A Monostable Physically Unclonable Function Based on Improved RCCMs with 0–1.56% Native Bit Instability at 0.6–1.2 V and 0–75 °C
Abstract
1. Introduction
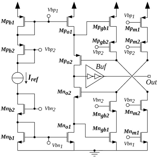
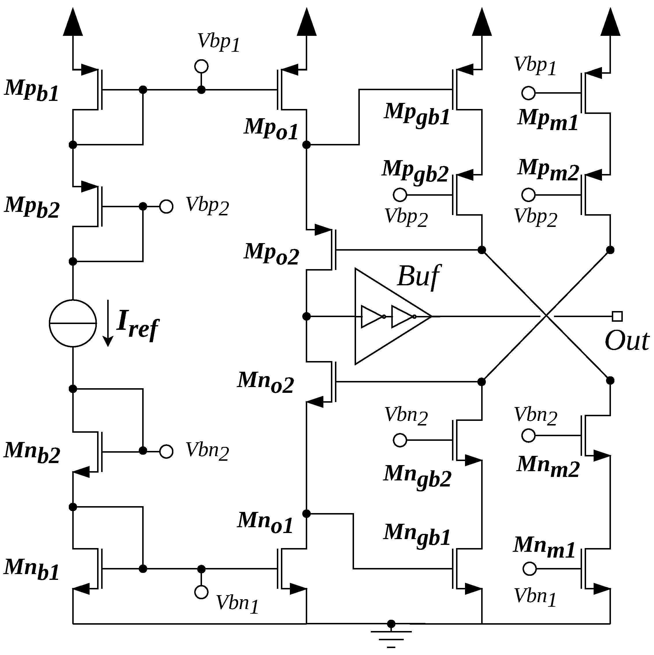
2. Proposed PUF Architecture
- The bit cell operates with an explicit reference current which accurately sets the operating point (, ) of the reference branch. Therefore, under environmental variations, the generated key result is more reliable, and the power consumption is very stable and easy to predict;
- The output resistance of the RCCM has been increased by implementing gain boosting amplifiers with a gain approximately equal to , thus reducing the minimum current offset which the topology requires to completely unbalance the output node to one of the supply rails (i.e., to 0 or ).
3. IRCCM-PUF Implementation
3.1. PUF Design
3.2. Design Flow and Interfacement
4. Measurement Results
4.1. Bias and Nominal Behavior of Keys
4.2. Uniqueness and Nominal Reliability
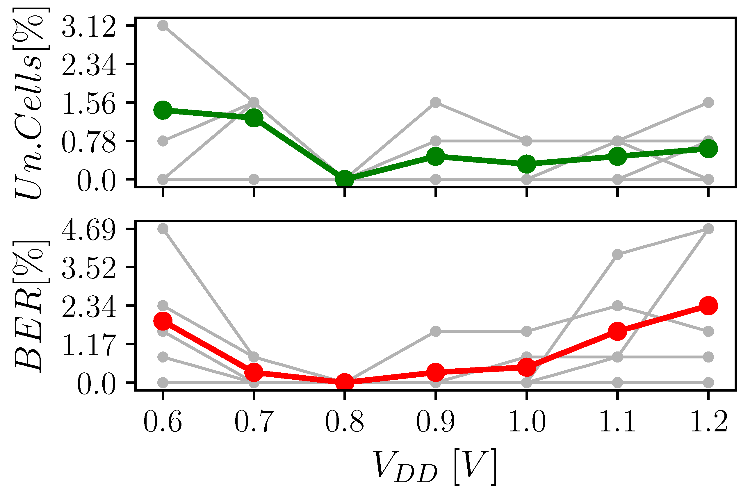
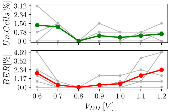
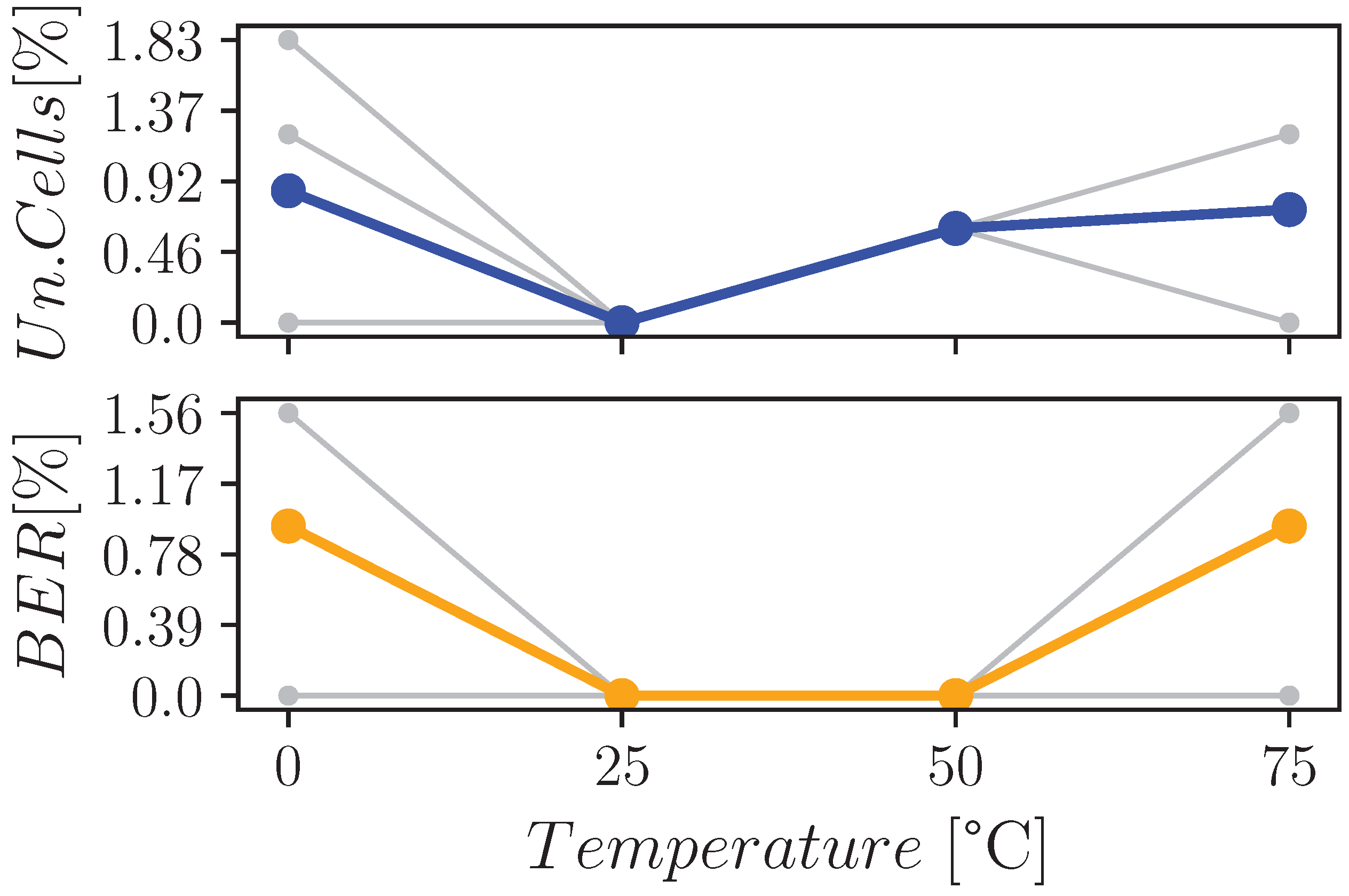
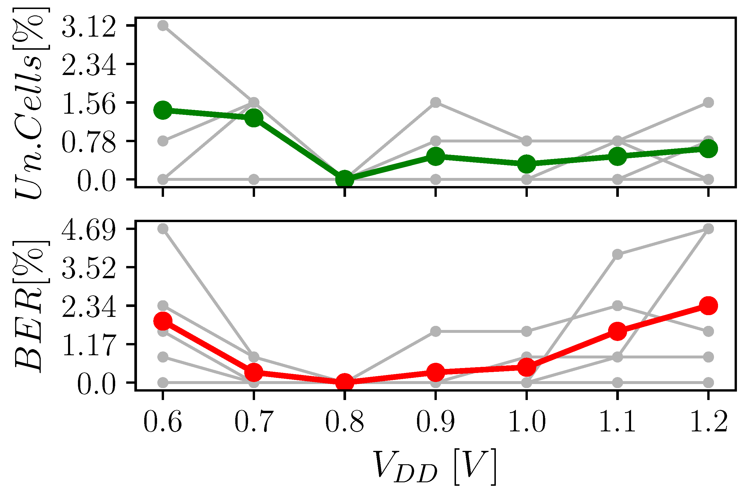
4.3. Reliability under Voltage and Temperature Variations
4.4. Randomness Validation
5. Figures of Merit and Performance Evaluation Metrics
6. Comparison with the State-of-the-Art
7. Conclusions
Author Contributions
Funding
Informed Consent Statement
Data Availability Statement
Conflicts of Interest
References
- Della Sala, R.; Bellizia, D.; Scotti, G. A Lightweight FPGA Compatible Weak-PUF Primitive Based on XOR Gates. IEEE Trans. Circuits Syst. II 2022, 69, 2972–2976. [Google Scholar] [CrossRef]
- Gassend, B.; Clarke, D.; van Dijk, M.; Devadas, S. Silicon physical random functions. In CCS ’02: Proceedings of the 9th ACM Conference on Computer and Communications Security; Association for Computing Machinery: New York, NY, USA, 2002; pp. 148–160. [Google Scholar] [CrossRef]
- Alvarez, A.B.; Zhao, W.; Alioto, M. Static Physically Unclonable Functions for Secure Chip Identification with 1.9–5.8% Native Bit Instability at 0.6–1 V and 15 fJ/bit in 65 nm. IEEE J. Solid-State Circuits 2016, 51, 763–775. [Google Scholar]
