Next Article in Journal
Optimal Volume Planning and Scheduling of Paper Production with Smooth Transitions by Product Grades
Previous Article in Journal
A Self-Triggered Digitally Assisted Hybrid LDO with 110 ns Settling Time in 65 nm CMOS
Previous Article in Special Issue
A Novel Fully Digital Feedforward Background Calibration Technique for Timing Mismatch in M-Channel Time-Interleaved ADCs
 
 
Font Type:
Arial Georgia Verdana
Font Size:
Aa Aa Aa
Line Spacing:
Column Width:
Background:
Article

Hybrid NOMA Protocol with Relay Adaptive AF/DF Collaboration and Its Modeling Analysis in NB-IoT

1
School of Sciences, Lanzhou University of Technology, Lanzhou 730050, China
2
School of Electrical and Information Engineering, Lanzhou University of Technology, Lanzhou 730050, China
*
Authors to whom correspondence should be addressed.
Electronics 2023, 12(15), 3217; https://doi.org/10.3390/electronics12153217
Submission received: 18 June 2023 / Revised: 19 July 2023 / Accepted: 23 July 2023 / Published: 25 July 2023
(This article belongs to the Special Issue Advanced Technologies in Digital Signal Processing)

Abstract

In order to meet the demand for large-scale device access in Narrowband Internet of Things (NB-IoT) and to overcome the problem that some resources are wasted due to the use of single decode-and-forward (DF) or amplify-and-forward (AF) collaboration in traditional collaborative communication, this paper introduces a non-orthogonal multiple access (NOMA) and orthogonal multiple access (OMA) hybrid access method into the NB-IoT and proposes a new Hybrid NOMA transmission protocol with relay adaptively selectable collaboration, which is represented as an algorithm. Based on this protocol, we classify the whole transmission process into five states after deriving the outage probability of each link. We then consider the system as a discrete-time Markov model, the closed expressions of the system outage probability and throughput are derived based on the system steady-state probability. In order to improve the system’s reliability, we further optimize the above protocol by allowing the source node to retransmit the unsuccessful received superimposed signals a limited number of times. Numerical results and simulations show that the outage probability is lower when multiple retransmissions are possible. The proposed relay adaptive collaborative hybrid NOMA transmission protocol has advantages over the pure OMA transmission mode.

1. Introduction

With the continuous development of IoT, a large number of IoT applications, such as remote control, health detection, smart meter, autonomous driving, and smart agriculture, are gradually entering people’s production and life. To meet the massive connectivity needs of the IoT while providing a better service experience for IoT users, Machine-Type Communication (MTC) has attracted much attention from IoT scenarios. It refers to communication with terminals or devices that exchange data without human intervention. Unlike the existing human-type communication (HTC), the MTC model is characterized by periodic or infrequent small data transmissions that originate mainly from end devices [1]. In 2015, the International Telecommunication Union (ITU) defined enhanced mobile broadband (eMBB), massive machine-type communication (mMTC), and ultra-reliable low latency communication (URLLC) [2] as three classical application scenarios for 5th generation mobile networks (5G), where mMTC and URLLC are considered as two typical MTCs. mMTC, unlike URLLC, is characterized by high connection density with a large number of low-power, low-cost devices, low end-to-end latency requirements, and the ability to transmit small data packets. As a new scenario extended by 5G, mMTC faces IoT services mainly to solve the problem that large-scale IoT connectivity cannot be realized in traditional communication.
Narrowband IoT (NB-IoT) is a key technology for 5G mMTC and can be operated in the 5G NR band, similar to the current LTE [3]. Narrowband IoT has a very low bandwidth and can be implemented in the in-band, protected band, and independent operators of cellular networks. Therefore, it has a wide usable range, large coverage area, and low power consumption. All these should be implemented on the foundation of ensuring the security of information technology, which is one of the popular directions of current research. At present, related scholars have developed various algorithms based on algorithms to improve the security of the system in various types of environments [4,5]. For large-scale links, currently, NB-IoT uses the orthogonal multiple access (OMA) scheme at 180 kHz bandwidth, which allows each subcarrier to serve only a single user, and thus the scheme cannot meet the demand for multi-connectivity requirements [6], and the application of non-orthogonal multiple access (NOMA) effectively solves this problem [7]. The key idea of NOMA technology is that multiple users can be served by the same radio resource simultaneously. In Power-Domain NOMA, the transmitter and receiver, respectively, use Superposition Coding (SC) and Serial Interference Cancellation (SIC) to improve spectrum efficiency and enable large-scale transmission.
To further improve network coverage and reliability and meanwhile ensure user quality of service, hybrid NOMA [8,9,10,11,12], in which NOMA and OMA can be freely switched, and collaborative NOMA have been studied in the existing works of literature. The authors in [8] use the hybrid NOMA model to minimize the transmission delay of MIMO-mobile edge computing (MEC) in 6G communication networks. The advantageous performance of hybrid NOMA in cognitive radio systems is studied in [9]. Ref. [10] proposes a novel buffer-assisted relay selection scheme by fusing the concepts of NOMA and OMA. In [11], a hybrid NOMA/OMA-based relay selection scheme with buffer assistance in IoT is proposed. In [12], a hybrid NOMA scheme is considered for uplink wireless transmission systems, and an energy efficiency (EE) maximization problem is formulated.
The collaborative communication technique [13] is a technique that uses relay nodes to increase user capacity, combat fading, and reduce the probability of system outages. Collaborative relay technology was first proposed by Andrew Sendonaris and other scholars in 2003 and was demonstrated that collaborative transmission can obtain higher data rates and better cope with channel variations under the use of an unrestricted system model and the use of fixed transmission scheme system models, respectively [14,15]. Then two basic types of relaying collaboration methods, i.e., amplify-and-forward (AF) and decode-and-forward (DF) were proposed by some scholars. With the continuous development of collaborative communication technology, collaborative communication techniques have been used in real communication scenarios and have been included in standards such as IEEE 802.11s-WLAN, 802.16j-WMAN, and 802.20-MBWA [16]. For long-range users whose channel conditions are poor and no direct link can be established between the base station and the user, the relay can help to deliver the information of such users to extend the propagation range. The literature [17] provides an early research scenario on combining NOMA with collaborative communication, which includes a source node with multiple destination nodes, and concludes that collaborative NOMA outperforms ordinary NOMA. In [18], an energy harvesting relay-assisted NOMA NB-IoT network is considered and an online optimization algorithm with deep reinforcement learning is used to improve the proportional fairness and total throughput among NB-IoT devices. Unlike the above-mentioned literature where the transmitting node retransmits the packet at most once, based on the outage performance of NOMA system with HARQ, [19] obtains the tradeoff between the number of retransmissions of superposition signal and the power distribution of the system. In [20] designs the system in which each user can perform one retransmission if the previous packet is not successfully decoded and obtains the false packet rate and throughput in a collaborative scenario by using a Markov model. Refs. [21,22] use the collaboration technique of buffer-assisted relay to help the H-NOMA system reduce outage probability and increase throughput.
Although a series of previous hybrid NOMA models allow nodes to switch modes flexibly to better adapt to the different requirements generated by different environments on the receiver side and get better system performance, the above-mentioned studies models in collaborative communication still have limitations in using only a single relay forwarding approach. For example, when the decode-and-forward (DF) relay incorrectly decodes the signal or fails to receive the signal, the relay is unable to complete the task of collaborative transmission, which is not only underutilized but also consumes unnecessary energy. In contrast, although the operation of the Amplify-and-Forward (AF) relay is simple, it also amplifies the noise while amplifying the signal required by the destination node, which does not necessarily obtain a good performance when the channel state is poor.
We note that in [23,24,25], the authors consider AF and DF together to form a model in which the relay can adaptively select the collaboration method. Considering the integration of the respective advantages and disadvantages of AF and DF collaboration approaches, the literature [23] proposes a threshold-based adaptive relay collaboration approach, which makes the relay a better collaboration performance. In [24], a hybrid AF/DF cooperative system is formed to improve the achievable end-to-end performance. The source node in the literature [25] communicates with a pair of energy harvesting (EH) user devices through a multi-antenna relay node to finally obtain a new expression for the secrecy rate.
To enable NB-IoT for more massive connections and lower energy consumption for cheap MTC devices, this paper considers the combination of NOMA and OMA, using NOMA technology to increase the number of connected users and the channel capacity on the one hand and using OMA technology to reduce the complexity of separating the information required by different users when the system only needs to retransmit for individual decoding failure and save overhead and reduce energy consumption on the other hand. Meanwhile, considering the wide coverage of NB-IoT, this paper considers a relay that can combine AF and DF to overcome the problem of excessive noise amplification caused by a single AF relay and the high complexity of decoding signals by a single DF relay, and thus improve the signal quality while expanding the coverage. Since NB-IoT is suitable for IoT scenarios with insensitive delay requirements, this paper is able to analyze the impact of multiple information retransmissions on system performance without considering the delay increase. Combined with the above discussion, this paper investigates the proposed Hybrid NOMA transmission protocol with an adaptive relay collaboration approach. Specifically, for the relay adaptive collaborative forwarding, during the system transmission, the transmitting node will decide whether to open the collaborative phase transmission and adaptively select the forwarding method, and the signal should be transmitted based on the positive answer (ACK) or negative answer (NACK) feedback from the device after the broadcast phase. If the channel conditions are good and the relay can decode the signal for collaborative transmission, the decoding and forwarding technique is selected, otherwise, the amplifying and forwarding technique is selected. For the hybrid multiple access mode, in order to avoid the resource waste situation of repeated decoding of the signal that has been correctly decoded in NOMA mode, the user can select the OMA mode to receive the signal. The main contributions of this paper are summarized as follows:
  • Unlike the old way of considering only one type of relay collaboration forwarding or simply using a single NOMA or OMA access, we combine the hybrid NOMA technology with AF/DF forwarding relay in NB-IoT, allowing users to flexibly switch between NOMA and OMA. The combination of NOMA and OMA with an adaptive selection of AF/DF forwarding allows users to flexibly switch between NOMA and OMA while enabling relay for cooperative transmission to improve the efficiency of relay usage, expand coverage and reduce energy consumption.
  • We analyze the performance of the Hybrid NOMA transmission model in NB-IoT based on the relay adaptive AF/DF collaboration approach and obtain closed-form expressions for the outage probability of each link. We establish a Markov model to compute the outage probability and throughput of the system.
  • In order to improve the reliability of network transmission, we study the case where the system can be retransmitted multiple times in the broadcast phase, comparing to most existing cases of Coordinated Direct and Relay Transmission (CDRT) for NOMA, where the system is allowed to retransmit only once. The numerical results prove that the system that allows multiple retransmissions is more suitable for mMTC devices with medium data rate and medium response time requirements in NB-IoT.
The rest of this paper is distributed as follows. Section 2 introduces the transmission model and transmission protocol proposed in this paper. Section 3 and Section 4 are the performance analysis of the system, establishing a Markov model to obtain the outage probability and throughput expressions. Section 5 analyzes the effect of the number of retransmissions on the system performance. Section 6 is the numerical simulation and analysis section.

