A New Unit-Cell Design for a 2-Bit Reflective Metasurface for RIS Applications
Abstract
:1. Introduction
2. Analysis, Modeling, and Design of Unit-Cell Using Theory of Characteristic Modes
2.1. Initial Unit-Cell (MTS-I) Design and Analysis
2.2. Proposed Slots for Tuning of Modes and Size Miniaturization Using CMA (MTS-II)
- 1.
- The tuning of the modes to achieve 2-bit operation;
- 2.
- The size miniaturization by moving modes to lower resonance.
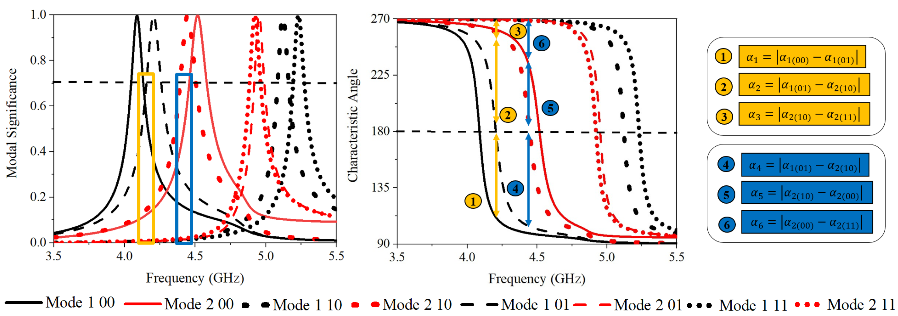
2.3. Optimization of Proposed Design (MTS-III) for 2-Bit Operation
3. MTS-III Floquet Port Simulations
4. Comparison Table
5. Conclusions
Author Contributions
Funding
Conflicts of Interest
References
- Pan, C.; Ren, H.; Wang, K.; Kolb, J.F.; Elkashlan, M.; Chen, M.; Di Renzo, M.; Hao, Y.; Wang, J.; Swindlehurst, A.L.; et al. Reconfigurable Intelligent Surfaces for 6G Systems: Principles, Applications, and Research Directions. IEEE Commun. Mag. 2021, 59, 14–20. [Google Scholar] [CrossRef]
- Yildirim, I.; Uyrus, A.; Basar, E. Modeling and Analysis of Reconfigurable Intelligent Surfaces for Indoor and Outdoor Applications in Future Wireless Systems. IEEE Trans. Commun. 2021, 69, 1290–1301. [Google Scholar] [CrossRef]
- Wu, Q.; Zhang, R. Towards Smart and Reconfigurable Environment: Intelligent Reflecting Surface Aided Wireless Network. IEEE Commun. Mag. 2020, 58, 106–112. [Google Scholar] [CrossRef]
- Hu, J.; Zhang, H.; Di, B.; Li, L.; Bian, K.; Song, L.; Li, Y.; Han, Z.; Poor, H.V. Reconfigurable Intelligent Surface Based RF Sensing: Design, Optimization, and Implementation. IEEE J. Sel. Areas Commun. 2020, 38, 2700–2716. [Google Scholar] [CrossRef]
- Rana, B.; Cho, S.S.; Hong, I.P. Review Paper on Hardware of Reconfigurable Intelligent Surfaces. IEEE Access 2023, 11, 29614–29634. [Google Scholar] [CrossRef]
- Cui, T.J.; Qi, M.Q.; Wan, X.; Zhao, J.; Cheng, Q. Coding metamaterials, digital metamaterials and programmable metamaterials. Light. Sci. Appl. 2014, 3, e218. [Google Scholar] [CrossRef]
- Zhou, Y.; Chen, L.; Zhang, Q.; Wang, H.; Guo, L. A 1-bit reconfigurable intelligent metasurface-based antenna design for 5G application. Int. J. Microw. Wirel. Technol. 2023, 1–10. [Google Scholar] [CrossRef]
- Cao, X.; Chen, Q.; Tanaka, T.; Kozai, M.; Minami, H. A 1-bit Time-Modulated Reflectarray for Reconfigurable-Intelligent-Surface Applications. IEEE Trans. Antennas Propag. 2023, 71, 2396–2408. [Google Scholar] [CrossRef]
- Saifullah, Y.; Chen, Q.; Yang, G.; Waqas, A.; Xu, F. Dual-band multi-bit programmable reflective metasurface unit cell: Design and experiment. Opt. Express 2021, 29, 2658–2668. [Google Scholar] [CrossRef] [PubMed]
- Hodge, J.A.; Spence, T.G.; Zaghloul, A.I. A Reconfigurable Intelligent Surface Using a 2-Bit Programmable Metasurface for Communications. In Proceedings of the 2021 IEEE International Symposium on Antennas and Propagation and USNC-URSI Radio Science Meeting (APS/URSI), Singapore, 4–10 December 2021; pp. 97–98. [Google Scholar]
