Design of a Dual-Band WiFi Antenna Using the Theory of Characteristic Modes and Nested Chinese Characters
Abstract
:1. Introduction
2. Design and Analysis of the Antenna
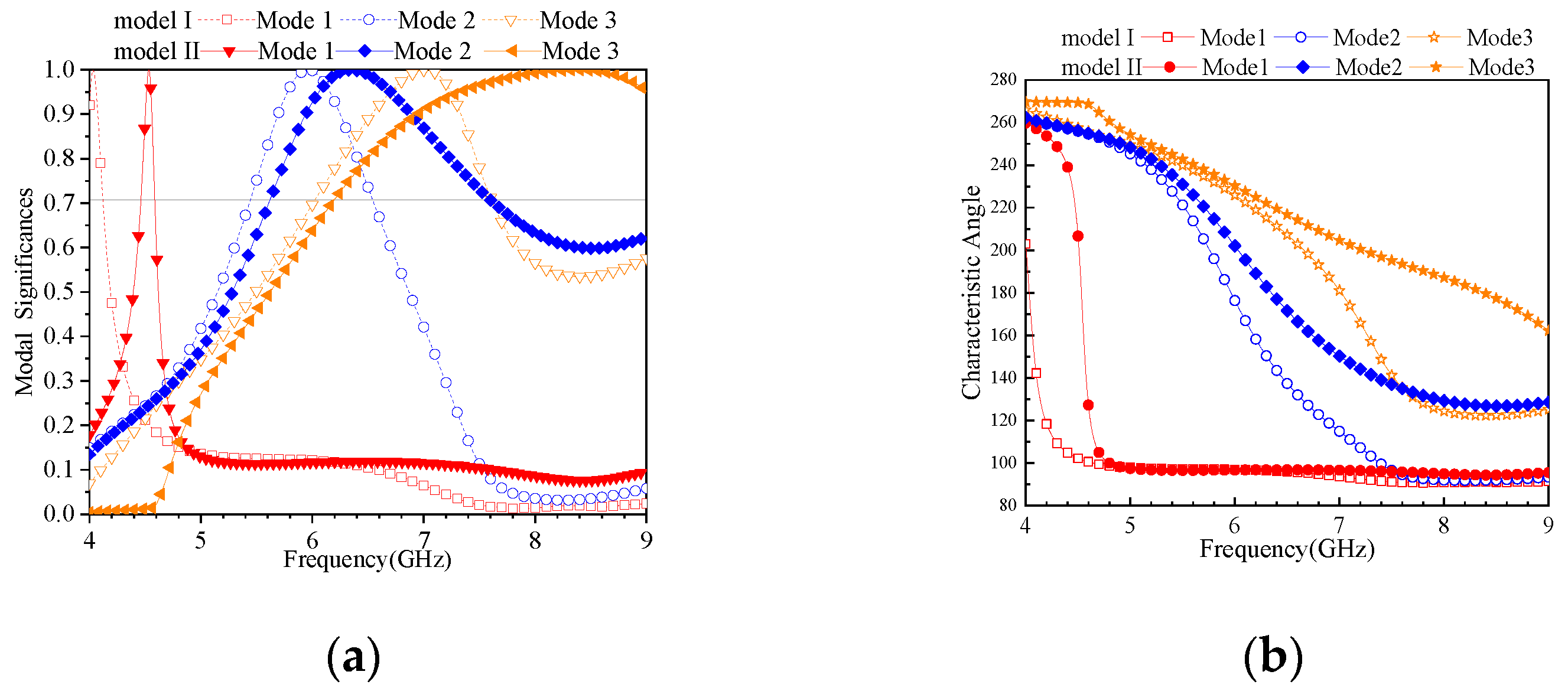
2.1. Design and Analysis of a Single Antenna Base on the TCM
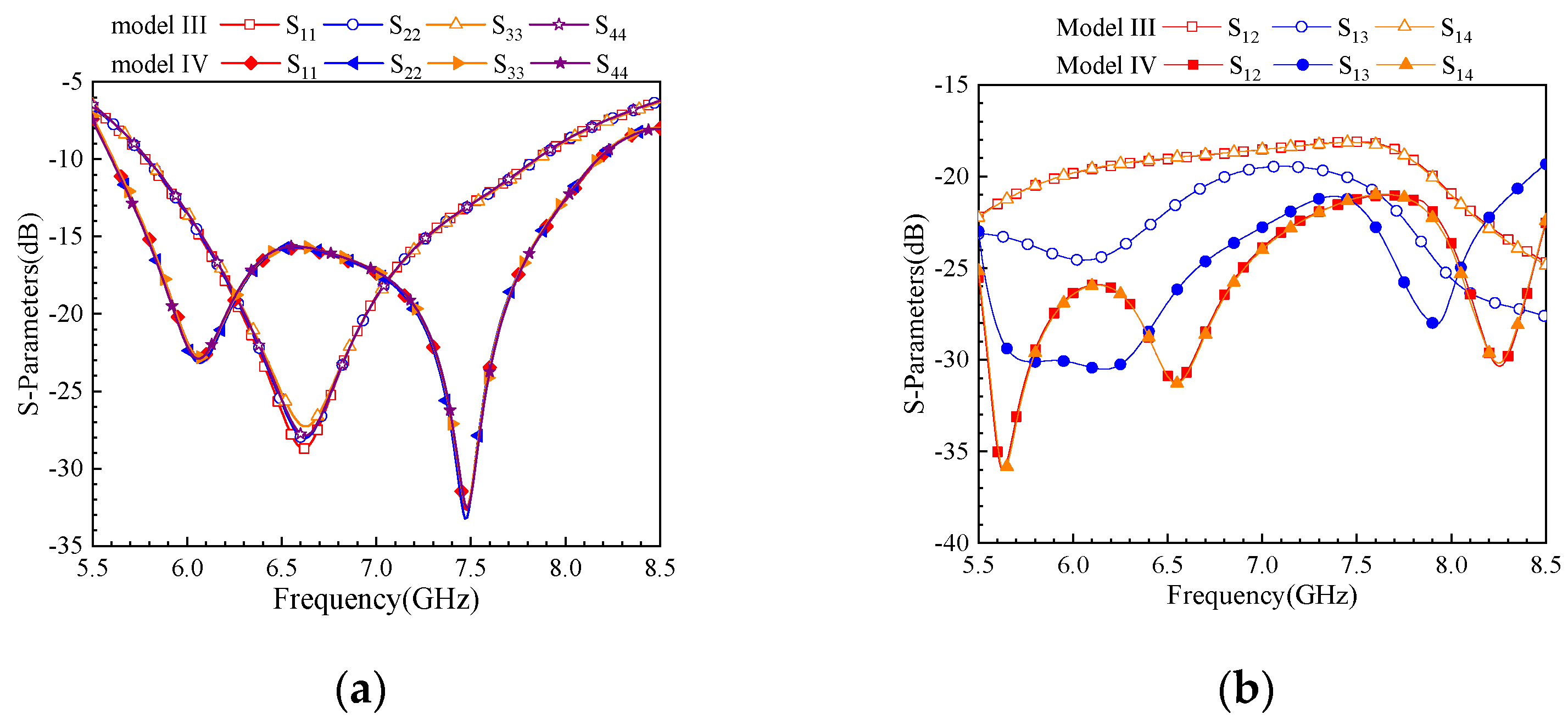
2.2. MIMO Antenna Design and Analysis
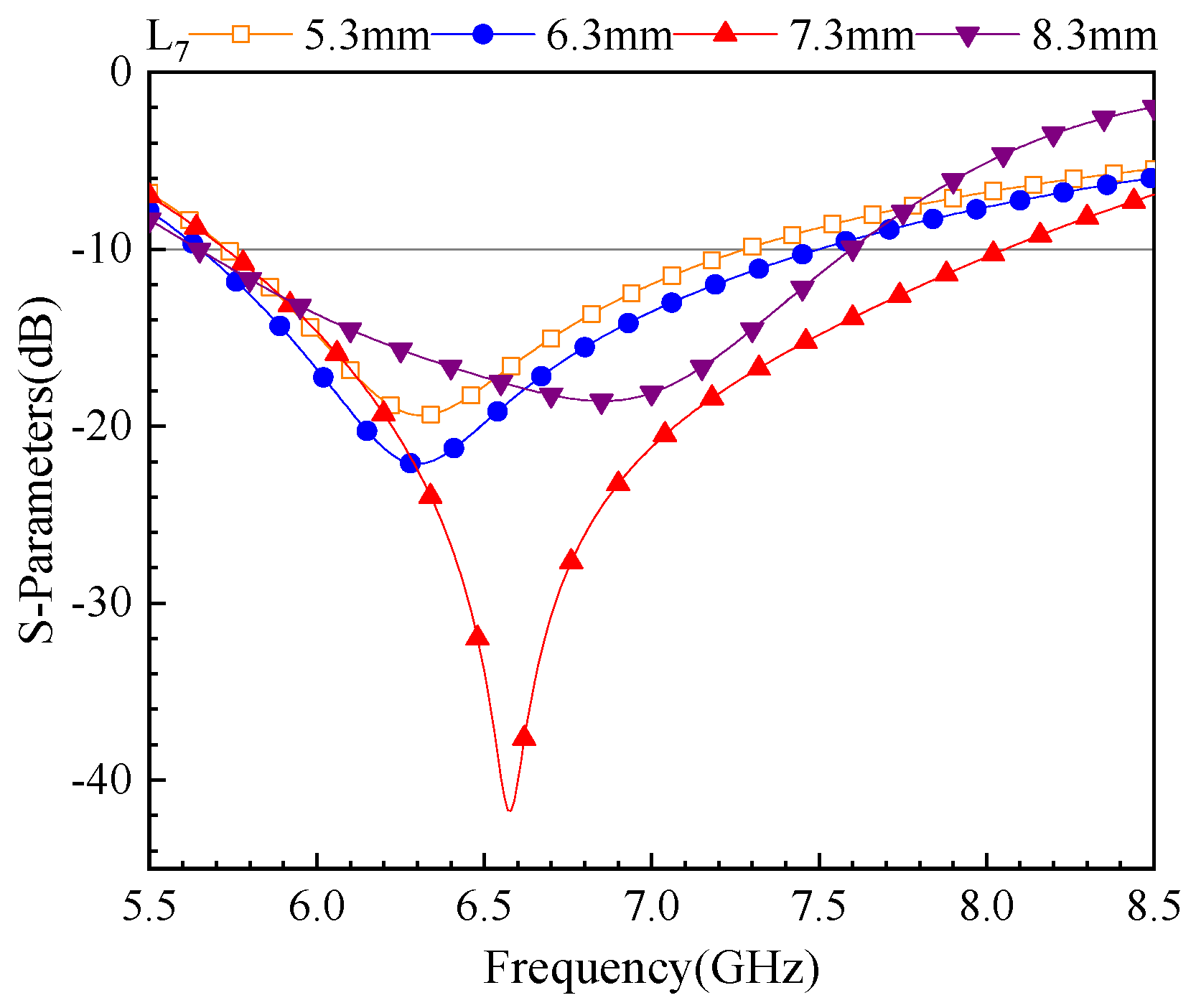
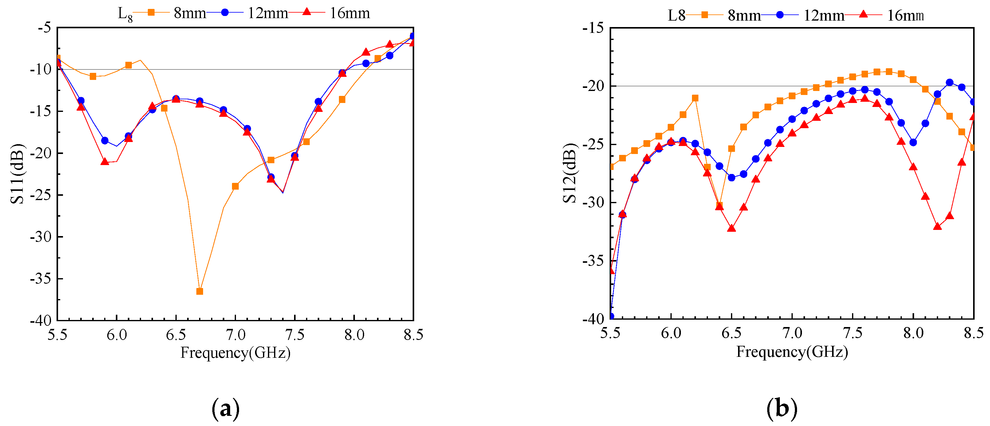
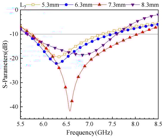
3. Parametric Study
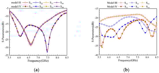
4. Measurement and Simulation Results
5. Conclusions
Author Contributions
Funding
Data Availability Statement
Conflicts of Interest
References
- Nguyen, T.D.; Lee, Y.; Jung, C.W. Transparent and Flexible Patch Antenna Using MMF for Conformal WiFi-6E Applications. J. Electromagn. Eng. Sci. 2023, 23, 310–317. [Google Scholar] [CrossRef]
- Jhang, W.-C.; Sun, J.-S. Small Antenna Design of Triple Band for WIFI 6E and WLAN Applications in the Narrow Border Laptop Computer. Int. J. Antennas Propag. 2021, 2021, 7334206. [Google Scholar] [CrossRef]
- Paul, L.C.; Saha, H.K.; Rani, T.; Azim, R.; Islam, M.T.; Samsuzzaman, M. A dual-band semi-circular patch antenna for WiMAX and WiFi-5/6 applications. Int. J. Commun. Syst. 2023, 36, e5357. [Google Scholar] [CrossRef]
- Liu, X.; Wang, H.; Yang, X.; Wang, J. Quad-Band Circular Polarized Antenna for GNSS, 5G and WIFI-6E Applications. Electronics 2022, 11, 1133. [Google Scholar] [CrossRef]
- Paul, L.C.; Ali, H.; Rani, T.; Saha, H.K.; Jim, T.R. A sixteen-element dual band compact array antenna for ISM/Bluetooth/Zigbee/WiMAX/WiFi-2.4/5/6 GHz applications. Heliyon 2022, 8, e11675. [Google Scholar] [CrossRef] [PubMed]