2. System Model and Protocol Description

Firstly, we introduce the system model in this paper. We will simplify and abstract the realistic communication model in some way. In this paper, we consider a single-cell communication scenario and study the system performance of this model under the transmission protocol to be proposed in this paper. Therefore, we will use a system model, as shown in Figure 1. In the model, we use the model consisting of an Evolved Node B (eNB), a Relay (R). Meanwhile, according to the ITU’s definition of NB-IoT devices, we consider that two devices in the model, i.e., a URLLC and an mMTC (we call them user U 1 , user U 2 , respectively) randomly and uniformly distributed in the cell, and assume that there is no mutual interference between each cell.
Each node is equipped with an antenna and operates in a half-duplex manner, and it is assumed that each node has perfect access to the local channel state information (CSI). In the collaboration phase, relay nodes can use AF or DF method to perform collaborative transmission depending on the acceptance of both devices, and the feedback channel is considered ideal when each packet can be feedback ACK/NACK immediately after the end of transmission and the feedback information can be received correctly. Both the direct transmission link and the collaborative link use mutually independent flat Rayleigh slow fading channel as the channel model, and the interference noise model uses an additive Gaussian white noise (AWGN) model. The distances of the links e N B U 1 , e N B R , and R U i are d i , d r , δ i , i { 1 , 2 } . The channel fading coefficients of each link are h i , h r , g i , i { 1 , 2 } , which are complex Gaussian random variables with zero mean and variance σ 2 = 1 λ = d m , where ( λ , d ) { ( λ h 1 , d 1 ) , ( λ h 2 , d 2 ) , ( λ r , d r ) , ( λ g 1 , δ 1 ) , ( λ g 2 , δ 2 ) } , m is the path loss coefficient, so all random variables | h | 2 , h { h 1 , h 2 , h r , g 1 , g 2 } obey the exponential distribution, i.e., | h | 2 e ( λ ) .
Based on the above model, we consider that NB-IoT, which has gradually become a key technology for 5G massive machine-type communication, can no longer meet the demand of connecting multiple devices if only the original orthogonal multiple access method is used, while the use of non-orthogonal multiple access method will increase the system overhead and impose higher equipment requirements due to the use of superposition coding technology and continuous interference cancellation technology. Therefore, this paper proposes a hybrid NOMA and OMA transmission protocol, which allows flexible switching between NOMA/OMA access methods during the collaboration phase. In order to improve the coverage and avoid the inefficiency of relay collaboration caused by the monolithic relay collaboration approach, we allow the relay to choose AF or DF collaboration mode for collaborative transmission based on the hybrid NOMA mode according to its self-decoding situation.
When the system is in the broadcast phase, the eNB will broadcast the superimposed signal to the relay and the two users based on NOMA, as shown in Figure 2a. When the system is in the collaboration phase, if only a single user fails to decode and needs collaborative transmission, the relay can transmit the required signal for the user based on OMA mode, which avoids the case of repeated decoding of the decoded signal of the correct user by using continuous interference cancellation under NOMA. Figure 2b,c show the collaborative transmission process of DF relay based on OMA for user 1 and user 2 respectively. If both users fail to decode, Figure 2d shows the process of collaborative transmission between two users by NOMA-based DF relay. All the above cases are generated when the relay can successfully decode the required signals for both users based on the decode-and-forward (DF) collaboration, otherwise the amplify-and-forward (AF) approach will be used for the collaborative transmission of the decoded failed users, as shown in Figure 2e, which improves the relay utilization and reduces the requirement for the DF relay to successfully decode the superimposed signals. In the following, the protocol is developed in detail, and performance analysis is performed according to the five cases in Figure 2.

3. Performance Modeling Analysis of H-NOMA Protocol

Due to the characteristics of narrowband IoT with wide coverage, large connection, and low energy consumption, it is difficult to use a single OMA or NOMA to meet its applicable IoT scenarios, and considering the limitations of AF relay and DF relay, this section obtains the reachable rate when the user is in NOMA or OMA state respectively based on the five transmission cases described above after introducing the corresponding specific transmission mechanisms, and analyzes the probability of each state of the model by establishing a discrete-time Markov chain, and then obtains a closed expression for the system outage probability and throughput.

3.1. Relay-Based Adaptive Collaboration and H-NOMA Signal Transmission Process

The signal transmission and retransmission processes are based on the positive/negative response (ACK/NACK) mechanism of ARQ, which uses the receiver (relay node or destination node) to broadcast a short-length error-free packet on a separate narrowband channel to notify the eNB and relay whether it is successfully received and then proceed to the next transmission. The total transmission process of a group of signals can be divided into two phases as follows.

3.1.1. Broadcast Stage

This phase considers that the eNB transmits the signal only once, i.e., the phase ends if the user still cannot receive the corresponding signal after transmission. The transmission protocol in the broadcast phase is described as follows:
(1)
The eNB sends superimposed signals X s to the relay and users at the same time and waits for the feedback response, which is a combination of the signals X 1 , X 2 required by the user U 1 and U 2 , respectively, and E ( | X 1 | 2 ) = 1 , E ( | X 2 | 2 ) = 1 .
(2)
If the signal X 1 , X 2 are successfully decoded and obtained by U 1 , U 2 , and at the same time, the two users immediately feedback to the source node. When the eNB receives the ACK frames from both users, it will broadcast the next new superimposed signal. If the eNB receives a NACK frame from either user’s feedback, it determines the next time slot where the collaborative transmission should take place according to the relay decoding situation.