- Della Sala, R.; Bellizia, D.; Scotti, G. A Novel Ultra-Compact FPGA PUF: The DD-PUF. Cryptography 2021, 5, 23. [Google Scholar] [CrossRef]
- Sala, R.D.; Scotti, G. The DD-Cell: A Double Side Entropic Source exploitable as PUF and TRNG. In Proceedings of the 2022 17th Conference on Ph.D Research in Microelectronics and Electronics (PRIME), Villasimius, Italy, 12–15 June 2022; pp. 353–356. [Google Scholar]
- Liu, C.Q.; Cao, Y.; Chang, C.H. ACRO-PUF: A Low-power, Reliable and Aging-Resilient Current Starved Inverter-Based Ring Oscillator Physical Unclonable Function. IEEE Trans. Circ. Syst. I 2017, 64, 3138–3149. [Google Scholar] [CrossRef]
- Cao, Y.; Zhang, L.; Chang, C.H.; Chen, S. A Low-Power Hybrid RO PUF with Improved Thermal Stability for Lightweight Applications. IEEE Trans. Comput. Aided Des. Integr. Circuits Syst. 2015, 34, 1143–1147. [Google Scholar]
- Rahman, M.T.; Forte, D.; Fahrny, J.; Tehranipoor, M. ARO-PUF: An aging-resistant ring oscillator PUF design. In Proceedings of the In 2014 Design, Automation & Test in Europe Conference & Exhibition (DATE), Dresden, Germany, 24–28 March 2014; pp. 24–28. [Google Scholar]
- Lee, J.W.; Lim, D.; Gassend, B.; Suh, G.E.; van Dijk, M.; Devadas, S. A technique to build a secret key in integrated circuits for identification and authentication applications. In Proceedings of the 2004 Symposium on VLSI Circuits. Digest of Technical Papers (IEEE Cat. No.04CH37525), Honolulu, HI, USA, 17–19 June 2004; pp. 176–179. [Google Scholar] [CrossRef]
- Sahoo, D.P.; Mukhopadhyay, D.; Chakraborty, R.S.; Nguyen, P.H. A Multiplexer-Based Arbiter PUF Composition with Enhanced Reliability and Security. IEEE Trans. Comput. 2017, 67, 403–417. [Google Scholar] [CrossRef]
- Zhou, C.; Parhi, K.K.; Kim, C.H. Secure and Reliable XOR Arbiter PUF Design: An Experimental Study based on 1 Trillion Challenge Response Pair Measurements. In DAC ’17: Proceedings of the 54th Annual Design Automation Conference 2017; Association for Computing Machinery: New York, NY, USA, 2017; pp. 1–6. [Google Scholar] [CrossRef]
- Majzoobi, M.; Koushanfar, F.; Devadas, S. FPGA PUF using programmable delay lines. In Proceedings of the 2010 IEEE International Workshop on Information Forensics and Security, Seattle, WA, USA, 12–15 December 2010; pp. 12–15. [Google Scholar]