- Wong, K.L.; Jiang, H.Y.; Li, W.Y. Decoupling Hybrid Metal Walls and Half-Wavelength Diagonal Open-Slots Based Four-Port Square Patch Antenna with High Port Isolation and Low Radiation Correlation for 2.4/5/6 GHz WiFi-6E 4 × 4 MIMO Access Points. IEEE Access 2022, 10, 81296–81308. [Google Scholar] [CrossRef]
- Yang, Q.; Zhang, C.; Cai, Q.; Loh, T.H.; Liu, G. A MIMO Antenna with High Gain and Enhanced Isolation for WLAN Applications. Appl. Sci. 2022, 12, 2279. [Google Scholar] [CrossRef]
- Jeong, G.-T.; Choi, S.; Lee, K.-H.; Kim, W.-S. Low-Profile Dual-Wideband MIMO Antenna with Low ECC for LTE and Wi-Fi Applications. Int. J. Antennas Propag. 2014, 2014, 158028. [Google Scholar] [CrossRef]
- Sharma, V.; Goel, A.; Upadhayay, M.D.; Singh, A.V. A Pi-Shaped Slot Antenna for 5.2 GHz WLANMIMO Application. IETE J. Res. 2023, 69, 1613–1625. [Google Scholar] [CrossRef]
- Paiva, S.B.; Junior, A.G.D.; Neto, V.P.S.; D’Assunção, A.G. A New Compact Dual-Polarized MIMO Antenna Using Slot and Parasitic Element Decoupling for 5G and WLAN Applications. Electronics 2022, 11, 1943. [Google Scholar] [CrossRef]
- Nakmouche, M.F.; Deslandes, D.; Gagnon, G. Dual-Band 4-Port H-DGS Based Textile MIMO Antenna Design Using Genetics Algorithms for Wearable Application. In Proceedings of the 2022 IEEE International Symposium on Antennas and Propagation and USNC-URSI Radio Science Meeting (AP-S/URSI), Denver, CO, USA, 10–15 July 2022; pp. 1182–1183. [Google Scholar]
- Malaisamy, K.; Santhi, M.; Robinson, S. Design and analysis of 4 × 4 MIMO antenna with DGS for WLAN applications. Int. J. Microw. Wirel. Technol. 2021, 13, 979–985. [Google Scholar] [CrossRef]
