Next Article in Journal
Path Planning for Mount Robot Based on Improved Particle Swarm Optimization Algorithm
Previous Article in Journal
Agile Software Development and Reuse Approach with Scrum and Software Product Line Engineering
 
 
Font Type:
Arial Georgia Verdana
Font Size:
Aa Aa Aa
Line Spacing:
Column Width:
Background:
Article

Optimization of Protection Level of GBAS with Gaussian Mixture Model

1
The 54th Research Institute of China Electronics Technology Group Corporation, Shijiazhuang 050081, China
2
State Key Laboratory of Satellite Navigation System and Equipment Technology, Shijiazhuang 050081, China
3
School of Instrument Science and Technology, Harbin Engineering University, Harbin 150001, China
*
Author to whom correspondence should be addressed.
Electronics 2023, 12(15), 3290; https://doi.org/10.3390/electronics12153290
Submission received: 16 June 2023 / Revised: 28 July 2023 / Accepted: 28 July 2023 / Published: 31 July 2023
(This article belongs to the Special Issue Cooperative Localization Performance for IoT WSNs)

Abstract

The Gaussian mixture model (GMM) is commonly used to model the heavy tail of the ground-based augmentation system (GBAS) range error distribution. In practice, Gaussian over-bounding based on a GMM is used to over-bound the heavy tail of the ranging errors, but the GBAS protection levels (PLs) based on the Gaussian over-bounding tend to be overestimated. Based on the idea of solution separation and overcoming the shortcoming of its direct reference to GBAS, this paper analyses the constraint conditions and objective functions of the optimal protection level based on solution separation under a GMM distribution, and proposes that multi-hypothesis solution set classification can effectively reduce the computational complexity. At the same time, least squares optimization and dynamic allocation of integrity risk are used to further reduce the protection level. This paper verifies the validity of the parameters of the GMM based on actual airport GBAS data, performs simulation verification of the typical scenarios of CAT I and CAT II/IIIa global GBAS under the Beidou 3 constellation, and analyses the performance improvement effect under different solution set traversal depths. The results show that when the traversal depths of CAT I and CAT II/IIIa are 4 and 6, the vertical protection level component of the ground ranging error is reduced by 14% and the total vertical protection level is reduced by 10%.

1. Introduction

Integrity is a measure of trust in the accuracy of a navigation system’s information [1]. For users of aviation navigation, land transportation, navigation, and other services, integrity is a crucial performance indicator. It is directly tied to the safety of users and the success or failure of missions. Satellite-based augmentation system (SBAS), GBAS, and other systems have been developed sequentially by relevant organizations both at home and abroad to provide high-precision and high-integrity navigation services. The permissible error confidence limit for determining theoretical integrity risk by protection level is used in relevant SBAS and GBAS standards [2,3,4,5,6]. The level of protection can be described further as an analytic function of satellite geometry and GNSS error distribution. The satellite status given to SBAS and GBAS users can uniquely establish the satellite geometry. The features of GNSS error distribution are critical parameters of SBAS and GBAS. The satellite status given to SBAS and GBAS users can uniquely establish the satellite geometry. The features of GNSS error distribution are crucial parameters of SBAS and GBAS, as well as research focuses.
The existing SBAS and GBAS standards assume that the relevant GNSS error follows a Gaussian distribution with a mean of zero, which simplifies the computation of positioning and protection level, but there are two disadvantages: (1) the multipath error may be non-Gaussian in practical applications [7,8]; and (2) the number of samples required for integrity risk testing is difficult to obtain, and it is impossible to verify that the actual error distribution, particularly the tail distribution, obeys the Gaussian distribution [9].
To address the aforementioned issues, a number of measures have been implemented, the most important of which are:
(1)
The first method, called the Gaussian over-bounding method, replaces the original GMM distribution with a simplified Gaussian distribution in satisfying the integrity risk based on the over-bounding principle of cumulative distribution function (CDF). Shively, Pervan, and others have proposed an over-bounding method for estimating the error distribution in the measurement domain by dividing it into two parts, core and tail, which effectively handles the error’s heavy tail characteristics [9,10,11]. Based on this premise, Jiyun Lee put forward the Gaussian over-bounding approach in the positioning domain. The findings indicated that when compared to the Gaussian over-bounding method in the measurement domain, this approach cuts down on the root mean square of the position error by 30% and efficiently decreases the protection level to fulfill the integrity requirements of GBAS [12,13].
(2)
The other method, called the mixed distribution method, calculates the protection level based on a GMM of GBAS ranging error. Rife and others proposed the core over-bounding method [14], Braff proposed the normal inverse Gaussian (NIG) distribution method [15], and Rife proposed the use of the excess mass function method [16]. The above calculations are extremely complex and difficult to achieve in engineering. Blanch proposed a feasible calculation scheme. Assuming that the error distribution follows the GMM, and taking into account the tight core and heavy tail characteristics of the error, he used the Bayesian method to estimate the probability values of different distributions according to the error residual values to obtain the optimal protection level calculation method. The verification results using SBAS data showed that the method reduced the vertical protection level by 50% without losing the integrity risk, but the calculation is complex [17].
In summary, the Gaussian over-bounding method has the advantage of being easy to calculate and the disadvantage of giving a higher protection level, while the mixed distribution method has the advantage of giving a lower protection level and the disadvantage of being difficult to calculate. It is clear that the two methods are complementary; therefore, in this paper, all the observations were divided into two categories according to their contribution to the protection level, the Gaussian over-bounding method was used for those with a small contribution to the protection level, and the mixed distribution method with the multiple hypothetical solutions in the ARAIM algorithm [18,19,20] was used for those with a large contribution to the protection level, which ultimately achieved the purpose of reducing the protection level and the amount of computation could be controlled.