- Li, P.; Ren, J.; Chen, Y.; Ren, X.; Xu, K.D.; Yin, Y.Z.; Shen, M. Design of Low-Cost Single-Layer 2-Bit Reflective Programmable Metasurface Based on Folded Ground. IEEE Trans. Microw. Theory Technol. 2023, 71, 3455–3465. [Google Scholar] [CrossRef]
- Han, J.; Li, L.; Ma, X.; Gao, X.; Mu, Y.; Liao, G.; Luo, Z.J.; Cui, T.J. Adaptively smart wireless power transfer using 2-bit programmable metasurface. IEEE Trans. Ind. Electron. 2021, 69, 8524–8534. [Google Scholar] [CrossRef]
- Zhang, L.; Chen, X.Q.; Shao, R.W.; Dai, J.Y.; Cheng, Q.; Castaldi, G.; Galdi, V.; Cui, T.J. Breaking Reciprocity with Space-Time-Coding Digital Metasurfaces. Adv. Mater. 2019, 31, 1904069. [Google Scholar] [CrossRef]
- Zhang, L.; Wang, Z.X.; Shao, R.W.; Shen, J.L.; Chen, X.Q.; Wan, X.; Cheng, Q.; Cui, T.J. Dynamically Realizing Arbitrary Multi-Bit Programmable Phases Using a 2-Bit Time-Domain Coding Metasurface. IEEE Trans. Antennas Propag. 2019, 68, 2984–2992. [Google Scholar] [CrossRef]
- Ma, Q.; Bai, G.D.; Jing, H.B.; Yang, C.; Li, L.; Cui, T.J. Smart metasurface with self-adaptively reprogrammable functions. Light. Sci. Appl. 2019, 8, 98. [Google Scholar] [CrossRef]
- Huang, C.; Sun, B.; Pan, W.; Cui, J.; Wu, X.; Luo, X. Dynamical beam manipulation based on 2-bit digitally-controlled coding metasurface. Sci. Rep. 2017, 7, 42302. [Google Scholar] [CrossRef]
- Dai, L.; Wang, B.; Wang, M.; Yang, X.; Tan, J.; Bi, S.; Xu, S.; Yang, F.; Chen, Z.; Di Renzo, M.; et al. Reconfigurable Intelligent Surface-Based Wireless Communications: Antenna Design, Prototyping, and Experimental Results. IEEE Access 2020, 8, 45913–45923. [Google Scholar] [CrossRef]
- Sayanskiy, A.; Belov, A.; Yafasov, R.; Lyulyakin, A.; Sherstobitov, A.; Glybovski, S.; Lyashev, V. A 2D-Programmable and Scalable Reconfigurable Intelligent Surface Remotely Controlled via Digital Infrared Code. IEEE Trans. Antennas Propag. 2023, 71, 570–580. [Google Scholar] [CrossRef]
- Liang, J.C.; Cheng, Q.; Gao, Y.; Xiao, C.; Gao, S.; Zhang, L.; Jin, S.; Cui, T.J. An Angle-Insensitive 3-Bit Reconfigurable Intelligent Surface. IEEE Trans. Antennas Propag. 2022, 70, 8798–8808. [Google Scholar] [CrossRef]
- Taghvaee, H.; Abadal, S.; Pitilakis, A.; Tsilipakos, O.; Tasolamprou, A.C.; Liaskos, C.; Kafesaki, M.; Kantartzis, N.V.; Cabellos-Aparicio, A.; Alarcón, E. Reconfigurable Intelligent Surfaces: Scalability Analysis of Programmable Metasurfaces for Beam Steering. IEEE Access 2020, 8, 105320–105334. [Google Scholar] [CrossRef]
- Zhang, H.; Di, B.; Song, L.; Han, Z. Reconfigurable Intelligent Surfaces Assisted Communications with Limited Phase Shifts: How many Phase Shifts are Enough. IEEE Trans. Veh. Technol. 2020, 69, 4498–4502. [Google Scholar] [CrossRef]
