ATS-YOLOv7: A Real-Time Multi-Scale Object Detection Method for UAV Aerial Images Based on Improved YOLOv7
Abstract
:1. Introduction
- A feature pyramid network, AF-FPN, composed of an adaptive attention module (AAM) and a feature enhancement module (FEM), is introduced into the YOLOv7 architecture. On one hand, AF-FPN reduces the information loss caused by the reduction in the number of feature channels during the convolutional mapping process through the AAM. On the other hand, it strengthens the feature representation during the sampling process through the FEM. The introduction of AF-FPN can effectively improve the model’s detection accuracy and speed for multi-scale objects.
- This article adds a detection route based on the transformer encoder module on the basis of YOLOv7. The four-head detection structure of this module can effectively alleviate the negative impact caused by a drastic change of object scale, strengthen the feature perception ability of the network for dense and small targets, and greatly improve the detection performance of the network.
- A new loss function, SIoU, is introduced into the algorithm to improve the positioning loss defect of the YOLOv7 loss function, CIoU. SIoU enables the network to fully consider the difference in overlapping area size and angle loss between the ground truth box and the prediction box when regressing. The improved model can accelerate the convergence speed and improve the detection accuracy of occluded objects during training.
- The detection performance of each model on the data set was compared through ablation experiments, SOTA (state-of-the-art) experiments, and real-time comparison experiments, and ATS-YOLOv7 was verified to have a rational combination of modules and efficient detection performance through a balance analysis of precision and speed.
2. Related Works
2.1. YOLO (You Only Look Once) Algorithm
2.2. Aerial Object Detection
2.3. Transformer for Object Detection
2.4. Loss Function
3. Methods
3.1. Overview of the Proposed Method
3.2. Improved YOLOv7 Network Model (ATS-YOLOv7)
3.2.1. AF-FPN Block
3.2.2. Prediction Head Based on Transformer Encoder
3.2.3. Improved Loss Function: SIoU
4. Experiments and Results
4.1. Experimental Platform and Parameter Settings
4.2. Data Set
- ➢
- The scale of aerial data is large. UAVs collect a large amount of image data during the execution of aerial photography missions. If the detection model lacks a large amount of data support during the training period and there is not enough data to optimize a large number of parameters, the trained model will not have high generalization ability or robustness.
- ➢
- The types of objects are comprehensive, and there may be many types of objects in aerial images. On one hand, in terms of the object scale, large, medium, and small objects will exist in the image; on the other hand, in terms of object types, aerial objects are varied, including objects such as ships, courts, cars, bridges, and so on. The consideration of comprehensive object types is conducive to training an efficient detection model.
- ➢
- High-quality aerial images. The need for high-quality images can be viewed from two aspects. First, high-quality images provide good texture details and high resolution. Second, images collected in complex environments or with insufficiently performing cameras may suffer from complex backgrounds and blurred images, due to rain and snow weather, fuselage jitter, and so on. This type of image makes the model training closer to the real scene, so they can also be called high-quality. In this article, we also focus on the statistics of these types of images.