- Peng, H.; Zhi, R.; Yang, Q.; Cai, J.; Wan, Y.; Liu, G. Design of a MIMO Antenna with High Gain and Enhanced Isolation for WLAN Applications. Electronics 2021, 10, 1659. [Google Scholar] [CrossRef]
- Cai, C.-A.; Kai, K.-Y.; Liao, W.-J. A WLAN/WiFi-6E MIMO Antenna Design for Handset Devices. In Proceedings of the 2021 International Symposium on Antennas and Propagation (ISAP), Taipei, Taiwan, 19–22 October 2021; pp. 1–2. [Google Scholar]
- Garbacz, R.; Turpin, R. A generalized expansion for radiated and scattered fields. IEEE Trans. Antennas Propag. 1971, 19, 348–358. [Google Scholar] [CrossRef]
- Harrington, R.; Mautz, J. Theory of characteristic modes for conducting bodies. IEEE Trans. Antennas Propag. 1971, 19, 622–628. [Google Scholar] [CrossRef]
- Zhang, Q.; Ma, R.; Su, W.; Gao, Y. Design of a Multimode UWB Antenna Using Characteristic Mode Analysis. IEEE Trans. Antennas Propag. 2018, 66, 3712–3717. [Google Scholar] [CrossRef]
- Zhao, X.; Yeo, S.P.; Ong, L.C. Planar UWB MIMO Antenna with Pattern Diversity and Isolation Improvement for Mobile Platform Based on the Theory of Characteristic Modes. IEEE Trans. Antennas Propag. 2018, 66, 420–425. [Google Scholar] [CrossRef]
- Zhang, H.H.; Yu, G.G.; Liu, X.Z.; Cheng, G.S.; Xu, Y.X.; Liu, Y.; Shi, G.M. Low-SAR MIMO Antenna Array Design Using Characteristic Modes for 5G Mobile Phones. IEEE Trans. Antennas Propag. 2022, 70, 3052–3057. [Google Scholar] [CrossRef]
- Zhang, H.H.; Liu, X.Z.; Cheng, G.S.; Liu, Y.; Shi, G.M.; Li, K. Low-SAR Four-Antenna MIMO Array for 5G Mobile Phones Based on the Theory of Characteristic Modes of Composite PEC-Lossy Dielectric Structures. IEEE Trans. Antennas Propag. 2022, 70, 1623–1631. [Google Scholar] [CrossRef]