3.1.2. Collaboration Stage

The relay adaptively selects the way to forward and the signal to be sent. At this point, the two users choose to switch to OMA mode or remain in NOMA mode depending on their decoding of each other. The transmission protocol during the collaboration phase is as follows:
(1)
The relay successfully decodes X s according to the DF forwarding protocol.
  • If the desired signal of U 1 is not obtained, and the desired signal of U 2 is successfully obtained, U 1 switches to OMA mode and the desired signal X 1 is sent by the relay.
  • If the desired signal of U 2 is not obtained, and the desired signal of U 1 is successfully obtained, U 2 switches to OMA mode and the desired signal X 2 is sent by the relay.
  • If both U 1 and U 2 fail to get the required signal, the relay will use DF forwarding to resend the superimposed signal to both users, and then both users will get the final required signals X 1 , X 2 in NOMA mode.
(2)
The relay is not successfully decoded according to the DF forwarding protocol.
  • If at least one of U 1 and U 2 fails to obtain the required signal, the relay uses the AF forwarding protocol to retransmit the superimposed signal to the two users after amplification, at which point the two users are in NOMA mode.
Algorithm 1 shows the transmission process in the collaboration phase for a system with hybrid NOMA and hybrid collaborative transmission method.
Algorithm 1: Hybrid NOMA with AF/DF relay in the cooperative phase
1:AF/DF relay according to the superimposed signal X s collaborative transmission
2:begin
3:if DF relay successfully obtained signal X 1 and X 2  then
4:    if  U 1 not getting signal X 1  then
5:    if  U 2 gets signal X 2  then
6:      U 1 switches to OMA mode and receives the signal X 1 from the DF relay
7:    else
8:      U 1 , U 2 receive the signal X s from the DF relay in NOMA mode
9:    endif
10:    else
11:    if  U 2 not getting signal X 2  then
12:      U 2 switches to OMA mode and receives the signal X 2 from the DF relay
13:    endif
14:    endif
15: else
16:    if the number of failed signal decoding in two users 1 then
17: U 1 , U 2 receive the signal X s from the AF relay in NOMA mode
18:endif
19:endif
20:end

3.2. Link Outage Probability

3.2.1. Outage Probability in Broadcast Phase

In the broadcast phase, the superimposed signal X s = α 1 P s X 1 + α 2 P s X 2 , where P s is the eNB transmission power, is firstly broadcast by the eNB, and the power allocation coefficients of the two users are α 1 , α 2 , satisfying α 1 + α 2 = 1 and α 1 , α 2 ( 0 , 1 ) . Unlike other multiple access techniques, the power allocation in NOMA is largely aimed at allowing better separation of different signals. In downlink NOMA, the receiver uses SIC at the strong user (the user with high channel gain). While at the weak user (the user with low channel gain), the signals of strong users are considered as interference for direct decoding. If the strong user is allocated higher power, then the weak user will not be able to decode correctly because it receives more interference from the strong user. According to the requirement of NOMA, the allocation of power according to the channel quality, i.e., allocating less power to the strong user and more power to the weak user, will ensure the fairness of the users and increase the data rate of the weak users. Because URLLC devices have higher data rate requirements compared with mMTC devices, in each cluster, the level of URLLC devices is required to be lower than that of mMTC devices [4]. That is E ( | h 2 | 2 ) E ( | h 1 | 2 ) , according to the NOMA principle, user U 1 should be allocated more power, i.e., α 1 α 2 . In the first stage, the signals received by the two users and the relay are:
y B 1 = h 1 ( α 1 P s X 1 + α 2 P s X 2 ) + n B 1 .
y B 2 = h 2 ( α 1 P s X 1 + α 2 P s X 2 ) + n B 2 .
y B R = h r ( α 1 P s X 1 + α 2 P s X 2 ) + n B R .
where n B 1 , n B 2 , n B R ~ C N ( 0 , σ 2 ) denote the additive Gaussian white noise in U 1 , U 2 and R , and ρ s = P s / σ 2 , ρ r = P r / σ 2 denote the average system SNR, and P r is the eNB transmission power.
The probability that the user U 1 fails to decode X 1 correctly, i.e., the outage probability of the direct transmission link from eNB to U 1 is the probability that the data rate log 2 ( 1 + | h 1 | 2 α 1 ρ S | h 1 | 2 α 2 ρ S + 1 ) is less than the target rate R t h as | h | 2 , h { h 1 , h 2 , h r , g 1 , g 2 } obey the exponential distribution, i.e., | h | 2 e ( λ ) , according to the exponential distribution density function f ( x ) = λ e λ x , x > 0 , we can obtain the following result:
P B U 1 = P r ( log 2 ( 1 + | h 1 | 2 α 1 ρ S | h 1 | 2 α 2 ρ S + 1 ) < R t h ) = P r ( | h 1 | 2 < τ α 1 ρ S τ α 2 ρ S ) = 0 τ α 1 ρ S τ α 2 ρ S λ h 1 e λ h 1 x d x = 1 e τ λ h 1 ( α 1 ρ S τ α 2 ρ S ) .
where τ 2 R t h 1 , R t h is the target rate. If the user U 2 wants to get the corresponding information, the SIC technique is used to decode signal X 1 in order to remove its multiple access interference and get its own signal-to-noise ratio (SINR). Therefore, the link e N B U 2 needs to meet the two conditions of successfully decoding signal X 1 and successfully decoding signal X 2 , otherwise the link will occur outage. It is necessary to compute the probability that data rates log 2 ( 1 + | h 2 | 2 α 1 ρ s | h 2 | 2 α 2 ρ s + 1 ) or log 2 ( 1 + | h 2 | 2 α 2 ρ s ) are less than the target rate, and considering that | h 2 | 2 has the property of obeying an exponential distribution, we obtain the following expression:
P B U 2 = 1 P r ( log 2 ( 1 + | h 2 | 2 α 1 ρ s | h 2 | 2 α 2 ρ s + 1 ) > R t h , log 2 ( 1 + | h 2 | 2 α 2 ρ s ) > R t h ) = P r ( | h 2 | 2 < max { τ α 1 ρ S τ α 2 ρ S , τ α 2 ρ S } ) = { 1 e τ λ h 2 α 2 ρ S , α 2 < 1 τ + 2 1 e τ λ h 2 ( α 1 ρ S τ α 2 ρ S ) , α 2 > 1 τ + 2 .
The probability of the relay decodes X 1 and X 2 fails is calculated in the same way as in Equations (4) and (5), so the outage probability of link e N B R is:
P B R = 1 P r ( log 2 ( 1 + | h r | 2 α 1 ρ r | h r | 2 α 2 ρ r + 1 ) > R t h , log 2 ( 1 + | h r | 2 α 2 ρ r ) > R t h ) = P r ( | h r | 2 < max { τ α 1 ρ r τ α 2 ρ r , τ α 2 ρ r } ) = { 1 e τ λ h r α 2 ρ r , α 2 < 1 τ + 2 1 e τ λ h r ( α 1 ρ r τ α 2 ρ r ) , α 2 > 1 τ + 2 .