4.3. Evaluation Metrics
4.4. Experiment and Results Analysis
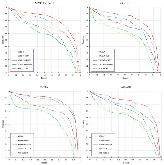
4.4.1. Precision–Recall Rate Experiment
4.4.2. Ablation Experiment
4.4.3. Comparison with the State-of-the-Art
5. Conclusions
Author Contributions
Funding
Data Availability Statement
Conflicts of Interest
References
- Lin, Y.T.; Kan, Y.H.; Han, J.Y. Efficient Approach for Autonomous Facility Inspection Using UAV Images. Infrastruct. Syst. 2022, 28, 04022001. [Google Scholar] [CrossRef]
- Watanabe, J.-I.; Ren, S.; Zhao, Y.; Yamamoto, T. Power line-tree conflict detection and 3D mapping using aerial images taken from UAV. In Proceedings of the SPIE Defense + Security Conference 2018, Orlando, FL, USA, 16–18 April 2018. [Google Scholar]
- Lin, M.; Chen, Y.; Han, R.; Chen, Y. Discrete Optimization on Truck-Drone Collaborative Transportation System for Delivering Medical Resources. Discret. Dyn. Nat. Soc. 2022, 2022, 1811288. [Google Scholar] [CrossRef]
- Pietikinen, M.; Silven, O. Challenges of Artificial Intelligence–From Machine Learning and Computer Vision to Emotional Intelligence. arXiv 2022, arXiv:2201.01466. [Google Scholar]
- Corti, M.; Cavalli, D.; Cabassi, G.; Vigoni, A.; Degano, L.; Marino Gallina, P. Application of a low-cost camera on a UAV to estimate maize nitrogen-related variables. Precis. Agric. 2019, 20, 675–696. [Google Scholar] [CrossRef]
- Caccetta, P.; Collings, S.; Devereux, A.; Hingee, K.; Mcfarlane, D.; Traylen, A.; Wu, X.; Zhou, Z. Urban Monitor: Enabling Effective Monitoring and Management of Urban and Coastal Environments Using Digital Aerial Photography. Available online: https://publications.csiro.au/publications/publication/PIcsiro:EP129592/SQUrban%20Monitor%3A%20Enabling%20effective%20monitoring%20and%20management%20of%20urban%20and%20coastal%20environments%20using%20digital%20aerial%20photography/RP1/RS25/RORECENT/STsearch-by-keyword/LISEA/RI1/RT1 (accessed on 1 December 2023).
- Pan, Q.; Wang, J.; Yu, H.; Zhang, W.; Yue, P. The Application of Image Processing in UAV Reconnaissance Information Mining System. In Proceedings of the International Conference on Sensing and Imaging 2018, Liuzhou, China, 15–18 October 2018; Springer: Cham, Switzerland, 2019. [Google Scholar] [CrossRef]
- Behera, T.K.; Bakshi, S.; Sa, P.K. A Lightweight Deep Learning Architecture for Vegetation Segmentation using UAV-captured Aerial Images. Sustain. Comput. Inform. Syst. 2023, 37, 100841. [Google Scholar] [CrossRef]
- Fu, L.; Gu, W.-B.; Li, W.; Chen, L.; Ai, Y.-B.; Wang, H.-L. Bidirectional parallel multi-branch convolution feature pyramid network for object detection in aerial images of swarm UAVs. Def. Technol. 2021, 17, 11. [Google Scholar] [CrossRef]
- Shen, S.R.; Zhang, X.; Yan, W.; Xie, S.; Yu, B.; Wang, S. An improved UAV object detection algorithm based on ASFF-YOLOv5s. Math. Biosci. Eng. MBE 2023, 20, 10773–10789. [Google Scholar] [CrossRef] [PubMed]
- Hou, X.; Zhang, K.; Xu, J.; Xu, H. Object Detection in Drone Imagery via Sample Balance Strategies and Local Feature Enhancement. Appl. Sci. 2021, 8, 3547. [Google Scholar] [CrossRef]
- Albaba, B.M.; Ozer, S. SyNet: An Ensemble Network for Object Detection in UAV Images. In Proceedings of the 2020 25th International Conference on Pattern Recognition (ICPR), Milan, Italy, 10–15 January 2021; IEEE: Piscataway, NJ, USA, 2021. [Google Scholar] [CrossRef]
- Xu, C.; Wang, J.; Yang, W.; Yu, H.; Yu, L.; Xia, G.S. Detecting tiny objects in aerial images: A normalized Wasserstein distance and a new benchmark. ISPRS J. Photogramm. Remote Sens. 2022, 190, 79–93. [Google Scholar] [CrossRef]
- Ming, Q.; Miao, L.; Zhou, Z.; Song, J.; Dong, Y.; Yang, X. Task interleaving and orientation estimation for high-precision oriented object detection in aerial images. ISPRS J. Photogramm. Remote Sens. 2023, 196, 241–255. [Google Scholar] [CrossRef]
- Zhang, P.; Wang, C.; Aujla, G.S.; Kumar, N.; Guizani, M. IoV Scenario: Implementation of a Bandwidth Aware Algorithm in Wireless Network Communication Mode. IEEE Trans. Veh. Technol. 2020, 69, 15774–15785. [Google Scholar] [CrossRef]
- Jiang, D.Y.; Zhang, H.; Kumar, H.; Naveed, Q.N.; Takhi, C.; Jagota, V.; Jain, R. Automatic Control Model of Power Information System Access Based on Artificial Intelligence Technology. Math. Probl. Eng. 2022, 2022, 5677634. [Google Scholar] [CrossRef]
- Chirigati, F. Moving toward safer driverless vehicles. Nat. Comput. Sci. 2023, 3, 279. [Google Scholar] [CrossRef]
- Chen, Y.; Niu, L. Research on the teaching mode of improving the learning efficiency of university students based on VR technology. Int. J. Contin. Eng. Educ. Life-Long Learn. 2022, 1, 32. [Google Scholar] [CrossRef]
- Radford, A.; Narasimhan, K. Improving Language Understanding by Generative Pre-Training. 2018. Available online: https://www.semanticscholar.org/paper/Improving-Language-Understanding-by-Generative-Radford-Narasimhan/cd18800a0fe0b668a1cc19f2ec95b5003d0a5035 (accessed on 1 December 2023).