- Sharif, A.; Ouyang, J.; Yang, F.; Chattha, H.T.; Imran, M.A.; Alomainy, A.; Abbasi, Q.H. Low-Cost Inkjet-Printed UHF RFID Tag-Based System for Internet of Things Applications Using Characteristic Modes. IEEE Internet Things J. 2019, 6, 3962–3975. [Google Scholar] [CrossRef]
- Sharif, A.; Ouyang, J.; Raza, A.; Hussain, S.; Nasir, M.; Arshad, K.; Assaleh, K.; Ramzan, N.; Imran, M.A.; Abbasi, Q.H. UHF RFID Tag Design Using Theory of Characteristics Modes for Platform-Tolerant and Harsh Metallic Environments. IEEE J. Radio Freq. Identif. 2022, 6, 524–533. [Google Scholar] [CrossRef]
- Jha, K.R.; Rana, N.; Sharma, S.K. Design of Compact Antenna Array for MIMO Implementation Using Characteristic Mode Analysis for 5G NR and Wi-Fi 6 Applications. IEEE Open J. Antennas Propag. 2023, 4, 262–277. [Google Scholar] [CrossRef]
- Liu, W.; Yan, S. A Design of Millimeter-Wave Dual-Polarized SIW Phased Array Antenna Using Characteristic Mode Analysis. IEEE Antennas Wirel. Propag. Lett. 2022, 21, 29–33. [Google Scholar] [CrossRef]
- Wen, D.; Hao, Y.; Wang, H.; Zhou, H. Design of a MIMO Antenna with High Isolation for Smartwatch Applications Using the Theory of Characteristic Modes. IEEE Trans. Antennas Propag. 2019, 67, 1437–1447. [Google Scholar] [CrossRef]
- Zhang, H.H.; Gong, L.F.; Liu, X.Z.; Xu, Y.X.; Cheng, G.S.; Liu, Y.; Shi, G.M.; Zheng, C.; Han, Y.J. Design of Low-SAR and High On-Body Efficiency Tri-Band Smartwatch Antenna Utilizing the Theory of Characteristic Modes of Composite PEC-Lossy Dielectric Structures. IEEE Trans. Antennas Propag. 2023, 71, 1913–1918. [Google Scholar] [CrossRef]