- Machida, T.; Yamamoto, D.; Iwamoto, M.; Sakiyama, K. A new mode of operation for arbiter PUF to improve uniqueness on FPGA. In Proceedings of the 2014 Federated Conference on Computer Science and Information Systems, Warsaw, Poland, 7–10 September 2014; pp. 7–10. [Google Scholar] [CrossRef]
- Fruhashi, K.; Shiozaki, M.; Fukushima, A.; Murayama, T.; Fujino, T. The arbiter-PUF with high uniqueness utilizing novel arbiter circuit with Delay-Time Measurement. In Proceedings of the 2011 IEEE International Symposium of Circuits and Systems (ISCAS), Rio de Janeiro, Brazil, 15–18 May 2011; pp. 15–18. [Google Scholar] [CrossRef]
- Paral, Z.; Devadas, S. Reliable and efficient PUF-based key generation using pattern matching. In Proceedings of the 2011 IEEE International Symposium on Hardware-Oriented Security and Trust, San Diego, CA, USA, 5–6 June 2011; pp. 5–6. [Google Scholar] [CrossRef]
- Serrano, R.; Duran, C.; Sarmiento, M.; Dang, T.K.; Hoang, T.T.; Pham, C.K. A Unified PUF and Crypto Core Exploiting the Metastability in Latches. Future Internet 2022, 14, 298. [Google Scholar] [CrossRef]
- Bossuet, L.; Ngo, X.T.; Cherif, Z.; Fischer, V. A PUF Based on a Transient Effect Ring Oscillator and Insensitive to Locking Phenomenon. IEEE Trans. Emerging Top. Comput. 2013, 2, 30–36. [Google Scholar] [CrossRef]
- Habib, B.; Kaps, J.P.; Gaj, K. Efficient SR-Latch PUF. In Applied Reconfigurable Computing; Springer: Cham, Switzerland, 2015; pp. 205–216. [Google Scholar] [CrossRef]
- Yamamoto, D.; Sakiyama, K.; Iwamoto, M.; Ohta, K.; Ochiai, T.; Takenaka, M.; Itoh, K. Uniqueness Enhancement of PUF Responses Based on the Locations of Random Outputting RS Latches. In Cryptographic Hardware and Embedded Systems—CHES 2011; Springer: Berlin, Germany, 2011; pp. 390–406. [Google Scholar] [CrossRef]
- Yang, K.; Dong, Q.; Blaauw, D.; Sylvester, D. 14.2 A physically unclonable function with BER <10-8 for robust chip authentication using oscillator collapse in 40nm CMOS. In Proceedings of the 2015 IEEE International Solid-State Circuits Conference-(ISSCC) Digest of Technical Papers, San Francisco, CA, USA, 22–26 February 2015; pp. 1–3. [Google Scholar]