- Li, W.G.; Silva, N.C.D. A study of parallel neural networks. In Proceedings of the IJCNN’99. International Joint Conference on Neural Networks. Proceedings (Cat. No.99CH36339), Washington, DC, USA, 10–16 July 1999; IEEE: Piscataway, NJ, USA, 1999. [Google Scholar] [CrossRef]
- Redmon, J.; Divvala, S.; Girshick, R.; Farhadi, A. You Only Look Once: Unified, Real-Time Object Detection. arXiv 2016, arXiv:1506.02640. [Google Scholar]
- Wang, C.Y.; Bochkovskiy, A.; Liao, H.Y.M. YOLOv7: Trainable bag-of-freebies sets new state-of-the-art for real-time object detectors. arXiv 2022, arXiv:2207.02696. [Google Scholar]
- Dong, X.; Yan, S.; Duan, C. A lightweight vehicles detection network model based on YOLOv5. Eng. Appl. Artif. Intell. Int. J. Intell. Real-Time Autom. 2022, 113, 113. [Google Scholar] [CrossRef]
- Lee, J.; Hwang, K.I. YOLO with adaptive frame control for real-time object detection applications. Multimed. Tools Appl. 2022, 81, 36375–36396. [Google Scholar] [CrossRef]
- Li, Z.Z. Road Aerial Object Detection Based on Improved YOLOv5. J. Phys. Conf. Ser. 2022, 2171, 012039. [Google Scholar] [CrossRef]
- Shi, Q.S.; Li, C.S.; Guo, B.Q.; Wang, Y.G.; Tian, H.Y.; Wen, H.; Meng, F.S.; Duan, X.G. Manipulator-based autonomous inspections at road checkpoints: Application of faster YOLO for detecting large objects. Def. Technol. 2022, 18, 937–951. [Google Scholar] [CrossRef]
- Schneidereit, S.; Yarahmadi, A.M.; Schneidereit, T.; Breu, M.; Gebauer, M. YOLO-based Object Detection in Industry 4.0 Fischertechnik Model Environment. arXiv 2023, arXiv:2301.12827. [Google Scholar] [CrossRef]
- Chalavadi, V.; Jeripothula, P.; Datla, R.; Ch, S.B.; Krishna, M.C. mSODANet: A network for multi-scale object detection in aerial images using hierarchical dilated convolutions. Pattern Recognit. 2022, 126, 108548. [Google Scholar] [CrossRef]
- Jiang, B.; Qu, R.; Li, Y.; Li, C. VC-YOLO: Towards Real-Time Object Detection in Aerial Images. J. Circuits Syst. Comput. 2022, 31, 2250147. [Google Scholar] [CrossRef]
- Yang, K.; Zhang, S.; Yang, X.; Wu, N. Flood Detection Based on Unmanned Aerial Vehicle System and Deep Learning. Complexity 2022, 2022, 6155300. [Google Scholar] [CrossRef]
- Ming, Q.; Miao, L.; Zhou, Z.; Song, J.; Yang, X. Sparse Label Assignment for Oriented Object Detection in Aerial Images. Remote Sens. 2021, 13, 2664. [Google Scholar] [CrossRef]
- Mittal, P.; Sharma, A.; Singh, R.; Dhull, V. Dilated convolution based RCNN using feature fusion for Low-Altitude aerial objects. Expert Syst. Appl. 2022, 199, 117106. [Google Scholar] [CrossRef]
- Ahmed, S.; Aleksandr, M. Innovative Horizons in Aerial Imagery: LSKNet Meets DiffusionDet for Advanced Object Detection. arXiv 2023, arXiv:2311.12956. [Google Scholar]