- Andrade, E.F.; Miguel, A.P.; Villanueva, R.G.; Aguilar, H.J. Characteristic mode analysis applied to reduce the mutual coupling of a four-element patch MIMO antenna using a defected ground structure. IET Microw. Antennas Propag. 2020, 14, 215–226. [Google Scholar] [CrossRef]
- Zhang, W.; Li, Y.; Wei, K.; Zhang, Z. A Dual-Band MIMO Antenna System for 2.4/5 GHz WLAN Applications. IEEE Trans. Antennas Propag. 2023, 71, 5749–5758. [Google Scholar] [CrossRef]
- Mohanty, A.; Behera, B.R. CMA assisted 4-port compact MIMO antenna with dual-polarization characteristics. AEU—Int. J. Electron. Commun. 2021, 137, 153794. [Google Scholar] [CrossRef]
- Mathur, P.; Augustine, R.; Gopikrishna, M.; Raman, S. Dual MIMO Antenna System for 5G Mobile Phones, 5.2 GHz WLAN, 5.5 GHz WiMAX and 5.8/6 GHz WiFi Applications. IEEE Access 2021, 9, 106734–106742. [Google Scholar] [CrossRef]
- Du, K.; Wang, Y.; Zhang, L.; Hu, Y. Design of Wideband Decoupling Antenna Pairs for 5G Portable Devices at N77/N78/N79 Bands. Micromachines 2022, 13, 1964. [Google Scholar] [CrossRef]
- Babu, K.V.; Das, S.; Ali, S.S.; el Ghzaoui, M. Broadband sub-6 GHz flower-shaped MIMO antenna with high isolation using theory of characteristic mode analysis (TCMA) for 5G NR bands and WLAN applications. Int. J. Commun. Syst. 2023, 36, e5442. [Google Scholar] [CrossRef]
- Zhou, W.; Yue, C.; Li, Y.; Xia, Y.; Qiu, B.; Chung, K.L. A High Gain Si-shaped Circularly Polarized Patch Antenna for 5G Application. In Proceedings of the 2021 IEEE 4th International Conference on Electronic Information and Communication Technology (ICEICT), Xi’an, China, 18–20 August 2021; pp. 284–285. [Google Scholar]
