga grading for co-evaporated Cu(In,Ga)Se2 modules. Thin Solid Film. 2011, 519, 7530–7533. [Google Scholar] [CrossRef]
- Ochoa, M.; Buecheler, S.; Tiwari, A.N.; Carron, R. Challenges and opportunities for an efficiency boost of next generation Cu(In,Ga)Se2 solar cells: Prospects for a paradigm shift. Energy Environ. Sci. 2020, 13, 2047–2055. [Google Scholar] [CrossRef]
- Sravani, L.; Routray, S.; Courel, M.; Pradhan, K.P. Loss mechanisms in CZTS and CZTSe Kesterite thin-film solar cells: Understanding the complexity of defect density. Sol. Energy 2021, 227, 56–66. [Google Scholar] [CrossRef]
- Boukortt, N.E.I.; Hadri, B. Simulation of electrical characteristics of PERC solar cells. J. Electron. Mater. 2018, 47, 5825–5832. [Google Scholar] [CrossRef]
- Joel, J. Characterization of Al2O3 as CIGS Surface Passivation Layer in High-Efficiency CIGS Solar Cells. Master’s Thesis, Uppsala University, Uppsala, Sweden, 2014. [Google Scholar]
- Boukortt, N.E.I.; Patanè, S.; Adouane, M.; AlHammadi, R. Numerical optimization of ultrathin CIGS solar cells with rear surface passivation. Sol. Energy 2021, 220, 590–597. [Google Scholar] [CrossRef]
- Kotipalli, R.; Vermang, B.; Fjällström, V.; Edoff, M.; Delamare, R.; Flandre, D. Influence of Ga/(Ga+ In) grading on deep-defect states of Cu(In,Ga)Se2 solar cells. Phys. Status Solidi (RRL)—Rapid Res. Lett. 2015, 9, 157–160. [Google Scholar] [CrossRef]
- Kotipalli, R.; Vermang, B.; Joel, J.; Rajkumar, R.; Edoff, M.; Flandre, D. Investigating the electronic properties of Al2O3/Cu (In Ga)Se2 interface. AIP Adv. 2015, 5, 107101. [Google Scholar] [CrossRef]
- Birant, G.; Mafalda, J.; Scaffidi, R.; De Wild, J.; Buldu, D.; Kohl, T.; Brammertz, G.; Meuris, M.; Poortmans, J.; Vermang, B. Rear surface passivation of ultra-thin CIGS solar cells using atomic layer deposited HfOx. EPJ Photovolt. 2020, 11, 10. [Google Scholar] [CrossRef]
- Vermang, B.; Wätjen, J.T.; Frisk, C.; Fjällström, V.; Rostvall, F.; Edoff, M.; Salomé, P.; Borme, J.; Nicoara, N.; Sadewasser, S. Introduction of Si PERC Rear Contacting Design to Boost Efficiency of Cu(In,Ga)Se2 Solar Cells. IEEE J. Photovolt. 2014, 4, 1644–1649. [Google Scholar] [CrossRef]
- Vermang, B.; Rostvall, F.; Fjällström, V.; Edoff, M. Potential-induced optimization of ultra-thin rear surface passivated CIGS solar cells. Phys. Status Solidi (RRL)—Rapid Res. Lett. 2014, 8, 908–911. [Google Scholar] [CrossRef]
- Boukortt, N.E.I.; Patanè, S. Single junction-based thin-film CIGS solar cells optimization with efficiencies approaching 24.5%. Optik 2020, 218, 165240. [Google Scholar] [CrossRef]
- Cunha, J.M.; Rocha, C.; Vinhais, C.; Fernandes, P.A.; Salomé, P.M. Understanding the AC Equivalent Circuit Response of Ultrathin Cu(In,Ga)Se2 Solar Cells. IEEE J. Photovolt. 2019, 9, 1442–1448. [Google Scholar] [CrossRef]
- Bose, S.; Cunha, J.M.; Suresh, S.; De Wild, J.; Lopes, T.S.; Barbosa, J.R.; Silva, R.; Borme, J.; Fernandes, P.A.; Vermang, B.; et al. Optical lithography patterning of SiO2 layers for interface passivation of thin film solar cells. Sol. RRL 2018, 2, 1800212. [Google Scholar] [CrossRef]