2. The GMM of the GBAS Ranging Errors

The ranging error of satellite navigation obeys a heavy tail distribution. Its core distribution is approximately Gaussian distribution, and its tail distribution is unknown, but the probability density of the tails is much higher than that of the core Gaussian distribution model. The actual measurement data of GBAS and SBAS [12,13,17] show that the GMM is a distribution model that can effectively describe the actual error of satellite navigation. The GMM is a probabilistic model for representing normally distributed subpopulations within an overall population. As shown in Figure 1, the GMM of the ranging error consists of two Gaussian distribution models weighted to include a Gaussian distribution with a small mean square deviation obeyed by the core error distribution and a Gaussian distribution with a large mean square deviation obeyed by the tail errors [12,13,17].
Hence, the probability density function of the GMM can be expressed as [12,13,17]:
f G M = ( 1 ε ) N ( μ c , σ c ) + ε N ( μ t , σ t )
where N ( μ , σ ) represents the probability density function of the normal Gaussian distribution with mean μ and standard variance σ ; μ c and σ c represent the mean and standard variance parameters of the Gaussian distribution dominated by the core distribution; μ t and σ t represent the standard variance of the Gaussian distribution dominated by the tail distribution; and ( 1 ε ) and ε represent the probability that the actual errors obey the Gaussian distribution dominated by the core distribution and the Gaussian distribution dominated by the tail distribution.
The actual measurement error has different parameters depending on the application scenario, user equipment, and error type, and the typical parameters. The correction error of the GBAS ground reference receiver [12] (referred to as typical parameters in the following) can be expressed as:
μ c = μ t = 0 ε = 0.15 σ c = 0.75 σ ,   σ t = 1.82 σ
It should be noted that the above parameters σ c and σ t usually represent the standard variance of the core and tail distributions, and σ represents the base level of the standard variance of σ c and σ t .
The GMM includes two different types of Gaussian distributions, which can be assumed to have the actual error in a core Gaussian distribution state 0 and a tail Gaussian distribution state 1, with probabilities ( 1 ε ) and ε , respectively. The set of satellites available to the user can be expressed as:
S a t = s 1 , s 2 , , s M
where M is the number of satellites in the available satellite set at S a t and s i represents the satellite number.
Each satellite error distribution has two different states, and the Gaussian distribution of the set of satellites S a t has N = 2 M states. The set of states of the satellite error distribution ϕ can be expressed as:
ϕ = ϕ 1 , ϕ 2 , , ϕ N
The arbitrary error distribution state can be expressed as:
ϕ i = α 1 ϕ i ,   α 2 ϕ i , , α M ϕ i
α j ϕ i can take the value 0 or 1, the probability of
p α j ϕ i ( α j ϕ i = 0 ) = 1 ε p α j ϕ i ( α j ϕ i = 1 ) = ε
The corresponding state probabilities are:
P ϕ i = i = 1 M p α j ϕ i
The Gaussian distribution of the corresponding satellite error parameters obeys:
μ α j ϕ i ( α j ϕ i = 0 ) = μ c , σ α j ϕ i ( α j ϕ i = 0 ) = σ c μ α j ϕ i ( α j ϕ i = 1 ) = μ t , σ α j ϕ i ( α j ϕ i = 1 ) = σ t