- Chung, K.L.; Xie, S.; Li, Y.; Liu, R.; Ji, S.; Zhang, C. A Circular-Polarization Reconfigurable Meng-Shaped Patch Antenna. IEEE Access 2018, 6, 51419–51428. [Google Scholar] [CrossRef]
- Chung, K.L.; Li, W.; Li, Y.; Liu, R.; Zhang, P. Chinese Character-Shaped Artistic Patch Antenna. IEEE Antennas Wirel. Propag. Lett. 2019, 18, 1542–1546. [Google Scholar] [CrossRef]
- Wang, C.; Chen, Y.; Yang, S. Bandwidth Enhancement of a Dual-Polarized Slot Antenna Using Characteristic Modes. IEEE Antennas Wirel. Propag. Lett. 2018, 17, 988–992. [Google Scholar] [CrossRef]
- Zeng, J.; Liang, X.; He, L.; Guan, F.; Lin, F.H.; Zi, J. Single-Fed Triple-Mode Wideband Circularly Polarized Microstrip Antennas Using Characteristic Mode Analysis. IEEE Trans. Antennas Propag. 2022, 70, 846–855. [Google Scholar] [CrossRef]
- Miers, Z.; Li, H.; Lau, B.K. Design of Bandwidth-Enhanced and Multiband MIMO Antennas Using Characteristic Modes. IEEE Antennas Wirel. Propag. Lett. 2013, 12, 1696–1699. [Google Scholar] [CrossRef]
- Liu, Y.Y.; Tu, Z.H. Compact Differential Band-Notched Stepped-Slot UWB-MIMO Antenna with Common-Mode Suppression. IEEE Antennas Wirel. Propag. Lett. 2017, 16, 593–596. [Google Scholar] [CrossRef]
- Addepalli, T.; Kumar, M.S.; Jetti, C.R.; Gollamudi, N.K.; Kumar, B.K.; Kulkarni, J. Fractal Loaded, Novel, and Compact Two- and Eight-Element High Diversity MIMO Antenna for 5G Sub-6 GHz (N77/N78 and N79) and WLAN Applications, Verified with TCM Analysis. Electronics 2023, 12, 952. [Google Scholar] [CrossRef]
- Bayarzaya, B.; Hussain, N.; Awan, W.A.; Sufian, M.A.; Abbas, A.; Choi, D.; Lee, J.; Kim, N. A Compact MIMO Antenna with Improved Isolation for ISM, Sub-6 GHz, and WLAN Application. Micromachines 2022, 13, 1355. [Google Scholar] [CrossRef]