- Yang, H.; Yang, F.; Xu, S.; Li, M.; Cao, X.; Gao, J.; Zheng, Y. A Study of Phase Quantization Effects for Reconfigurable Reflectarray Antennas. IEEE Antennas Wirel. Propag. Lett. 2017, 16, 302–305. [Google Scholar] [CrossRef]
- Rafique, A.; Hassan, N.U.; Zubair, M.; Naqvi, I.H.; Mehmood, M.Q.; Yuen, C.; Di Renzo, M.; Debbah, M. Reconfigurable Intelligent Surfaces: Interplay of Unit Cell and Surface-Level Design and Performance under Quantifiable Benchmarks. IEEE Open J. Commun. Soc. 2023, 4, 1583–1599. [Google Scholar] [CrossRef]
- Harrington, R.F.; Mautz, J. Theory of characteristic modes for conducting bodies. IEEE Trans. Antennas Propag. 1971, 9, 622–628. [Google Scholar] [CrossRef]
- Newman, E. Small Antenna Location Synthesis using Characteristic Modes. IEEE Trans. Antennas Propag. 1979, 27, 530–531. [Google Scholar] [CrossRef]
- Austin, B.A.; Murray, K.P. The application of characteristic-mode techniques to vehicle mounted NVIS antennas. IEEE Antennas Wirel. Propag. Lett. 1998, 40, 7–21. [Google Scholar] [CrossRef]
- Zhang, Z.; Cheng, Y.; Luo, H.; Chen, F. Low-Profile Wideband Circular Polarization Metasurface Antenna with Characteristic Mode Analysis and Mode Suppression. IEEE Antennas Wirel. Propag. Lett. 2022, 22, 898–902. [Google Scholar] [CrossRef]
- Wang, K.; Shao, W.; Ding, X.; Wang, B.-Z.; Jiang, B. Design of High-Gain Metasurface Antenna Based on Characteristic Mode Analysis. IEEE Antennas Wirel. Propag. Lett. 2020, 8, 105320–105334. [Google Scholar]
- Gao, J.F.; Lin, F.H. Modeling and Analysis of Wideband Multilayer Metasurface Antenna Array Using Characteristic-Mode Analysis. IEEE Trans. Antennas Propag. 2023, 71, 2832–2836. [Google Scholar] [CrossRef]
- Liu, S.; Yang, D.; Chen, Y.; Sun, K.; Zhang, X.; Xiang, Y. Low-Profile Broadband Metasurface Antenna Under Multimode Resonance. IEEE Antennas Wirel. Propag. Lett. 2021, 20, 1696–1700. [Google Scholar] [CrossRef]
- Ning, Z.; Li, M.; Ding, D.; Al, X.; Liu, J. A Dual-Polarized Frequency-Selective Rasorber with a Switchable Wide Passband Based on Characteristic Mode Analysis. Front. Mater. 2022, 9, 912913. [Google Scholar]
- Zha, D.; Cao, Z.; Li, R.; He, F.; Si, K.; Dong, J.; Miao, L.; Bie, S.; Jiang, J. A Physical Insight Into Reconfigurable Frequency Selective Surface Using Characteristic Mode Analysis. IEEE Antennas Wirel. Propag. Lett. 2021, 20, 1863–1867. [Google Scholar] [CrossRef]
- Dong, J.; Wu, R.; Pan, Y. A Low-Profile Broadband Metasurface Antenna With Polarization Conversion Based on Characteristic Mode Analysis. Front. Phys. 2022, 10, 860606. [Google Scholar] [CrossRef]
- Zha, D.; Dong, J.; Si, K.; Cao, Z.; Li, R.; He, F.; Miao, L.; Bie, S.; Jiang, J. Characteristic mode analysis of resistor-loaded frequency selective surfaces: Theoretical research and experimental verification. J. Appl. Phys. 2021, 130, 053101. [Google Scholar] [CrossRef]