- Vaswani, A.; Shazeer, N.; Parmar, N.; Uszkoreit, J.; Jones, L.; Gomez, A.N.; Polosukhin, I. Attention is All you Need. In Proceedings of the Advances in Neural Information Processing Systems 30: Annual Conference on Neural Information Processing Systems 2017, Long Beach, CA, USA, 4–9 December 2017. [Google Scholar]
- Patel, A. Tag Based Image Retrieval Using Natural Language Processing (NLP). Int. J. Adv. Res. Innov. Ideas Educ. 2017, 3, 756–764. [Google Scholar]
- Chen, J.S.; Garcia, O.N. Challenges in the Fusion of Video and Audio for Robust Speech Recognition. In 1997 AAAI Spring Symposium on Intelligent Integration and Use of Text, Image, Video and Audio Corpora; Association for the Advancement of Artificial Intelligence: Washington, DC, USA, 2022. [Google Scholar]
- Agarap, A.F. An Architecture Combining Convolutional Neural Network (CNN) and Support Vector Machine (SVM) for Image Classification. arXiv 2017, arXiv:1712.03541. [Google Scholar] [CrossRef]
- Chen, D.; Wang, D.; Hu, H. Transformer with Sparse Self-Attention Mechanism for Image Captioning. Electron. Lett. 2020, 56, 764–766. [Google Scholar]
- Li, S.; Xue, L.; Feng, L.; Yao, C.; Wang, D. Hybrid Convolutional-Transformer framework for drone-based few-shot weakly supervised object detection. Comput. Electr. Eng. 2022, 102, 108154. [Google Scholar] [CrossRef]
- Li, W. CNN-transformer mixed model for object detection. arXiv 2022, arXiv:2212.06714. [Google Scholar] [CrossRef]
- Wang, Y.; Zhang, X.; Yang, T.; Sun, J. Anchor DETR: Query Design for Transformer-Based Object Detection. arXiv 2021, arXiv:2109.07107. [Google Scholar] [CrossRef]
- Chen, C.; Shen, F.; Dai, C. Swintd: Transformer-based detection network for foreign objects in the cut section of tobacco packets. Measurement 2023, 216, 112953. [Google Scholar] [CrossRef]
- Yu, C.; Yang, Y.; Cheng, Y.; Wang, Z.; Shi, M.; Yao, Z. UAV-based pipeline inspection system with Swin Transformer for the EAST. Fusion Eng. Des. 2022, 184, 113277. [Google Scholar] [CrossRef]
- Islam, N.; Jony, M.H.; Hasan, E.; Sutradhar, S.; Rahman, A.; Islam, M. EWasteNet: A Two-Stream Data Efficient Image Transformer Approach for E-Waste Classification. In Proceedings of the 2023 IEEE 8th International Conference on Software Engineering and Computer Systems (ICSECS), Penang, Malaysia, 25–27 August 2023. [Google Scholar] [CrossRef]
- Chen, H. Machine learning for information retrieval: Neural networks, symbolic learning, and genetic algorithms. J. Am. Soc. Inf. Sci. 1995, 46, 194–216. [Google Scholar] [CrossRef]
- Andreieva, V.; Shvai, N. Generalization of Cross-Entropy Loss Function for Image Classification. Mohyla Math. J. 2021, 3, 3–10. [Google Scholar] [CrossRef]
- Kim, T.; Oh, J.; Kim, N.; Cho, S.; Yun, S.-Y. Comparing Kullback-Leibler Divergence and Mean Squared Error Loss in Knowledge Distillation. arXiv 2021, arXiv:2105.08919. [Google Scholar] [CrossRef]