- Khan, I.; Wu, Q.; Ullah, I.; Rahman, S.U.; Ullah, H.; Zhang, K. Designed Circularly Polarized Two-Port Microstrip MIMO Antenna for WLAN Applications. Sciences 2022, 12, 1068. [Google Scholar] [CrossRef]


















| Parameter | W | W1 | W2 | W3 | W4 | W5 | Wf | Lf | Gap | L1 |
| Value/mm | 20 | 2 | 1.5 | 0.5 | 3 | 1 | 3 | 10 | 0.2 | 5.6 |
| Parameter | L2 | L3 | L4 | L5 | L6 | L7 | L8 | L9 | L10 | L11 |
| Value/mm | 10 | 11 | 6.3 | 9 | 13 | 7.3 | 16 | 4.9 | 7.7 | 5 |
| Ref. | Ports Number | TCM | Size (mm3) | Band (GHz) | Min- Isolation (dB) | Peak Gain (dB) | Min- Efficiency (%) | ECC |
|---|---|---|---|---|---|---|---|---|
| [1] | 1 | No | 50 × 50 × 2 | 2.4–2.51 5.87–7.04 | / | 5.4 | 63–70 | / |
| [2] | 1 | No | 43 × 3 × 0.4 | 2.4–2.848 5.15–7.125 | / | 0.82 2.58 | 53 68 | / |
| [3] | 1 | No | 30 × 40 × 1.575 | 2.39–3.75 5.39–7.18 | / | 2.558 4.109 | 90 | / |
| [6] | 4 | Yes | 50 × 50 × 11.2 | 2.4–2.5 5.15–7.125 | >20 | 4.0–5.9 | >86 | <0.01 |
| [7] | 2 | No | 50 × 50 × 1.6 | 2.25–2.9 5.05–6.025 | >19.3 | 3.8 | >61.4 | <0.03 |
| [10] | 2 | No | 25 × 25 × 1.57 | 3.4–3.6 5.15–5.85 | >19.8 | / | / | <0.06 |
| [13] | 2 | No | 50 × 40 × 1.59 | 2.12–2.8 4.95–6.65 | >15 | 6.4 | / | <0.01 |
| [25] | 2 | Yes | π × 182 × 7 | 2.4–2.49 | >20 | 3.5 | >75 | <0.014 |
| [27] | 4 | Yes | 55 × 55 × 1.56 | 5.7–5.9 | >32 | 5.3 | >84 | <0.0001 |
| [28] | 2 | Yes | 120 × 50 × 5.4 | 2.25–2.63 5.14–6.06 | >15.3 | 5.2 6.7 | >81 | <0.12 |
| [40] | 2 | No | 72 × 72 × 1.6 | 5.14–6.06 | >15 | >2.5 | >95 | <0.005 |
| [41] | 2 | No | 44 × 31 × 1.6 | 2.28–2.47 3.34–3.73 4.57–6.75 | >20 | 1.3 2.9 4.3 | / | <0.002 |