3.2.2. Outage Probability of Collaboration Stage

In Section 3.1.2, we introduce four possible scenarios of the system during the collaboration phase and correspondingly give which collaboration method and which multiple access modes are used by the relay for collaborative transmission in these cases. The following are the corresponding outage probability expressions for each of these four cases.
Case A: Relay successfully decodes the signal, U 1 decoding X 1 failed, U 2 decoding X 2 successfully.
As shown in Figure 2b, the user U 1 fails to get the required signal after the relay successfully obtains the signal X 1 , X 2 with the DF method, and the user U 2 successfully obtains the signal X 2 , at the same time the relay retransmits signal X 1 to U 1 at full power, which U 1 is in the OMA state. Therefore, the signal received from the relay can be expressed as:
y R 1 = g 1 P r X 1 + n R 1 .
Here, n R 1 ~ C N ( 0 , σ 2 ) denotes the noise at the point U 1 where the relay transmits the signal during the collaboration phase. According to the above equation, the SINR at this time is obtained: γ R U 1 = | g 1 | 2 ρ r , and thus the outage probability at this time is:
P R U 1 = P r ( log 2 ( 1 + γ R U 1 ) < R t h ) = P r ( | g 1 | 2 < τ ρ r ) = 1 e τ λ g 1 ρ r .
Case B: Relay successfully decodes the signal, U 1 decoding X 1 successfully, U 2 decoding X 2 failed.
Similar to case A, when the user U 2 fails to decode, it switches to OMA mode to wait for the relay transmission signal X 2 , and the final signal received:
y R 2 = g 2 P r X 2 + n R 2 .
Here, n R 2 ~ C N ( 0 , σ 2 ) denotes the noise at the user U 2 when the relay transmits the signal during the collaboration phase. The SINR at this time is γ R U 2 = | g 2 | 2 ρ r , and the outage probability of this link is:
P R U 2 = P r ( log 2 ( 1 + γ R U 2 ) < R t h ) = P r ( | g 2 | 2 < τ ρ r ) = 1 e τ λ g 2 ρ r .
Case C: Relay successfully decodes the signal, U 1 decoding X 1 failed, U 2 decoding X 2 failed.
If in the broadcast phase, only the relay successfully receives the signal, while both users fail to receive it. According to the transmission protocol, in the collaboration phase, the DF relay forwards the superimposed signal X 1 , X 2 as shown in Figure 2d. The signals received by both users from the relay forwarding are:
y R U 1 D = g 1 ( β 1 P r X 1 + β 2 P r X 2 ) + n R 1 .
y R U 2 D = g 2 ( β 1 P r X 1 + β 2 P r X 2 ) + n R 2 .
β 1 , β 2 denote the power allocation factor of relay transmission power to user 1 and user 2, β 1 + β 2 = 1 , β 1 , β 2 ( 0 , 1 ) , assuming β 1 β 2 . In this case, user 2 uses SIC technology to first decode signal X 1 and then decode signal X 2 . Therefore, the outage probability on the relay to user 2 link consists of two parts, one part is that the data rate is too low when user 2 decodes signal X 1 and the other part is that the data rate is less than the target rate when user 2 decodes signal X 2 . The expression is as follows:
P R U 2 D = 1 P r ( log 2 ( 1 + | g 2 | 2 β 1 ρ r | g 2 | 2 β 2 ρ r + 1 ) > R t h , log 2 ( 1 + | g 2 | 2 β 2 ρ r ) > R t h ) = P r ( | g 2 | 2 < max { τ β 1 ρ r τ β 2 ρ r , τ β 2 ρ r } ) = { 1 e τ λ g 2 β 2 ρ r , β 2 < 1 τ + 2 1 e τ λ g 2 ( β 1 ρ r τ β 2 ρ r ) , β 2 > 1 τ + 2 .
On the link R U 1 , if the reachable rate of user 1 is less than the target rate, the outage probability of the link R U 1 is:
P R U 1 D = P r ( log 2 ( 1 + | g 1 | 2 β 1 ρ r | g 1 | 2 β 2 ρ r + 1 ) < R t h ) = P r ( | g 1 | 2 < τ β 1 ρ r τ β 2 ρ r ) = 1 e τ λ g 1 ( β 1 ρ r τ β 2 ρ r ) .
Case D: Relay decoding signal failed, U 1 , U 2 at least one decoding failed.
When the relay also fails to decode the two groups of signals, it will take the amplification and forwarding method to collaborate on the signal transmission, the transmission mode as shown in Figure 2e. At this time, the two users are in NOMA mode, waiting to receive the signal. Amplification factor G = P r P s | h r | 2 + σ 2 , the signals received by the two users are expressed as follows:
y R U 1 A = G g 1 [ h r ( β 1 P r X 1 + β 2 P r X 2 ) + n B R ] + n R 1 .
y R U 2 A = G g 2 [ h r ( β 1 P r X 1 + β 2 P r X 2 ) + n B R ] + n R 2 .
The retransmitted signals are processed by SIC, and the reachable rates of the two users are:
γ R U 2 U 1 A = ρ r ρ s | g 2 | 2 | h r | 2 β 1 ρ r ρ s | g 2 | 2 | h r | 2 β 2 + ρ r | g 2 | 2 + ρ s | h r | 2 + 1 .
γ R U 2 A = ρ r ρ s | g 2 | 2 | h r | 2 β 2 ρ r | g 2 | 2 + ρ s | h r | 2 + 1 .
The SINR of the signal received by the user U 1 is:
γ R U 1 A = ρ r ρ s | g 1 | 2 | h r | 2 β 1 ρ r ρ s | g 1 | 2 | h r | 2 β 2 + ρ r | g 1 | 2 + ρ s | h r | 2 + 1 .
When the user’s reachable rate is lower than the target rate, the outage will occur with the following probabilities:
P R U 1 A = 1 2 λ g 1 e λ h r τ ρ s + λ g 1 τ ρ r λ g 1 λ h r ρ s ( ρ r β 1 τ ρ r β 2 ) λ g 1 τ 2 ρ r + λ g 1 τ ρ r ( β 1 τ β 2 ) λ h r ρ s ( ρ r β 1 τ ρ r β 2 ) 2 K 1 ( 2 τ 2 ρ r + τ ρ r ( β 1 τ β 2 ) λ h r λ g 1 ρ s ( ρ r β 1 τ ρ r β 2 ) 2 ) .
P R U 2 A = 1 2 λ g 2 e τ ( λ h r ρ s + λ g 2 ρ r ) λ g 2 λ h r ρ s ρ r β 2 λ g 2 τ ( τ + β 2 ) λ h r ρ s ρ r β 2 2 K 1 ( 2 τ ( τ + β 2 ) λ h r λ g 2 ρ s ρ r β 2 2 ) .
where K 1 ( ) is the second class first-order modified Bessel function.
The calculation process is as follows:
  • Calculation of the outage probability for R to U 1 . The idea of our solution is that we convert the primal into the form of a double integral according to the given range and then use variable substitution and the second-class first-order modified Bessel function to get the final result:
    P R U 1 A = P r ( log 2 ( 1 + γ R U 1 A ) < R t h )   = P r ( | g 1 | 2 < τ ρ r β 1 τ ρ r β 2 ) + P r ( | h r | 2 < τ ρ r | g 1 | 2 + τ ρ s ρ r | g 1 | 2 ( β 1 τ β 2 ) τ ρ s , | g 1 | 2 > τ ρ r β 1 τ ρ r β 2 )   = P r ( | g 1 | 2 < τ ρ r β 1 τ ρ r β 2 ) + τ ρ r β 1 τ ρ r β 2 1 λ g 1 exp ( y λ g 1 ) 0 τ ρ r | g 1 | 2 + τ ρ s ρ r | g 1 | 2 ( β 1 τ β 2 ) τ ρ s 1 λ g 1 exp ( y λ g 1 ) d x d y   = 1 τ ρ r β 1 τ ρ r β 2 1 λ g 1 exp ( y λ g 1 ) exp ( τ ρ r | g 1 | 2 + τ λ h r ( ρ s ρ r | g 1 | 2 ( β 1 τ β 2 ) τ ρ s ) ) d y ,
Let y τ ρ r β 1 τ ρ r β 2 = t . Then, the above equation is:
P R U 1 A = 1 0 1 λ g 1 exp ( t + τ ρ r β 1 τ ρ r β 2 λ g 1 ) exp ( τ ρ r ( t + τ ρ r β 1 τ ρ r β 2 ) + τ λ h r ρ r ρ s t ( β 1 τ β 2 ) ) d t = 1 1 λ g 1 exp ( λ h r τ ρ s + λ g 1 τ ρ r λ g 1 λ h r ρ s ρ r ( β 1 τ β 2 ) ) 0 exp ( τ 2 ρ r ρ r β 1 τ ρ r β 2 + τ λ h r ρ r ρ s t ( β 1 τ β 2 ) / t ) exp ( t λ g 1 ) d t = 1 2 λ g 1 exp ( λ h r τ ρ s + λ g 1 τ ρ r λ g 1 λ h r ρ s ρ r ( β 1 τ β 2 ) ) λ g 1 τ 2 ρ r + λ g 1 τ ρ r ( β 1 τ β 2 ) λ h r ρ s ( ρ r β 1 τ ρ r β 2 ) 2 K 1 ( 2 τ 2 ρ r + τ ρ r ( β 1 τ β 2 ) λ h r λ g 1 ρ s ( ρ r β 1 τ ρ r β 2 ) 2 ) .
  • Calculation of outage probability for R to user U 2 .The solution is the same as Equation (20):
    P R U 2 A = P r ( log 2 ( 1 + γ R U 2 A ) < R t h ) = P r ( | g 2 | 2 < τ ρ r β 2 ) + P r ( | h r | 2 < τ ρ r | g 2 | 2 + τ ρ s ρ r | g 2 | 2 β 2 τ ρ s , | g 2 | 2 > τ ρ r β 2 )   = P r ( | g 2 | 2 < τ ρ r β 2 ) + τ ρ r β 2 1 λ g 2 exp ( y λ g 2 ) 0 τ ρ r | g 2 | 2 + τ ρ s ρ r | g 2 | 2 β 2 τ ρ s 1 λ h r exp ( y λ h r ) d x d y   = 1 τ ρ r β 2 1 λ g 2 exp ( y λ g 2 ) exp ( τ ρ r y + τ λ h r ρ s ( ρ r y β 2 τ ) ) d y .
Let y τ ρ r β 2 = t . Then, the above equation is:
P R U 2 A = 1 0 1 λ g 2 exp ( t + τ ρ r β 2 λ g 2 ) exp ( τ ( ρ r t + τ β 2 + 1 ) λ h r ρ r ρ s t β 2 ) d t   = 1 1 λ g 2 exp ( λ h r τ ρ s + λ g 2 τ ρ r λ g 2 λ h r ρ s ρ r β 2 ) 0 exp ( τ 2 β 2 + τ λ h r ρ r ρ s β 2 t ) . exp ( t λ g 2 ) d t   = 1 2 λ g 2 exp ( λ h r τ ρ s + λ g 2 τ ρ r λ g 2 λ h r ρ s ρ r β 2 ) λ g 2 τ ( τ + β 2 ) λ h r ρ s ρ r β 2 2 K 1 ( 2 τ ( τ + β 2 ) λ h r λ g 2 ρ s ρ r β 2 2 ) .