3. Appling Solution Separation Method to the GMM

The GMM has N states, and for each state the satellite errors follow a Gaussian distribution. The observation equation of any state can be expressed as:
Y = H X + V
where Y is the M dimensional vector of measurements; H is the geometric matrix in the local east-north-up (ENU) Cartesian coordinates; X is the L dimensional vector of the states to be solved containing the user’s location; V is the error information, which obeys the Gaussian distribution, and the parameters of the Gaussian distribution are determined by the state.
Then, the positioning results of the state j can be expressed as:
X j = S j Y
S j = ( H T W j H ) H T W j
W j is the weight matrix of the corresponding state, and S j is the mapping matrix from the ranging domain to the localization domain.
Since GBAS and SBAS focus on the vertical protection level performance, this paper mainly analyzed the vertical protection level, which can be expressed as [18,19]:
V P L j = K f f m d j i = 1 M S 3 , i j 2 σ i j 2 + K f d j i = 1 M Δ S 3 , i j 2 σ i j 2
where V P L j is the vertical protection level of the failure free hypothesis, K f f m d j is the multiplier determined by the allocated integrity risk, K f d j is the multiplier determined by the allocated continuity risk, S 3 , i j is the element of row 3, column i of the matrix of S j , σ i j is the standard variance of the corresponding satellite under the state i as shown in Equation (8), and Δ S 3 , i j = S 3 , i j S 3 , i 1 .
K f f m d j is determined by the allocated integrity risk P int j assigned to the state j and the probability of the state P j . K f f m d j can be calculated as:
P m d j = P int j P j
K f f m d j = Φ 1 ( 1 P int j )
where Φ 1 is the inverse function of the standard normal Gaussian distribution function.
K f d j is determined by the allocated continuity risk assigned to the state j and the state probability P j . K f d j can be calculated as:
P f a j = P c o n j P j
K f d j = Φ 1 ( 1 P f a j 2 )
In summary, the elements of the solution for any of the states j includes:
(1)
Gaussian distribution parameters, i.e., the standard variance parameters, σ i j = σ 1 j , σ 2 j , , σ M j ;
(2)
Probability of solution P j , allocated integrity risk P int j , allocated continuity risk P c o n j , false alarms rate P f a j , and missed alarms rate P m d j ;
(3)
Protection level multiplier K f f m d j and K f d j with the mapping matrix S j ;
(4)
The solution at X j and the protection level V P L j .
The continuity risk and integrity risk need to be satisfied as:
j = 1 M P c o n j P c o n j = 1 M P int j P int
where P c o n , P int are the total continuity and integrity risks assigned to the protection level.
The final protection level is the maximum protection level of all solutions as:
V P L = max ( V P L j ) j 1 , 2 , , N
The traditional solution separation algorithm applied to GMM over-bounding has two drawbacks:
(1)
The design concept of the solution separation algorithm aims to detect the anomaly of satellite navigation, which is achieved by monitoring the difference between the different solutions below a threshold value, so continuity risk is introduced when the difference is higher than the threshold value. The anomaly monitoring of GBAS and SBAS is mainly done by the server side, and the protection level is usually under a fault-free hypothesis, i.e., that there is no need to implement the monitoring algorithm here and no continuity risk at the protection level. The direct use of the solution separation algorithm results in the loss of continuity and protection level.
(2)
As the existing solution separation algorithm is applied to RAIM, which usually only needs to consider the situation of 2–3 satellite failures, the number of the solutions is controllable. But the tail part of the Gaussian mixture distribution has a high probability that almost all assumptions need to be considered, and the number of the solutions is particularly large, which results in a high computational complexity.