| [42] | 2 | No | 22.5 × 50 × 3.5 | 5.2–6.4 | >18 | 6 | 72–84 | <0.001 |
| This work | 4 | Yes | 40 × 40 × 1.6 | 5.68–8.01 | >20 | 2.5–6.5 | 79–93 | <0.001 |
Disclaimer/Publisher’s Note: The statements, opinions and data contained in all publications are solely those of the individual author(s) and contributor(s) and not of MDPI and/or the editor(s). MDPI and/or the editor(s) disclaim responsibility for any injury to people or property resulting from any ideas, methods, instructions or products referred to in the content. |
© 2023 by the authors. Licensee MDPI, Basel, Switzerland. This article is an open access article distributed under the terms and conditions of the Creative Commons Attribution (CC BY) license (https://creativecommons.org/licenses/by/4.0/).
Share and Cite
Wang, Z.; Wang, M.; Nie, W. Design of a Dual-Band WiFi Antenna Using the Theory of Characteristic Modes and Nested Chinese Characters. Electronics 2023, 12, 3465. https://doi.org/10.3390/electronics12163465
Wang Z, Wang M, Nie W. Design of a Dual-Band WiFi Antenna Using the Theory of Characteristic Modes and Nested Chinese Characters. Electronics. 2023; 12(16):3465. https://doi.org/10.3390/electronics12163465
Chicago/Turabian StyleWang, Zhonggen, Mingqing Wang, and Wenyan Nie. 2023. "Design of a Dual-Band WiFi Antenna Using the Theory of Characteristic Modes and Nested Chinese Characters" Electronics 12, no. 16: 3465. https://doi.org/10.3390/electronics12163465
APA StyleWang, Z., Wang, M., & Nie, W. (2023). Design of a Dual-Band WiFi Antenna Using the Theory of Characteristic Modes and Nested Chinese Characters. Electronics, 12(16), 3465. https://doi.org/10.3390/electronics12163465