- Chen, D.; Miao, D. Control Distance IoU and Control Distance IoU Loss Function for Better Bounding Box Regression. arXiv 2021, arXiv:2103.11696. [Google Scholar] [CrossRef]
- Tian, D.; Han, Y.; Wang, S.; Chen, X.; Guan, T. Absolute size IoU loss for the bounding box regression of the object detection. Neurocomputing 2022, 500, 1029–1040. [Google Scholar] [CrossRef]
- Vaidya, B.; Paunwala, C. Lightweight Hardware Architecture for Object Detection in Driver Assistance Systems. Int. J. Pattern Recognit. Artif. Intell. 2022, 36, 2250027. [Google Scholar] [CrossRef]
- Jiang, S.; Qin, H.; Zhang, B.; Zheng, J. Optimized Loss Functions for Object detection and Application on Nighttime Vehicle Detection. Proc. Inst. Mech. Eng. Part D J. Automob. Eng. 2021, 236, 1568–1578. [Google Scholar] [CrossRef]
- Li, K.; Wan, G.; Cheng, G.; Meng, L.; Han, J. Object detection in optical remote sensing images: A survey and a new benchmark. ISPRS J. Photogramm. Remote Sens. 2020, 159, 296–307. [Google Scholar] [CrossRef]
- Xia, G.S.; Bai, X.; Ding, J.; Zhu, Z.; Belongie, S.; Luo, J.; Zhang, L. DOTA: A Large-Scale Dataset for Object Detection in Aerial Images. In Proceedings of the IEEE Conference on Computer Vision and Pattern Recognition (CVPR), Salt Lake City, UT, USA, 18–23 June 2018. [Google Scholar]
- Zhu, H.; Chen, X.; Dai, W.; Fu, K.; Ye, Q.; Jiao, J. Orientation robust object detection in aerial images using deep convolutional neural network. In Proceedings of the 2015 IEEE International Conference on Image Processing (ICIP), Quebec City, QC, Canada, 27–30 September 2015. [Google Scholar]
- Wang, J.; Chen, Y.; Gao, M.; Dong, Z. Improved YOLOv5 network for real-time multi-scale traffic sign detection. arXiv 2021, arXiv:2112.08782. [Google Scholar] [CrossRef]
- Jia, S.; Wang, Y. Multiscale Convolutional Transformer with Center Mask Pretraining for Hyperspectral Image Classification. arXiv 2022, arXiv:2203.04771. [Google Scholar] [CrossRef]
- Dosovitskiy, A.; Beyer, L.; Kolesnikov, A.; Weissenborn, D.; Zhai, X.; Unterthiner, T.; Dehghani, M.; Minderer, M.; Heigold, G.; Gelly, S.; et al. An image is worth 16 × 16 words: Transformers for image recognition at scale. arXiv 2020, arXiv:2010.11929. [Google Scholar]
- Gevorgyan, Z. SIoU Loss: More Powerful Learning for Bounding Box Regression. arXiv 2022, arXiv:2205.12740. [Google Scholar]
- Bozcan, I.; Kayacan, E. AU-AIR: A Multi-modal Unmanned Aerial Vehicle Dataset for Low Altitude Traffic Surveillance. In Proceedings of the 2020 IEEE International Conference on Robotics and Automation (ICRA), Paris, France, 31 May–31 August 2020; IEEE: Piscataway, NJ, USA, 2020. [Google Scholar]
- Mueller, M.; Smith, N.; Ghanem, B. A Benchmark and Simulator for UAV Tracking. In Proceedings of the European Conference on Computer Vision, Amsterdam, The Netherlands, 8–16 October 2016; pp. 445–461. [Google Scholar] [CrossRef]