4. Optimizing the GMM Protection Level

For problems (1) and (2), this section mainly adopts the optimized least squares parameters to achieve the same position for different solutions to eliminate continuity risk by avoiding the monitoring of the difference between the different solutions, so the protection level can be reduced by removing K f d j i = 1 M Δ S 3 , i j 2 σ i j 2 , which is determined by continuity risk, in Equation (12). On this basis, the classification of solutions is achieved to significantly reduce the operation complexity, and the protection level is further reduced based on the optimal allocation of integrity risk. The vertical protection level minimization with controlled computational complexity is finally achieved as:
min max V P L j j 1,2 , , N
where V P L j = K f f m d j i = 1 M S 3 , i j 2 α i j 2 and V P L j is the vertical protection level. Obviously, the protection level of solution j is affected by K f f m d j , S 3 , i j , and α i j , which differ from solution to solution, and the final protection level is the maximum of all protection levels, as shown in Equation (18). Therefore, it is necessary to rationally configure K f f m d j and S 3 , i j among all the solutions so that the protection levels of different solutions are the same, as much as possible, in order to reduce the maximum value of all protection levels, i.e., the final protection level.
The algorithm should take into account three factors:
(1)
Least squares parameter unification
The different corresponding weighted least squares S j matrices for different distribution states lead to different localization solutions X j and the resulting computational complexity of repeated operations. The continuity risk is mainly used to bound the difference monitoring between different X j . The least squares parameter unification aims to provide a unified S matrix for all the solutions to make all the position solutions X j be the same, to simplify the operation process and to eliminate the continuity risk.
(2)
Solution set classification
As each satellite error distribution has two different states and the satellite number is M, the objective function of protection level minimization min ( max ( V P L j ) ) needs to consider N = 2 M cases under the constraints, which is difficult to calculate. The set of solutions is classified as a set of K complementary and mutually exclusive solutions. For any solution set S e t l , l is the number of the solution set, whose values range from 1 to K , and its key parameters include:
  • The set of solutions S e t l = [ l 1 , l 2 , , l N l ] , where l j represents the number of solutions included in S e t l and N l represents the number of solutions included in S e t l ;
  • Gaussian distribution parameters, i.e., the standard variance parameters of the solution set σ s e t l = σ s e t , 1 l , σ s e t , 2 l , , σ s e t , M l . As there are N l solutions in the solution set S e t l , the standard variance of satellite i, σ s e t , i l , in S e t l is configured as the maximum value among all the standard variance in S e t l as σ s e t , i l = max ( σ i l j ) with l j [ l 1 , l 2 , , l N l ] ;
  • The probability of solution set P s e t l , the integrity risk of solution set P i n t _ s e t l , the missing alarm rate of solution set P m d _ s e t l ;
The state probability of the solution set is the sum of the state probabilities of all the solutions included as:
P s e t l = l j S e t l P l j P m d _ s e t l = P i n t _ s e t l P s e t l
4.
The multiplier of protection level K f f m d _ s e t l ;
5.
The protection level of the solution set S e t l is the maximum protection level of all the included solutions as:
V P L S e t l = max ( V P L l j ) l j S e t l
As the continuity risk is eliminated in the least squares parameter unification, the vertical protection level can be re-expressed as:
V P L l j = K f f m d _ s e t j i = 1 M S 3 , i 2 σ i l j 2
V P L = max ( V P L s e t l )   l 1 , 2 , , K
(3)
Dynamic allocation of integrity risk to solution set
Dynamic allocation of integrity risk is mainly to reasonably allocate the total integrity risk, so that the integrity risk of all solution sets is less than the total integrity risk P int as:
i = 1 K P s e t l P int
Based on the above three factors, the integrity protection level is the function of the unified matrix S , the number of the solution set K and the solution set [ S e t 1 , S e t 2 , S e t K ]
V P L = f ( S , [ S e t 1 , S e t 2 , S e t K ] , K )
The protection level optimization aims to determine S and [ S e t 1 , S e t 2 , S e t K ] according to the case where the operational complexity constrains the value of K such that the protection level is minimized as:
min ( max ( f ( S , [ S e t 1 , S e t 2 , S e t K ] , K ) ) ) s t     i = 1 K P s e t l = P int
In this paper, hierarchical optimization was used to simplify min ( max ( f ( S , [ S e t 1 , S e t 2 , S e t K ] , K ) ) ) , as shown in Figure 2. The specific steps and methods were as follows:
(1)
Solution set determination
The principle of solution set determination is that the calculation amount is controllable, the protection level of all the solutions in the solution set is similar, and the solution probability is the same. Considering that the solution with a large standard variance of ranging error has a great impact on the protection level optimization objective function, this paper determined the solution set according to the number of satellites with a standard variance of ranging error that needed to be considered separately. The specific methods were:
  • The standard variance of GBAS ground ranging error of all M measurements calculated by GBAS positioning and protection level was sorted from large to small;
  • The solution sets were determined according to the traversal depth d t h , i.e., the standard variance of the M d t h observations with smaller standard variance ranking in (1) was determined by the Gaussian over-bounding method, and the remaining observations were determined according to the GMM; then, a total of 2 d t h sets of solutions could be determined.
It can be seen that the Gaussian over-bounding method and the mixed Gaussian method can be regarded as two special cases of this method, and their traversal depths were 0 and M, respectively.
(2)
Least squares parameter S optimization
The principle of least squares parameter optimization is to improve the consistency of the protection level of different solutions in the solution set as much as possible, and reduce the protection level of the maximum solution in the solution set to reduce the protection level of the solution set. Considering that the maximum protection level in the solution set is mainly determined by the satellite error distribution following the tail distribution corresponding term, a simplified objective function can be formed as follows:
min ( max ( S i 2 σ t , i 2 ) )
The solution of this equation is similar to that of NOIRAIM. The solvable methods include heuristic method based on weight estimation [21] and analytic method [22]. Among them, the analytical method based on one-dimensional search has the least amount of calculation and has little difference with the optimal solution. The specific method is as follows:
S can be expressed as [21]:
S = S 0 + β Δ s
where S 0 is the least square mapping matrix; Δ s represents the adjustment vector of the mapping matrix,   Δ s = u j Q , Q   represents the parity check matrix, Q H = 0 n m , n and Q Q T = I n m , u j represent the direction of the unit causing S 0 H ( H T Q T Q H ) 1 / 2 deviation in parity space. Then, the optimized   S as S N L S can be obtained by searching β using the one-dimensional search method.
(3)
Dynamic allocation of integrity risk
As S N L S and the solution set are determined, V P L is only determined by the allocation of the integrity risk, and the objective function is simplified as:
min ( max ( V P L s e t l ) ) s t i = 1 K P s e t l = P int
V P L l j = K f f m d _ s e t j i = 1 M S N L S , 3 , i 2 σ i l j 2
K f f m d _ s e t l = Φ 1 ( 1 P s e t l )
Dynamic allocation of integrity risk mainly solves the protection level imbalance caused by the unbalanced allocation of integrity risk in each solution set, and finally realizes the protection level equalization of solutions under different assumptions. The optimal allocation of integrity risk can be achieved through one-dimensional search [20].