- Mathew, S.K.; Satpathy, S.K.; Anders, M.A.; Kaul, H.; Hsu, S.K.; Agarwal, A.; Chen, G.K.; Parker, R.J.; Krishnamurthy, R.K.; De, V. 16.2 A 0.19pJ/b PVT-variation-tolerant hybrid physically unclonable function circuit for 100% stable secure key generation in 22nm CMOS. In Proceedings of the 2014 IEEE International Solid-State Circuits Conference Digest of Technical Papers (ISSCC), San Francisco, CA, USA, 9–13 February 2014; pp. 278–279. [Google Scholar]
- Shifman, Y.; Miller, A.; Keren, O.; Weizmann, Y.; Shor, J. A Method to Improve Reliability in a 65-nm SRAM PUF Array. IEEE Solid-State Circuits Lett. 2018, 1, 138–141. [Google Scholar] [CrossRef]
- Taneja, S.; Alvarez, A.B.; Alioto, M. Fully Synthesizable PUF Featuring Hysteresis and Temperature Compensation for 3.2% Native BER and 1.02 fJ/b in 40 nm. IEEE J. Solid-State Circuits 2018, 53, 2828–2839. [Google Scholar] [CrossRef]
- Vatalaro, M.; De Rose, R.; Lanuzza, M.; Crupi, F. Static CMOS Physically Unclonable Function Based on 4T Voltage Divider with 0.6%–1.5% Bit Instability at 0.4–1.8 V Operation in 180 nm. IEEE J. Solid-State Circuits 2022, 57, 2509–2520. [Google Scholar] [CrossRef]
- Zhao, Q.; Wu, Y.; Zhao, X.; Cao, Y.; Chang, C.H. A 1036-F2/Bit High Reliability Temperature Compensated Cross-Coupled Comparator-Based PUF. IEEE Trans. Very Large Scale Integr. VLSI Syst. 2020, 28, 1449–1460. [Google Scholar] [CrossRef]
- Asghari, M.; Guzman, M.; Maghari, N. Cross-Coupled Impedance-Based Physically Unclonable Function (PUF) with 1.06% Native Instability. IEEE Solid-State Circuits Lett. 2020, 3, 282–285. [Google Scholar] [CrossRef]
- Zhao, X.; Gan, P.; Zhao, Q.; Liang, D.; Cao, Y.; Pan, X.; Bermak, A. A 124 fJ/Bit Cascode Current Mirror Array Based PUF with 1.50% Native Unstable Bit Ratio. IEEE Trans. Circ. Syst. I 2019, 66, 3494–3503. [Google Scholar] [CrossRef]
- Yang, K.; Dong, Q.; Blaauw, D.; Sylvester, D. 8.3 A 553F2 2-transistor amplifier-based Physically Unclonable Function (PUF) with 1.67% native instability. In Proceedings of the 2017 IEEE International Solid-State Circuits Conference (ISSCC), San Francisco, CA, USA, 5–9 February 2017; pp. 146–147. [Google Scholar]
- Della Sala, R.; Bellizia, D.; Scotti, G. A Novel Ultra-Compact FPGA-Compatible TRNG Architecture Exploiting Latched Ring Oscillators. IEEE Trans. Circuits Syst. II 2021, 69, 1672–1676. [Google Scholar] [CrossRef]