4. Markov Model of H-NOMA Protocol and Analysis of System Throughput

In this section, we first make several assumptions about the transmission process of the signal in the above system and set up the transmission states according to the transmission process to establish a discrete Markov model. After proving the state transfer matrix has regularity, and then we obtain the steady-state distribution of this model according to the limit theorem for regular Markov chains [26]. Further, two important performance metrics of the system are obtained: Outage probability and throughput. The following assumptions are made about the signaling process under the H-NOMA Protocol:
First, according to the proposed transmission protocol, the transmission node, and the content of the transmission signal, we assume five states of the model as follows:
State S 1 : The eNB broadcasts the superimposed signal. If both users successfully receive the signal, then enter a new round of transmission at this time is still the state S 1 . Otherwise, the next time slot will enter the collaboration phase and enter the rest of the states according to the relay and user receiving signals conditions, as shown in Figure 3.
State S 2 : Relay transmits signal X 1 to U 1 with the OMA mode, regardless of whether User 1 receives the signal, at the next time slot, will enter a new round of transmission, i.e., transferring to the state S 1 .
State S 3 : Relay transmits signal X 2 to U 2 with the OMA mode, regardless of whether User 1 receives the signal, at the next time slot, will enter a new round of transmission, i.e., transferring to the state S 1 .
State S 4 : DF relay transmits the superimposed signal to the two users with NOMA mode, and the two users enter the state after sending the ACK/NACK signal.
State S 5 : AF relay transmits superimposed signal to two users with NOMA mode, at this time the relay cannot decode correctly. The system still can use the amplify-and-forward method for cooperative transmission and transfer to the state S 1 after the two users receive the signal.
Suppose that the state of the system at the t th time slot, denoted by X t , is a discrete random variable with a state space of { S 1 , S 2 , S 3 , S 4 , S 5 } . Represent by p i j , i , j { 1 , 2 , 3 , 4 , 5 } the probability that the system is in state S i at the t th time slot and the system is in state S j at the t + 1 th time slot, i.e., the state transfer probability of the system. Since the state S j in the t + 1 th time slot depends only on the state S i in the previous time slot and transfer probability p i j , and not on the previous state X t 1 , X t 2 , X t 3 , , the model has memorylessness, and we establish this stochastic process as a Markov model. The state transfer process of this model is analyzed below.
The state transition diagram of Markov chain is shown in Figure 4, and the state transition probability is obtained using the link outage probability, and the transition probability is as follows:
After the source node sends the superimposed signal through the direct transmission link connected with two users, the two users receive it successfully, and no outage occurs in both links, so the probability of the state S 1 remains in the state S 1 :
p 11 = ( 1 P B U 1 ) ( 1 P B U 2 ) .
In the broadcast phase, both the relay and the user U 2 successfully get the corresponding information, and U 1 fails to decode, so the transition probability from state S 1 to state S 2 is given by:
p 12 = ( 1 P B R ) P B U 1 ( 1 P B U 2 ) .
In the broadcast phase, both the relay and the user U 1 successfully get the corresponding information, and the user U 2 fails to decode, so the transition probability from the state S 1 to the state S 3 is given by:
p 13 = ( 1 P B R ) ( 1 P B U 1 ) P B U 2 .
In the broadcast phase, the relay succeeds in getting the corresponding information, U 1 and U 2 both fail to decode, so the transition probability from state S 1 to state S 4 is given by:
p 14 = ( 1 P B R ) P B U 1 P B U 2 .
In the broadcast phase, the relay fails to decode, and at least one of U 1 and U 2 fails to decode, so the transition probability from state S 1 to state S 5 is given by:
p 15 = P B R ( P B U 1 + P B U 2 P B U 1 P B U 2 ) .
In the collaboration phase, the probability that user in a state S 2 enters state S 1 after decoding the signal X 1 is:
p 21 = P R U 1 + 1 P R U 1 .
During the collaboration phase, the probability that a user U 2 in state S 3 enters state S 1 after decoding the signal X 2 is:
p 31 = P R U 2 + 1 P R U 2 .
In the cooperation phase, the probability that U 1 and U 2 in state S 4 enters state S 1 after decoding the superimposed signal is:
p 41 = P R U 1 D P R U 2 D + ( 1 P R U 1 D ) P R U 2 D + P R U 1 D ( 1 P R U 2 D ) + ( 1 P R U 1 D ) ( 1 P R U 2 D ) .
In the cooperation phase, the probability that U 1 and U 2 in state S 5 will enter state S 1 after decoding the amplified superimposed signal is:
p 51 = P R U 1 A P R U 2 A + ( 1 P R U 1 A ) P R U 2 A + P R U 1 A ( 1 P R U 2 A ) + ( 1 P R U 1 A ) ( 1 P R U 2 A ) .
In fact, it will be transferred to state S 1 in the next time slot regardless of whether the user eventually succeeds in decoding the signal, so p i 1 = 1 , i { 2 , 3 , 4 } and the rest of the state transition probability is 0.
After analyzing the above state transfer probabilities, we can get the state transfer matrix p for the system, and compute p 2 .
p = ( p 11 p 12 p 13 p 14 p 15 p 21 0 0 p 31 p 41 p 51 0 0 ) p 2 = ( i , j = 1 5 p i j p j i p 11 p 12 p 11 p 13 p 11 p 14 p 11 p 15 p 21 p 11 p 21 p 12 p 21 p 13 p 21 p 14 p 21 p 15 p 31 p 11 p 31 p 12 p 31 p 13 p 31 p 14 p 31 p 15 p 41 p 11 p 41 p 12 p 41 p 13 p 41 p 14 p 41 p 15 p 51 p 11 p 51 p 12 p 51 p 13 p 51 p 14 p 51 p 15 )
It can be seen that any one of the values in p 2 is larger than 0, so this Markov chain is a regular Markov chain. According to the limit theorem for regular Markov chains [26], there exists a unique steady-state probability for the model. The system stationary distribution, π = ( π S 1 , π S 2 , π S 3 , π S 4 , π S 5 ) , can be calculated by using Equation (35).
π ( p 11 p 12 p 13 p 14 p 15 p 21 0 0 p 31 p 41 p 51 0 0 ) = π . π S 1 + π S 2 + S 3 + π S 4 + π S 5 = 1 .
The steady-state probability can be obtained as:
π S 1 = 1 / 1 + P B U 1 + P B U 2 P B U 1 P B U 2 . π S 2 = ( 1 P B R ) P B U 1 ( 1 P B U 2 ) 1 + P B U 1 + P B U 2 P B U 1 P B U 2 . π S 3 = ( 1 P B R ) ( 1 P B U 1 ) P B U 2 1 + P B U 1 + P B U 2 P B U 1 P B U 2 . π S 4 = ( 1 P B R ) P B U 1 P B U 2 1 + P B U 1 + P B U 2 P B U 1 P B U 2 . π S 5 = P B R ( P B U 1 + P B U 2 P B U 1 P B U 2 ) 1 + P B U 1 + P B U 2 P B U 1 P B U 2 .
In the system of this paper, the probabilities that the user can successfully receive the signal on the state S 1 , S 2 , S 3 , S 4 , S 5 are ( 1 P B U 1 ) ( 1 P B U 2 ) , ( 1 P R U 1 ) , ( 1 P R U 2 ) , ( 1 P R U 1 D ) ( 1 P R U 2 D ) and ( 1 P R U 1 A ) ( 1 P R U 2 A ) , respectively, so the outage probability of the system of this paper can be expressed as
P o u t = 1 [ ( 1 P B U 1 ) ( 1 P B U 2 ) π S 1 + ( 1 P R U 1 ) π S 2 + ( 1 P R U 2 ) π S 3 + ( 1 P R U 1 D ) ( 1 P R U 2 D ) π S 4 + ( 1 P R U 1 A ) ( 1 P R U 2 A ) π S 5 ] .
The system throughput is obtained from the outage probability:
η = ( 1 P o u t ) R t h .