5. Testing and Simulation

5.1. Verification of GMM using Data from an Airport

The 54th Research Institute of the China Electronics Technology Group deployed a GBAS ground station for category II/IIIa (CAT II/IIIa) landings at Xi’an Xianyang International Airport, and it carried out long-term data collection, analysis, and test verification. CAT II and CAT IIIa operations are both precision instrument approach and landing procedures with decision heights of less than 200 feet (60 m) and 100 feet (30 m), respectively, and runway visual ranges of 1200 feet (350 m) and at least 700 feet (200 m), respectively. The specific GBAS equipment used is shown in Figure 3.
In order to verify the correctness and effectiveness of the typical parameters of the GMM, the GNSS data collected by the abovementioned GBAS ground station in a real airport environment were used to analyze the distribution characteristics of the GBAS ground ranging error. The GBAS B value of GBAS can reflect the ground ranging error level [23] as follows. The B-value is calculated as:
B m n = P R c n 1 M r 1 j = 1 j m M r   P R c j n
where
P R c n = 1 M r j = 1 M r   P R c j n P R c m n = S A n + t n + I n + T n + Δ t m + M P m n + ε m n
P R c m n is the pseudo range correction for satellite n and receiver m ; S A n is the selective availability error for satellite n; t n is the clock bias of satellite n; I n is the ionosphere error for satellite n; T n is the troposphere error for satellite n; M P n is the multipath error for satellite n and receiver m ; Δ t m is the clock bias of receiver m; and ε m n is the residual error for satellite n and receiver m .
Clearly, the common errors S A n + t n + I n + T n + Δ t m are eliminated in the B value calculations, and the B values are composed only of uncorrelated measurement noise M P m n + ε m n , which are the main ranging errors of the GBAS. Moreover, the theoretical value of the statistical characteristics of the B-value is
B m n N 0 , R M S p r , g n d 2 M r 1 N s 1 M r N s
where M r is the number of the receivers of the GBAS, N s is the number of the satellites, R M S p r , g n d is the root mean square of the GBAS ground ranging error.
In consideration of the differences in satellite constellation configurations, the GBAS ground ranging error of the Beidou navigation satellite system (BDS) was analyzed by statistically analyzing the B values. The B values were calculated and normalized by the Ground Accuracy Designator B (GAD_B) model to verify that the GBAS ground ranging error obeys a GMM distribution and that the Gaussian over-bounding method can over-bound the heavy tail of the ranging error, as shown in Figure 4. The GAD_B model can be referred to in Equation (35).
As shown in Figure 4, as the probability density of the actual error was higher than the Gaussian model of the core error, it proved that the ranging error obeyed a heavy tail distribution. To bound the heavy tail, the GMM model, which consisted of the Gaussian model of the core error, and the Gaussian over-bounding model, which was configured as GAD_B, were both proposed. It was clear that both models can bound the tail of the ranging error; therefore, the GAD_B model was used as the Gaussian over-bounding model of this GBAS and it could be expressed as N ( 0 , R M S g a d _ B ) , where N represents the probability density function of the normal Gaussian distribution, and R M S g a d _ B can be referred to in Equation (35). The GMM model of this GBAS was obtained and could be expressed as ( 1 ε ) N ( 0 , σ c ) + ε N ( 0 , σ t ) , where ε = 0.25 , σ t = 1.005 × R M S g a d _ B , and σ c = 0.43 × R M S g a d _ B . Since both models were obtained from actual data, the GMM was used as the ground ranging error model in the subsequent validation, and the Gaussian over-bounding model was used as the comparison.