- Cunha, J.M.V.; Fernandes, P.A.; Hultqvist, A.; Teixeira, J.P.; Bose, S.; Vermang, B.; Garud, S.; Buldu, D.; Gaspar, J.; Edoff, M.; et al. Insulator Materials for Interface Passivation of Cu(In,Ga)Se2 Thin Films. IEEE J. Photovolt. 2018, 8, 1313–1319. [Google Scholar] [CrossRef]
- Ledinek, D.; Salome, P.; Hägglund, C.; Zimmermann, U.; Edoff, M. Rear Contact Passivation for High Bandgap Cu(In,Ga)Se2 Solar Cells With a Flat Ga profile. IEEE J. Photovolt. 2018, 8, 864–870. [Google Scholar]
- Salome, P.M.; Vermang, B.; Ribeiro-Andrade, R.; Teixeira, J.P.; Cunha, J.M.; Mendes, M.J.; Haque, S.; Borme, J.; Aguas, H.; Fortunato, E.; et al. Passivation of interfaces in thin film solar cells: Understanding the effects of a nanostructured rear point contact layer. Adv. Mater. Interfaces 2018, 5, 1701101. [Google Scholar] [CrossRef]
- Goffard, J.; Colin, C.; Mollica, F.; Cattoni, A.; Sauvan, C.; Lalanne, P.; Guillemoles, J.F.; Naghavi, N.; Collin, S. Light trapping in ultrathin CIGS solar cells with nanostructured back mirrors. IEEE J. Photovolt. 2017, 7, 1433–1441. [Google Scholar] [CrossRef]
- Boukortt, N.E.I.; AlAmri, A.M.; Bouhjar, F.; Bouhadiba, K. Investigation and optimization of ultrathin Cu(In,Ga)Se2 solar cells by using silvaco-TCAD tools. J. Mater. Sci. Mater. Electron. 2021, 32, 21525–21538. [Google Scholar] [CrossRef]
- Yun, S.; Qin, Y.; Uhl, A.R.; Vlachopoulos, N.; Yin, M.; Li, D.; Han, X.; Hagfeldt, A. New-generation integrated devices based on dye-sensitized and perovskite solar cells. Energy Environ. Sci. 2018, 11, 476–526. [Google Scholar]
- Jacobsson, T.J.; Hultqvist, A.; Svanström, S.; Riekehr, L.; Cappel, U.B.; Unger, E.; Rensmo, H.; Johansson, E.M.; Edoff, M.; Boschloo, G. 2-Terminal CIGS-perovskite tandem cells: A layer by layer exploration. Sol. Energy 2020, 207, 270–288. [Google Scholar] [CrossRef]
- Boukortt, N.E.I.; Patanè, S.; Loureiro, A.G.; AlAmri, A.M.; Abdulraheem, Y.M.; Lenka, T.R.; Paul, R.; Abushattal, A. Electrical and Optical Investigation of 2T-Perovskite/u-CIGS Tandem Solar Cells with ~30% Efficiency. IEEE Trans. Electron Devices 2022, 69, 3798–3806. [Google Scholar] [CrossRef]
- Benick, J.; Steinhauser, B.; Müller, R.; Bartsch, J.; Kamp, M.; Mondon, A.; Richter, A.; Hermle, M.; Glunz, S. High efficiency n-type PERT and PERL solar cells. In Proceedings of the 2014 IEEE 40th Photovoltaic Specialist Conference (PVSC), Denver, CO, USA, 8–13 June 2014; pp. 3637–3640. [Google Scholar]
- de Wild, J.; Scaffidi, R.; Brammertz, G.; Birant, G.; Vermang, B. Dielectric Front Passivation for Cu(In,Ga)Se2 Solar Cells: Status and Prospect. Adv. Energy Sustain. Res. 2022, 2200132. [Google Scholar] [CrossRef]
- Li, P.; Xiong, H.; Lin, L.; Jiang, L.; Kang, Z.; Yan, Q.; Lien, S.Y.; Chen, H.; Qiu, Y. Modeling and simulation of bifacial perovskite/PERT-silicon tandem solar cells. Sol. Energy 2021, 227, 292–302. [Google Scholar] [CrossRef]





















| PV Parameters | This Work Pass. Qf = −1 × 1012 cm−2 | Ref. Cell [1] Qf = −1 × 1012 cm−2 |
|---|---|---|
| J0 (mA/cm2) | 3.85 × 10−6 | 2.01 × 10−6 |
| Jsc (mA/cm2) | 26.97 | 26.79 |
| Voc (mV) | 632.42 | 661.58 |
| Pmax (W/m2) | 250.32 | - |
| FF (%) | 73.36 | 71.54 |
| η (%) | 12.51 | 12.68 |
| PV Parameters | 1 × 1013 cm−3 | 1 × 1016 cm−3 | 5 × 1016 cm−3 | 1 × 1017 cm−3 |