5. The Impact of The Number of Retransmissions on System Performance

To enhance transmission reliability, the case that eNB can transmit multiple times is considered in this section to improve the accuracy of the signal being successfully received. When the user receives the signal, it sends an ACK to the source node if the decoding is successful, otherwise, it sends a NACK to the source node. Only when the source node receives ACK responses from both users at the same time, does it send a new superimposed signal to start a new round of transmission. If not, the eNB will continue to retransmit the same superimposed signal for the two users to decode again. Assuming that the maximum number of retransmissions the eNB can make is T, i.e., during the broadcast phase, the eNB stops transmission when the two users receive the signal successfully, and the number of eNB retransmissions reaches T. During the retransmission process of eNB, the relay is collaborating with other units for transmission, and the signal of T retransmissions is not received at this time, so it can improve the efficiency of relay usage and reduce energy consumption. If the two users still fail to decode successfully, the system will enter the collaboration phase. Since multiple transmission signals for retransmission in this system come from the same codebook, both users use the maximum ratio combining (MRC) technique to receive signals retransmitted multiple times from the transmitter to improve the signal-to-noise ratio. The Algorithm 2 for multiple retransmissions is shown as follows.
Algorithm 2: Allow limited retransmission process for eNB
1:procedure eNB retransmission(T:integer)
2:begin
3:for t = 1 to T do
4:  if  U 1 , U 2 get the corresponding signal correctly then
5:   eNB transmits a new signal
6:  else
7:   eNB retransmissions primary X s
8:   t = t + 1
9:  endif
10: endfor
11:  if the number of failed signal decoding in two users 1 then
12:   System calls Algorithm 1
13:  endif
14:end
Similar to [27], the combined signal received by the eNB after t transmissions by two users using the combination factor w t is represented as follows, where the variables h 1 t , w t , n B 1 t are related to the number of transmissions t.
y B 1 t = t = 1 T h 1 t w t ( α 1 P s X 1 + α 2 P s X 2 ) + t = 1 T n B 1 t w t . y B 1 t = t = 1 T h 2 t w t ( α 1 P s X 1 + α 2 P s X 2 ) + t = 1 T n B 2 t w t .
According to the MRC rule, the signal-to-noise ratio at U 1 and U 2 after retransmission can be obtained by combining Equation (39):
γ B U 2 U 1 t = α 1 ρ s t = 1 T | h 2 t | 2 α 2 ρ s t = 1 T | h 2 t | 2 + 1 .
γ B U 1 t = t = 1 T | h 1 t | 2 α 1 ρ S t = 1 T | h 1 t | 2 α 2 ρ S + 1 .
γ B U 2 t = t = 1 T | h 2 t | 2 α 2 ρ S .
During retransmission, the link outage probability from eNB to U 1 is represented by the following equation:
P B U 1 t N = Pr ( log 2 ( 1 + γ B U 1 t ) < R t h ) = P r ( t = 1 T | h 1 t | 2 < 2 R t h 1 α 1 ρ S α 2 ρ S ( 2 T R t h 1 ) ) ( a ) _ _ Γ ( T , 2 R t h 1 ρ S λ h 1 ( α 1 α 2 ( 2 R t h 1 ) ) ) .
Here, ( a ) is due to the random variable | h 1 | 2 , | h 2 | 2 , | h 3 | 2 | h T | 2 i . i . d ~ E x p ( λ ) , so i = 1 T | h i | 2 ~ Γ ( T , λ ) . The link outage probability from eNB to user 2 is also obtained in the same way:
P B U 2 t N = 1 P r ( log 2 ( 1 + γ B U 2 U 1 t ) > R t h , log 2 ( 1 + γ B U 2 t ) > R t h ) = P r ( t = 1 T | h 2 t | 2 < 2 R t h 1 α 2 ρ S , t = 1 T | h 2 t | 2 < 2 R t h 1 α 1 ρ S α 2 ρ S ( 2 R t h 1 ) ) = P r ( t = 1 T | h 2 t | 2 < max { 2 R t h 1 α 2 ρ S , 2 R t h 1 α 1 ρ S α 2 ρ S ( 2 R t h 1 ) } ) = { Γ ( T , 2 R t h 1 ρ S λ h 2 ( α 1 α 2 ( 2 R t h 1 ) ) ) , α 2 ( 1 2 R t h + 1 , 0.5 ) Γ ( T , 2 R t h 1 α 2 λ h 2 ρ S ) , α 2 ( 0 , 1 2 R t h + 1 ) .