5.2. Global GBAS Service Performance Simulation Verification

The main error parameters referred to the RTCA DO245 for ground ranging error, airborne ranging error, tropospheric error, and ionospheric error [4].
(1)
Ground ranging error
The root mean square of the ground ranging error can be expressed as follows:
R M S G a d θ i = a 0 + a 1 e θ i / θ 0 2 M r + a 2 2
where θ i represents satellite elevation; M r represents the number of ground reference receivers; and θ 0 is the model parameter. The ground ranging error in CAT-II/IIIa simulation was subject to the GAD_B model parameters. The GAD B model parameters a 0 , a 1 , θ 0 and a 2 were 0.16 m, 1.07 m, 15.5° and 0.08 m, respectively.
(2)
Airborne ranging error
The root mean square of the airborne ranging error can be expressed as follows:
R M S A a d θ i = a 0 + a 1 e θ i / θ 0 2
where θ i represents satellite elevation and θ 0 is the model parameter. The airborne ranging error in CAT-II/IIIa simulation was subject to the AAD_B and AMD model parameters. a 0 , a 1 , θ 0 were 0.11 m, 0.13 m, and 4°, respectively, in AAD_B, and 0.065 m, 0265 m, and 10°, respectively, in AMD_B.
(3)
Tropospheric error
The standard variance of the tropospheric error can be expressed as follows:
σ t r o p θ = σ N h 0 10 6 0.002 + sin 2 ( θ ) 1 e Δ h h 0
where θ represents satellite elevation; σ N represents the broadcast local tropospheric refraction uncertainty parameter; h 0 represents the local tropospheric height of broadcasting and the typical value of h 0 is 16,000 m; and Δ h represents the altitude difference between the aircraft and the ground and is set to 30 m in CAT II/IIIa.
(4)
Ionospheric error
The standard variance of the ionospheric error can be expressed as follows:
σ i o n o θ = F p p σ v e r t _ i o n o _ g r a d ( x a i r + 2 τ v a i r )
where θ represents satellite elevation; F p p represents the vertical-to-slant obliquity factor; σ v e r t _ i o n o _ g r a d represents the spatial gradient parameter of the GBAS and the typical value is 2 mm/km; x a i r represents the distance between the aircraft and the GBAS reference station, taking a typical value of 5 km; τ represents GBAS smoothing time, with the value of 100 s; and v a i r represents the movement speed of the aircraft, and the typical value is 70 m/s.
Airborne ranging error, tropospheric error, and ionospheric error basically obey Gaussian distribution, and the ground ranging error is affected by multipath and other factors, and follows the GMM. The above parametric model was used to simulate GBAS service performance in 2592 grids selected globally every 5 degrees of latitude and every 5 degrees of longitude, and each grid was simulated for a total of 24 h at intervals of 400 s. The simulated constellation was adopted from the Beidou-3 global system, including 3GEO + 3IGSO + 27MEO, but only 3IGSO + 27MEO were used to realize the GBAS navigation and positioning function [24], and the satellite occlusion angle was set to 5°
The comparison and analysis of the Gaussian over-bounding method and the GMM protection level optimization method were mainly carried out from two aspects: the ground ranging error protection level component and the total protection level.
(1)
Comparison of protection level components of ground ranging error
The ground ranging error protection level component was the amount of ground ranging error contribution to the GBAS protection level. Considering the computational capability on the airborne side, the performance of the global protection level improvement was simulated for the traversal depth being 0 to 6, including a maximum set of 2 6 = 64 solution sets.
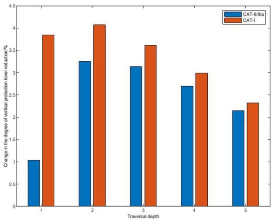
The statistical analysis of the vertical protection level component’s reduction of global CAT-II/IIIa and CAT-I ground ranging errors is shown in Figure 5 and Figure 6.
It can be seen that when the number of solution sets was increased, that is, with the increase in traversal depth, the vertical protection level component of the GBAS ground ranging error decreased effectively. Under the same traversal depth, the protection level of the GBAS ground ranging error CAT-I vertical protection component was significantly lower than for the CAT-II/IIIa vertical protection component. When the traversal depth was 2, the change in the degree of vertical protection was the largest. When the traversal depth was greater than 2, the change in the degree of vertical protection gradually became smaller. When the travel depth was 4, the CAT-II/IIIa ground ranging error protection level component was reduced by 10.0% and the CAT-I ground ranging error protection level component was reduced by 14.5%. When the traversal depth was 6, the CAT-II/IIIa ground ranging error protection level component was reduced by 13.9%, and the CAT-I ground ranging error protection level component was reduced by 18.6%.
A 5° × 5° grid was used to compare the global CAT-I and CAT-II/IIIa vertical protection level simulations based on the single constellation GBAS of BeiDou-3. With a traversal depth of 4, the CAT-II/IIIa vertical protection level was reduced by 7.7% and the CAT-I protection level component was reduced by 10.3%. With a traversal depth of 6, the CAT-II/IIIa vertical protection level was reduced by 10.3% and the CAT-I protection level component was reduced by 13.1%. It can be seen that the required solution set traversal depth was 4 for CAT-I demand and 6 for CAT-II/IIIa demand with the goal of reducing 10% of the vertical protection level of the GBAS of BeiDou-3.
Taking the CAT-II/IIIa traversal depth of 6 as an example, the global 5° × 5° vertical protection level is shown in Figure 7, Figure 8 and Figure 9. This method effectively reduced the vertical maximum protection level under 99% availability at different locations globally compared to the traditional Gaussian over-bounding method, with a maximum reduction of 13.0% and a minimum reduction of 5.5% at different grid points.
As shown in Figure 7, Figure 8 and Figure 9, the global vertical protection level of the different methods was highly correlated with latitude, and generally showed that the protection level decreased as the latitude changed from southern to northern latitudes, and the lowest protection level was found between 40 and 70 degrees north latitude, and the average values of the protection level of 99% availability for this method and Gaussian over-bounding method with the traversal depth of 6 were lower than 2.25 m and 2.5 m, respectively. The details are shown in Figure 10. Meanwhile, since China and neighboring regions can receive 3IGSO more than other regions, the protection level in China and its surrounding areas is much lower than that in other areas at the same latitude, and is comparable to the protection level from 40 degrees to 70 degrees north latitude.
Further analysis of the correlation between the performance of the proposed method and latitude showed that the proposed method had a higher level of performance improvement in the four zones of the north and south poles, 20 degrees north latitude, and 20 degrees south latitude, with an average value better than 10%, as shown in Figure 11.

6. Conclusions

In order to balance the minimization of the GBAS protection level and the ease of operation of airborne equipment, a multi-hypothesis protection level optimization algorithm under the GMM distribution is proposed. Actual airport data verified that the GBAS ranging error obeys the GMM model, and the simulation results of multiple scenarios showed that the proposed method basically eliminates the loss of protection level in the Gaussian over-bounding method. It should be pointed out that satellite navigation errors generally obey the heavy-tailed distribution, so the new method proposed in this paper is also applicable to other integrity engineering techniques such as SBAS and ARAIM.
Although the protection level of the new method is significantly lower than that of the existing Gaussian over-bounding method, the protection level can be further reduced. Since the B value, which reflects the current GBAS ranging error, can be calculated in real time and a priori GMM distribution of the ranging error is known, a posteriori distribution of the ranging error, which is a more precise error model and results in a lower protection level, can be obtained by a Bayesian approach or an expectation-maximum algorithm.

Author Contributions

Conceptualization, Y.W.; methodology, J.Z.; validation, S.H. (Shenying Hui); formal analysis, J.Z.; investigation, J.Z.; data curation, S.H. (Shuo Hao); writing—original draft preparation, J.Z.; writing—review and editing, S.H. (Shuo Hao); supervision, B.Y. All authors have read and agreed to the published version of the manuscript.

Funding

This research was funded by the State Key Laboratory of Satellite Navigation System and Equipment Technology, grant number 22684X023.

Data Availability Statement

The data presented in this study are available on request from the corresponding author. The data are not publicly available due to industrial reservations.

Conflicts of Interest

The authors declare no conflict of interest.