- Du, D.; Qi, Y.; Yu, H.; Yang, Y.; Duan, K.; Li, G.; Zhang, W.; Huang, Q.; Tian, Q. The unmanned aerial vehicle benchmark: Object detection and tracking. In Proceedings of the European Conference on Computer Vision (ECCV), Munich, Germany, 8–14 September 2018; pp. 370–386. [Google Scholar]
- Cheng, G.; Zhou, P.; Han, J. Learning rotation-invariant convolutional neural networks for object detection in VHR optical remote sensing images. IEEE Trans. Geosci. Remote Sens. 2016, 54, 7405–7415. [Google Scholar] [CrossRef]
- Tanner, F.; Colder, B.; Pullen, C.; Heagy, D.; Eppolito, M.; Carlan, V.; Oertel, C.; Sallee, P. Overhead imagery research dataset—An annotated data library & tools to aid in the development of computer vision algorithms. In Proceedings of the 2009 IEEE Applied Imagery Pattern Recognition Workshop (AIPR 2009), Washington, DC, USA, 14–16 October 2009; IEEE: Piscataway, NJ, USA, 2009. [Google Scholar]
- Lin, T.Y.; Goyal, P.; Girshick, R.; He, K.; Dollár, P. Focal Loss for Dense Object Detection. IEEE Trans. Pattern Anal. Mach. Intell. 2017, 99, 2999–3007. [Google Scholar]
- Wang, C.Y.; Bochkovskiy, A.; Liao, H.Y.M. Scaled-YOLOv4: Scaling Cross Stage Partial Network. arXiv 2020, arXiv:2011.08036. [Google Scholar] [CrossRef]
- Zhu, X.; Lyu, S.; Wang, X.; Zhao, Q. TPH-YOLOv5: Improved YOLOv5 based on Transformer Prediction Head for Object Detection on Drone-Captured Scenarios. In Proceedings of the IEEE/CVF International Conference on Computer Vision (ICCV) Workshops, Montreal, BC, Canada, 11–17 October 2021. [Google Scholar]
- Du, D.; Wen, L.; Zhu, P.; Fan, H.; Hu, Q.; Ling, H.; Shah, M.; Pan, J.; Axenopoulos, A.; Schumann, A.; et al. VisDrone-DET2020: The Vision Meets Drone Object Detection in Image Challenge Results. In Proceedings of the 2019 IEEE/CVF International Conference on Computer Vision Workshop (ICCVW), Glasgow, UK, 23–28 August 2020; IEEE: Piscataway, NJ, USA, 2020. [Google Scholar]
- Ma, T.; Mao, M.; Zheng, H.; Gao, P.; Wang, X.; Han, S.; Doermann, D. Oriented object detection with transformer. arXiv 2021, arXiv:2106.03146. [Google Scholar]
- Zhang, K.; He, S.; Li, H.; Zhang, X. DBNet: A Dual-Branch Network Architecture Processing on Spectrum and Waveform for Single-Channel Speech Enhancement. arXiv 2021, arXiv:2105.02436. [Google Scholar] [CrossRef]
- Zhang, Y.; Zhang, Q.; Zhu, Z.; Hou, J.; Yuan, Y. Glenet: Boosting 3d object detectors with generative label uncertainty estimation. Int. J. Comput. Vis. 2023, 131, 3332–3352. [Google Scholar] [CrossRef]



















| Parameter Name | Configuration |
|---|---|
| Operating System | Windows 11 |
| Integrated development environment | PyCharm |
| CPU | Intel Core i9-12900KF CPU@3.20 GHz |
| GPU | NVIDIA GeForce RTX 4090 (24G) |