6. Numerical Simulation and Analysis

In this section, to verify the accuracy of the proposed adaptive relay collaborative hybrid NOMA model and to better understand its system performance, we use Matlab for performing numerical analysis. For the values of some parameters, we refer to the NB-IoT standard, the system parameters are set as shown in Table 1:
We respectively compare the outage probabilities of user 1 and user 2 in H-NOMA and OMA modes at different SNRs and the effect of different numbers of retransmissions on them. From the Figure 5, it can be seen that the outage probability decreases with the increase of SNR about both users, and it decreases faster than OMA due to the superior performance of the H-NOMA proposed in this paper. We believe that the improvement of the signal-to-noise ratio of the system, i.e., the ratio of the signal power to the noise power, improves the signal quality, which leads to a higher success probability of the decoding and thus corresponds to the outage probability that will be reduced. In terms of the formula, Equation (4) represents the outage probability of eNB to user 1, P B U 1 = 1 e τ λ h 1 ( α 1 ρ S τ α 2 ρ S ) , and it can be seen that ρ s in the formula, i.e., denotes the SNR, and since α 1 τ α 2 is greater than 0, ρ s is monotonically decreasing about the outage probability, i.e., its outage probability decreases as the SNR is increasing. Equation (5) represents the outage probability of link e N B U 2 ,
P B U 2 = { 1 e τ λ h 2 α 2 ρ S , α 2 < 1 τ + 2 1 e τ λ h 2 ( α 1 ρ S τ α 2 ρ S ) , α 2 > 1 τ + 2 ,
and regardless of the relationship between α 2 and 1 τ + 2 , it can be seen that ρ s is monotonically decreasing with P B U 2 . From the figure, we know that the effect of the number of retransmissions on the outage probability is also evident, with increasing retransmissions resulting in a smaller outage probability, especially when the SNR is greater than about 5, the advantage of H-NOMA with a lower outage probability becomes apparent. From the above figure, it is clear that by increasing the SNR value or by increasing the number of retransmissions, both can reduce the system outage probability.
When the system allows multiple retransmissions, the number of retransmissions also determines the magnitude of the system outage probability. It can be seen in Figure 6 that as the number of allowed retransmissions becomes larger, the outage probability value decreases. This indicates that the retransmission mechanism can effectively improve the quality of information transmission and increase transmission efficiency. When the transmit power reaches 23 dB, it can effectively increase the data rate to reduce the outage probability. After multiple retransmissions, the outage probabilities of two users show little difference in the figure, which reflects the fairness of the users.
The throughput of the user after two and four retransmissions of the eNB is shown in Figure 7. It is clear that the case when the eNB can retransmit up to four times is better than the case when the number of times is two. Both the increase in transmission power and the allocation of more power to user 2 make the system throughput larger.
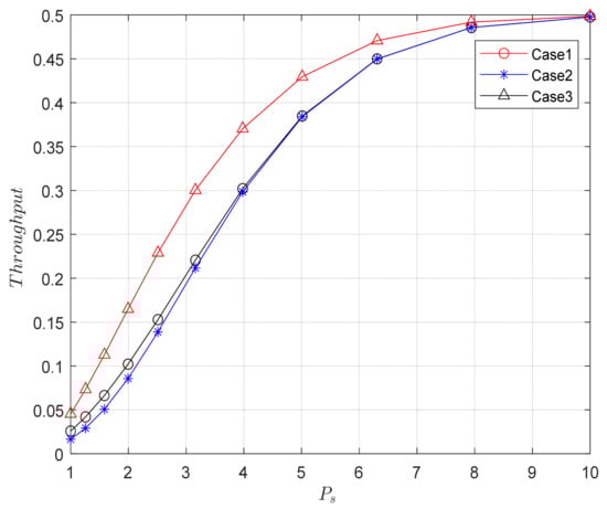
The Figure 8 illustrates the effect of user distance on throughput. From the above figure, it can be obtained that at Case 2, in the Table 2, the average distance is the farthest, and therefore, the throughput obtained by the system is the smallest. The throughput of Case 3 is better than that of Case 1 for the same average distance, although the channel condition of user1 is worse. Shortening the distance from the sending while allocating more power to it eventually improves the system performance. At the same time, it can be seen that the throughput results of Case 2 and Case 3 are similar, indicating that the system throughput results are more dependent on the user with better channel conditions.
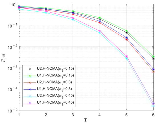
The Figure 9 discusses the effect of giving different power allocation factors to the two users on the system outage probability. As can be seen in the figure, when α 1 , α 2 is fixed, changing β 1 , β 2 does not have a significant impact on the outage probability of the system. We believe that this is related to the high probability that the system can successfully receive signals during the broadcast phase. Therefore, the power allocation of the relay transmission power is not a key factor that influences the outage probability of the system. However, different values of α 1 , α 2 can greatly affect the outage probability. It can be seen that when β 2 = 0.3 , the closer the power allocation factor given to U 2 is to 0.5, the smaller the outage probability of the system for a given transmission power. Next, we analyze α 2 to improve system performance.
In cases where the system can make multiple retransmissions, we use (44) as an example to analyze what value of α 2 can minimize the outage probability. In (44), when α 2 ( 0 , 1 2 R t h + 1 ) , P B U 2 t N = Γ ( T , 2 R t h 1 α 2 λ h 2 ρ S ) , which is a monotonically decreasing function of α 2 , and when α 2 ( 1 2 R t h + 1 , 0.5 ) , P B U 2 t N = Γ ( T , 2 R t h 1 ρ S λ h 2 ( 1 α 2 2 R t h ) ) , which is a monotonically increasing function of α 2 . Thus, the minimum value of the outage probability will be obtained at α 2 = 1 2 R t h + 1 . 1 2 R t h + 1 is a decreasing function of variable R t h , i.e., sup 1 2 R t h + 1 = lim R t h 0 1 2 R t h + 1 = 0.5 . Therefore, it can be obtained that when α 2 is closer to 0.5, the system performance is better. In Figure 10, it can be found that as α 2 gets closer to 0.5, the system throughput is higher, which verifies our analysis.

7. Conclusions

In this paper, we focus on solving the problem of low relay utilization and overuse of resources by users in NB-IoT due to a single relay collaboration mode and a single-user reception mode. In particular, we design a hybrid NOMA protocol for relay adaptively selecting collaboration mode to compensate for the shortcomings of using only AF and DF, as well as only NOMA and OMA. In addition, considering the problem that the transmitted signals want to be received as successfully as possible, we design a mechanism by which the eNB can retransmit the superimposed signals several times during the broadcast phase, extending the hybrid NOMA protocol with relay adaptive selection collaboration approach proposed in this paper. By comparing the performance of the model proposed in this paper with the pure OMA model, we show that the system is more advantageous when two devices are close to the eNB and have higher transmission power while allowing multiple retransmissions from the eNB also improves the system’s performance. In the future, we will further investigate the approach proposed in this paper to improve the energy efficiency of this system in NB-IoT.

Author Contributions

R.G. researched the literature, provided the mathematical models, designed the algorithm, completed numerical simulations, took charge of the original draft preparation, and edited the manuscript; S.L. conceived the study concepts, improved the systematic research and analysis methodology, and supervised the completion of the refinement of the paper; T.J., H.Y. and S.Y. gave valuable suggestions for revision and checked formula deducing and English grammar. All authors have read and agreed to the published version of the manuscript.

Funding

This research was funded in part by the National Natural Science Foundation of China (61663024) and in part by the “Hongliu” First Class Discipline Development Project of Lanzhou University of Technology (225305).

Institutional Review Board Statement

Not applicable.

Informed Consent Statement

Not applicable.

Data Availability Statement

The data supporting this article are from previously reported studies and datasets, which have been cited.

Conflicts of Interest

The authors declare no conflict of interest.