References

  1. ICAO. Radio Navigation Aids. In Standards and Recommended Practices; ICAO: Montreal, QC, Canada, July 2018; Annex 10; Volume 1. [Google Scholar]
  2. RTCA DO-229; Minimum Operational Performance Standards for Global Positioning System/Wide Area Augmentation System Airborne Equipment. RTCA: Washington, DC, USA, 11 June 2020.
  3. RTCA DO-253; Minimum Operational Performance Standards for GPS Local Area Augmentation System Airborne Equipment. RTCA: Washington, DC, USA, 13 July 2017.
  4. RTCA/DO-245; Minimum Aviation System Performance Standards for the Local Area Augmentation System (LAAS). RTCA: Washington, DC, USA, 9 December 2004.
  5. FAA-E-2937A; FAA Specification: Performance Type One Local Area Augmentation System Ground Facility. FAA: Washington, DC, USA, 17 April 2002.
  6. FAA/AND710-2937; FAA Specification: Category I Local Area Augmentation System Non-Federal Ground Facility. FAA: Washington, DC, USA, 31 May 2001.
  7. Pervan, B.; Pullen, S.; Sayim, I. Sigma Estimation, Inflation, and Monitoring in the LAAS Ground System. In Proceedings of the 13th International Technical Meeting of the Satellite Division of The Institute of Navigation (ION GPS 2000), Salt Lake City, UT, USA, 19–22 September 2000. [Google Scholar]
  8. DeCleene, B. Defining pseudorange integrity overbounding. In Proceedings of the 13th International Technical Meeting of the Satellite Division of The Institute of Navigation (ION GPS 2000), Salt Lake City, UT, USA, 19–22 September 2000; pp. 1916–1924. [Google Scholar]
  9. Shively, C.A.; Braff, R. An overbound concept for pseudorange error from the LAAS ground facility. In Proceedings of the IAIN World Congress and the 56th Annual Meeting of The Institute of Navigation (2000), San Diego, CA, USA, 26–28 June 2000; pp. 661–671. [Google Scholar]
  10. Pervan, B.; Sayim, I. Sigma inflation for the local area augmentation of GPS. IEEE Trans. Aerosp. Electron. Syst. 2001, 37, 1301–1311. [Google Scholar] [CrossRef]
  11. Pervan, B.; Sayim, I. Issues and Results Concerning the LAAS σpr_gnd Overbound. In Proceedings of the IEEE Position Location and Navigation Symposium (PLANS) 2000, San Diego, CA, USA, 13–16 March 2000. [Google Scholar]
  12. Lee, J.; Pullen, S.; Enge, P. Sigma overbounding using a position domain method for the local area augmentaion of GPS. IEEE Trans. Aerosp. Electron. Syst. 2009, 45, 1262–1274. [Google Scholar]
  13. Lee, J. LAAS position domain monitor analysis and test results for CAT II/III operations. In Proceedings of the 17th International Technical Meeting of the Satellite Division of The Institute of Navigation (ION GNSS 2004), Long Beach, CA, USA, 21–24 September 2004; pp. 2786–2796. [Google Scholar]
  14. Rife, J.; Pullen, S.; Pervan, B. Core overbounding and its implications for LAAS integrity. In Proceedings of the 17th International Technical Meeting of the Satellite Division of The Institute of Navigation (ION GNSS 2004), Long Beach, CA, USA, 21–24 September 2004; pp. 2810–2821. [Google Scholar]
  15. Braff, R.; Shively, C. A method of over bounding ground based augmentation system (GBAS) heavy tail error distributions. J. Navig. 2005, 58, 83–103. [Google Scholar] [CrossRef]
  16. Rife, J.; Walter, T.; Blanch, J. Overbounding SBAS and GBAS error distributions with excess-mass functions. In Proceedings of the International Symposium on GNSS/GPS, Sydney, Australia, 6–8 December 2004. [Google Scholar]
  17. Blanch, J.; Walter, T.; Enge, P. Position error bound calculation for GNSS using measurement residuals. IEEE Trans. Aerosp. Electron. Syst. 2008, 44, 977–984. [Google Scholar] [CrossRef]
  18. Blanch, J.; Walter, T.; Enge, P.; Lee, Y.; Pervan, B.; Rippl, M.; Spletter, A. Advanced RAIM user algorithm description: Integrity support message processing, fault detection, exclusion, and protection level calculation. In Proceedings of the 25th International Technical Meeting of The Satellite Division of the Institute of Navigation (ION GNSS 2012), Nashville, TN, USA, 17–21 September 2012; pp. 2828–2849. [Google Scholar]
  19. Blanch, J.; Walker, T.; Enge, P.; Lee, Y.; Pervan, B.; Rippl, M.; Spletter, A.; Kropp, V. Baseline advanced RAIM user algorithm and possible improvements. IEEE Trans. Aerosp. Electron. Syst. 2015, 51, 713–732. [Google Scholar] [CrossRef]
  20. Blanch, J.; Walter, T.; Enge, P. RAIM with optimal integrity and continuity allocations under multiple failures. IEEE Trans. Aerosp. Electron. Syst. 2010, 46, 1235–1247. [Google Scholar] [CrossRef]
  21. Madonna, P.; Viola, S.; Sfarzo, L. NIORAIM algorithm applied to a multiconstellation GNSS: Analysis of integrity monitoring performances in various phases of flight. In Proceedings of the IEEE/ION Position, Location and Navigation Symposium, Indian Wells, CA, USA, 4–6 May 2010; pp. 1258–1263. [Google Scholar]