| GPU accelerator | CUDA 11.8 |
| Deep learning frame | PyTorch 2.0.0 |
| Scripting language | Python 3.9.16 |
| Neural network accelerator | cuDNN v8.2.2 |
| Parameter Name | Configuration |
|---|---|
| Initial Learning rate | 0.001 |
| Cosine annealing hyperparameter | 0.2 |
| Neural network optimizer | AdamW |
| Size of input images | |
| Batch size | 16 |
| Momentum | 0.937 |
| Weight decay | 0.0005 |
| Training epochs | 1000 |
| Labeled | Predicted | Confusion Matrix |
|---|---|---|
| Positive | Positive | TP |
| Positive | Negative | FN |
| Negative | Positive | FP |
| Negative | Negative | TN |
| Baseline | AF-FPN | T-Encoder | SIoU | Dataset | Parameters | FPS | ||||||
|---|---|---|---|---|---|---|---|---|---|---|---|---|
| YOLOv7 | DIOR | 71.4 M | 110 | 59.1 | 63.3 | 79.1 | 83.7 | 73.1 | 58.7 | |||
| √ | 72.2 M | 100.7 | 70.3 | 73.1 | 82.2 | 85.5 | 74.3 | 63.3 | ||||
| √ | 74.4 M | 109 | 72.1 | 75.1 | 80.7 | 85.1 | 75.8 | 65.8 | ||||
| √ | 71.4 M | 100.3 | 62 | 72.7 | 78.1 | 79.3 | 71.3 | 60.1 | ||||
| √ | √ | 75.7 M | 90.4 | 66.3 | 78.2 | 88.3 | 93.9 | 80.5 | 66.8 | |||
| √ | √ | 75.2 M | 92.6 | 60.1 | 74.3 | 85.9 | 90.6 | 79.7 | 64.7 | |||
| √ | √ | 75.4 M | 96.1 | 63.3 | 77.5 | 85.1 | 88.1 | 73.1 | 62.1 | |||
| √ | √ | √ | 80.9 M | 94.2 | 72.8 | 79 | 90.3 | 94 | 81.3 | 70.3 |
| Object Name | Airport | Train station | Tennis court | Wind mill | Bridge | Expressway service area |
| Abbreviation | AT | TS | TC | WM | BE | ESA |
| Object Name | Harbor | Stadium | Basketball court | Golf course | Ship | Expressway toll station |
| Abbreviation | HR | SM | BC | GC | SP | ETS |
| Object Name | Vehicle | Airplane | Baseball field | Storage tank | Dam | Ground track field |
| Abbreviation | VE | AE | BF | ST | DM | GTF |
| Object Name | Chimney | Overpass | - | - | - | - |
| Abbreviation | CY | OS | - | - | - | - |
| Object Category | Method () | |||||||||
|---|---|---|---|---|---|---|---|---|---|---|
| GLENet | Scaled-YOLOv4 | YOLOv5 | TPH-YOLOv5 | HR-Cascade++ | O2DETR | DBAI-Net | RetinaNet | YOLOv7 | Ours | |
| AT (m) | 89/83 | 84/77 | 64/69 | 85/79 | 67/74 | 74/69 | 80/76 | 79/72 | 89/86 | 90/83 |
| TS (l) | 88/85 | 87/75 | 68/71 | 90/87 | 83/72 | 78/71 | 71/65 | 84/76 | 84/79 | 87/83 |
| TC (m) | 92/83 | 71/64 | 61/70 | 84/80 | 62/70 | 86/84 | 77/72 | 75/70 | 90/84 | 89/86 |
| WM (l) | 75/71 | 76/72 | 70/75 | 73/78 | 75/66 | 88/85 | 87/83 | 63/67 | 89/83 | 78/76 |
| BE (m, l) | 87/80 | 60/55 | 62/70 | 64/70 | 78/81 | 76/80 | 70/68 | 70/59 | 76/71 | 89/82 |
| ESA (l) | 93/88 | 79/75 | 65/78 | 82/80 | 64/69 | 73/60 | 89/84 | 89/75 | 87/83 | 90/85 |
| HR (l) | 87/71 | 80/73 | 67/58 | 64/56 | 74/78 | 79/75 | 74/78 | 78/71 | 74/78 | 88/82 |
| SM (l) | 91/87 | 72/70 | 70/78 | 75/78 | 86/79 | 81/76 | 90/84 | 90/86 | 87/84 | 83/88 |