|---|---|---|---|---|
| Jsc (mA/cm2) | 26.97 | 25.57 | 24.74 | 23.91 |
| Voc (mV) | 632.40 | 512.65 | 429.67 | 395.48 |
| Pmax (W/m2) | 249.77 | 167.81 | 125.28 | 95.34 |
| FF (%) | 73.22 | 63.99 | 58.91 | 50.40 |
| η (%) | 12.48 | 8.39 | 6.26 | 4.76 |
| PV Parameters | Opt. Cell with ARC | Opt. Cell w/o ARC | Opt. Pass. w/o Qf | Ref. [1] Pass. with −Qf | Ref. [10] Pass. with −Qf |
|---|---|---|---|---|---|
| Jsc (mA/cm2) | 30.47 | 28.44 | 27.17 | 26.79 | 28.56 |
| Voc (mV) | 615.04 | 613.22 | 584.63 | 661.58 | 625.5 |
| Pmax (W/m2) | 209.81 | 196.09 | 170.81 | - | - |
| FF (%) | 74.62 | 74.95 | 71.66 | 71.54 | 74.85 |
| η (%) | 14 | 13.07 | 11.38 | 12.68 | 13.37 |
| Cell | Absorber Thickness | Eg (eV) | Jsc (mA/cm2) | Voc (V) | FF (%) | η (%) |
|---|---|---|---|---|---|---|
| Optimized pass. u-CIGS cell | 500 nm | 1.15 | 30.47 | 0.615 | 74.62 | 14 |
| Optimized pass. u-CIGS cell (Thickness for graded Bandgap) | 500 nm | 1.6 eV/1.3 eV/1.15 eV | 21.56 | 1.012 | 70.74 | 15.45 |
| Optimized pass. u-CIGS cell (Graded Bandgap Eg1 > Eg2 > Eg3) | 500 nm | 1.6 eV/1.46 eV/1.15 eV | 22.22 | 1.026 | 72.95 | 16.63 |
| Optimized pass. u-CIGS cell (Graded Bandgap Eg1 < Eg2 < Eg3) | 500 nm | 1.15 eV/1.46 eV/1.6 eV | 29.11 | 0.733 | 75.74 | 16.18 |
| C-Si PERT cell untextured | 180 μm | 1.124 | 36.45 | 0.693 | 83.36 | 21.07 |
| C-Si PERT cell textured [28] | ~180 μm | - | 40.9 | 0.691 | 83.8 | 22.7 |
| u-CIGS top cell | 500 nm | 1.6 | 29.65 | 1.070 | 79.58 | 25.27 |
| C-Si PERT filtered by top cell | 100 μm | 1.124 | 9.05 | 0.633 | 25.04 | 1.43 |
| Our previous work [26] Perovskite/u-CIGS Tandem cell | 500 nm/600 nm | 1.6/1.15 | 20.89 | 1.708 | 85.05 | 30.36 |
| u-CIGS/C-Si Tandem cell | 500 nm/180 μm | 1.6/1.124 | 19.98 | 1.749 | 85.57 | 29.93 |
Disclaimer/Publisher’s Note: The statements, opinions and data contained in all publications are solely those of the individual author(s) and contributor(s) and not of MDPI and/or the editor(s). MDPI and/or the editor(s) disclaim responsibility for any injury to people or property resulting from any ideas, methods, instructions or products referred to in the content. |
© 2023 by the authors. Licensee MDPI, Basel, Switzerland. This article is an open access article distributed under the terms and conditions of the Creative Commons Attribution (CC BY) license (https://creativecommons.org/licenses/by/4.0/).
Share and Cite
Boukortt, N.E.I.; Patanè, S.; Adouane, M. Modeling and Investigation of Rear-Passivated Ultrathin CIGS Solar Cell. Electronics 2023, 12, 758. https://doi.org/10.3390/electronics12030758
Boukortt NEI, Patanè S, Adouane M. Modeling and Investigation of Rear-Passivated Ultrathin CIGS Solar Cell. Electronics. 2023; 12(3):758. https://doi.org/10.3390/electronics12030758
Chicago/Turabian StyleBoukortt, Nour El I., Salvatore Patanè, and Mabrouk Adouane. 2023. "Modeling and Investigation of Rear-Passivated Ultrathin CIGS Solar Cell" Electronics 12, no. 3: 758. https://doi.org/10.3390/electronics12030758
APA StyleBoukortt, N. E. I., Patanè, S., & Adouane, M. (2023). Modeling and Investigation of Rear-Passivated Ultrathin CIGS Solar Cell. Electronics, 12(3), 758. https://doi.org/10.3390/electronics12030758