  22. Joerger, M.; Langel, S.; Pervan, B. Integrity Risk Minimisation in RAIM Part 2: Optimal Estimator Design. J. Navig. 2016, 69, 709–728. [Google Scholar] [CrossRef]
  23. Li, Q.; Zhu, Y.B.; Fang, K. Performance analysis of GBAS based on code minus carrier and B values. Zhongguo Minhang Daxue Xuebao/J. Civ. Aviat. Univ. China 2013, 31, 9–12. [Google Scholar]
  24. Guo, S.; Cai, H.; Meng, Y.; Geng, C.; Jia, X.; Mao, Y.; Geng, T.; Rao, Y.; Zhang, H.; Xie, X. BDS-3 RNSS technical characteristics and service performance. Acta Geod. Cartogr. Sin. 2019, 48, 810–821. [Google Scholar]
Figure 1. The probability density of the GMM of the GBAS.
Figure 1. The probability density of the GMM of the GBAS.
Electronics 12 03290 g001
Figure 2. Hierarchical optimization method steps.
Figure 2. Hierarchical optimization method steps.
Electronics 12 03290 g002
Figure 3. GBAS ground station central processing equipment and outdoor acquisition equipment.
Figure 3. GBAS ground station central processing equipment and outdoor acquisition equipment.
Electronics 12 03290 g003
Figure 4. Probability density of Beidou ground ranging error of the GBAS ground station.
Figure 4. Probability density of Beidou ground ranging error of the GBAS ground station.
Electronics 12 03290 g004
Figure 5. Comparison chart of GBAS vertical protection level reduction with different traversal depths.
Figure 5. Comparison chart of GBAS vertical protection level reduction with different traversal depths.
Electronics 12 03290 g005
Figure 6. Comparison chart of the variation in GBAS vertical protection level reduction with different traversal depths.
Figure 6. Comparison chart of the variation in GBAS vertical protection level reduction with different traversal depths.
Electronics 12 03290 g006
Figure 7. Global CAT II/IIIa GBAS vertical protection level diagram under 99% availability of Gaussian over-bounding method.
Figure 7. Global CAT II/IIIa GBAS vertical protection level diagram under 99% availability of Gaussian over-bounding method.
Electronics 12 03290 g007
Figure 8. Traversal depth of 6 for this method under 99% availability of the global CAT II/IIIa GBAS vertical protection level.
Figure 8. Traversal depth of 6 for this method under 99% availability of the global CAT II/IIIa GBAS vertical protection level.
Electronics 12 03290 g008
Figure 9. Comparison of the vertical protection level of global CAT II/IIIa GBAS at 99% availability for this method and Gaussian over-bounding method with traversal depth of 6.
Figure 9. Comparison of the vertical protection level of global CAT II/IIIa GBAS at 99% availability for this method and Gaussian over-bounding method with traversal depth of 6.
Electronics 12 03290 g009
Figure 10. Latitude correlation diagram of global CAT II/IIIa GBAS vertical protection level under 99% availability of this method with traverse depth of 6 and Gaussian over-bounding method.
Figure 10. Latitude correlation diagram of global CAT II/IIIa GBAS vertical protection level under 99% availability of this method with traverse depth of 6 and Gaussian over-bounding method.
Electronics 12 03290 g010
Figure 11. Latitude correlation chart of global CAT II/IIIa GBAS vertical protection level reduction under 99% availability of this method with traverse depth of 6 compared with Gaussian over-bounding method.
Figure 11. Latitude correlation chart of global CAT II/IIIa GBAS vertical protection level reduction under 99% availability of this method with traverse depth of 6 compared with Gaussian over-bounding method.
Electronics 12 03290 g011
Disclaimer/Publisher’s Note: The statements, opinions and data contained in all publications are solely those of the individual author(s) and contributor(s) and not of MDPI and/or the editor(s). MDPI and/or the editor(s) disclaim responsibility for any injury to people or property resulting from any ideas, methods, instructions or products referred to in the content.

Share and Cite

MDPI and ACS Style

Wang, Y.; Zhao, J.; Hao, S.; Hui, S.; Yu, B. Optimization of Protection Level of GBAS with Gaussian Mixture Model. Electronics 2023, 12, 3290. https://doi.org/10.3390/electronics12153290

AMA Style

Wang Y, Zhao J, Hao S, Hui S, Yu B. Optimization of Protection Level of GBAS with Gaussian Mixture Model. Electronics. 2023; 12(15):3290. https://doi.org/10.3390/electronics12153290

Chicago/Turabian Style

Wang, Yao, Jingbo Zhao, Shuo Hao, Shenying Hui, and Baoguo Yu. 2023. "Optimization of Protection Level of GBAS with Gaussian Mixture Model" Electronics 12, no. 15: 3290. https://doi.org/10.3390/electronics12153290

APA Style

Wang, Y., Zhao, J., Hao, S., Hui, S., & Yu, B. (2023). Optimization of Protection Level of GBAS with Gaussian Mixture Model. Electronics, 12(15), 3290. https://doi.org/10.3390/electronics12153290

Note that from the first issue of 2016, this journal uses article numbers instead of page numbers. See further details here.

Article Metrics

Back to TopTop