- Della Sala, R.; Bellizia, D.; Scotti, G. High-Throughput FPGA-Compatible TRNG Architecture Exploiting Multistimuli Metastable Cells. IEEE Trans. Circ. Syst. I 2022, 69, 4886–4897. [Google Scholar] [CrossRef]
- Satpathy, S.; Mathew, S.K.; Suresh, V.; Anders, M.A.; Kaul, H.; Agarwal, A.; Hsu, S.K.; Chen, G.; Krishnamurthy, R.K.; De, V.K. A 4-fJ/b Delay-Hardened Physically Unclonable Function Circuit with Selective Bit Destabilization in 14-nm Trigate CMOS. IEEE J. Solid-State Circuits 2017, 52, 940–949. [Google Scholar] [CrossRef]










| W [nm] | 0.735 | 3·0.625 | 4·0.420 | 4· 1.065 | 0.735 | 0.620 | 0.730 | 3·0.62 |
| W [nm] | 0.730 | 3·0.620 | 4·0.420 | 4· 1.065 | 4·0.420 | 4·1.060 | 4· 0.420 | 4· 1.060 |
| NIST Test | Stream Length | p-Value | Result |
|---|---|---|---|
| Frequency | 2688 | 0.1897 | ✓ |
| Frequency block | 2688 | 0.4081 | ✓ |
| Runs | 2688 | 0.2948 | ✓ |
| Longest Run | 2688 | 0.6436 | ✓ |
| DTFT | 2688 | 0.2724 | ✓ |
| Non Overlapping | 2688 | 0.5445 | ✓ |
| Serial | 2688 (m = 9) | 0.8631 | ✓ |
| Approximate Entropy | 2688 (m = 6) | 0.7702 | ✓ |
| Cumulative Sum | 2688 | 0.0481 | ✓ |
| This Work | [21] | [27] | [31] | [28] | [23] | [3] | |
|---|---|---|---|---|---|---|---|
| Technology [nm] | 130 | 22 | 65 | 14 | 180 | 40 | 65 |
| Area/bit [ µm] | 72.03 | 4.66 | 12.91 | 158.94 | 13.22 | 61.58 | 86.4 |
| F @130nm | |||||||
| Area/bit normalized | 4262.13 | 9628.10 | 764 | 9404.73 | 782.25 | 3643.79 | 5114.79 |
| Typ [V] | 0.8 | 0.9 | 1.20 | 0.65 | 0.8 | 0.9 | 1 |
| range [V] | [0.6–1.2] | [0.7–0.9] | [0.95, 1.30] | [0.55–0.75] | [0.8–1.8] | [0.6–1.2] | [0.6–1] |
| T Range [°C] | [0, 75] | [25, 50] | [−40, 120] | - | [−40, 120] | [−40, 125] | [25, 85] |
| Energy/bit (fj/bit) | 5.36 | 13 | 124 | 4 | 1.71 | 1.02 | 15 |
| Un. Bits | 0.586 | 5 | 1.50 | 26.8 | 1.73 | 2.55 | 2.34 |
| in Typ. Condition | |||||||
| number of evaluation | 500 | 5k | 500 | - | 2000 | 500 | 400 |
| # Bits | 128 | 256 | 1 | 128 | 1024 | 3000 | 256 |
| Entropy | 0.99984 | 0.997 | - | 0.99993 | - | 0.9972 | 0.9967 |
| ACF @ 95% c.l. | 0.025 | 0.088 | 0.019 | - | 0.017 | 0.007 | 0.036 |
| 0.491 | 0.97 | - | 3.4 | 0.18 | 0.49 | 0.861 | |