References

  1. Shafi, M.; Molisch, A.F.; Smith, P.J.; Haustein, T.; Zhu, P.; Silva, P.D.; Tufvesson, F.; Benjebbour, A.; Wunder, G. 5G: A Tutorial Overview of Standards, Trials, Challenges, Deployment, and Practice. IEEE J. Sel. Areas Commun. 2017, 35, 1201–1221. [Google Scholar] [CrossRef]
  2. Narayanan, S.; Tsolkas, D.; Passas, N.; Merakos, L. ADAM: An Adaptive Access Mechanism for NB-IoT Systems in the 5G Era. IEEE Access 2021, 9, 109915–109931. [Google Scholar] [CrossRef]
  3. Mishra, S.; Salaün, L.; Sung, C.W.; Chen, C.S. Downlink Connection Density Maximization for NB-IoT Networks Using NOMA With Perfect and Partial CSI. IEEE Internet Things J. 2021, 8, 11305–11319. [Google Scholar] [CrossRef]
  4. Galletta, A.; Taheri, J.; Celesti, A.; Fazio, M.; Villari, M. Investigating the Applicability of Nested Secret Share for Drone Fleet Photo Storage. IEEE Trans. Mob. Comput. 2023, 1–13. [Google Scholar] [CrossRef]
  5. Galletta, A.; Taheri, J.; Fazio, M.; Celesti, A.; Villari, M. Overcoming Security Limitations of Secret Share Techniques: The Nested Secret Share. In Proceedings of the 2021 IEEE 20th International Conference on Trust, Security and Privacy in Computing and Communications (TrustCom), Shenyang, China, 20–22 October 2021. [Google Scholar] [CrossRef]
  6. Shahini, A.; Ansari, N. NOMA Aided Narrowband IoT for Machine Type Communications With User Clustering. IEEE Internet Things J. 2019, 6, 7183–7191. [Google Scholar] [CrossRef]
  7. Dai, L.; Wang, B.; Yuan, Y.; Han, S.; Chih-lin, I.; Wang, Z. Non-Orthogonal Multiple Access for 5G: Solutions, Challenges, Opportunities, and Future Research Trends. IEEE Commun. Mag. 2015, 53, 74–81. [Google Scholar] [CrossRef]
  8. Dursun, Y.; Fang, F.; Ding, Z. Hybrid NOMA based MIMO offloading for mobile edge computing in 6G networks. China Commun. 2022, 19, 12–20. [Google Scholar] [CrossRef]
  9. Li, S.; Li, H.; Yang, Q.; Gaber, J. Hybrid Cooperative Spectrum Sharing Protocols Based on OMA and NOMA in Cognitive Radio Networks. Appl. Sci. 2022, 12, 12683. [Google Scholar] [CrossRef]
  10. Kochi, J.; Nakai, R.; Sugiura, S. Hybrid NOMA/OMA Broadcasting-and-Buffer-State-Based Relay Selection. IEEE Trans. Veh. Technol. 2021, 70, 1618–1631. [Google Scholar] [CrossRef]
  11. Alkhawatrah, M.; Gong, Y.; Chen, G.; Lambotharan, S.; Chambers, J.A. Buffer-Aided Relay Selection for Cooperative NOMA in the Internet of Things. IEEE Internet Things J. 2019, 6, 5722–5731. [Google Scholar] [CrossRef]
  12. Zeng, M.; Yadav, A.; Dobre, O.A.; Poor, H.V. Energy-Efficient Joint User-RB Association and Power Allocation for Uplink Hybrid NOMA-OMA. IEEE Internet Things J. 2019, 6, 5119–5131. [Google Scholar] [CrossRef]
  13. Nosratinia, A.; Hunter, T.E.; Hedayat, A. Cooperative Communication in Wireless Networks. IEEE Commun. Mag. 2004, 42, 74–80. [Google Scholar] [CrossRef]
  14. Sendonaris, A.; Erkip, E.; Aazhang, B. User Cooperation Diversity. Part I. System Description. IEEE Trans. Commun. 2003, 51, 1927–1938. [Google Scholar] [CrossRef]
  15. Sendonaris, A.; Erkip, E.; Aazhang, B. User Cooperation Diversity. Part II: Implementation Aspects and Performance Analysis. IEEE Trans. Commun. 2003, 51, 1939–1948. [Google Scholar] [CrossRef]
  16. Ke, X.; Pingyi, F.; Su, Y.; Ming, L. Network Coding-Aware Cooperative Relaying for Downlink Cellular Relay Networks. China Commun. 2013, 10, 44–56. [Google Scholar] [CrossRef]
  17. Ding, Z.; Peng, M.; Poor, H.V. Cooperative Non-Orthogonal Multiple Access in 5G Systems. IEEE Commun. Lett. 2015, 19, 1462–1465. [Google Scholar] [CrossRef]
  18. Qian, L.P.; Yang, C.; Han, H.; Wu, Y.; Meng, L. Learning Driven Resource Allocation and SIC Ordering in EH Relay Aided NB-IoT Networks. IEEE Commun. Lett. 2021, 25, 2619–2623. [Google Scholar] [CrossRef]
  19. Cai, D.; Ding, Z.; Fan, P.; Yang, Z. On the Performance of NOMA with Hybrid ARQ. IEEE Trans. Veh. Technol. 2018, 67, 10033–10038. [Google Scholar] [CrossRef]
  20. Ghanami, F.; Hodtani, G.A.; Vucetic, B.; Shirvanimoghaddam, M. Performance Analysis and Optimization of NOMA with HARQ for Short Packet Communications in Massive IoT. IEEE Internet Things J. 2021, 8, 4736–4748. [Google Scholar] [CrossRef]
  21. Xu, P.; Quan, J.; Yang, Z.; Chen, G.; Ding, Z. Performance Analysis of Buffer-Aided Hybrid NOMA/OMA in Cooperative Uplink System. IEEE Access 2019, 7, 168759–168773. [Google Scholar] [CrossRef]
  22. Luo, S.; Teh, K.C. Adaptive Transmission for Cooperative NOMA System with Buffer-Aided Relaying. IEEE Commun. Lett. 2017, 21, 937–940. [Google Scholar] [CrossRef]
  23. Pal, S.; Jindal, P. Secrecy Performance Analysis of Hybrid AF-DF Relaying Under Multi Hop Environment. Wirel. Pers. Commun. 2020, 111, 1741–1760. [Google Scholar] [CrossRef]
  24. Wang, L.; Hanzo, L. The Resource-Optimized Differentially Modulated Hybrid AF/DF Cooperative Cellular Uplink Using Multiple-Symbol Differential Sphere Detection. IEEE Signal Process. Lett. 2009, 16, 965–968. [Google Scholar] [CrossRef][Green Version]
  25. Salem, A.; Musavian, L. NOMA in Cooperative Communication Systems with Energy-Harvesting Nodes and Wireless Secure Transmission. IEEE Trans. Wirel. Commun. 2021, 20, 1023–1037. [Google Scholar] [CrossRef]
  26. Dobrow, R.P. Introduction to Stochastic Processes with R; John Wiley & Sons: Hoboken, NJ, USA, 2016; pp. 40–75. [Google Scholar] [CrossRef]
  27. Xiang, Z.; Yang, W.; Pan, G.; Cai, Y.; Song, Y.; Zou, Y. Secure Transmission in HARQ-Assisted Non-Orthogonal Multiple Access Networks. IEEE Trans. Inf. Forensics Secur. 2020, 15, 2171–2182. [Google Scholar] [CrossRef]
Figure 1. System model.
Figure 1. System model.
Electronics 12 03217 g001
Figure 2. Five transmission cases.
Figure 2. Five transmission cases.
Electronics 12 03217 g002
Figure 3. Illustration of the transition of state 1 to the other states.
Figure 3. Illustration of the transition of state 1 to the other states.
Electronics 12 03217 g003
Figure 4. Markov state transition diagram.
Figure 4. Markov state transition diagram.
Electronics 12 03217 g004
Figure 5. Outage probability of two users in the broadcast phase for different SNR in H-NOMA ( α 2 = 0.3 ).
Figure 5. Outage probability of two users in the broadcast phase for different SNR in H-NOMA ( α 2 = 0.3 ).
Electronics 12 03217 g005
Figure 6. Outage probability of two users in the broadcast phase with different retransmission numbers ( P s = 23   dB ).
Figure 6. Outage probability of two users in the broadcast phase with different retransmission numbers ( P s = 23   dB ).
Electronics 12 03217 g006
Figure 7. Throughput of system with different power allocations ( β 2 = 0.3 ).
Figure 7. Throughput of system with different power allocations ( β 2 = 0.3 ).
Electronics 12 03217 g007
Figure 8. Throughput at different distances between the two devices and the relay ( α 2 = 0.4 , β 2 = 0.3 , T = 1 ).
Figure 8. Throughput at different distances between the two devices and the relay ( α 2 = 0.4 , β 2 = 0.3 , T = 1 ).
Electronics 12 03217 g008
Figure 9. System outage probability with SNR ( T = 1 ).
Figure 9. System outage probability with SNR ( T = 1 ).
Electronics 12 03217 g009
Figure 10. System throughput with different power allocation factors ( P s = 12   dB ).
Figure 10. System throughput with different power allocation factors ( P s = 12   dB ).
Electronics 12 03217 g010
Table 1. Parameter table.
Table 1. Parameter table.
ParametersValue
Distance between nodes d 1 = 3 ,   d 2 = 2 ,   d r = 1
Fading factor of Rayleigh slow-fading channel m = 4
Relay transmission power P r = 15 dB
AWGN Power σ 2 = 1
Target rate R t h = 0.5   bps/HZ
Table 2. Three different cases representing the distance between the device and the relay.
Table 2. Three different cases representing the distance between the device and the relay.
Case δ 1 δ 2 ( δ 1 + δ 2 ) / 2
Case 15 m1 m3 m
Case 25 m5 m5 m
Case 31 m5 m3 m
Disclaimer/Publisher’s Note: The statements, opinions and data contained in all publications are solely those of the individual author(s) and contributor(s) and not of MDPI and/or the editor(s). MDPI and/or the editor(s) disclaim responsibility for any injury to people or property resulting from any ideas, methods, instructions or products referred to in the content.

Share and Cite

MDPI and ACS Style

Li, S.; Gao, R.; Jia, T.; Yang, H.; Yang, S. Hybrid NOMA Protocol with Relay Adaptive AF/DF Collaboration and Its Modeling Analysis in NB-IoT. Electronics 2023, 12, 3217. https://doi.org/10.3390/electronics12153217

AMA Style

Li S, Gao R, Jia T, Yang H, Yang S. Hybrid NOMA Protocol with Relay Adaptive AF/DF Collaboration and Its Modeling Analysis in NB-IoT. Electronics. 2023; 12(15):3217. https://doi.org/10.3390/electronics12153217

Chicago/Turabian Style

Li, Suoping, Ruiman Gao, Tongtong Jia, Hailing Yang, and Sa Yang. 2023. "Hybrid NOMA Protocol with Relay Adaptive AF/DF Collaboration and Its Modeling Analysis in NB-IoT" Electronics 12, no. 15: 3217. https://doi.org/10.3390/electronics12153217

APA Style

Li, S., Gao, R., Jia, T., Yang, H., & Yang, S. (2023). Hybrid NOMA Protocol with Relay Adaptive AF/DF Collaboration and Its Modeling Analysis in NB-IoT. Electronics, 12(15), 3217. https://doi.org/10.3390/electronics12153217

Note that from the first issue of 2016, this journal uses article numbers instead of page numbers. See further details here.

Article Metrics

Back to TopTop