- Gao, K.; Cao, X.; Gao, J.; Li, T.; Yang, H.; Li, S. Ultrawideband metamaterial absorber for oblique incidence using characteristic mode analysis. Photonics Res. 2022, 10, 2751–2759. [Google Scholar] [CrossRef]










| Parameter | W1 | W2 | W3 | L | g | |||
| Size (mm) 1 | 16 | 10 | 14 | 25 | 0.765 | 6 | 8 | 4 |
| Parameter | ||||||||
| Size (mm) 1 | 6 | 9 | 3.5 | 7 | 1.5 | 9 | 2.5 | 7 |
| PIN Diode | CMA Based Model for PIN Diode |
|---|---|
| OFF State | Disconnected sub-patches |
| ON State | PEC stub in the gap connecting sub-patches |
| Unit-Cell | Resonant Frequency Mode 1 (GHz) | Size * () | Resonant Frequency Mode 2 (GHz) | Size () |
|---|---|---|---|---|
| MTS-I | 5.56 | 6.35 | ||
| MTS-II | 4.49 | 4.625 | ||
| MTS-III | 4.09 | 4.518 |
| Ref [n] | Resonant Frequency | Size * () | Active Components per Unit Cell | Novelty |
|---|---|---|---|---|
| [10] | 6 GHz | 2-pin diodes | Unit-cell design for 2-bit MTS | |
| [11] | 5 GHz | 2-pin diodes, 4-capacitors | Unit-cell design with folded ground plane for 2-bit MTS | |
| [12] | 5.8 GHz | 2-pin diodes | Unit-cell design of2-bit MTS for wireless power transfer | |
| [14] | 9.5 GHz | 2-pin diodes | Time domain digital coding | |
| [17] | 2.3 GHz | 5-pin diodes | Fully functional 2-bit RIS | |
| Current work | 3.915 GHz ** | 2-pin diodes | Unit-cell design for 2-bit MTS using multiple modes in CMA |
Disclaimer/Publisher’s Note: The statements, opinions and data contained in all publications are solely those of the individual author(s) and contributor(s) and not of MDPI and/or the editor(s). MDPI and/or the editor(s) disclaim responsibility for any injury to people or property resulting from any ideas, methods, instructions or products referred to in the content. |
© 2023 by the authors. Licensee MDPI, Basel, Switzerland. This article is an open access article distributed under the terms and conditions of the Creative Commons Attribution (CC BY) license (https://creativecommons.org/licenses/by/4.0/).
Share and Cite
Fazal, D.; Hong, I.-P. A New Unit-Cell Design for a 2-Bit Reflective Metasurface for RIS Applications. Electronics 2023, 12, 4220. https://doi.org/10.3390/electronics12204220
Fazal D, Hong I-P. A New Unit-Cell Design for a 2-Bit Reflective Metasurface for RIS Applications. Electronics. 2023; 12(20):4220. https://doi.org/10.3390/electronics12204220
Chicago/Turabian StyleFazal, Dilaawaiz, and Ic-Pyo Hong. 2023. "A New Unit-Cell Design for a 2-Bit Reflective Metasurface for RIS Applications" Electronics 12, no. 20: 4220. https://doi.org/10.3390/electronics12204220
APA StyleFazal, D., & Hong, I.-P. (2023). A New Unit-Cell Design for a 2-Bit Reflective Metasurface for RIS Applications. Electronics, 12(20), 4220. https://doi.org/10.3390/electronics12204220