| 50.12 | 49.00 | 49.94 | 48.60 | 49.80 | 49.07 | 50.14 | |
| 16.97 | 1.03 | 18.32 | 0.21 | 27.78 | 2.19 | 8.30 | |
| 3.98 | 0.10 | 2.40 | 2.23 | 3.55 | 6.02 | 1.62 | |
| 0.49 | 0.97 | 16.97 | 1.46 | 0.18 | 2.38 | - | |
| 3.12 | - | 5.62 | 9.75 | 3.36 | 4.34 | - | |
| 0.35 | - | 0.46 | 0.95 | 0.62 | 0.94 | - | |
| 3.18 | - | 5.64 | 9.90 | 3.42 | 5.04 | - | |
| 0.856 | 5 | 1.50 | - | 1.70 | 3.48 | 1.88 | |
| 2.08 | - | - | - | 3.48 | 9.00 | 8.83 | |
| 1.25 | - | - | - | 4.20 | 15.75 | 10.75 | |
| 2.57 | - | - | - | 5.71 | 18.47 | 14.03 |
Disclaimer/Publisher’s Note: The statements, opinions and data contained in all publications are solely those of the individual author(s) and contributor(s) and not of MDPI and/or the editor(s). MDPI and/or the editor(s) disclaim responsibility for any injury to people or property resulting from any ideas, methods, instructions or products referred to in the content. |
© 2023 by the authors. Licensee MDPI, Basel, Switzerland. This article is an open access article distributed under the terms and conditions of the Creative Commons Attribution (CC BY) license (https://creativecommons.org/licenses/by/4.0/).
Share and Cite
Della Sala, R.; Bellizia, D.; Centurelli, F.; Scotti, G. A Monostable Physically Unclonable Function Based on Improved RCCMs with 0–1.56% Native Bit Instability at 0.6–1.2 V and 0–75 °C. Electronics 2023, 12, 755. https://doi.org/10.3390/electronics12030755
Della Sala R, Bellizia D, Centurelli F, Scotti G. A Monostable Physically Unclonable Function Based on Improved RCCMs with 0–1.56% Native Bit Instability at 0.6–1.2 V and 0–75 °C. Electronics. 2023; 12(3):755. https://doi.org/10.3390/electronics12030755
Chicago/Turabian StyleDella Sala, Riccardo, Davide Bellizia, Francesco Centurelli, and Giuseppe Scotti. 2023. "A Monostable Physically Unclonable Function Based on Improved RCCMs with 0–1.56% Native Bit Instability at 0.6–1.2 V and 0–75 °C" Electronics 12, no. 3: 755. https://doi.org/10.3390/electronics12030755
APA StyleDella Sala, R., Bellizia, D., Centurelli, F., & Scotti, G. (2023). A Monostable Physically Unclonable Function Based on Improved RCCMs with 0–1.56% Native Bit Instability at 0.6–1.2 V and 0–75 °C. Electronics, 12(3), 755. https://doi.org/10.3390/electronics12030755