| BC (m, l) | 92/67 | 76/71 | 61/53 | 66/57 | 78/81 | 88/81 | 82/78 | 67/71 | 85/79 | 95/87 |
| GC (l) | 89/83 | 85/78 | 61/70 | 84/72 | 63/68 | 74/62 | 85/81 | 76/84 | 90/86 | 87/81 |
| SP (t) | 59/54 | 70/64 | 51/60 | 58/4s9 | 47/61 | 66/58 | 64/58 | 48/61 | 67/62 | 71/65 |
| ETS (l) | 93/81 | 90/86 | 57/66 | 78/67 | 73/60 | 94/86 | 92/88 | 88/84 | 92/86 | 95/90 |
| VE (t, s) | 63/75 | 79/66 | 81/76 | 82/75 | 72/78 | 80/77 | 76/72 | 58/64 | 74/69 | 84/78 |
| AE (s) | 89/63 | 71/59 | 46/61 | 71/67 | 52/74 | 80/73 | 75/70 | 80/76 | 87/82 | 83/77 |
| BF (m) | 88/80 | 84/70 | 75/68 | 84/81 | 88/84 | 89/85 | 86/82 | 87/82 | 85/79 | 89/84 |
| ST (t, s) | 74/63 | 48/62 | 64/58 | 54/49 | 61/68 | 57/69 | 64/59 | 45/57 | 57/54 | 76/73 |
| DM (m) | 91/80 | 88/75 | 69/78 | 71/84 | 65/82 | 83/81 | 80/75 | 87/76 | 87/82 | 92/86 |
| GTF (l) | 96/91 | 84/88 | 66/80 | 94/85 | 90/92 | 86/92 | 88/85 | 74/87 | 89/86 | 97/94 |
| CY (t, s) | 71/68 | 75/68 | 54/68 | 61/74 | 80/72 | 78/68 | 59/64 | 52/61 | 75/69 | 80/75 |
| OS (m) | 90/76 | 79/82 | 65/73 | 87/81 | 61/64 | 90/85 | 82/78 | 89/74 | 83/77 | 91/85 |
| 85 | 77 | 64 | 75 | 71 | 80 | 79 | 74 | 82 | 87 | |
Disclaimer/Publisher’s Note: The statements, opinions and data contained in all publications are solely those of the individual author(s) and contributor(s) and not of MDPI and/or the editor(s). MDPI and/or the editor(s) disclaim responsibility for any injury to people or property resulting from any ideas, methods, instructions or products referred to in the content. |
© 2023 by the authors. Licensee MDPI, Basel, Switzerland. This article is an open access article distributed under the terms and conditions of the Creative Commons Attribution (CC BY) license (https://creativecommons.org/licenses/by/4.0/).
Share and Cite
Zhang, H.; Shao, F.; He, X.; Chu, W.; Zhao, D.; Zhang, Z.; Bi, S. ATS-YOLOv7: A Real-Time Multi-Scale Object Detection Method for UAV Aerial Images Based on Improved YOLOv7. Electronics 2023, 12, 4886. https://doi.org/10.3390/electronics12234886
Zhang H, Shao F, He X, Chu W, Zhao D, Zhang Z, Bi S. ATS-YOLOv7: A Real-Time Multi-Scale Object Detection Method for UAV Aerial Images Based on Improved YOLOv7. Electronics. 2023; 12(23):4886. https://doi.org/10.3390/electronics12234886
Chicago/Turabian StyleZhang, Heng, Faming Shao, Xiaohui He, Weijun Chu, Dewei Zhao, Zihan Zhang, and Shaohua Bi. 2023. "ATS-YOLOv7: A Real-Time Multi-Scale Object Detection Method for UAV Aerial Images Based on Improved YOLOv7" Electronics 12, no. 23: 4886. https://doi.org/10.3390/electronics12234886
APA StyleZhang, H., Shao, F., He, X., Chu, W., Zhao, D., Zhang, Z., & Bi, S. (2023). ATS-YOLOv7: A Real-Time Multi-Scale Object Detection Method for UAV Aerial Images Based on Improved YOLOv7. Electronics, 12(23), 4886. https://doi.org/10.3390/electronics12234886

